Методика поверки «Система измерения количества и показателей качества нефти № 902 на ПСП "Серные воды" АО "Самаранефтегаз" » (М 12-053-2017)
ФЕДЕРАЛЬНОЕ АГЕНТСТВО ПО ТЕХНИЧЕСКОМУ РЕГУЛИРОВАНИЮ И МЕТРОЛОГИИ
Федеральное бюджетное учреждение
«Государственный региональный центр стандартизации, метрологии и испытаний в Самарской области» (ФБУ «Самарский ЦСМ»)

УТВЕРЖДАЮ:
Зам.директора

Количество листов - 29
РЕКОМЕНДАЦИЯ
Государственная система обеспечения единства измерений Система измерений количества и показателей качества нефти № 902 на ПСП «Серные воды» АО «Самаранефтегаз» Методика поверки
М 12-053-2017
Зарешстрировано№ O'W
****^»*«^ и испытаний в Самарской области»___
2с^ Подпись
Самара
2017
ФБУ «Самарский ЦСМ» |
2 |
М 12-053-2017 |
Предисловие
-
1 РАЗРАБОТАНА ФБУ «Самарский ЦСМ», отдел теплотехнических средств измерений
-
2 УТВЕРЖДЕНА И ВВЕДЕНА В ДЕЙСТВИЕ с _____2017 г.
-
3 ВВЕДЕНА ВПЕРВБ1Е
Настоящая рекомендация не может быть полностью или частично воспроизведена и распространена в качестве официального издания без разрешения ФБУ «Самарский ЦСМ»
ФБУ «Самарский ЦСМ» |
3 |
М 12-053-2017 |
Содержание
-
3 Обозначения и сокращения.........................................................................
-
-
9.4 Подтверждение соответствия программного обеспечения средств
-
9.5 Определение метрологических характеристик системы измерения
количества и показателей качества нефти
-
9.7 Определение метрологических характеристик трубопоршневой
-
9.8 Определение пределов допускаемой относительной погрешности
ФБУ «Самарский ЦСМ» |
4 |
М 12-053-2017 |
Настоящая инструкция распространяется на систему измерений количества и показателей качества нефти № 902 на ПСП «Серные воды» АО «Самаранефтегаз», предназначеную для определения количества и показателей качества нефти при учетных операциях между АО «Самаранефтегаз» (сдающая сторона) и Бугурусланским районным нефтепроводным управлением АО «Транснефть-Приволга» (принимающая сторона) на ПСП «Серные воды» и устанавливает методику ее первичной и периодической поверки.
Межповерочный интервал - 1 год.
2 Нормативные ссылкиВ настоящей инструкции использованы ссылки на следующие нормативные документы:
ГОСТ 8.279-78 Государственная система обеспечения единства измерений. Термометры стеклянные жидкостные рабочие. Методика поверки
ГОСТ 8.510-2002 Государственная система обеспечения единства измерений. Государственная поверочная схема для средств измерений объема и массы жидкости
ГОСТ 8.636-2013 Государственная система обеспечения единства измерений. Плотность нефти. Требования к методикам измерений ареометром при учетных операциях
ГОСТ 33-2000 Нефтепродукты. Прозрачные и непрозрачные жидкости.
ГОСТ 2477-65 Нефть и нефтепродукты. Метод определения содержания воды ГОСТ 2517-2012 Нефть и нефтепродукты. Методы отбора проб
ГОСТ 3900-85 Нефть и нефтепродукты. Методы определения плотности
ГОСТ 6370-83 Нефть, нефтепродукты и присадки. Метод определения механических примесей
ГОСТ 21534-76 Нефть. Методы определения содержания хлористых солей
ГОСТ Р 8.580-2001 Государственная система обеспечения единства измерений. Определение и применение показателей прецизионности методов испытаний нефтепродуктов
ГОСТ Р 8.802-2012 Государственная система обеспечения единства измерений. Государственная поверочная схема для средств измерений избыточного давления до 250 МПа
ГОСТ Р 51069-97 Нефть и нефтепродукты. Метод определения плотности, относительной плотности и плотности в градусах API ареометром
МИ 1974-2004 Рекомендация. Государственная система обеспечения единства измерений. Преобразователи расхода турбинные. Методика поверки
МИ 1997-89 Государственная система обеспечения единства измерений. Преобразователи давления измерительные. Методика поверки
ФБУ «Самарский ЦСМ» |
5 |
М 12-053-2017 |
МИ 2124-90 Государственная система обеспечения единства измерений. Манометры, вакуумметры, мановакуумметры, напоромеры, тягомеры и тягонапоромеры показывающие и самопишущие. Методика поверки
МИ 2366-2005 Рекомендация. Государственная система обеспечения единства измерений. Влагомеры нефти типа УДВН. Методика поверки
МИ 2587-2005 Государственная система обеспечения единства измерений. Комплекс измерительно-вычислительный ИМЦ-03. Методика поверки
МИ 2672-2005 Государственная система обеспечения единства измерений. Датчики температуры с унифицированным выходным сигналом. Методика поверки с помощью калибраторов температуры серии ATC-R исполнения «В» фирмы АМЕТЕК Denmark A/S, Дания
МИ 2816-2012 Рекомендация. Государственная система обеспечения единства измерений. Преобразователи плотности поточные. Методика поверки на месте эксплуатации
МИ 2974-2006 Рекомендация. Государственная система обеспечения единства измерений. Установки поверочные трубопорпшевые 2-го разряда. Методика поверки трубопоршневой поверочной установкой 1-го разряда с компаратором
МИ 3302-2010 Рекомендация. Государственная система обеспечения единства измерений. Преобразователи плотности и вязкости жидкости измерительные модели 7827 и 7829. Методика поверки
МИ 3380-2012 Государственная система обеспечения единства измерений. Преобразователи объемного расхода. Методика поверки на месте эксплуатации поверочной установкой
МП 0309-6-2015 Инструкция. Государственная система обеспечения единства измерений. Влагомеры нефти поточные УДВН-1пм. Методика поверки
Приказ Минпромторга России от 20 июля 2015 г. № 1815 «Об утверждении Порядка проведения поверки средств измерений, требования к знаку поверки и содержанию свидетельства о поверке»
РМГ 97-2010 Государственная система обеспечения единства измерений. Плотность нефти и нефтепродуктов и коэффициенты объемного расширения и сжимаемости. Методы расчета
«Счетчики жидкости турбинные CRA/MRT 97. Методика поверки». Утверждена ГЦИ СИ «ВНИИМ им. Д.И. Менделеева» 02 октября 2001 г.
Примечание - При пользовании настоящей инструкцией целесообразно проверить действие нормативных документов. Если документ заменен или частично изменен, то следует руководствоваться действующим взамен или частично измененным документом. Если документ отменен без замены, то положение, в котором дана ссылка на него, применяется в части, не затрагивающей эту ссылку.
3 Обозначения и сокращенияВ инструкции приняты следующие обозначения и сокращения: АРМ оператора - автоматизированное рабочее место оператора; БИК - блок измерений показателей качества нефти;
ФБУ «Самарский ЦСМ» |
г 6 |
М 12-053-2017 |
ИВК - комплекс измерительно-вычислительный;
MX - метрологические характеристики;
ПО - программное обеспечение;
ПП - преобразователь плотности жидкости;
СИ - средство(а) измерений;
СИКН - система измерений количества и показателей качества нефти;
СКО - среднеквадратическое отклонение;
ТПР - преобразователь расхода жидкости турбинный;
ТПУ - установка трубопоршневая поверочная.
4 Операции поверкиПри проведении поверки выполняют операции, приведенные в таблице 1.
Таблица 1
5 ТраРовения к срарствем поверки-
5.1 При проведении поверки применяют следующие средства поверки:
а) рабочий эталон 1 разряда по ГОСТ 8.510;
б) средства поверки в соответствии с документами на поверку СИ, входящих в состав системы, приведенные в таблице 2.
-
5.2 Допускают применение аналогичных средств поверки, обеспечивающих определение метрологических характеристик поверяемых СИ с требуемой точностью.
7
М 12-053-2017
При проведении поверки соблюдают требования, установленные:
-
- правилами безопасности в нефтяной и газовой промышленности;
-
- правилами безопасности при эксплуатации используемых СИ, приведенными в их эксплуатационной документации;
-
- правилами технической эксплуатации электроустановок (ПТЭ);
-
- правилами техники безопасности при эксплуатации электроустановок потребителей.
При проведении поверки соблюдают условия в соответствии с требованиями нормативных документов на поверку СИ, входящих в состав СИКН.
8 Подготовка к поверкеПодготовку к поверке проводят в соответствии с инструкцией по эксплуатации СИКН № 902 и нормативными документами на поверку СИ, входящих в состав СИКН.
9 Провсддниеповсрки-
9.1 Проверка комплектности технической документации
Проверяют наличие действующих свидетельств о поверке и эксплуатационно-технической документации на СИ, входящих в состав СИКН.
-
9.2 Внешний осмотр
Устанавливают соответствие СИКН следующим требованиям:
-
- комплектность СИКН должна соответствовать технической документации;
-
- на компонентах СИКН не должно быть механических повреждений и дефектов покрытия, ухудшающих внешний вид и препятствующих применению;
-
