Методика поверки «Аппаратура геодезическая спутниковая (ГНСС-приёмник) ФАЗА 2» (МП АПМ 48-17)
УТВЕРЖДАЮ
Г енеральный директор «Автопрогресс-М»

А.С. Никитин
«31» октября 2017 г.
г. Москва, 2017 г.
Настоящая методика поверки распространяется на аппаратуру геодезическую спутниковую (ГНСС-приемник) ФАЗА 2, производства ООО «Руснавгеосеть», г. Москва, (далее -аппаратура) и устанавливает методику ее первичной и периодической поверки.
Интервал между периодическими поверками - 1 год.
1 Операции поверкиПри проведении поверки должны выполняться операции, указанные в таблице 1. Таблица 1
№ п/п |
Наименование операции |
№ пункта документа по поверке |
Проведение операций при | |
первичной поверке |
периодической поверке | |||
1 |
Внешний осмотр |
7.1 |
Да |
Да |
2 |
Опробование |
7.2 |
Да |
Да |
2.1 |
Идентификация программного обеспечения |
7.2.1 |
Да |
Да |
3 |
Определение метрологических характеристик: |
7.3 |
Да |
Да |
3.1 |
Определение абсолютной погрешности измерений длины базиса (при доверительной вероятности 0,95) в режиме «Статика» |
7.3.1 | ||
3.2 |
Определение абсолютной погрешности измерений длины базиса (при доверительной вероятности 0,95) в режиме «Кинематика в реальном времени» (RTK) |
7.3.2 |
Да |
Да |
2 Средства поверки
При проведении поверки должны применяться эталоны и вспомогательные средства, приведенные в таблице 2.
Таблица 2
№ пункта документа по поверке |
Наименование эталонов, вспомогательных средств поверки и их основные метрологические и технические характеристики |
7.3.1 |
Фазовый светодальномер (тахеометр электронный) 1 разряда по ГОСТ Р 8.750-2011 Линейные базисы по ГОСТ 8.750-2011 Рулетка РЗНЗК по ГОСТ 7502-98 |
7.3.2 | |
7.3.3 |
Допускается применять другие средства поверки, обеспечивающие определение метрологических характеристик с точностью, удовлетворяющей требованиям настоящей методике поверки.
3 Требования к квалификации поверителейК проведению поверки допускаются лица, изучившие эксплуатационные документы на аппаратуру, имеющие достаточные знания и опыт работы с нею.
4 Требования безопасностиПри проведении поверки, меры безопасности должны соответствовать требованиям по технике безопасности согласно эксплуатационной документации на аппаратуру и поверочное оборудование, правилам по технике безопасности, действующим на месте проведения поверки и правилам по технике безопасности при производстве топографо-геодезических работ ПТБ-88.
5 Условия поверкиПри проведении поверки должны соблюдаться следующие нормальные условия измерений:
-
- температура окружающей среды, °C.............................................. 20±5;
-
- относительная влажность воздуха, %............................................ не более 80;
-
- атмосферное давление, кПа (мм рт.ст.)......................................84,0..106,7 (630..800);
Полевые измерения (измерения на открытом воздухе) должны проводиться в диапазоне рабочих температур при отсутствии осадков и порывов ветра.
6 Подготовка к поверкеПеред проведением поверки должны быть выполнены следующие подготовительные работы:
-
- проверить наличие действующих свидетельств о поверке на средства поверки;
-
- аппаратуру и средства поверки привести в рабочее состояние в соответствии с их эксплуатационной документацией;
-
- аппаратура должна быть установлена на специальных основаниях (фундаментах) или штативах, не подвергающихся механическим (вибрация, деформация, сдвиги) и температурным воздействиям.
-
7 Проведение поверки
При внешнем осмотре должно быть установлено соответствие аппаратуры следующим требованиям:
-
- отсутствие коррозии, механических повреждений и других дефектов, влияющих на эксплуатационные и метрологические характеристики;
-
- наличие маркировки и комплектности согласно требованиям эксплуатационной документации на аппаратуру.
