Методика поверки «АКСЕЛЕРОМЕТРЫ ПЬЕЗОЭЛЕКТРИЧЕСКИЕ 351М34» (РТ-МП-4547-441-2017)
ФЕДЕРАЛЬНОЕ АГЕНТСТВО ПО ТЕХНИЧЕСКОМУ РЕГУЛИРОВАНИЮ И МЕТ РОЛОГИИ
ФЕДЕРАЛЬНОЕ БЮДЖЕТНОЕ УЧРЕЖДЕНИЕ «ГОСУДАРСТВЕННЫЙ РЕГИОНАЛЬНЫЙ ЦЕНТР СТАНДАРТИЗАЦИИ,
МЕТРОЛОГИИ И ИСПЫТАНИЙ В Г. МОСКВЕ»
(ФБУ «РОСТЕСТ - МОСКВА»)
УТВЕРЖДАЮ

«01» августа 2017 г.
генерального директора Москва»
Е.В. Морин
Государственная система обеспечения единства измерений
АКСЕЛЕРОМЕТРЫ ПЬЕЗОЭЛЕКТРИЧЕСКИЕ 351М34
Методика поверки
РТ-МП-4547-441-2017 г. Москва
2017 г.
Лист № 2 Всего листов 9 Настоящая методика распространяется на акселерометры пьезоэлектрические 351М34 (далее - акселерометры), изготовленные РСВ Piezotronics, Inc., США, и устанавливает порядок и объем их первичной и периодической поверок.
Интервал между поверками 12 месяцев.
1 ОПЕРАЦИИ ПОВЕРКИПри проведении поверки выполняют операции, указанные в таблице 1.
Таблица 1 - Операции поверки
Наименование операции |
Номер пункта НД по поверке |
Обязательность проведения операции при | |
первичной поверке |
периодической поверке | ||
Внешний осмотр |
7.1 |
Да |
Да |
Опробование |
7.2 |
Да |
Да |
Определение предела допускаемого отклонения коэффициента преобразования на базовой частоте 100 Гц |
7.3 |
Да |
Да |
Определение неравномерности амплитудно-частотной характеристики |
7.4 |
Да |
Да |
Определение нелинейности амплитудной характеристики |
7.5 |
Да |
Да |
Определение относительного коэффициента поперечного преобразования акселерометра |
7.6 |
Да |
Нет |
При проведении поверки применяют средства измерений и вспомогательные устройства, приведенные в таблице 2.
Таблица 2 - Средства измерений
Номер пункта НД по поверке |
Наименование средств поверки |
7.3, 7.4, 7.5, 7.6 |
Поверочная виброустановка 2-го разряда по ГОСТ Р 8.800-2012, диапазон частот от 0,6 до 5000 Гц Вольтметр универсальный цифровой быстродействующий В7-43, диапазон измерения переменного напряжения от 1 мВ до 1000 В, ПГ ± (0,5+0,1 ((10/и„зм)-1)) |
7.2 |
Усилитель измерительный Nexus мод. 2692, 0,1-200000 Гц Динамический диапазон 120 дБ, пределы допускаемой абсолютной погрешности ± 0,05 дБ |
7.2 |
Осциллограф цифровой LeCroy WaveAce 2034, диапазон коэффициентов отклонения от 2 мВ/дел до 5 В/дел, пределы допускаемой абсолютной погрешности измерения постоянного напряжения ±(3-10'2 -U +0,1 дел 'Коткл+1 мВ) |
Примечание - Допускается применение аналогичных средств поверки, обеспечивающих определение метрологических характеристик поверяемых СИ с требуемой точностью.
3 ТРЕБОВАНИЯ К КВАЛИФИКАЦИИ ПОВЕРИТЕЛЕЙК проведению поверки акселерометров допускается инженерно-технический персонал со среднетехническим или высшим инженерным образованием, имеющим опыт работы с
Лист № 3 Всего листов 9 аналогичным оборудованием, ознакомленный с эксплуатационной документацией и настоящей методикой поверки.