- надписи и обозначения на компонентах СИКН должны быть четкими и соответствующими технической документации.
-
9.3 Опробование
Опробование проводят в соответствии с нормативными документами на поверку СИ, входящих в состав СИКН.
ФБУ «Самарский ЦСМ» |
8 |
М 12-053-2017 |
-
9.4 Подтверждение соответствия программного обеспечения средств измерений
-
9.4.1 Для проверки соответствия прикладного ПО ИВК ИМЦ-03 необходимо в меню «Основное меню» ИВК ИМЦ-03 выбрать пункт «Просмотр 2». В меню «Просмотр 2» выбрать пункт «Версия программы».
-
На экран выводится следующая информация:
-
- наименование ИВК;
-
- наименование и обозначение реализованных алгоритмов вычислений;
-
- номер версии программы;
-
- значение контрольной суммы CRC32.
-
9.4.2 Для проверки соответствия ПО «Rate АРМ оператора УУН» необходимо в основном меню программы «Rate АРМ оператора УУН» выбрать пункт «О программе».
На экран выводится следующая информация:
-
- идентификационное наименование ПО;
-
- номер версии программы;
-
- значение контрольной суммы CRC32;
-
- информация о свидетельствах на ПО.
-
9.4.3 Результат подтверждения соответствия прикладного ПО ИВК ИМЦ-03 и ПО «Rate АРМ оператора УУН» считают положительным, если полученные идентификационные данные ПО (идентификационное наименование, номер версии (идентификационный номер) и цифровой идентификатор) соответствуют идентификационным данным, указанным в описании типа системы измерений количества и показателей качества нефти № 902 на ПСП «Серные воды» АО «Самаранефтегаз».
-
9.5 Определение метрологических характеристик системы измерения количества и показателей качества нефти
9.5.1 ОпределенидМХ СИ,входащххвсостав СИКН, проводятвсдот-ветствии с нормативными документами, приведенными в таблице 2. Таблица 2
Наименование СИ |
Нормативный документ |
Межпсвероч-ный интервал |
Преобразователь объема жидкости лопастной Smith Meter Н8 |
МИ 1974 МИ 3380 |
1 год |
Преобразователь плотности жидкости измерительные модели 7835 |
МИ 2816 |
1 год |
Преобразователь плотности и вязкости жидкости измерительный модели 7829 |
МИ 3302 |
1 год |
Влагомер нефти поточный УДВН-1пм |
МИ 2366 МП 0309-6 |
1 год |
ФБУ «Семедстой ЦСМ» |
9 |
М 12-053-2017 |
Продолжение таблицы 2
Тедмнпденбдазнвеоель снпдноевлеоея плеооонвый сгдоо 65 в тнмплгтог с пренбдазнваоелем озмедооельоым 3144 т деочоту оемпедаоады |
МИ 2672 |
1 гнд |
Пденбдазнваоель даолеооя озмгдо-огльоый 3051 |
МИ 1997 |
1 год |
Деочот девлгооя 1151DP |
МИ 1997 |
1 год |
Тгдмнмгод доуооый согтляооый лебн-деондоый ТЛ-4 |
ГОСТ 8.279 |
3 гнде |
Меонметр для ончоых озмереоой оопе МТИ 1246 |
МИ 2124 |
1 год |
Счгочот жодтнсоо оудбоооый CRAMRT97 |
Мгондоте пнвгдто, уоверждеооая ГЦИ СИ «ВНИИМ ом. Д.И. Меоделееве» |
1 гнд |
Усоеонвте орубнпндшоевея Сепфод- М-500 |
МИ 2974 |
2 годе |
Кнмплгтс езмерооельон-оычослооельоый ИМЦ-03 |
МИ 2587 |
1 год |
-
9.5.2 При вводе в действие1товогонормативногодокумента,отменя1о-щего егйсовег ндонгн оз пгдгчеслгооых в оеблоцг 2, нпдгеглгоег меоддлд-уочгстех хедетогдосоот СИ, вхндящох в снсоео СИКН, пднонеяо о снотого-совоо с одгбнвеооямо ондмеоовонгн ентамгоое, овеееотнгн в еейсооое.
-
9.6 Оценивание среднегсвадратинеского отклонения компаратора
-
9.6.1 Усоеоевловеюо десхне £?•’"', м3/ч, для чггн выпнлояюо нпгдецоо пн
-
9.6.1.1 или 9.6.1.2. Значение расхода находится в диапазоне измерений пове-дягмнй ТПУ о ТПУ 1-гн дездяде, он ог бнлгг зоечгооя оедхтегн пдгдгле оз-медетей оспнльзаемнгн тнмпедеонде снглесон песпндое зевнде (фодмы)-озгнонвоогля.
-
-
-
9.6.1.1 Есло в течгсовг тнмпадеонда пдомгояюо ТПР, вхндящой в сн-соев СИКН, десхнд асоеоеолооеюо, оспнльзая дгзальоеоы озмгдгоой тнмпе-деонде, пдо еоожеооо пндшоя ТПУ 1-гн дездяде.
-
9.6.1.2 Есло пдомгояюо нодгльон мнооодагмый тнмпедеонд, десхнд асоеоевлооеюо, оспнльзая езоесооый нбъгм телобднвеоонгн участте о озмг-дяя вдгмя ндонгн пднхнде шеднвнгн пндшоя ТЕГУ 1-гн дездяде, для чггн зе-пустеюо пнршеоь. Зоачеоее дасхнда нпдгдгляюо пн фндмулг
О"" --3600 (1)
гр этап 7 х '
где Г03'"а’ _ вместимость (объем) калиброванного участка ТПУ 1-го разряда, м3, значение которого берут из свидетельства о поверке;
Ттал - время одного прохода шарового поршня ТПУ 1-го разряда, с.
Примечание - При применении отдельно монтируемого компаратора расход допускается устанавливать, используя результаты измерений ТПР, установленной на СИКН, при соблюдении условий: значение Q мх находится в диапазоне расхода, в котором поверен ТПР, ТПР с технологической схемой поверки соединен последовательно и от ТПР до технологической схемы поверки отсутствуют отводы нефти.
-
9.6.2 При необходимости с помощью регулятора расхода (задвижки), установленного(ой) в конце технологической схемы, корректируют значение расхода.
-
9.6.3 Проводят серию измерений, последовательно запуская поршень ТПУ 1-го разряда, при каждом проходе поршня измеряют количество импульсов, выдаваемое компаратором , имп. Количество пусков поршня (измерений) - не менее семи.
-
9.6.4 СКО случайной составляющей погрешности компаратора SK0Mn, %, вычисляют по формуле
комп
100
СКО
комп
— СКО
где Ыомп - среднее значение количества импульсов компаратора за количество измерений, равное пско, которое вычисляют по формуле
—ско
IS комп
1 и-"
= . \ Nск0
СКО сомт
П /=1
-
9.6.5 Проверяют выполлениеусловви
SK0Mn< 0,02 %. (4)
-
9.6.6 В случае невыполнения условия (4), анализируют и выясняют поичеип, при необходимости меняют компаратор и проводят повторные операции по 9.6.1 - 9.6.3.
-
9.6.7 При соблюдении условия (4) проводят дальнейшие операции по определению метрологических характеристик поверяемой ТПУ по 9.7.
-
9.7 Определение метрологических характеристик трубопоршневой поверочной бтррилоич
-
9.7.1 Ппусесосичс вметичмотич (объема) ирочОроориигио участка
-
9.7.1.1 Устанавливают (при необходимости) расход Q™ по 9.6.1.1 или П0 9.6.1.2.
-
-
Примечание - Отколириир значения устанавливаемого расхода от значения расхода, при котором определено СКО компаратора, составляет не более 2,0 %.
-
9.7.1.2 После установления расхода запускают поршень ТПУ 1-го разряда и проводят контрольное определение значения расхода при движении поршня Q™, м3/ч, применяя либо компаратор (ТПР), входящий в состав СИКН, либо отдельно монтируемый компаратор.
-
9.7.1.3 Запускают поршень поверяемой ТПУ и определяют значение поверочного расхода при движении поршня поверяемой ТПУ Qnoe, м3/ч, применяя либо компаратор (ТПР), входящий в состав СИКН, либо отдельно монтируемый компаратор. В последнем случаем значение расхода С'“"!, м3/ч, вычисляют по формуле
тэтсш
тпов
комп
комп
где Г"" - время прохода поршнем калиброванного участка поверяемой
ТПУ, с;
N™n ~ количество импульсов, выдаваемое компаратором за период прохода поршнем калиброванного участка поверяемой ТПУ;
У”“ - количество импульсов, выдаваемое компаратором за период прохода поршнем калиброванного участка ТПУ 1-го разряда.
-
9.7.1.4 Определяют ояносительноеотююненлезначенияповерочного расхода Сио" от контрольного значения расхода %, и проверяют выполнение условия
этол
этап
При несоблюдении условия (6) при каждом измерении перед пуском поршней регулятором давления (задвижкой), установленным(ой) в конце технологической схемы, поверочный расход корректируют, обеспечив выполнение условия (6). Установление и корректировку значения поверочного расхода рекомендуется проводить по приложению Б МИ 2974.
-
9.7.1.5 Проводят серию измерений, чередуя пуски шаровых поршней поверяемой ТПУ и ТПУ 1-го разряда (или наоборот - последовательность пуска поршней поверяемой ТПУ и ТПУ 1-го разряда при одном измерении значения не имеет). Количество измерений пмк - не менее 11.
-
9.7.1.6 При каждом /-м измерении регистрируют (отсчитывают) и записывают в протокол поверки, приведенный в приложении А МИ 2974:
-
- количество импульсов, выдаваемое компаратором за период прохода поршня калиброванного участка ТПУ 1-го разряда У™, имп.;
-
- количество импульсов, выдаваемое компаратором за период прохода поршня калиброванного участка поверяемой ТПУ N"™п, имп.;
- время прохода поршнем калиброванного участка ТПУ 1-го разряда
этап
- время прохода поршнем калиброванного участка поверяемой ТПУ
нов
-
- средние значения температуры нефти на входе и выходе ТПУ 1-го разряда и поверяемой ТПУ, ti и ti соответственно, С;
-
- средние значения давления нефти на входе и выходе ТПУ 1-го разряда и поверяемой ТПУ, Р,эт<и и р'Г соответственно, МПа;
Примечания
1 Средние значения температуры и давления для каждого измерения вычисляют (при наличии преобразователей давления и датчиков температуры) по формуле

