Методика поверки «Система измерительная расхода и количества пара от КГПТО ОАО "ТАИФ-НК" на Нижнекамскую ТЭЦ (ПТК-1)» (МП 1108/1-311229-2017)

Регистрационный номер записи в реестре аккредитованных лиц RA.RU.311229
«УТВЕРЖДАЮ»
директор
2017 г.
«СТП»
И.А. Яценко
Государственная система обеспечения единства измерений
Система измерительная расхода и количества пара от КГПТО ОАО «ТАИФ-НК» на Нижнекамскую ТЭЦ (ПТК-1)
МЕТОДИКА ПОВЕРКИ
МП 1108/1-311229-2017
г. Казань
2017
СОДЕРЖАНИЕ
1 ВВЕДЕНИЕ-
1.1 Настоящая методика поверки распространяется на систему измерительную расхода и количества пара от КГПТО ОАО «ТАИФ-НК» на Нижнекамскую ТЭЦ, изготовленную и принадлежащую КГПТО ОАО «ТАИФ-НК», г. Нижнекамск, и устанавливает методику первичной поверки до ввода в эксплуатацию и после ремонта, а также методику периодической поверки в процессе эксплуатации.
-
1.2 Система измерительная расхода и количества пара от КГПТО ОАО «ТАИФ-НК» на Нижнекамскую ТЭЦ (ПТК-1) (далее - ИС) предназначена для измерений массового расхода и массы перегретого пара.
-
1.3 Принцип действия ИС заключается в непрерывном измерении, преобразовании и
обработке посредством расходомера-счетчика газа и пара модели GS868 (регистрационный номер в Федеральном информационном фонде (далее - регистрационный номер) 50009-12) (далее - расходомер-счетчик) входных сигналов, поступающих по измерительным каналам от ультразвуковых преобразователей расходомера-счетчика, преобразователя (датчика) давления измерительного EJX 510 (регистрационный номер 59868-15) (далее - преобразователь давления), термопреобразователя сопротивления Rosemount 0065 (регистрационный номер 53211-13) (далее - термопреобразователь сопротивления) с преобразователем измерительным Rosemount 248 (регистрационный номер 53265-13) (далее - преобразователь температуры). Результаты измерений и вычислений передаются на верхний уровень по цифровому интерфейсу посредством модуля преобразования
ADAM-4018+ (заводской № IAA8032388) (далее - модуль преобразования).
-
1.4 Поверка ИС проводится поэлементно:
-
- поверка средств измерений (далее - СИ), входящих в состав ИС, осуществляется в соответствии с их методиками поверки;
-
- метрологические характеристики ИС определяют расчетным методом в соответствии с настоящей методикой поверки.
-
1.5 Интервал между поверками СИ, входящих в состав ИС - в соответствии с описаниями типа на эти СИ.
-
1.6 Интервал между поверками ИС - 2 года.
При проведении поверки должны быть выполнены операции, приведенные в таблице 2.1.
Таблица 2.1 - Операции поверки
|
№ п/п |
Наименование операции |
Номер пункта методики поверки |
|
1 |
Проверка технической документации |
7.1 |
|
2 |
Внешний осмотр |
7.2 |
|
3 |
Опробование |
7.3 |
|
4 |
Определение метрологических характеристик |
7.4 |
|
5 |
Оформление результатов поверки |
8 |
3 СРЕДСТВА ПОВЕРКИ
-
3.1 При проведении поверки ИС применяют эталоны и СИ, приведенные в таблице 3.1.
Таблица 3.1 - Основные эталоны и СИ
|
Номер пункта методики |
Наименование и тип основного и вспомогательного средства поверки и метрологические и основные технические характеристики средства поверки |
|
5 |
Барометр-анероид М-67 с пределами измерений от 610 до 790ммрт.ст., погрешность измерений ±0,8 мм рт.ст., по ТУ 2504-1797-75 |
|
5 |
Психрометр аспирационный М34, пределы измерений влажности от 10 до 100 %, погрешность измерений ±5 % |
|
5 |
Термометр ртутный стеклянный ТЛ-4 (№ 2) с пределами измерений от 0 до плюс 55 °C по ГОСТ 28498-90. Цена деления шкалы 0,1 °C |
|
7.3 |
Калибратор многофункциональный MC5-R-IS (далее - калибратор): диапазон воспроизведения силы постоянного тока от 0 до 25 мА, пределы допускаемой основной погрешности воспроизведения ±(0,02 % показания + 1 мкА) |
-
3.2 Допускается применение аналогичных средств поверки, обеспечивающих определение метрологических характеристик ИС с требуемой точностью.
-
3.3 Все применяемые эталоны должны быть аттестованы; СИ должны иметь действующий знак поверки и (или) свидетельство о поверке, и (или) запись в паспорте (формуляре) СИ, заверенной подписью поверителя и знаком поверки.
