Методика поверки «Установка поверочная СРПСГ» (МП 0623-13-2017)
ФЕДЕРАЛЬНОЕ АГЕНТСТВО ПО ТЕХНИЧЕСКОМУ РЕГУЛИРОВАНИЮ И МЕТРОЛОГИИ
Федеральное государственное унитарное предприятие «Всероссийский научно-исследовательский институт расходометрии»
Государственный научный метрологический центр
ФГУП «ВНИИР»
ктора
I «ВНИИР»
. Тайбинский
2017 г.
ИНСТРУКЦИЯ
Государственная система обеспечения единства измерений
УСТАНОВКА ПОВЕРОЧНАЯ СРПСГ
Методика поверки
МП 0623-13-2017
Начальник от
ИО-13
А.И. Горчев
Тел. отдела: (843)272-11-24
г. Казань
2017 г.
РАЗРАБОТАНА
УТВЕРЖДЕНА
ФГУП «ВНИИР» ооо«мц кит»
ФГУП «ВНИИР»
1 ВВОДНАЯ ЧАСТЬНастоящая инструкция распространяется на установку поверочную СРПСГ (далее -установка) и устанавливает последовательность и методику ее первичной и периодической поверок.
Установка предназначена для воспроизведения объемного расхода и объема газа. Интервал между поверками - 2 года.
2 ОПЕРАЦИИ ПОВЕРКИ
2.1 При проведении поверки должны выполняться операции, указанные в таблице 1. Таблица 1
|
Наименование операции |
Номер пункта методики поверки |
Проведение операции при | |
|
первичной поверке |
периодической поверке | ||
|
Подготовка к поверке |
7 |
+ |
+ |
|
Внешний осмотр |
8.1 |
+ |
+ |
|
Проверка герметичности |
8.2 |
+ |
+ |
|
Проверка выполнения функциональных возможностей установки |
8.3 |
+ |
+ |
|
Определение относительной погрешности счетчиков газа, входящих в состав установки |
8.4 |
+ |
+ |
|
Определение относительной погрешности установки при воспроизведении объемного расхода и объема рабочей среды |
8.5 |
+ |
+ |
|
Оформление результатов поверки |
9 |
+ |
+ |
-
3.1 При поверке установки должны быть применены следующие средства поверки и вспомогательное оборудование:
-
- государственный первичный эталон единиц объемного и массового расходов газа ТЭТ 118-2013 по ГОСТ Р 8.618-2014, диапазон воспроизведения единиц объемного расхода газа от 0,003 до 16000 м3/ч, СКО 3,5 10^5-1 О’4, НСП 410-4 ;
-
- эталоны и средства измерений в соответствии с методиками поверки на соответствующие средства измерений, входящие в состав установки (проверка наличия свидетельств о поверке).
-
4.1 К проведению измерений при поверке и обработке результатов измерений допускаются поверители, изучившие техническую документацию на установку и прошедшие инструктаж по технике безопасности в установленном порядке.
-
5.1 При поверке установки необходимо соблюдать меры предосторожности в соответствии с требованиями правил безопасности, которые установлены в руководстве по эксплуатации установки СРПСГ.
-
5.2 К проведению поверки допускаются лица, изучившие данную инструкцию, эксплуатационную документацию на установку, имеющие опыт поверки средств измерений расхода, а также прошедшие инструктаж по технике безопасности в установленном порядке.
-
5.3 Все измерительные приборы должны иметь изолированные цепи по входу и выходу от их цепей питания.
-
5.4 Электрооборудование, предусматривающее заземление, должно быть надежно заземлено. Корпус установки должен быть соединен с общей шиной заземления проводником.
-
5.5 Необходимо соблюдать «Правила технической эксплуатации электроустановок потребителей», «Правила техники безопасности при эксплуатации электроустановок потребителей» (ПТЭ и ПТБ) при работе на электроустановках напряжением до 1000 В.
Все работы по монтажу и демонтажу необходимо выполнять при отключенном напряжении питания и при отсутствии избыточного давления измеряемой среды в трубопроводе.
6 УСЛОВИЯ ПОВЕРКИ-
6.1 При проведении поверки должны соблюдаться следующие условия:
-
- температура окружающего воздуха от плюс 15 до плюс 25 °C;
-
- относительная влажность окружающего воздуха от 15 до 80 %;
-