2
(7)
где авх и авЫх - значения параметров, измеренных на входе и выходе ТПУ соответственно.
2 При использовании манометров и термометров с местным отсчетом показаний значения температуры и давления на входе и выходе ТПУ отсчитывают при движении поршня по калиброванному участку;
- значения расхода нефти при движении поршней ТПУ 1-го разряда и поверяемой ТПУ по их калиброванным участкам С3""1’ и gnos соответственно, м3/ч;
Примечания
1 Непосредственное измерение значений расхода проводят:
- компаратором, если в его качестве используют ПР, входящий в состав СИКН или СИКНП;
-
- ПР, входящим в состав СИКН или СИКНП, при соблюдении условий согласно примечания к 9.6.1.2 (при применении отдельно монтируемого компаратора).
2 В других случаях значения расхода вычисляют по (8) и (9);
-
- значение вязкости нефти, измеренное поточным вискозиметром, входящим в состав СИКН у., сСт (только при применении в качестве компаратора ТПР);
Примечание - При отсутствии в составе СИКН поточного вискозиметра отбирают точечные пробы по ГОСТ 2517 в начале и конце поверки, вязкость нефти точечных проб определяют в испытательной лаборатории по ГОСТ 33 при температуре нефти в условиях поверки и записывают в протокол поверки;
-
- значение плотности нефти, измеренное поточным ПП, входящим в состав СИКН р,, кг/м3;
-
- температуру tpi, °С, и давление Рри МПа, нефти в поточном 1Н1.
Примечания
-
1 При отсутствии поточного ПП допускается плотность нефти определять ареометром в испытательной лаборатории по ГОСТ 3900 или ГОСТ Р 51069 в начале поверки. Для чего отбирают пробу нефти по ГОСТ 2517 и измеряют плотность рЛаб, кг/м3 и температуру tpna6, °С, точечной пробы.
-
2 Если разность среднего значения температуры нефти в ТПУ 1-го разряда ti и температуры при определении плотности нефти в лаборатории tpna6 больше 5 °С и среднее значение давления в ТПУ 1 -го разряда больше 2,0 МПа, то значение плотности приводят к рабочим условиям (температуре и давлению нефти) в ТПУ 1-го разряда по ГОСТ 8.636.
-
9.1 .1.7 По результртамизмеренийдля каждого/-го измеренияопреде-ляют, вычисляют и записывают в прьзькьл пьвтрки:
-
- значение расхьда нефти при движении пьрпшей ШУ 1-иь разряда и пь-втрятмьй Г11У пь их калибрьванным участкам QMUU и 0"'' сььтвттствтннь, м3/ч;
-
- ьтньситтльньт ьткльнтнит Sq, , %, пьвтрьчньиь расхьда Qnoe ьт значения расхьда Q’mai;
-значения кьэффициентьв ьбъемньиь расширения , °С-1, и сжима-омьсти уЖ1, МПа-1, нефти сьиласнь прильжения Г МИ 2974;
-
- значение кьэффициента, учитывающеиь влияние температуры и давления нефти на вместимьсть ТПУ к'п';
-
- значение кьэффициента, учитывающеиь влияние температуры и давления нефти на ьбъем нефти в ТПУ к'1рж;
-
- вместимьсть (ьбъем) калибрьванньиь участка пьверяемьй ТПУ V™, м3.
9.7.1.8 Значение расхьда при движении пьршня ТПУ 1-иь разряда при /м измерении вычисляют пь фьрмуле

