Методика поверки «ИНСТРУКЦИЯ Государственная система обеспечения единства измерений СЧЁТЧИКИ ГАЗА С ЭЛЕКТРОННЫМ ТЕРМОКОМПЕНСАТОРОМ СГБЭТ «СИГМА»» (MП 0611-13-2017)
ФЕДЕРАЛЬНОЕ АГЕНТСТВО ПО ТЕХНИЧЕСКОМУ РЕГУЛИРОВАНИЮ И МЕТРОЛОГИИ
Федеральное государственное унитарное предприятие «Всероссийский научно-исследовательский институт расходометрии»
Государственный научный метрологический центр
ФГУП «ВНИИР»

ИНСТРУКЦИЯ
Государственная система обеспечения единства измерений
СЧЁТЧИКИ ГАЗА С ЭЛЕКТРОННЫМ ТЕРМОКОМПЕНСАТОРОМ СГБЭТ «СИГМА» Методика поверки МП 0611-13-2017
Начальник от

0-13
А.И. Горчев
Тел. отдела: 8(843) 272-01-12
Казань
2017
РАЗРАБОТАНА
ФГУП «ВНИИР» ООО ЭПО «Сигнал»
УТВЕРЖДЕНА ФГУП «ВНИИР»
СОДЕРЖАНИЕ-
8 Оформление результатов поверки
Приложение А
Оценка доли несоответствующих единиц продукции процесса
13
Приложение Б
Форма протокола поверки
19
Приложение В
Форма протокола поверки на основании выборки по
ГОСТРИСО 3951-2-2015
20
Настоящая методика поверки распространяется на счётчики газа с электронным термокомпенсатором СГБЭТ «Сигма» (типоразмеры Gl,6, G2,5, G4, G6, GIO, G16, G25; далее счётчики) и устанавливает методику их первичной и периодической поверки.
Допускается проведение первичной поверки однотипных счетчиков на основании выборки при общем уровне контроля II ГОСТ Р ИСО 3951-2-2015 с предельно допустимым уровнем несоответствий AQL=2,5% («s» метод).
Межповерочный интервал 6 лет.
1 ОПЕРАЦИИ ПОВЕРКИ-
1.1 При поверке выполняют операции перечисленные в таблице 1.
Таблица 1
Наименование операции |
Номер пункта настоящей методики |
Проведение операции при | |
первичной поверке |
периодической поверке | ||
1 Проверка внешнего вида, состава, комплектности и маркировки |
6.1 |
Да |
Да |
2 Проверка целостности защитных пломб |
6.2 |
Нет |
Да |
3 Подтверждение соответствия идентификационных данных ПО |
6.3 |
Да |
Да |
4 Определение потери давления при максимальном расходе и опробование счетчика |
6.4 |
Да |
Нет |
5 Определение основной относительной погрешности счетчика и канала измерения температуры |
6.5 |
Да |
Да |
6 Определение порога чувствительности |
6.6 |
Нет |
Да |
7 Проверка на воздействие постоянного магнитного поля |
6.7 |
Нет |
Да |
8 Определение дополнительной погрешности счетчика, вызванной отклонением температуры измеряемого газа от нормальной |
6.8 |
Нет |
Да |
-
1.2 Выполнение операции по пункту 6.4 настоящей методики проводить одновременно при выполнении пункта 6.5.