- атмосферное давление от 84,0 до 106,7 кПа.
-
6.2 Изменение температуры в процессе поверки при выполнении измерений не более ±1 °С/ч.
-
7.1 Перед проведением поверки установки в целом, необходимо предварительно провести поверку входящего в комплект установки измерительного оборудования.
-
7.2 При подготовке к поверке выполняют следующие работы:
-проверку выполнения условий п. 5 и п. 6 настоящей инструкции;
-подготовку установки к работе согласно эксплуатационной документации.
-
8 ПРОВЕДЕНИЕ ПОВЕРКИ
-
8.1.1 Перед проведением внешнего осмотра установки должно быть установлено наличие следующей документации:
-свидетельство о поверке установки (при периодической поверке);
-свидетельства о поверке всех средств измерений, входящих в состав установки, кроме эталонных счетчиков;
-паспорт;
-руководство по эксплуатации.
-
8.1.2 При внешнем осмотре должно быть установлено:
-
- комплектность установки
-
- отсутствие видимых повреждений и механических дефектов элементов конструкции установки, отсутствие ржавчины на элементах конструкции;
-
- отсутствие видимых разрушений и сколов на лакокрасочных и гальванических покрытиях деталей и агрегатов установки;
-
- отсутствие механических повреждений кабелей и соединительных трубопроводов;
Проверка герметичности установки выполняется при пониженном давлении. Проверке герметичности подвергается участок от входа в измерительную магистраль до выходного сечения.
Включают блок генератора расхода, открывают задвижку и задают уровень разряжения в испытуемой части установки минус 5,0 кПа, после чего закрывают задвижку. Производят выдержку в течение 5 минут для выравнивания температуры в испытуемой части установки.
Дважды фиксируют величину разрежения по показаниям датчика давления, установленного на измерительной линии: в начале измерений и по истечении 3 минут.
Установка считается герметичной, если изменение давления не превышает
Таблица 2
|
Линия |
Предельно допустимое значение, Па/мин, не более |
|
ДУ50 |
69,0 |
|
ДуЮО |
254,8 |
|
ДУ200 |
128,9 |
|
Дузоо |
625,8 |
|
Ду400 |
147,0 |
При проверке выполнения функциональных возможностей установки проверяют диапазон воспроизводимых установкой расходов.
Проверку выполняют на минимальном и максимальном воспроизводимых установкой расходах. Включают установку, при помощи блока генератора расхода задают минимальный и максимальный расходы и фиксируют при помощи эталонных счетчиков.
8.4 Определение относительной погрешности счетчиков газа, входящих в состав установки, при измерении объемного расхода и объема рабочей среды.-
8.4.1 Первичная поверка установки поверочной СРПСГ.
-
8.4.1.1 Определение относительной погрешности счетчиков, входящих в состав установки, проводится при следующих значениях объемного расхода.
-
Таблица 3
|
Наименование и типоразмер счетчика |
Значения задаваемого расхода, м3/ч |
|
Счетчик газа турбинный G6500 |
10080 |
|
8500 | |
|
5505 | |
|
4000 | |
|
2500 | |
|
2015 | |
|
1015 | |
|
Счетчик газа турбинный G2500 |
4000 |
|
3500 | |
|
3040 | |
|
2475 | |
|
2000 | |
|
1600 | |
|
1000 | |
|
Счетчик газа ротационный Delta S-Flow G650 |
1000 |
|
810 | |
|
510 |
|
Наименование и типоразмер счетчика |
Значения задаваемого расхода, м3/ч |
|
320 | |
|
250 | |
|
200 | |
|
60 | |
|
Счетчик газа турбинный G160 |
255 |
|
200 | |
|
175 | |
|
125 | |
|
95 | |
|
60 | |
|
33 | |
|
Счетчик газа ротационный RaboG25 |
40 |
|
32 | |
|
25 | |
|
20 | |
|
16 | |
|
8 | |
|
2 |
Допускается отклонение заданного расхода в пределах ±5% от указанного в таблице 3. В каждой точке расхода производится не менее 7 измерений и далее при расчетах применяется среднее значение.
Определяют относительную погрешность счетчиков в каждой точке по формуле