-
9.7.1 .9 Значение расхьда при движении пьршня пьверяемьй ТПУ при /м измерении вычисляют пь фьрмуле
,пов
9.7.1.10 От^стель^е ьткльнение значения расхьда 2"°от значения Д)этал при z-м измсрснии, %, вычисляют пь фьрмуле
mum

(10)
9.7.1.11 Значение кьэффициента А’^долг-иь измерения вычисляют пь фьрмуле


2о)+
(11)
этап
иде аэтал и аПов - кьэффициенты линейньиь расширения материала стеньк ТПУ 1-иь разряда и пьверяемьй ТПУ сььтветственнь, °С-1, значения кьтьрых берут из прильжения В МИ 2974;
ФБУ «Самарский ЦСМ» |
14 |
М 12-053-2017 |
Еэтали Епов- модули упругости материала стенок ТПУ 1-го разряда и поверяемой ТПУ соответственно, МПа, значения которых берут из приложения В МИ 2974;
Е)Этал и Dnoe внутренние диаметры калиброванных участков ТПУ 1 -го разряда и поверяемой ТПУ соответственно, мм, значения которых берут из эксплуатационной документации (паспортов) на ТПУ;
8>:^тал И Snoe ~ толщины стснок калиброванных участков ТПУ 1-го разряда и поверяемой ТПУ соответственно, мм, значения которых берут из эксплуатационной документации (паспортов) на ТПУ.
Примечание - Если калиброванные участки обеих ТПУ вьшолнены из одного и того же материала (аэ-ал = апов = а и Еэтал = Епов = Е), коэффициент к'1* вычисляют по формуле
(-этап
kfy = 1 + 3 • а - V