При опробовании должно быть установлено соответствие аппаратуры следующим требованиям:
-
- отсутствие качки и смещений неподвижно соединенных деталей и элементов;
-
- правильность взаимодействия с комплектом принадлежностей;
-
- работоспособность всех функциональных режимов.
Идентификацию программного обеспечения (далее - ПО) следует проводить по следующему алгоритму:
7.2.1.1 Алгоритм методики идентификации ПО ФАЗА 2-
7.2.1.1.1 Включить ГНСС-приемник ФАЗА 2;
-
7.2.1.1.2 На лицевой панели один раз нажать на кнопку «Вниз». На графическом экране приемника будет указано наименование и номер версии ПО.
-
7.2.1.2.1 Включить полевой контроллер с установленным ПО СПУТНИК;
-
7.2.1.2.2 Запустить ПО СПУТНИК, дважды щелкнув по пиктограмме “СПУТНИК”;
-
7.2.1.2.3 В Главном меню, нажать кнопку «О программе» и прочесть наименование и номер версии ПО.
-
7.2.1.3.1 Включить компьютер с установленным ПО Spectra Precision Survey Office;
-
7.2.1.3.2 Запустить ПО Spectra Precision Survey Office, дважды щелкнув по иконке к ПО левой кнопкой мыши или вызвав ПО из меню «Пуск»;
-
7.2.1.3.3 В открывшемся окне, перейти во вкладку «Поддержка»;
-
7.2.1.3.4 Нажмите на кнопку «О программе Spectra Precision Survey Office»;
-
7.2.1.3.5 В появившемся окне прочесть наименование и номер версии ПО.
Определенные идентификационные данные ПО должны соответствовать данным, приведенным в таблице 3.
Таблица 3
Идентификационное наименование ПО |
ФАЗА 2 |
СПУТНИК |
Spectra Precision Survey Office |
Номер версии (идентификационный номер) ПО, не ниже |
3.51 |
2.0.0.1333 |
3.81 |
7.3 Определение метрологических характеристик
7.3.1 Определение абсолютной погрешности измерений длины базиса (при доверительной вероятностим 0,95) в режиме «Статика»Абсолютная погрешность измерений длины базиса (при доверительной вероятности 0,95) в режиме «Статика» определяется путем многократных измерений (не менее 5) двух контрольных длин базиса, действительные значения которых расположены в диапазоне от 0,1 до 3,0 км и определены электронным тахеометром 1 разряда по ГОСТ Р 8.750-2011.
Установить поверяемую аппаратуру над центрами пунктов базиса и привести ее спутниковые антенны к горизонтальной плоскости.
Измерить высоту установки антенн аппаратуры с помощью рулетки.
Включить аппаратуру и настроить ее на сбор данных (измерений) в соответствующем режиме измерений согласно требования руководства по эксплуатации.
Убедиться в правильности функционирования и отсутствии помех приему сигнала со спутников, при наличии, помехи необходимо устранить.
Провести одновременно измерения на поверяемой аппаратуре при условиях, указанных в таблице 4 настоящей методики.
Выключить аппаратуру согласно требованиям руководства по эксплуатации и провести обработку данных с использованием штатного ПО к аппаратуре.
Ещё раз измерить эталонным тахеометром длину базиса. Результат измерений не должен отличаться от значения Lj, полученного до начала измерений аппаратурой, более чем на величину погрешности, приписанную эталонному тахеометру. В случае если измеренная длина базиса отличается от значения Lj, полученного до начала измерений аппаратурой, более чем на величину погрешности, приписанную эталонному тахеометру, повторить измерения аппаратурой заново.
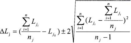
Абсолютная погрешность измерений каждой длины базиса (при доверительной вероятности 0,95) определяется как сумма систематической и случайной погрешностей по формуле:

где - погрешность измерений j длины базиса в плане/по высоте, мм;
Ljo - эталонное значение j длины базиса в плане/по высоте, мм;
Д. - измеренное поверяемой аппаратурой значение j длины базиса z измерением в плане/по высоте, мм;
rij - число измерений j длины базиса.