4 ТРЕБОВАНИЯ БЕЗОПАСНОСТИ-
4.1 К проведению поверки допускаются лица, прошедшие инструктаж по технике безопасности.
-
4.2 При работе с измерительными приборами и вспомогательным оборудованием должны быть соблюдены требования безопасности, оговоренные в соответствующих технических описаниях и эксплуатационных документах применяемых приборов.
При проведении поверки должны соблюдаться следующие условия:
температура окружающего воздуха.....................................(20 ± 5) °C
относительная влажность воздуха........................................не более 80 %
атмосферное давление...........................................................от 94 до 106 кПа
-
6.1 Проверить наличие средств поверки, укомплектованность их эксплуатационными документацией (далее - ЭД) и необходимыми элементами соединений.
-
6.2 Используемые средства поверки разместить, заземлить и соединить в соответствии с требованиями ЭД на указанные средства.
-
6.3 Подготовку, соединение, включение и прогрев средств поверки, регистрацию показаний и другие работы по поверке произвести в соответствии с ЭД на указанные средства.
-
7 ПРОВЕДЕНИЕ ПОВЕРКИ
При внешнем осмотре должно быть установлено соответствие акселерометра следующим требованиям:
-
• отсутствие видимых механических повреждений корпуса акселерометра, отсутствие внешних повреждений соединительного кабеля, исправность крепежных приспособлений;
-
• соответствие комплектности и маркировки ЭД.
В случае обнаружения несоответствия хотя бы по одному из вышеуказанных требований поверка прекращается (до устранения нарушения).
Результаты внешнего осмотра считать удовлетворительными, если акселерометр соответствует вышеперечисленным требованиям, комплектность полная.
7.2. ОпробованиеДля проведения опробования акселерометров необходимо:
-
- подготовить акселерометр к работе в соответствии с руководством по эксплуатации;
-
- разместить акселерометр на рабочем месте, исключив перегибание соединительных кабелей;
-
- подключить акселерометр к входу усилителя измерительного Nexus мод. 2692 (далее -усилитель измерительный);
-
- выход усилителя измерительного соединить с входом (канал 1) осциллографа цифрового «LeCroy WaveAce 2034» (далее - осциллограф).
Слегка постукивая по корпусу акселерометра, контролировать показания осциллографа.
При изменении выходного сигнала синхронно с ударами акселерометр признается
Лист № 4 Всего листов 9 работоспособным.
Результаты опробования считаются удовлетворительными, если для акселерометров предусмотренная процедура опробования успешно выполняется. При неудовлетворительных результатах поверка прекращается и выписывается извещение о непригодности по установленной форме.
7.3. Определение предела допускаемого отклонения коэффициента преобразования на базовой частоте 100 ГцДля определения значения коэффициента преобразования акселерометров па базовой частоте необходимо:
-
- подготовить поверочную виброустановку (далее - виброустановка) к проведению измерений в соответствии с «Руководством по эксплуатации»;
-
- закрепить акселерометр на измерительном столе виброустановки посредством шпильки;
-
- собрать измерительную схему в соответствии с рисунком 1.
Рисунок 1 - Схема подключения акселерометра при проведении поверки
— воспроизвести на виброустановке вибрацию с частотой 100 Гц и пиковым значением виброускорения 14,1 м/с2. Расчет коэффициента преобразования осуществляется по формуле 1.
Ко Uвых / @вх (мВ/м/С ) ,
(1)
где ивЬ1Х — значение напряжения, измеренное вольтметром универсальным цифровым быстродействующим В7-43 (далее - вольтметр) на выходе акселерометра, мВ
авх - задаваемое на виброустановке значение виброускорения, м/с2
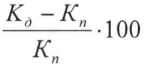
Значение допускаемого отклонения коэффициента преобразования на базовой частоте вычисляют по формуле 2:

где К„ - номинальное значение коэффициента преобразования акселерометра, мВ/м/с2 Кд - измеренное значение коэффициента преобразования акселерометра, мВ/м/с2
Полученные результаты занести в таблицу А.1 в Приложении А к настоящей методике поверки.