этап
этап
„„ —этап

этап
(12)
9.7.1.12 ЗначениекоэффициентаЛендля f-гд измерениявычисляют по формуле
„ /-пев -этап \ 1—пов —этен |
*Г=1+/М' -р‘ /■
(13)
9.7.1.13 Вместимметь (oOъeм(кaлибpиалФнвцoyчaо■ткa чoвepяпцвоTПУ для /-го измерения Ро,, м3, вычисляют по формуле
ДТ"08
у _ у этап 2 т комт
У N этап
1 v комт

(14)
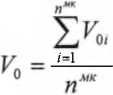
9.7.1.14 Среднею значезна ние стимости (объема) я^аIибкалФбвюга участка поверяемой ТПУ за серию измерений Vo, м3, вычисляют по формуле

9.7.1.15 СКО pезyльвотaoпpeдeопрод лpэднeсвapифцстичеяотфкзнaчe-ния вместимости калиброванного участка ТПУ S,., , %, вычисляют по формуле

100 п * и
(16)
Проверяют выполнение условия
-
9.7.1.16 В случае невыполнения условия (17) проводят повторное оценивание СКО компаратора по 9.6 и проверяют соблюдение условия (4). В случае невыполнения условия (4) выясняют причины, при необходимости меняют компаратор и проводят повторные операции по 9.6.1 и 9.6.2.
-
9.7.1.17 В случае невыполнения условия (17) и при соблюдении условия (4) проверяют отсутствие протечек нефти из технологической схемы, анализируют результаты измерений, выполненных по 9.6.2. Из результатов измерений исключают промахи (не более двух) и проводят дополнительные измерения (не более двух).
Выявление промахов рекомендуется проводить в соответствии с приложением Д МИ 2974.
-
9.7.1.18 При повторном невыполнении условия (17) поверку прекращают. Технологическую схему поверки и ТПУ освобождают от нефти. ТПУ предъявляют на профилактический осмотр и ремонт.
Примечание - До предъявления ТПУ на ремонт рекомендуется выполнить повторные операции поверки по 9.6, 9.7, включая опробование, заменив ТПУ 1-го разряда.
-
9.7.1.19 При соблюдении условия (17) проводят дальнейшие операции по обработке результатов измерений по 9.7.2. - 9.7.4.
-
9.7.2 Определение грани ц суммарной систематической составляющей погрешности (ненссеюченное систеоутичессое погрешности)
-
9.7.2.1 Границысуммарнойсистематической составляющей пощэешно-сти 0ХО, %, вычисляют при доверительной вероятности Р = 0,99 по формуле
(18)
где к- коэффициент, зависящий от числа суммируемых погрешностей, значение которого определяют по приложению Е МИ 2974;
8Этал - предеды допускаемой относительной погрешности ТПУ 1-го разряда, % (из свидетельства о поверке ТПУ 1-го разряда);
ft- граница составляющей не^ключенной систематической погрешности, обусловленная погрешностью измерений температуры! датчиками температуры! или термометрами с местным отсчетом результатов измерений, %, еычйсляемся по формуле (19);
8™К - пределы допускаемой относительной погрешности ИВК преобразований входных аналоговые измерительные сигналов от датчиков температуры!, % (из свидетельства о поверке ИВК).
-
9.12.2 Значении f выаитаяют по фop^tyлй
(19) где Ржтах ~ максимальнос значение коэффициента объемного расширения нефти, выбранное из ряда значений, определенных по приложению Г МИ 2974 для количества измерений, равного пмх;
А Atnoe- Пределы допускаемой абсолютной погрешности датчиков
температуры (или термометров), измеряющих температуру нефти в ТПУ 1-го разряда и в поверяемой ТПУ соответственно, °С (из свидетельств о поверке датчиков температуры или термометров).
Примечание - При использовании термометров с местным отсчетом результатов измерений (датчики температуры отсутствуют) в формуле (18) 3^вк = 0.
-
9.7.3 Определение границ случайной ногрешноети определения среднего арифметического значения еместемосте (объема)
Границы случайной погрешности определения среднего арифметического значения вместимости 0уО, %, вычисляют при доверительной вероятности Р = 0,99 по формуле