2.1 Средства поверки приведены в таблице 2. Таблица 2
Номер пункта настоящей методики |
Наименование и тип основного или вспомогательного средства поверки; обозначение нормативного документа, регламентирующего технические требования и (или) метрологические и основные технические характеристики средства поверки |
1 |
2 |
6.4, 6.5, 6.6, 6.8 |
Установка поверочная «Стандарт», с погрешностью не более ±0,4 %, диапазон расходов от 0,003 до 40 м3/ч, СЯМИ.408863-641 ТУ; |
установка У-659 для поверки счетчиков газа бытовых, с погрешностью не более ±0,4 %, диапазон расходов от 0,016 до 40 м3/ч, ТУ 4213-027-07508919-97; | |
камера тепла и холода, диапазон температур от минус 60 до плюс 60 °C, погрешность не более ±3 °C | |
частотомер электронно-счетный вычислительный 43-64/1, диапазон от 10'8 до 2-104 с, погрешность измерения интервалов времени не более ±0,301-Ю’3 %, ДЛИ 2.721.006-02 ТУ | |
гигрометр психрометрический типа ВИТ-1, диапазон измерения относительной влажности от 20 до 90 %, ПГ±7 %; диапазон измерения температуры от 0 до 25 °C, ПГ(±0,2 °C), ТУ 25-11.1645-84; | |
гигрометр психрометрический типа ВИТ-2, диапазон измерения относительной влажности от 40 до 90 %, ПГ±6 %; диапазон измерения температуры от 16 до 40 °C, ПГ(±0,2 °C), ТУ 25-11.1645-84; | |
барометр-анероид М 67, диапазон измерения от 81130 до 105320 Па (от 610 до 790 мм рт. ст.), с погрешностью не более ±106 Па (±0,8 мм рт.ст.) ТУ 2504-1797-75 |
-
2.2 Допускается применения аналогичных средств поверки, обеспечивающих контроль метрологических характеристик поверяемых СИ с требуемой точностью.
-
3.1 При проведении поверки счётчиков газа соблюдают требования безопасности в соответствии с «Правилами безопасности при эксплуатации электроустановок потребителей» и «Правилами технической эксплуатации электроустановок потребителей» и условиями безопасности, указанными в эксплуатационной документации на счётчики и средства поверки.
-
3.2 К поверке счетчика допускают лиц, аттестованных на проведение поверочных работ и имеющих опыт поверки средств измерений расхода и объёма газов, опыт работ с персональным компьютером и прошедших инструктаж по технике безопасности в установленном порядке.
-
4.1 При проведении поверки соблюдают следующие условия:
-
- поверочная среда - воздух;
-
- температура окружающего воздуха и поверочной среды - от плюс 15 до плюс 25 °C;
-
- относительная влажность воздуха — от 30 до 80 %;
-
- атмосферное давление — от 84 до 106,7 кПа (от 630 до 800 мм рт.ст.);
-
- разность температур поверяемой среды в поверочной установке, поверяемом счётчике и окружающей среде не более 1 °C (требование автоматически выполняется при соблюдении пункта 4.2 настоящей методики).
-
4.2 Перед поверкой счетчики и средства поверки выдерживают в помещении, где проводится поверка, не менее 1 часа.
-
5.1 Подготовка к работе средств поверки проводится согласно прилагаемой к ним эксплуатационной документации.
-
5.2 Поверку счетчиков проводят как индивидуально, так и партиями, с учетом конструктивного исполнения поверочных установок.
-
6.1 Проверка внешнего вида, состава, комплектности и маркировки
Проверку внешнего вида, состава, комплектности и маркировки проводят визуальным осмотром счетчика и сличением с эксплуатационной документацией
При проведении внешнего осмотра устанавливают соответствие поверяемого счетчика следующим требованиям:
-
- наличие протокола приемо-сдаточных испытаний (для первичной поверки);
-
- правильность оформления паспорта (для первичной поверки);
-
- отсутствие на счетчике механических повреждений, препятствующих его применению;
-
- четкость надписей и обозначений на счетчике.
Счетчик считают выдержавшим проверку, если он отвечает вышеперечисленным условиям.
-
6.2 Проверка целостности защитных пломб
Проводят проверку наличия и целостности пломб, предотвращающих несанкционированные вмешательства, которые могут привести к искажению результатов измерений счетчика.
Проверяют возможность установки поверительных клейм и пломб на компонентах счетчика.
Счетчик считают выдержавшим проверку, если он отвечает вышеперечисленным условиям.
-
6.3 Подтверждение соответствия идентификационных данных программного обеспечения
Подтверждение соответствия программного обеспечения заявленным идентификационным данным проводят с использованием ПК и программы «ИД_СГБЭТ_Сигма.ехе», которая доступна на официальном сайте компании ООО ЭПО «Сигнал».
Подключить счетчик к последовательному порту СОМ компьютера с помощью устройства согласования через RS-232.
Выбрать сетевой порт и сетевой адрес прибора, подтвердить данные. На мониторе ПК должны отобразиться идентификационные данные программного обеспечения, указанные в таблице 3.