Результаты поверки по данному пункту считаются удовлетворительными, если пределы допускаемого отклонения коэффициента преобразования акселерометра на базовой частоте 100 Гц не превышают ±10 %. При неудовлетворительных результатах поверка прекращается и выписывается извещение о непригодности по установленной форме.
7.4. Определение неравномерности амплитудно-частотной характеристикиДля определения неравномерности амплитудно-частотной характеристики (далее - АЧХ) необходимо:
-
- подготовить виброустановку к проведению измерений в соответствии с «Руководством по эксплуатации»;
-
- закрепить акселерометр на измерительном столе виброустановки посредством шпильки;
-
- собрать измерительную схему в соответствии с рисунком 1.
-
- воспроизвести на виброустановке пиковое значение виброускорения, равное 14,1 м/с2. Данное значение виброускорения остается неизменным в каждой точке (таблица А.2, Приложение А), исследуемого диапазона частот. Расчет коэффициента преобразования на каждой частоте осуществляется по формуле 1.
Определение неравномерности АЧХ вычисляют по формуле 3.
100 , (3)
Кд
где Кд - измеренное значение коэффициента преобразования акселерометра на базовой частоте 100 Гц, мВ/м/с2
Kdi. - измеренное значение коэффициента преобразования акселерометра в /-той точке диапазона частот, мВ/м/с2
Полученные результаты занести таблицу А.2 в Приложении А к настоящей методике поверки.
Результаты поверки по данному пункту считаются удовлетворительными, если неравномерность амплитудно-частотной характеристики не превышает:
-
- ± 15 в диапазоне частот (от 0,6 до 1,2 включ.) Гц;
-
- ± 10 в диапазоне частот (св. 1,2 до 2 включ.) Гц;
-± 5 в диапазоне частот (св. 2 до 2000 включ.) Гц;
-
- ± 10 в диапазоне частот (св. 2000 до 3500 включ.) Гц;
-± 15 в диапазоне частот (св. 3500 до 5000) Гц.
При неудовлетворительных результатах поверка прекращается и выписывается извещение о непригодности по установленной форме.
7.5. Определение нелинейности амплитудной характеристикиДля определения нелинейности амплитудной характеристики (далее - АХ) акселерометров необходимо:
-
- подготовить виброустановку к проведению измерений в соответствии с «Руководством по эксплуатации»;
-
- закрепить акселерометр на измерительном столе виброустановки посредством шпильки;
-
- собрать измерительную схему в соответствии с рисунком 1.
-
- воспроизвести на виброустановке вибрацию с частотой 100 Гц и пиковыми значениями виброускорений 1,0 м/с2, 14,1 м/с2, 70,5 м/с2, 147,0 м/с2;
- произвести измерения в каждой контрольной точке согласно РЭ на виброустановку.
За показатель нелинейности амплитудной характеристики принять максимальное по модулю значение, вычисленное по формуле 3:
(4) |
где К<)г - измеренный коэффициент преобразования в z'-м эксперименте, мВ/м/с2 Кср - среднее значение коэффициента преобразования по формуле 5.
Вычисление формуле 5: |
среднего значения коэффициента преобразования (Кср) произвести по = ' > (5) п |
где К& - коэффициент преобразования в z-том измерении;
п - число измерений.
Полученные результаты занести в таблицу А.З в Приложении А к настоящей методике поверки.
Результаты поверки по данному пункту считаются удовлетворительными, если нелинейность амплитудной характеристики не превышает 1 %. При неудовлетворительных результатах поверка прекращается и выписывается извещение о непригодности по установленной форме.
7.6. Определение относительного коэффициента поперечного преобразования акселерометраДля определения относительного коэффициента поперечного преобразования акселерометров необходимо:
-
- подготовить виброустановку для воспроизведения ускорения в соответствии с «Руководством по эксплуатации»;
-
- подготовить специальное поворотное устройство, обеспечивающее поворот акселерометра вокруг его оси чувствительности на 360° с интервалом не более 30°;
-
- закрепить поворотное устройство на вибрационном столе виброустановки;
-
- закрепить акселерометр на поворотном устройстве посредством шпильки;
-
- собрать измерительную схему в соответствии с рисунком 1.