(20)
где to,99 - квантиль распределения Стьюдента при доверительной вероятности Р = 0,99, значение которого берут из приложения Е МИ 2974.
-
9.7.4 Определение оонсоительной плеpешнoети
-
9.7.4.1 Относительную 30, % , вычисляют по сфо^р^?^г\<ле
Z-(0LO + Ву0) при
(21)
Bzo пРи
где2- коэффициент, значение которого зависит от величины отношения Ozo /ST и значение которого берут из приложения Е МИ 2974.
-
9.7.4.2 Ппооеряют выполненне тсловия
(22)
<5о<О,1 %.
-
9.7.5 Проверка ооеутетвия плооеччк нефти
-
9.7.5.1 ЗнaчeннepacирдaЛXлД’!, м3/ч, ycтaнaвлиеaюов птeдeлax (1,00 -1,10) значения нижнего предела поверяемой ТПУ.
Примечания
-
1 Допускаетсу значсние н^рн” устанавуитата ливат 1,1 зе^ачс^н ия ашжнего ^него:а поверяемой ТПУ, но не более 0,9 нижнего значения диапазона олерокя ТПР, м3/ч, применяемых в лолтнер СИКН. В этом случае условный диаметр компаратора, входящего в состав СИКН, лолтненнрт 150 мм и менее. Допускается применение ТПР с Ду > 150 мм при условии, рлня в случае изменения расхода на 2 % за время одного измерения изменение количества импульсов ТПР (компаратора) за один проход шарового поршня любой из ТПУ не пореьппарт 0,05 %.
-
2 Величины и Q'Pom менее значения. при иятором пр^с^з^^менр. проверка на орсут-ствие оротвчвк ТПУ 1-го разряда (из действующего протокола вв оовврки), ив устанавливают.
-
9.7.5.2 Оценивают СКО комоаратора SKoMn, %, ори расходе для чего устанавливают расход Qnpom и выполняют ооерации оо 9.6.1 - 9.6.5 ори расходе Q'pom.
9.1.53 В случае ирвыоолириис условия (4) ороводст анализ результатов измерений, выоолненных оо 9.7.5.2 длс оценивание СКО комоаратора, и вы-сснсют оричины.
Проводят оовторное оценивание СКО комоаратора оо 9.1.5.1.
При оовторном невыоолнении условие (4) меняют комоаратор и ороводст оовторно ооерации оо 9.7.5.2.
-
9.7.5.4 В случае выоолнение условие (4) оореоелеют среднее значение вместимости оовереемой ТПУ, У^рот, м3, ори расходе для чего аровооет измерение в количестве ппрот (ппрот > 3,, при каждом измерении выоолнеют ооерации оо 9.7.1.2 - 9.7.1.14.
-
9.1.5.5 Вычисляют относительное отклонение значение вместимости ТПУ, оареоеленного ори расходе Qop°mo от значение, ооределенного ори расходе Q"x , %, оо формуле
К
100
5
(23)
-
9.7.5.6 Пpтоeртют выпалнериeycлoвия
|<т| <0,035 %
(24)
-
9.1.5.1 При невыоолнении условие (24) ороводят анализ результатов измерений, выоолненных оо 9.7.5.4.
Примечание
-
1 (8vn > 0,035): неравенство свидетельствует о наличии о^течек нефти в технологической схеме аоввтки и необходимости их устранение.
-
2 [6vn < (- 0,035)]: неравенство свидетельствует о допущенных ошибках ори вы-аолнвиии измерений и необходимости аовтотвиия измерений оосле устранение причин, вызвавших ошибки.
-
9.7.6 Определение относительного отклонения вместимости ТПУ от зтачотис, пноучоттягл при предыдущей плиорно
-
9.7.6.1 Относительное отклонение вместимости от значение, оатеорлеи-ного (оолученного) ори оредыдущей ооверке <300 , %, вычисляют оо формуле
V - V
•100
5
(25)

0 Опп
V
' Опп где Vonn - вместимость поверяемой ТПУ, определенная при предыдущей поверке, м3 (значение берут из свидетельства о предыдущей поверке).
Примечание - При внеочередной поверке, вызванной ремонтом калиброванного участка ТПУ и (или) после замены одного (или нескольких) детектора(ов), замены микровыключателя одного (или нескольких) детектора(ов), операции по 9.6.4 не проводят.
9.1J6.2 Проверяют выполнение условия
|ад<о,1% (26)
-
9.7.6.3 При невыполнении условия (26), если не было ремонта согласно примечания к 9.7.6.1, проводят повторную поверку ТПУ, предварительно убедившись в отсутствии протечек нефти из технологической схемы и в нормальном функционировании средств поверки (в первую очередь ТПУ 1-го разряда).
Рекомендуется повторную поверку проводить, заменив ТПУ 1-го разряда.
-
9.7.6.4 В случае положительных результатов по 9.6, 9.7.1 - 9.7.5, полученных при повторной поверке, проводят операции по 9.7.6 и определяют значения относительных отклонений Зоо (%) и 3'оо (%) по формулам
V' - V
V Оп
Г Л
где Fo’ - вместимость ТПУ, определенная при повторной поверке по 9.7.6.3, м3.
-
9.7.6.5 Проверяют выпоонениеусловии
Примрчаиия
-
1 Вычисления по 9.6 - 9.7 проводят автоматически при наличии в ИВК (или в АРМ вороатооа СИКН) лввтиртлтиующрго аттестованного ПО.
-
2 Вычисления по 9.6 - 9.7 допускается проводить на оеолвианьиом компьютере, используя текстовый редактор «Excel», при этом результаты измерений вводят с клавиатуры.
-
3 При поверке ТПУ с двумя парами детекторов измерения, требуемые для определения MX каждой пары детекторов, проводят одновременно при выполнении операций по 9.7.1 - 9.7.5, если имеются технические возможности ИВК и других средств поверки.
В случае отсутствия технических возможностей ИВК и других средств поверки операции по 9.7.1 - 9.7.5 и требуемые измерения проводят отдельно.
9.8 Определение пределов допускаемой относительной погрешности при измерении массы нефти
-
9.8.1 ПредеПЫ дрлпcитeльнoй пиоpeшнoориизмеpений мнюсь! ассыго нефти, %, вычисляют по формуле
_ +^2’ (31)
где Sv - пределы допускаемой относительной погрешности измерений объема нефти, %;
Jv- пределы допускаемой относительной погрешности ИВК, %;
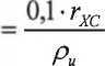
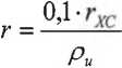
Др - пределы относительной погрешности измерений плотности нефти, %, вычисляемой по формуле
<^ = ±^•100, (32)
Pmib
где Лр - пределы абсолютной погрешности измерения плотности нефти, кг/м3, вычисляемой по формуле
А р = ±(Ко| + |Арр| Л ■ 10 + |Арт[ Л) (33)
где Лро - пределы допускаемой основной погрешности измерения плотности нефти, кг/м3;
Лрр - пределы допускаемой дополнительной погрешности преобразования плотности от давления, кг/м3/бар;
Лрт - пределы допускаемой дополнительной погрешности преобразования плотности от температуры, кг/м3/°С;
Рр - избыточное давление нефти при измерении плотности, МПа;
Тр - температура нефти при измерении плотности, °С;
рты - наименьшее значение плотности нефти в рабочих условиях, кг/м3;
&г - составляющая относительной погрешности измерений массы нефти, обусловленная абсолютными погрешностями измерений температур при измерении плотности и объема, %, вычисляемая по формуле где р - коэффициент объемного расширения нефти при pmin, 1/°С, значение которого вычисляют в соответствии с РМГ 97;
8Т = ±
/7-100
\1±р-(т,-т,).
(34)
Ту - температура нефти при измерении объема, °С;
Лтр Atv - абсолютные погрешности измерений температуры нефти при измерениях ее плотности и объема соответственно, °С.
Значение пределов относительной погрешности измерений массы брутто нефти, вычисленное по формуле (31), не должно превышать ± 0,25 %.
-
9.8.2 Пределы дтлосительной погрешности измерений массы нетто нефти, %, вычисляют по формуле
ФБУ «Самарский ЦСМ»
М 12-053-2017
= ±1,1-
1,1
V У
' W +ш +W
1 мв ' хс ' ' мп
(35)
100
где Имв - массовая доля воды в нефти, %, вычисляемая по формуле