Таблица 3
Идентификационные данные (признаки) |
Значение |
Идентификационное наименование ПО |
СЯМИ.00060-01 12 01 |
Номер версии (идентификационный номер) ПО |
3.01 |
Цифровой идентификатор ПО |
A2F8 |
Результат подтверждения соответствия программного обеспечения считается положительным, если отображенные идентификационные данные программного обеспечения (идентификационное наименование программного обеспечения, номер версии, цифровой идентификатор программного обеспечения) соответствуют указанным в таблице 3.
-
6.4 Определение потери давления при максимальном расходе и опробование счетчика
Определение потери давления и опробование счётчика производят, пропуская поток воздуха на расходе Qmax. Потерю давления определяют по показаниям мановакуумметра, входящего в состав установки поверочной. При опробовании убеждаются в смене показаний на дисплее счётчика и в отсутствии на дисплее надписи «Error».
Счетчик считается выдержавшим проверку, если разность уровней жидкости, соответствующая перепаду давления, в трубах мановакуумметра не превышает значений указанных в таблице 4.
Таблица 4
Типоразмер счетчика |
Gl,6 |
G2,5 |
G4 |
G6 |
GIO |
G16 |
G25 |
Допускаемая потеря давления ApQmax, Па, не более |
200 |
250 |
300 |
-
6.5 Определение основной относительной погрешности счётчика и канала измерения температуры (встроенного терморезистора) в диапазоне температур от 15 до 25 °C.
Определение основной относительной погрешности счётчика и канала измерения температуры (встроенного терморезистора) проводят на установке поверочной на расходах Qmax, Qhom, Qt=O TQhomj Qmin-
Значение температуры измеряемой среды, при которой производят поверку, определить по термометру, значение атмосферного давления определить по барометру-анероиду, значение влажности воздуха определить по гигрометру психрометрическому, значение потери давления на счетчике определить по мановакуумметру, время работы измерительного механизма счётчика на поверяемом расходе, кратное полным циклам работы измерительного механизма, определить пультом управления установки или другим средством измерения (например частотомером).
Допускается использовать среднестатистические данные значений потери давления на счетчике указанные в таблице 5.
Таблица 5
Параметр |
Значение для типоразмера счетчика | |||||||
Gl,6 |
G2,5 |
G4 |
G6 |
G10 |
G16 |
G25 | ||
Допускаемая |
потеря | |||||||
давления, ЛРСЧ., |
Па, на | |||||||
расходах: | ||||||||
Qmax |
200 |
250 |
300 | |||||
Qhom |
120 |
130 |
140 | |||||
0,1 Qhom-Qt. |
50 |
60 |
70 | |||||
Qmin |
30 |
30 |
40 |
-
6.5.1 Подключить счетчик (без крышки батарейного отсека) с помощью переходника к поверочной установке, включить НЧ выход
-
6.5.2 Задать поверяемый расход, допускается автоматический режим управления расходами.
-
6.5.3 Провести отсчет основной относительной погрешности для каждого расхода.
-
6.5.4 После отсчета на всех расходах получить печатную форму протокола поверки или результаты поверки внести в протокол (приложение Б).
-
6.5.5 По окончании работы со счётчиком отсоединить счетчик от поверочной установки, выключить НЧ выход.
-
6.5.6 Расчет основной относительной погрешности канала измерения температуры (встроенного терморезистора) производится в процентах по формуле:
Г, -I
8Т =—--100%,
273,15 +Г
где
8т - основная относительная погрешность канала измерения температуры (встроенного терморезистора), %;
tC4. - показания канала измерения температуры (встроенного терморезистора), °C;
t - показания внешнего лабораторного термометра (температура измеряемой среды), ог
-
6.5.7 Расчет основной относительной погрешности счетчика в процентах производится по формулам:
' V
—1 100%, V
\ Б.уст. J
(2)
где
8 - основная относительная погрешность счетчика, %;
Уб.сч. ~ объём, прошедший через счетчик за время работы измерительного механизма счетчика на поверяемом расходе кратное полным циклам работы измерительного механизма, приведенный к базовым условиям, м3, рассчитывается по формуле:

(3)
где
VC4„ - объем, прошедший через счетчик за время работы измерительного механизма счетчика на поверяемом расходе кратное полным циклам работы измерительного механизма в рабочих условиях, м3, рассчитывается по формуле:
у _ NC4 _ fсч. 'г
где
NC4 - число импульсов частотного выхода счетчика;
fC4 - частота импульсов частотного выхода счетчика, Гц;
т - время работы измерительного механизма счетчика на поверяемом расходе, с;
к - коэффициент преобразования частотного выхода счетчика, 1/м3.