Абсолютная погрешность измерений длины базиса (при доверительной вероятности 0,95) в режиме «Статика» не должна превышать значений, приведенных в Приложении 1 к настоящей методике поверки.
7.3.2 Определение абсолютной погрешности измерений длины базиса (при доверительной вероятности 0,95) в режиме «Кинематика в реальном времени» (RTK)Абсолютная погрешность измерений длины базиса (при доверительной вероятности 0,95) в режиме «Кинематика в реальном времени (RTK)» определяется не менее чем 10-и кратным измерением контрольной длины базиса, действительное значения которой расположено в диапазоне от 0,1 до 3,0 км и определено электронным тахеометром 1 разряда по ГОСТ Р 8.750-2011.
Установить поверяемую аппаратуру над центрами пунктов базиса и привести ее спутниковые антенны к горизонтальной плоскости.
Измерить высоту установки антенн аппаратуры с помощью рулетки.
Включить аппаратуру и настроить ее на сбор данных (измерений) в соответствующем режиме измерений согласно требования руководства по эксплуатации.
Измерить высоту установки антенн аппаратуры с помощью рулетки.
Убедиться в правильности функционирования и отсутствии помех приему сигнала со спутников, при наличии, помехи необходимо устранить.
Провести одновременно измерения на поверяемой аппаратуре при условиях, указанных в таблице 4 настоящей методики.
Выключить аппаратуру согласно требованиям руководства по эксплуатации.
Ещё раз измерить эталонным тахеометром длину базиса. Результат измерений не должен отличаться от значения £0, полученного до начала измерений аппаратурой, более чем на величину погрешности, приписанную эталонному тахеометру. В случае если измеренная длина базиса отличается от значения Zo, полученного до начала измерений аппаратурой, более чем на величину погрешности, приписанную эталонному тахеометру, повторить измерения аппаратурой заново.
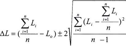
Абсолютная погрешность измерений длины базиса (при доверительной вероятности 0,95) определяется как сумма систематической и случайной погрешностей по формуле:

где AZ, - погрешность измерений длины базиса в плане/по высоте, мм;
Д - эталонное значение длины базиса в плане/по высоте, мм;
Д - измеренное аппаратурой значение длины базиса i измерением в плане/по высоте, мм;
п - число измерений длины базиса.
Абсолютная погрешность измерений длины базиса (при доверительной вероятности 0,95) в режиме «Кинематика в реальном времени» (RTK) не должна превышать значений, приведенных в Приложении 1 к настоящей методике поверки.
Таблица 4
Режим измерений |
Кол-во спутников, шт |
Время измерений, мин |
Интервал между эпохами, с |
Статика |
30-60 | ||
Кинематика в реальном времени (RTK) |
>6 |
0,05-0,20 |
1 |
-
8.1. Результаты поверки оформляются протоколом, составленным в виде сводной таблицы результатов поверки по каждому пункту раздела 7 настоящей методики поверки с указанием числовых значений результатов измерений и их оценки по сравнению с допускаемыми значениями. Рекомендуемый образец протокола приведен в Приложении 2 к настоящей методике поверки.
-
8.2. При положительных результатах поверки, аппаратура признается годной к применению и на нее выдается свидетельство о поверке установленной формы. Знак поверки наносится на свидетельство о поверке в виде наклейки и (или) поверительного клейма.
-
8.3. При отрицательных результатах поверки, аппаратура признается непригодной к применению и на нее выдается извещение о непригодности установленной формы с указанием основных причин.