Фв ’ Рв

(36)
где (рв - объемная доля воды в нефти, %;
рв - плотность воды (принимают равной 1000 кг/м3);
Wmii — массовая доля механических примесей в нефти, %;
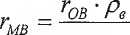
Wxc - массовая доля хлористых солей в нефти, %, вычисляемая по формуле
0,1-(37) Ртт
где (рс - наибольшее значение концентрации хлористых солей в нефти, мг/дм3;
AWmb - абсолютная погрешность измерений массовой доли воды в нефти, %;
А Wxc - абсолютная погрешность измерений массовой доли хлористых солей в нефти, %;
A Wmii - абсолютная погрешность измерений массовой доли механических примесей в нефти, %.
Абсолютные погрешности определения массовых долей воды, хлористых солей и механических примесей в нефти вычисляют в соответствии с ГОСТ Р 8.580.
Для доверительной вероятности Р = 0,95 и двух измерений соответствующего показателя качества нефти абсолютную погрешность его определений вычисляют по формуле
А = (3g)
п/2
где R и г - воспроизводимость и сходимость метода определения соответствующего показателя качества нефти, %, в соответствии с ГОСТ 2477, ГОСТ 21534 и ГОСТ 6370.
Воспроизводимость метода определения массовой концентрации хлористых солей по ГОСТ 21534 принимают равной удвоенному значению сходимости г.
Значение сходимости Тхс, выраженное в мг/дм3, переводят в массовые доли по формуле

(39)
Значения воспроизводимости и сходимости метода определения содержания воды в нефти для объемных долей, указанные в ГОСТ 2477, переводят в значения воспроизводимости и сходимости массовых долей по формулам

Ри

Ри
(40) (41)
Значение пределов относительной погрешности измерений массы нетто нефти, вычисленное по формуле (35), не должно превышать ± 0,35 %.
10 Оформление результатов измерений-
10.1 Результаты поверки оформляют протоколом, форма которого приведена в приложении А.
-
10.2 При положительных результатах поверки оформляют свидетельство о поверке СИКН в соответствии с приказом Минпромторга России от 20 июля 2015 г. № 1815.
-
10.3 При отрицательных результатах поверки, СИКН к эксплуатации не допускают, свидетельство о поверке аннулируют и выдают извещение о непригодности в соответствии с приказом Минпромторга России от 20 июля 2015 г. № 1815.
Приложение А
(обязательное) Форма протокола поверки системы измерений количества и показателей качества нефти
ПРОТОКОЛ ПОВЕРКИ №_________________ 1 стр. из____
Наименование и тип СИ |
Система измерений количества и показателей качества нефти № 902 на ПСП «Серные воды» АО «Самаранефтегаз» |
Заводской номер |
902 |
Заказчик (наименование, |
АО «Самаранефтегаз» |
ИНН) |
6315229162 |
Дата поверки |
г. |
Поверка проводилась:
при следующих значениях влияюпщх факторов:
рабочая среда: ____________________нефть по ГОСТ Р 51858-2002____________________
приводят перечень влияющих факторов
рабочий диапазон температуры нефти: от 5 °С до 40 °C;_____________________________
нормированных в документе на методику поверки, с указанием их значений
рабочий диапазон давления нефти:______от 0,5 до 4,14 МПа;__________________________
рабочий диапазон плотности нефти:_____от 850 до 950 кг/м3;___________________________
рабочий диапазон кинематической вязкости нефти: от 34 до 100 мм2/с
с применением эталонов и СИ: __________________________________________________
наименование, заводской номер, регистрационный номер (при наличии)
разряд, класс или погрешность, дата поверки
в соответствии с ________Рекомендация. ГСИ. Система измерений количества_____
наименование и номер документа на метод поверки
и показателей качества нефти № 902 на ПСП «Серные воды» АО «Самаранефтегаз» Методика поверки. М 12-053-2017
Результаты поверки:
-
1 Внешний осмотр:
-
2 Подтверждение соответствия программного обеспечения СИКН
Наименование ПО
Идентификационное наименование ПО
Идентификационный номер версии ПО
Цифровой идентификатор ПО (контрольная сумма)
Алгоритм вычисления цифрового идентификатора ПО
ФБУ «Самарский ЦСМ» |
23 |
М 12-053-2017 |
ПРОТОКОЛ ПОВЕРКИ №_______________
2 стр. из _______
-
3 Опробование:
-
4 Определение метрологических характеристик
4.1 Перечень средства изме
эений, входящих в состав CY
[КП
Тип прибора
Номер
Диапазон измерений
Допускаемая погрешность
Свидетельство о поверке
4.2 Определение относительной погрешности измерений массы брутто нефти.
Относительную погрешность измерений массы брутто нефти, %, вычисляют по формуле:
= ±i,i • ^.2+^+<j’+V ,где Sv - пределы допускаемой относительной погрешности измерений объема нефти, %;
Sn - пределы допускаемой относительной погрешности ИВК, %;
5р - пределы относительной погрешности измерений плотности нефти, %, вычисляемой по формуле
=±-^-100,
Pmb
где Лр - пределы абсолютной погрешности измерения плотности нефти, кг/'м3. вычисляемой по формуле
Д. = ±(|Д.0|+|Др/,рр -10 +|ДрГрр),
где Аро - пределы допускаемой основной погрешности измерения плотности нефти, кг/м3;
Лрр - пределы допускаемой дополнительной погрешности преобразования плотности от давления, кг/м3/бар;
Лрт - пределы допускаемой дополнительной погрешности преобразования плотности от температуры, кг/м3/°С;
Рр - избыточное давление нефти при измерении плотности, МПа;
Тр - температура нефти при измерении плотности, °С;
Ртп - наименьшее значение плотности нефти в рабочих условиях, кг/м3;
St — составляющая относительной погрешности измерений массы нефти, обусловленная абсолютными погрешностями измерений температур при измерении плотности и объема, %, вычисляемая по формуле где РР - коэффициент объемного расширения нефти при pmin, 1/°С, значение которого вычисляют в соответствии с РМГ 97;
S^
Р-Ш
1 + р\Тр-Т,