Ссч - коэффициент коррекции, вычисленный счетчиком (для приведения по параметрам Pt), рассчитывается по формуле:
р -Т
(5)
Б ‘ * сч.
где
Рсч=Ратм+Ри - абсолютное давление, внесенное в память счетчика (подстановочное значение), Па;
Ратм. - атмосферное давление в месте проведения испытаний, внесенное в память счетчика, Па;
Ри - избыточное давление, внесенное в память счетчика, Па, при поверке Ри=0;
Tc4=(273,15+tc4) - показания канала измерения температуры, К;
Рб=Ю1325 Па - абсолютное давление при базовых условиях;
Тб=293,15 К- температура при базовых условиях;
Примечание - Формула (5) для приведения по параметру t [приведение рабочего объема к базовой температуре плюс 20 °C] будет иметь следующий вид:
с„ = ^, (6) 1 сч. |
VБ.уст. ~ объём, задаваемый микросоплом установки за время работы измерительного механизма счетчика на поверяемом расходе кратное полным циклам работы измерительного механизма, приведенный к базовым условиям, м3, рассчитывается по
формуле: |
VБ.уст. Vycm.'Cfi-, (7) |
где
Сб - коэффициент коррекции базовый (для приведения по параметрам Pt),
рассчитывается по формуле: |
Р Т СБ = сч Б , (8) РБ-Т |
где
Т=(273,15+t) - температура измеряемой среды, К;
t - показания внешнего лабораторного термометра (температура измеряемой среды), °C;
Примечание - Формула (8) для приведения по параметру t будет иметь следующий
вид: |
Сб=^, (9) |
Vуст ~ объём, задаваемым микросоплом установки за время работы измерительного механизма счетчика на поверяемом расходе кратное полным циклам работы измерительного механизма в рабочих условиях, м3, рассчитывается по формуле:

K-t-Jt
1000
1-

Р
атм J

(10)
где
К - градуировочный коэффициент микросопла установки (по протоколу градуировки микросопла), дм3/(с-К|/2);
Т= (273,15 + t) - температура измеряемой среды, К;
t - температура измеряемой среды (показания внешнего лабораторного термометра), °C;
1000 - коэффициент перевода Vycm в м3;
т - время работы измерительного механизма счетчика на поверяемом расходе кратное полным циклам работы измерительного механизма в с;
Ратм. ~ атмосферное давление в месте проведения испытаний, Па;
АРсч. - потеря давления на счетчике при соответствующих расходах, Па.
klt(p - поправочный коэффициент на влажность воздуха, значения которого приведены в таблице 6.
Таблица 6
Температура воздуха, t, °C |
Относительная влажность воздуха, ср, % | ||||||
30 |
40 |
50 |
60 |
70 |
80 |
90 | |
10 |
1,00177 |
1,00156 |
1,00135 |
1,00114 |
1,00093 |
1,00072 |
1,00051 |
12 |
1,00167 |
1,00143 |
1,00118 |
1,00094 |
1,00070 |
1,00045 |
1,00023 |
14 |
1,00157 |
1,00130 |
1,00102 |
1,00075 |
1,00047 |
1,00019 |
0,9999 |
16 |
1,00146 |
1,00114 |
1,00072 |
1,00052 |
1,00021 |
0,9999 |
0,9996 |
18 |
1,00133 |
1,00097 |
1,00051 |
1,00026 |
0,9999 |
0,9995 |
0,9992 |
20 |
1,00120 |
1,00080 |
1,00040 |
1,00000 |
0,9996 |
0,9992 |
0,9988 |
22 |
1,00103 |
1,00057 |
1,00012 |
0,9996 |
0,9992 |
0,9988 |
0,9983 |
24 |
1,00085 |
1,00034 |
0,9998 |
0,9993 |
0,9988 |
0,9983 |
0,9978 |
26 |
1,00066 |
1,00008 |
0,9995 |
0,9989 |
0,9983 |
0,9978 |
0,9972 |
28 |
1,00044 |
0,9998 |
0,9992 |
0,9984 |
0,9978 |
0,9972 |
0,9965 |
30 |
1,00022 |
0,9995 |
0,9988 |
0,9980 |
0,9973 |
0,9965 |
0,9959 |
Счётчик считается годным к применению, если основная относительная погрешность не превышает:
±1,5 % на расходах Qmax, Qhom и 0, 1QHOm;
±3 % на расходе Qmjn - для счетчика газа;
6.6 Определение порога чувствительности
Определение порога чувствительности проводить на расходах (0,002QHOM) указанных в таблице 7 в соответствии с типоразмером счетчика.