Руководитель отдела
ООО «Автопрогресс-М»
К.А. Ревин
Метрологические характеристики
Наименование характеристики |
Значение |
Границы допускаемой абсолютной погрешности измерений длины базиса в диапазоне до 30 км (при доверительной вероятности 0,95) в режиме «Статика», мм:
|
±(6+l-10'6-D) ±(10+ri0'6-D), где D - измеряемое расстояние, мм |
Границы допускаемой абсолютной погрешности измерений длины базиса в диапазоне до 30 км (при доверительной вероятности 0,95) в режиме «Кинематика в реальном времени» (RTK), мм:
|
±(16+l-10'6-D) ±(30+2-10'6-D), где D - измеряемое расстояние, мм |
ПРОТОКОЛ №
Дата и время проведения поверки: Условия проведения поверки:
Внешний осмотр:
Требования |
Результаты поверки |
отсутствие коррозии, механических повреждений и других дефектов, влияющих на эксплуатационные и метрологические характеристики аппаратуры | |
наличие маркировки и комплектности согласно требованиям эксплуатационной документации на аппаратуру |
Опробование:
Требования |
Результаты поверки |
отсутствие качки и смещений неподвижно соединенных деталей и элементов аппаратуры | |
правильность взаимодействия с комплектом принадлежностей | |
работоспособность всех функциональных режимов | |
наименование ПО, номер его версии |
Результаты поверки в режиме «Статика»:
Измерение длины базиса № 1 | ||||||
№ изм. |
Значение длины базиса в плане, мм |
Результат измерений длины базиса в плане, мм |
Погрешность измерений длины базиса в плане, мм |
Значение длины базиса по высоте, мм |
Результат измерений длины базиса по высоте, мм |
Погрешность измерений длины базиса по высоте, мм |
1 | ||||||
2 | ||||||
3 | ||||||
4 | ||||||
5 | ||||||
Среднее значение |
- |
Среднее значение |
- | |||
Сист. составляющая |
- |
Сист. составляющая |
- | |||
Случ. составляющая (2о) |
- |
Случ. составляющая (2о) |
- | |||
Абсолютная погрешность, мм |
- |
Абсолютная погрешность, мм |
- | |||
Заявляемое значение абс. погреш., не более, мм |
- |
Заявляемое значение абс. погреш., не более, мм |
- |
Измерение длины базиса № 2 | ||||||
№ изм. |
Значение длины базиса в плане, мм |
Результат измерений длины базиса в плане, мм |
Погрешность измерений длины базиса в плане, мм |
Значение длины базиса по высоте, мм |
Результат измерений длины базиса по высоте, мм |
Погрешность измерений длины базиса по высоте, мм |
1 | ||||||
2 | ||||||
3 | ||||||
4 | ||||||
5 | ||||||
Среднее значение |
- |
Среднее значение |
- | |||
Сист. составляющая |
- |
Сист.составляющая |
- | |||
Случ. составляющая (2о) |
- |
Случ. составляющая (2о) |
- | |||
Абсолютная погрешность, мм |
- |
Абсолютная погрешность, мм |
- | |||
Заявляемое значение абс. погрет., не более, мм |
- |
Заявляемое значение абс. погреш., не более, мм |
- |
Результаты поверки в режиме «Кинематика в реальном времени (RTK)»:
Измерение длины базиса | ||||||
№ изм. |
Значение длины базиса в плане, мм |
Результат измерений длины базиса в плане, мм |
Погрешность измерений длины базиса в плане, мм |
Значение длины базиса по высоте, мм |
Результат измерений длины базиса по высоте, мм |
Погрешность измерений длины базиса по высоте, мм |
1 | ||||||
2 | ||||||
3 | ||||||
4 | ||||||
5 | ||||||
6 | ||||||
7 | ||||||
8 | ||||||
9 | ||||||
10 | ||||||
Среднее значение |
- |
Среднее значение |
- | |||
Сист. составляющая |
- |
Сист.составляющая |
- | |||
Случ. составляющая (2о) |
- |
Случ. составляющая (2о) |
- | |||
Абсолютная погрешность, мм |
- |
Абсолютная погрешность, мм |
- | |||
Заявляемое значение абс. погреш., не более, мм |
- |
Заявляемое значение абс. погреш., не более, мм |
- |
Поверитель
9