-
- задать уровень виброускорения равный 70,5 м/с" на базовой частоте 100 Гц;
-
- после каждого z-oro измерения изменять положение акселерометра на 30°, закрепляя его на поворотном устройстве.
Значение относительного коэффициента поперечного преобразования для каждого положения акселерометра, соответствующего повороту вокруг оси чувствительности па 0°, 30°, 60°, 90°, 120°, 150°, 180°, 210°, 240°, 270°, 300°, 330° рассчитать по формуле 6.
К
Кп=-2-ЛЫ) п К
(6)
где: Кд- относительный коэффициент поперечного преобразования, мВ/м/с2
К - коэффициент преобразования акселерометра на базовой частоте 100 Гц, ;
Кс/7 - среднее значение коэффициента преобразования акселерометра рассчитанное по формуле (5).
Полученные результаты занести в таблицу А.4 в Приложении А к настоящей методике поверки.
Результаты поверки по данному пункту считаются удовлетворительными, если относительный коэффициент поперечного преобразования акселерометра не превышает 5 %. При неудовлетворительных результатах поверка прекращается и выписывается извещение о непригодности по установленной форме.
8 ОФОРМЛЕНИЕ РЕЗУЛЬТАТОВ ПОВЕРКИ-
8.1 Результаты измерений, полученные в процессе поверки, заносят в протокол согласно Приложению А к настоящей методике поверки.
-
8.2 При положительных результатах поверки выдается свидетельство о поверке в соответствии с приказом Министерства промышленности и торговли Российской Федерации №1815 от 02.07.2015.
Начальник лаборатории №441
ФБУ «Ростест - Москва»
Инженер по метрологии ФБУ «Ростест - Москва»

Баринов

В.М. Бородулина
Приложение А (Рекомендуемое) Форма протокола
Таблица А. 1 - Значение отклонения коэффициента преобразования на базовой частоте 100 Гц
Номинальное значение коэффициента преобразования, мВ/м с' 2 |
Измеренное значение коэффициента преобразования на базовой частоте 100 Гц, мВ/м-с'2 |
Предел допускаемого отклонения значения коэффициента преобразования от номинального значения на базовой частоте 100 Гц, % |
1 |
2 |
3 |
Таблица А.2 - Неравномерность амплитудно-частотной характеристики
Заданная частота, Гц |
Измеренное значение коэффициента преобразования на заданной частоте, мВ/м с'2 |
Измеренное значение коэффициента преобразования на базовой частоте 100 Гц, мВ/м с"2 |
Предел допускаемого отклонения значения коэффициента преобразования в рабочем диапазоне частот, % |
1 |
2 |
3 |
4 |
0,6 | |||
1 | |||
1,2 | |||
2 | |||
5 | |||
10 | |||
50 | |||
100 | |||
160 | |||
300 | |||
500 | |||
1000 | |||
2000 | |||
3500 | |||
4500 | |||
5000 |
Таблица А.З - Нелинейность амплитудной характеристики
Заданное значение пикового виброускорения, м/с2 |
Нелинейность АХ |
Среднее значение коэффициента преобразования |
Максимальное значение нелинейности АХ, % |
1 |
2 |
3 |
4 |
1,0 | |||
14,1 | |||
70,5 | |||
147,0 |
Таблица А.4 - Значение относительного коэффициента поперечного преобразования
Коэффициент преобразования на базовой частоте 100 Гц, мВ/м-с’2 |
Заданный уровень виброускорения, м/с2 |
Угол поворота, 0 |
Коэффициент поперечного преобразования, мВ/м-с’2 |
Относительный коэффициент поперечного преобразования, % |
1 |
2 |
3 |
4 |
5 |
0 | ||||
30 | ||||
60 | ||||
90 | ||||
120 | ||||
150 | ||||
180 | ||||
210 | ||||
240 | ||||
270 | ||||
300 | ||||
330 |