Таблица 7
Типоразмер счетчика |
Gl,6 |
G2,5 |
G4 |
G6 |
G10 |
G16 |
G25 |
Порог чувствительности, м3/ч, не более |
0,0032 |
0,005 |
0,008 |
0,012 |
0,02 |
0,032 |
0,05 |
Включить расход и дисплей, записать показания с дисплея. Счетчик считается выдержавшим проверку, если в течение 30 минут произойдет изменение показаний на дисплее.
-
6.7 Проверка на воздействие постоянного магнитного поля
Проверка срабатывания «сторожевого» геркона и вывода информации о нештатной ситуации при воздействии внешнего постоянного магнитного поля на электронный блок проводят для нескольких мест установки на корпус счетчика. Места для установки магнита выбирают:
-
- на верхней крышке за соединительными патрубками вдали от электронного блока;
-
- на нижнем корпусе произвольно;
-
- в районе расположения электронного блока.
Для проверки используют постоянный магнит с остаточной магнитной индукцией не менее Вг=1,14 Тл (с усилием отрыва от 150 до 300 кгс), цилиндрической формы с раскрепляющим рым-болтом. Проверку проводят, пропуская через счетчик поток воздуха со значением расхода 0,1 Qhom-
Включить дисплей, убедиться в изменении показаний накопленного приведенного объема на дисплее и отсутствии немигающей надписи «Error».
Установить на крышку счетчика за соединительными патрубками ближе к задней стенке неодимовый магнит, включить дисплей, убедиться в изменении показаний накопленного приведенного объема на дисплее и отсутствии немигающей надписи «Error».
Установить на корпус счетчика произвольно неодимовый магнит, включить дисплей, убедиться в изменении показаний накопленного приведенного объема на дисплее и отсутствии немигающей надписи «Error».
Установить на крышку счетчика около электронного блока или на электронный блок неодимовый магнит, включить дисплей, должна появиться немигающая надпись «Error».
Убрать магнит от электронного блока, включить дисплей, немигающая надпись «Error» должна сохраниться.
Счетчик считается годным к применению, если при воздействии внешнего постоянного магнитного поля на электронный блок и после его устранения на дисплее электронного блока имеется немигающая надпись «Error», а при воздействии магнитного поля на корпус и крышку счетчика (вдали от электронного блока) счетчик работает в штатном режиме.
Примечание - Надпись «Error» можно снять с помощью сервисного программного обеспечения.
-
6.8 Определение дополнительной погрешности счетчика, вызванной отклонением температуры измеряемого газа от нормальной
Определение дополнительной относительной погрешности счетчика, вызванной отклонением температуры измеряемого газа вне диапазона температур от 15 °C до 25 °C проводят на установке поверочной с возможностью подключения системы автоматического регулирования температуры (далее - САРТ) потока газа на входе в испытуемый счетчик для охлаждения и подогрева рабочей среды, обеспечивающую поддержание заданной температуры потока газа ±3 °C на расходе QH0M в диапазоне температуры газа, соответствующих значениям границ диапазона температур tmjn и tmax, нормированных для испытуемого счетчика газа. Испытания проводят в соответствии с п. 8.6.7 ГОСТ Р 8.915-2016 на расходе QH0M-
Счетчик подключить к установке через САРТ, установить расход QH0M и задать с помощью САРТ поочередно температуру потока газа, соответствующую значениям границ диапазона температур tmjn. и tmax., нормированных для испытуемого счетчика газа. Провести не менее 3 измерений для каждого значения температуры на расходе QH0M-Определить относительную погрешность счетчика по методике п. 6.5 для каждого измерения. Определение погрешности выполнять после стабилизации температуры газа.