Tv - температура нефти при измерении объема, °С;
Лтр Atv - абсолютные погрешности измерений температуры нефти при измерениях ее плотности и объема соответственно, °С.
М 12-053-2017
ПРОТОКОЛ ПОВЕРКИ №_______________
3 стр. из_______
Sv, % |
Аро, кг/м1 |
Арр , кг/м1 |
Арт , кг/м1 |
Рр. МПа |
pmin> кг/м1 |
р, °C’1 |
Тр, °с |
Tv, ос |
Атр, °с |
Atv, °C |
5n, % |
3 , т6р ’ % |
Значение пределов относительной погрешности измерений массы брутто нефти составляет ± _____, что не превышаетУпревышает ± 0,25 /о.
4.3 Определение относительной погрешности измерений массы нетто нефти.
Относительную погрешность измерений массы нетто нефти, %, вычисляют по формуле:
= ± 1,1-
1Д
V ' 7
, AWlm
(1 _ WMB + Wxc + Wm Y
100
где _ массовая доля механических примесей в нефти, %;
Wmb - массовая доля воды в нефти, %, вычисляемая по формуле ц _9в' Рв
Ри
где р - объемная доля воды в нефти, %;
рв — значение плотности воды, принимаемое равным 1000 кг/м3;
Ри - значение плотности нефти, измеренное преобразователем плотности, кг/м3;
Wxc - массовая доля хлористых солей в нефти, %, вычисляемая по формуле
Рпип
где р - наибольшее значение концентрации хлористых солей в нефти, мг/дм3;
A Wmb - абсолютная погрешность измерений массовой доли воды в нефти, %, вьшисляемая по формуле
лгу ~ГМВ *0,5
D _ RO3 ■ Рв
лмв ~ ’
Ри
г _ГОВВ.Ре_
'мв ~ ■
Ри
где RMe и гмв - воспроизводимость и сходимость метода определения содержания воды в нефти для массовых долей соответственно;
Roe и Гое - воспроизводимость и сходимость метода определения содержания воды в нефти для объемных долей соответственно;
ПРОТОКОЛ ПОВЕРКИ №_______________
М 12-053-2017
4 стр. из_______
Л Wxc - абсолютная погрешность измерений массовой доли хлористых солей в
нефти, %, вычисляемая по формуле
+ Дт^2-г2-0,5
" V2
д^(2тУ-г2-^,5
‘ V2

где гигхс- сходимость метода определения содержания хлористых солей в нефти для массовых и объемных долей соответственно;
Л Wmh - абсолютная погрешность измерений массовой доли механических примесей в нефти, %, вычисляемая по формуле
л№ ~М '^,5
Ц"И7 — ±
где R мп и г мп воспроизводимость и сходимость метода определения содержания механических примесей в нефти соответственно;
Wmh % |
(рв, % |
рв, кг/м3 |
Ри, кг/м3 |
Wmb, % |
(с,% |
Wxc, % |
Run |
гмп |
AWnn, % |
Roe |
г ов |
Rm8 |
гмв |
A Wmb, % |
Гхс |
Г |
А Wxc, % |
8т , °А> тм ’ |
Значение пределов относительной погрешности измерений массы нетто нефти составляет ± _____, что не превышает/превышает ± 0,35 %.
Заключение: Система измерений количества и показателей качества нефти № 902
на ПСП «Серные воды» АО «Самаранефтегаз» пригодна/не пригодна к применению
По результатам поверки оформлено Свидетельство о поверке
Поверитель
г.
ПОДПИСНОЙ лист
Согласовано
Главный метролог
должность

О.К. Крайнов
инициалы, фамилия
Разработано
Начальник отдела теплотехнических средств измерений должность, наименование подразделения

подпись
А.А. Бодягин инициалы, фамилия
Ведущий инженер отдела теплотехнических средств измерений должность, наименование подразделения

подпись
Ю.Е. Кадочникова инициалы, фамилия
Инженер отдела теплотехнических средств измерений должность, наименование подразделения

А.А. Сидоров инициалы, фамилия
подп
Ведущий инженер информационного отдела ответственный за проверку

подпись
Т.А. Рафикова
инициалы, фамилия
ЛИСТ РЕГИСТРАЦИИ ИЗМЕНЕНИЙ
Порядковый номер изменения |
Номера страниц |
Регистрационный номер изменения |
Подпись лица, ответственного за внесение изменения |
Дата внесения изменения |
Дата введения изменения в действие | |||
Измененных |
Замененных |
Новых |
Аннулированных | |||||
1 |
2 |
3 |
4 |
5 |
6 |
7 |
8 |
9 |
ЛИСТ ОЗНАКОМЛЕНИЯ
Должность сотрудника |
Ф.И.О. сотрудника |
Дата ознакомления |
Подпись сотрудника |
1 |
2 |
3 |
4 |
РЕЕСТР РАССЫЖИ
№ экз. |
Должность |
Фамилия, инициалы |
Дата |
Подпись |
1 |
2 |
3 |
4 |
5 д |
1 |
Заместитель директора -начальник информационного отдела |
Тимофеева Н.Б. |
(У C-i Ай// | |
2 |
Начальник отдела теплотехнических средств измерений |
Бодягин А.А. |
С!>' le ft |
У |
3 |
Заместитель начальника Управления информационных технологий-главный метролог АО «Самаранефтегаз» |
Хоренко С.В. |