u3Mj


•100%




(1)
(2)
(3)
где Qu:a, - значение объемного расхода, измеренное счетчиком, м3/ч;
Q3m - эталонное значение объемного расхода, м3/ч;
j= 1.. .5 номер счетчика каждой линии.
Гэт, -значения эталонного и измеренного значения объема соответственно, м3.
Далее методом наименьших квадратов определяют коэффициенты АО, Al, А2, АЗ, А4 корректирующего полинома для каждого счетчика, используя значения расходов и относительной погрешности измерения объема и расхода газа:
k = AQ-Q-2+A\-Q'X+A2-Q0+A3-Q +A4-Q2. (4)

(5)
Коэффициенты АО, Al, А2, АЗ, А4 указывают в свидетельстве о поверке установки.
После определения корректирующих коэффициентов повторно определяют относительную погрешность счетчиков в каждой точке расхода по формуле


Результаты поверки считаются положительными, если относительная погрешность счетчиков при измерении объемного расхода и объема рабочей среды не превышает Зо <±0,2%.
'iCj.KOp.
-
8.4.1.2 Периодическая поверка установки поверочной СРПСГ
При периодической поверке установки относительную погрешность счетчиков газа при измерении объема и расхода рабочей среды определяют по формуле 6 при значениях расхода, указанных в таблице 3, с учетом использования корректирующих полиномов, определенных при первичной поверке.
Результаты поверки считаются положительными, если относительная погрешность счетчиков при измерении объемного расхода и объема рабочей среды не превышает 3() <±0,2%.
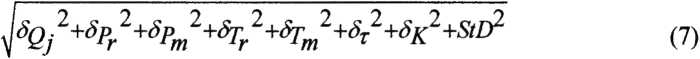
8.5 Определение относительной погрешности установки при воспроизведении объемного расхода и объема рабочей среды-
8.5.1 Относительную погрешность установки при вопроизведении объемного расхода и объема рабочей среды определяют по формуле

6Q =
где 3() -относительная погрешность измерения объема и расхода счетчиков газа, %;
д„ - относительная погрешность измерений давления на эталонном счетчике, %;
'г
д' - относительная погрешность измерений давления на поверяемом счетчике, %;
- относительная погрешность измерений температуры на эталонном счетчике, %;
- относительная погрешность измерений температуры на поверяемом счетчике, %;
~ относительная погрешность вычисления коэффициента сжимаемости, %;
<5г - относительная погрешность измерения времени, %;
StD - среднее квадратическое отклонение при воспроизведении объемного расхода воздуха и объема рабочей среды, равное 0,05%.
-
8.5.2 Относительная погрешность измерений давления на эталонном и поверяемом счетчиках определяют по формуле


(8)
где - относительная погрешность первичного преобразователя - датчика давления Метран-150ТА, приведенная к верхнему пределу диапазона измерений, %;
ВПИ- верхний предел диапазона измерений первичного преобразователя, кПа; р - значение абсолютного давления, кПа;
Зр2 - относительная погрешность вторичного преобразователя - преобразователя измерительного контроллера программируемого серии 1-7000 модели 1-7017С, %;
-
8.5.3 Относительную погрешность измерений температуры на эталонном и поверяемом счетчиках определяют по формулам:
' АГ]-100
273,15+tj }
+Я2,%
(9)
где ATj - абсолютная погрешность первичного преобразователя - термометра термисторного ПТБ-10К, °C;
tj - значение температуры, °C;
зт2 - относительная погрешность вторичного преобразователя - преобразователя измерительного контроллера программируемого серии 1-7000 модели 1-7005, %;
-
8.5.4 Коэффициент влияния отношения факторов сжимаемости воздуха (коэффициента сжимаемости) на результаты измерений при близких к друг к другу параметрах и свойств воздуха на эталонном и поверяемом счетчике составляет менее 0,001, что является пренебрежимо малой величиной и в структуре погрешности не учитывается.
Результаты поверки считаются положительными, если относительная погрешность при воспроизведении объемного расхода и объема рабочей среды не превышает ± 0,3 %.
9 ОФОРМЛЕНИЕ РЕЗУЛЬТАТОВ ПОВЕРКИ-
9.1 При положительных результатах поверки установку признают годной к применению, оформляют свидетельство о поверке в соответствии с Приказом Министерства промышленности и торговли РФ от т 2 июля 2015 г. № 1815 «Об утверждении Порядка проведения поверки средств измерений, требований к знаку поверки и содержанию свидетельства о поверке».
-
9.2 Если установка по результатам поверки признана непригодной к применению, свидетельство о поверке аннулируется и выписывают извещение о непригодности к применению в соответствии с Приказом Министерства промышленности и торговли РФ от т 2 июля 2015 г. № 1815 «Об утверждении Порядка проведения поверки средств измерений, требований к знаку поверки и содержанию свидетельства о поверке».
-
9.3 Знак поверки наносится на свидетельство о поверке установки.