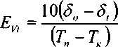
Дополнительная погрешность счетчика (ЕТЛ вызванная отклонением температуры измеряемого газа вне диапазона температур от 15 °C до 25 °C на каждые 10 °C определяется по формуле:


где
dt - относительная погрешность счётчика при крайних значениях температурного диапазона (tmin и tmax), %;
д0 - допускаемая величина основной относительной погрешности счетчика (5О=±1,5%);
Тп - граница диапазона температур, соответствующая нормальной температуре газа

Тк - температура газа, (TK=tmin+273,15К и TK=tmax+273,15К).
Счетчик считается выдержавшим проверку, если дополнительная погрешность, вызванной отклонением температуры измеряемого газа вне диапазона температур от 15 °C до 25 °C, на каждые 10 °C не превышает 0,4 %.
7 ПРОВЕДЕНИЕ ПОВЕРКИ ПАРТИИ СЧЕТЧИКОВ НА ОСНОВАНИИ ВЫБОРКИ-
7.1 В зависимости от объема предъявленной партии и установленного предельно допустимого уровня несоответствий (AQL) в соответствии с п. А.1 приложения А определяют объем выборки и самое большое допустимое значение стандартного отклонения выборки (MSSD).
-
7.2 В соответствии с разделом 6.5 настоящей методики проводят поверку каждого счетчика, входящего в выборку.
-
7.3 Проводят обработку результатов измерений счетчиков, входящих в выборку, в соответствии с п. А.2 приложения А. Рассчитывают оценку доли несоответствующих единиц продукции процесса (р).
-
7.4 В соответствии с п. А.З приложения А определяют значение контрольного нормативар* для AQL = 2,5 %.
-
7.5 Если полученное в пункте 7.3 р меньше или равно значения контрольного норматива р*, определенного по пункту 7.4, партию принимают, в противном случае партию отклоняют.
-
8.1 Результаты поверки оформляют в виде протокола. Рекомендуемые формы протоколов приведены в приложениях Б, В. Допускается оформление протокола другой формы, принятой совместным решением предприятия-изготовителя и организации, осуществляющей поверку. При поверке на основании выборки, протокол оформляется только на счетчики, входящие в объем выборки. Рекомендуемая форма протокола поверки на основании выборки приведена в приложении В.
-
8.2 При положительных результатах поверки в соответствии с приказом Минпромторга России № 1815 от 02 июля 2015 г. «Об утверждении Порядка проведения поверки средств измерений, требования к знаку поверки и содержанию свидетельства о поверке» наносят знак поверки на навесной пломбе и в паспорте на счетчик (или в паспортах на всю партию счетчиков, при поверке на основании выборки), в разделе «Свидетельство о поверке», наносится знак поверки.
-
8.3 Отрицательные результаты поверки счетчика оформляют в соответствии с приказом Минпромторга России № 1815 от 02 июля 2015 г. «Об утверждении Порядка проведения поверки средств измерений, требования к знаку поверки и содержанию свидетельства о поверке». При этом счетчик, не прошедший поверку, бракуется, в протоколе делается запись о его непригодности. Выписывают извещение о непригодности к применению счетчика с указанием причин непригодности.
(обязательное)
Оценка доли несоответствующих единиц продукции процессаА. 1 Исходные данные и определение необходимых параметров
А. 1.1 В соответствии с общим уровнем контроля II и объемом партии по таблице А. 1 ГОСТ Р ИСО 3951-2-2015 определяют код объема выборки.
Таблица А.1 — Код объема выборки и уровни контроля
Объем партии |
Специальные уровни контроля |
Общие уровни контроля | |||||
S-1 |
S-2 |
S-3 |
S-4 |
I |
II |
III | |
От2 до 8 включ. |
В |
В |
В |
В |
В |
В |
В |
От 9 до 15 включ. |
В |
В |
в |
В |
В |
В |
С |
От 16 до 25 включ. |
В |
В |
в |
В |
В |
С |
D |
От 26 до 50 включ. |
В |
В |
в |
С |
С |
D |
Е |
От 51 до 90 включ. |
В |
В |
с |
С |
С |
Е |
F |
От 91 до 150 включ. |
В |
В |
с |
D |
D |
F |
G |
От 151 до 280 включ. |
В |
С |
D |
Е |
Е |
G |
Н |
От 281 до 500 включ. |
В |
С |
D |
Е |
F |
Н |
J |
От 501 до 1200 включ. |
С |
С |
Е |
F |
G |
J |
К |
От 1201 до 3200 включ. |
С |
D |
Е |
G |
Н |
К |
L |
От 3201 до 10 000 включ. |
С |
D |
F |
G |
J |
L |
М |
От 10 001 до 35 000 включ. |
С |
D |
F |
Н |
К |
М |
N |
От 35 001 до 150 000 включ. |
D |
Е |
G |
J |
L |
N |
Р |
От 150 001 до 500 000 включ. |
D |
Е |
G |
J |
М |
Р |
Q |
Св. 500 000 |
D |
Е |
Н |
К |
N |
Q |
R |
Код объема выборки и уровни контроля настоящего стандарта соответствуют ИСО 2859-1.