-
4.1 При проведении поверки должны соблюдаться следующие требования:
-
- корпуса применяемых СИ должны быть заземлены в соответствии с их эксплуатационной документацией;
-
- ко всем используемым СИ должен быть обеспечен свободный доступ для заземления, настройки и измерений;
-
- работы по соединению вспомогательных устройств должны выполняться до подключения к сети питания;
-
- обеспечивающие безопасность труда, производственную санитарию и охрану окружающей среды;
-
- предусмотренные «Правилами технической эксплуатации электроустановок потребителей» и эксплуатационной документацией оборудования, его компонентов и применяемых средств поверки.
-
4.2 К работе по поверке должны допускаться лица:
-
- достигшие 18-летнего возраста;
-
- прошедшие инструктаж по технике безопасности в установленном порядке;
-
- изучившие эксплуатационную документацию на ИС, СИ, входящие в состав ИС, и средства поверки.
При проведении поверки должны соблюдаться следующие условия:
-
- температура окружающего воздуха, °C 20±5
-
- относительная влажность, % от 30 до 80
-
- атмосферное давление, кПа от 84 до 106
-
6.1 Перед проведением поверки выполняют следующие подготовительные операции:
-
- проверяют заземление СИ, работающих под напряжением;
-
- эталонные СИ и вторичные измерительные преобразователи ИС устанавливают в рабочее положение с соблюдением указаний эксплуатационной документации;
-
- эталонные СИ и вторичные измерительные преобразователи ИС выдерживают при температуре, указанной в разделе 5, не менее трех часов, если время их выдержки не указано в эксплуатационной документации;
-
- осуществляют соединение и подготовку к проведению измерений эталонных СИ и вторичных измерительных преобразователей ИС в соответствии с требованиями эксплуатационной документации.
-
7.1.1 При проведении проверки технической документации проверяют наличие:
-
- паспорта на ИС;
-
- руководства по эксплуатации на ИС;
-
- паспортов (формуляров) на следующие СИ, входящие в состав ИС: расходомер-счетчик, преобразователь давления, термопреобразователь сопротивления, преобразователь температуры;
-
- действующего знака поверки и (или) свидетельства о поверке, и (или) записи в паспорте (формуляре) СИ, заверенной подписью поверителя и знаком поверки у следующих СИ, входящих в состав ИС: расходомер-счетчик, преобразователь давления, термопреобразователь сопротивления, преобразователь температуры;
-
- свидетельства о предыдущей поверке ИС (при периодической поверке);
-
- методики поверки на ИС.
-
7.1.2 Результаты проверки считают положительными при наличии всей технической документации по 7.1.1.
-
7.2.1 При проведении внешнего осмотра ИС контролируют выполнение требований технической документации к монтажу СИ, измерительно-вычислительных и связующих компонентов ИС.
-
7.2.2 При проведении внешнего осмотра ИС устанавливают состав и комплектность ИС.
-
7.2.3 Результаты проверки считают положительными, если монтаж СИ, измерительновычислительных и связующих компонентов ИС, внешний вид и комплектность ИС соответствуют требованиям технической документации.
-
7.3 Опробование
-
7.3.1.1 Подлинность программного обеспечения (далее - ПО) ИС проверяют сравнением идентификационных данных ПО ИС с соответствующими идентификационными данными, зафиксированными при испытаниях в целях утверждения типа и отраженными в описании типа ИС. Проверку идентификационных данных ПО ИС проводят в соответствии с эксплуатационной документацией на ИС.
-
7.3.1.2 Проверяют возможность несанкционированного доступа к ПО ИС и наличие авторизации (введение пароля), возможность обхода авторизации, проводят проверку реакции ПО ИС на неоднократный ввод неправильного пароля.
-
7.3.1.3 Результаты опробования считают положительными, если идентификационные данные ПО ИС совпадают с исходными, указанными в описании типа на ИС, исключается возможность несанкционированного доступа к ПО ИС, обеспечивается авторизация.
-
7.3.2.1 Приводят ИС в рабочее состояние в соответствии с эксплуатационной документацией. Проверяют прохождение сигналов калибратора, имитирующих входные сигналы. Проверяют на дисплее электронно-вычислительного блока расходомера-счетчика ИС показания по регистрируемым в соответствии с конфигурацией ИС параметрам технологического процесса.
-
7.3.2.2 Результаты опробования считают положительными, если при увеличении и уменьшении значения входного сигнала ИС соответствующим образом изменяются значения измеряемой величины на дисплее электронно-вычислительного блока расходомера-счетчика.
-
7.4.1.1 Подключают калибратор, установленный в режим имитации сигналов силы постоянного тока от 4 до 20 мА, к соответствующим каналам модуля преобразования, выходные каналы модуля преобразования подключают к персональному компьютеру (далее -ПК) по интерфейсу RS-485, в соответствии с эксплуатационной документацией.
-
7.4.1.2 С помощью калибратора задают электрический сигнал силы постоянного тока. В качестве реперных точек принимаются точки 4; 8; 12; 16; 20 мА.
-
7.4.1.3 С монитора ПК считывают значения входного сигнала в мА и в каждой реперной точке вычисляют приведенную погрешность уг, %, по формуле
max
(1)
где I - значение силы постоянного тока, соответствующее показаниям
модуля преобразования в i-ой реперной точке, мА;
1ЭТ - показание калибратора в i-ой реперной точке, мА;
[ . - максимальное и минимальное значения границы диапазона аналогового
max ’ min
сигнала силы постоянного тока, мА.