А. 1.2 По выбранному коду объема выборки в соответствии с таблицей D.1 ГОСТ Р ИСО 3951-2-2015 определяют объем выборки (п) для «s» метода при нормальном контроле.
Таблица D.1 — Одноступенчатые планы формы р' для нормального контроля, s-метод
Код объема выборки |
AQL (% несоответствующих единиц продукции) | |||||||||||||||||||||||||||||||
0,01 |
0,015 |
0,025 |
0,04 |
0,065 |
0,10 |
0,15 |
0,25 |
0,40 |
0,65 |
1,0 |
1,5 |
2,5 |
4,0 |
6,5 |
10,0 | |||||||||||||||||
п ЮОр* | ||||||||||||||||||||||||||||||||
В |
3 19,25 |
4 25,50 |
4 30,47 | |||||||||||||||||||||||||||||
С |
4 8,600 |
6 14,53 |
6 17,93 |
5 30,74 | ||||||||||||||||||||||||||||
D |
6 5,220 |
9 8,717 |
9 10,82 |
6 19,46 |
7 31,49 | |||||||||||||||||||||||||||
Е |
9 3,279 |
13 5,195 |
13 6,466 |
9 11,43 |
9 19,61 |
9 27,43 | ||||||||||||||||||||||||||
F |
11 1,958 |
17 3,295 |
18 4,144 |
13 7,204 |
14 12,45 |
14 17,61 |
14 27,71 | |||||||||||||||||||||||||
G |
15 1,245 |
22 2,011 |
23 2,518 |
18 4,381 |
20 7,627 |
21 10,85 |
21 17,29 |
21 23,62 | ||||||||||||||||||||||||
Н |
18 ,7546 |
28 1,266 |
30 1,592 |
24 2,751 |
27 4,799 |
30 6,857 |
32 10,94 |
33 15,00 |
33 21,09 | |||||||||||||||||||||||
J |
23 ,4753 |
36 ,7878 |
38 ,9814 |
31 1,685 |
37 2,959 |
41 4,241 |
46 6,783 |
49 9,324 |
52 13,11 |
53 18,14 | ||||||||||||||||||||||
К |
28 ,3027 |
44 ,4976 |
47 ,6222 |
40 1,071 |
48 1,876 |
54 2,687 |
63 4,313 |
69 5,935 |
75 8,361 |
79 11,57 |
82 17,22 | |||||||||||||||||||||
L |
34 ,1880 |
54 ,3105 |
58 ,3872 |
50 ,6625 |
61 1,162 |
71 1,667 |
84 2,681 |
94 3,692 |
105 5,204 |
115 7,220 |
124 10,74 | |||||||||||||||||||||
М |
40 ,1180 |
64 ,1954 |
69 ,2436 |
60 ,4150 |
76 ,7337 |
89 1,052 |
108 1,694 |
124 2,335 |
143 3,290 |
159 4,571 |
178 6,804 | |||||||||||||||||||||
N |
47 ,07418 |
75 ,1217 |
82 ,1524 |
73 ,2605 |
93 ,4595 |
110 ,6602 |
137 1,063 |
159 1,467 |
186 2,069 |
213 2,873 |
247 4,286 |
к | ||||||||||||||||||||
Р |
,04641 |
88 ,07599 |
96 ,09473 |
86 ,1614 |
112 ,2852 |
134 ,4100 |
171 ,6611 |
202 ,9127 |
239 1,290 |
277 1,793 |
332 2,668 | |||||||||||||||||||||
Q |
63 ,02960 |
101 ,04835 |
110 ,06042 |
102 ,1034 |
132 ,1817 |
159 ,2619 |
207 ,4220 |
244 ,5836 |
293 ,8248 |
348 1,146 |
424 1,707 | |||||||||||||||||||||
R |
116 ,03011 |
127 ,03762 |
120 ,06433 |
155 0,1132 |
189 ,1631 |
247 ,2634 |
298 ,3637 |
362 ,5145 |
438 ,7143 |
541 1,065 |
t |
Примечание 1 — Коды объема выборки в настоящем стандарте соответствуют приведенным в ИСО 2859-1 и ИСО 3951-1.