-
7.4.1.4 Результаты поверки считают положительными, если приведенная погрешность модуля преобразования при преобразовании входных аналоговых сигналов силы постоянного тока от 4 до 20 мА в цифровой сигнал в каждой реперной точке не выходит за пределы ±0,2 %.
-
7.4.2.1 Пределы относительной погрешности измерений массового расхода и массы пара 3qM ’ рассчитывают по формуле
+^Р+^ыч+(//_ОР+^7_АОАм)' в’ (2)
где $ - относительная погрешность измерений объемного расхода и объема пара при
рабочих условиях, %;
д - относительная погрешность определения плотности пара при условиях измерения объемного расхода пара, %;
S - относительная погрешность при вычислении массового расхода и массы пара, %;
-
- приведенная погрешность аналогового канала вывода расходомера-счетчика, %;
-
- приведенная погрешность модуля преобразования в условиях эксплуатации при преобразовании входных аналоговых сигналов силы постоянного тока от 4 до 20 мА в цифровой сигнал, %;
-
- верхний предел диапазона измерений массового расхода пара, т/ч;
- нижний предел диапазона измерений массового расхода пара, т/ч;
- измеренное значение массового расхода пара, т/ч.
1А.2.2 Пределы относительной погрешности измерений объемного расхода и объема пара 8, %, рассчитывают по формуле
О) где § - относительная погрешность измерений объемного расхода и объема пара при
рабочих условиях расходомером-счетчиком, %;
£ - относительная погрешность определения внутреннего диаметра ИТ,
обусловленные его принятием условно-постоянным значением в рабочем диапазоне температур пара, %, не превышают ±0,4 %.
7.4.2.3 Пределы относительной погрешности определения плотности пара при рабочих условиях 8р , %, рассчитывают по формуле
, (4)
где 8 - методическая относительная погрешность определения плотности пара в
соответствии с ГСССД МР 147-2008, %;
9рт - коэффициент влияния температуры на плотность пара; 8Т - относительная погрешность измерений температуры пара, %; Зр - коэффициент влияния абсолютного давления на плотность пара;
-
8 - относительная погрешность измерений абсолютного давления пара, %.
-
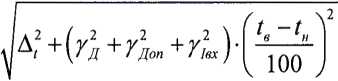
7.4.2.4 Пределы относительной погрешности измерений температуры пара 8Т, %,
рассчитывают по формуле
8Т = ±
100
273,15 + t

(5)
где t
А,
/л
Yiex

измеренное значение температуры, °C;
абсолютная погрешность измерений температуры термопреобразователем сопротивления, °C;
основная приведенная погрешность измерений и преобразований в температуру преобразователем температуры сигналов от термопреобразователя сопротивления с номинальной статической характеристикой (далее - НСХ) Pt 100,%;
дополнительная приведенная погрешность измерений и преобразований в температуру преобразователя температуры, вызванная влиянием температуры окружающей среды в рабочем диапазоне температур, выраженная в процентах от диапазона изменения выходного сигнала от термопреобразователя сопротивления с НСХ Pt 100, %;
приведенная погрешность электронного блока расходомера-счетчика при преобразовании входного аналогового сигнала постоянного тока от 4 до 20 мА в цифровое значение измеряемого параметра, %;
верхний предел диапазона измерений температуры, °C;
t - нижний предел диапазона измерений температуры, °C.
-
7.4.2.5 Пределы относительной погрешности измерений абсолютного давления пара
8, %, рассчитывают по формуле
(6)
где Рв
- верхний предел диапазона измерений абсолютного давления, МПа;
- нижний предел диапазона измерений абсолютного давления, МПа;
Р - измеренное значение абсолютного давления, МПа; у - основная приведенная погрешность измерений преобразователем давления абсолютного давления, %;
у - дополнительная приведенная погрешность преобразователя давления от влияния изменения температуры окружающего воздуха.
-
7.4.2.6 Коэффициент влияния &у измеряемого параметра .у, (абсолютного давления, температуры) на окончательный результат измерений у (плотность) рассчитывают по формуле

(7)
где Ду - изменение окончательного результата измерений у при изменении
измеряемого параметра у i на значение Ду.
-
7.4.2.7 Результаты поверки считают положительными, если пределы относительной погрешности измерений массового расхода и массы перегретого пара ИС не превышают ±2,4 %.
-
8.1 При положительных результатах поверки оформляют свидетельство о поверке ИС в соответствии с приказом Министерства промышленности и торговли Российской Федерации от 2 июля 2015 г. № 1815 «Об утверждении Порядка проведения поверки средств измерений, требования к знаку поверки и содержанию свидетельства о поверке».
-
8.2 Отрицательные результаты поверки ИС оформляют в соответствии с приказом Министерства промышленности и торговли Российской Федерации от 2 июля 2015 г. № 1815 «Об утверждении Порядка проведения поверки средств измерений, требования к знаку поверки и содержанию свидетельства о поверке». При этом выписывается извещение о непригодности к применению ИС с указанием причин непригодности.
8 из 8