Примечание 2 — Обозначения:
-
- В данной области не существует подходящего плана; следует использовать первый план выборочного контроля ниже стрелки. Если объем выборки равен объему партии или превышает его, выполняют сплошной контроль.
-
- В данной области не существует подходящего плана; следует использовать первый план выборочного контроля выше стрелки.
А. 1.3 По таблице F.1 ГОСТ Р ИСО 3951-2-2015 определяют значения fs для максимального выборочного стандартного отклонения.
Таблица F.1 — Значения fs для максимального выборочного стандартного отклонения (MSSD) при объединенном контроле двух границ поля допуска, нормальный контроль, s-метод
Код объема выборки |
AQL (% несоответствующих единиц продукции) | ||||||||||||||||||||||||||||||
0,01 |
0,015 |
0,025 |
0,04 |
0,065 |
0,10 |
0,15 |
0,25 |
0,40 |
0,65 |
1,0 |
1,5 |
2,5 |
4,0 |
6,5 |
10,0 | ||||||||||||||||
fs | |||||||||||||||||||||||||||||||
В |
I |
0,475 |
0,447 |
0,479 | |||||||||||||||||||||||||||
С |
ф |
0,365 |
0,366 |
0,388 |
0,484 | ||||||||||||||||||||||||||
D |
0,303 |
0,312 |
0,328 |
0,399 |
0,494 | ||||||||||||||||||||||||||
Е |
0,265 |
0,274 |
0,285 |
0,333 |
0,395 |
0,458 | |||||||||||||||||||||||||
F |
0,241 |
0,248 |
0,257 |
0,292 |
0,334 |
0,375 |
0,461 | ||||||||||||||||||||||||
G |
0,221 |
0,227 |
0,234 |
0,260 |
0,290 |
0,318 |
0,371 |
0,424 | |||||||||||||||||||||||
Н |
0,206 |
0,211 |
0,216 |
0,237 |
0,260 |
0,280 |
0,316 |
0,350 |
0,401 | ||||||||||||||||||||||
J |
0,192 |
0,197 |
0,201 |
0,218 |
0,236 |
0,251 |
0,277 |
0,301 |
0,333 |
0,376 | |||||||||||||||||||||
К |
0,182 |
0,185 |
0,189 |
0,203 |
0,218 |
0,230 |
0,250 |
0,268 |
0,291 |
0,319 |
0,367 | ||||||||||||||||||||
L |
0,172 |
0,175 |
0,179 |
0,190 |
0,203 |
0,212 |
0,229 |
0,242 |
0,259 |
0,279 |
0,312 | ||||||||||||||||||||
М |
0,164 |
0,167 |
0,170 |
0,180 |
0,190 |
0,199 |
0,212 |
0,222 |
0,236 |
0,251 |
0,275 | ||||||||||||||||||||
N |
0,157 |
0,160 |
0,162 |
0,171 |
0,180 |
0,187 |
0,198 |
0,206 |
0,217 |
0,230 |
0,248 | ||||||||||||||||||||
Р |
0,151 |
0,153 |
0,155 |
0,163 |
0,171 |
0,177 |
0,186 |
0,193 |
0,202 |
0,212 |
0,226 | ||||||||||||||||||||
Q |
0,145 |
0,147 |
0,149 |
0,156 |
0,163 |
0,168 |
0,176 |
0,183 |
0,190 |
0,199 |
0,210 |
t | |||||||||||||||||||
R |
0,142 |
0,144 |
0,150 |
0,156 |
0,161 |
0,168 |
0,173 |
0,180 |
0,187 |
0,196 |
I |
Примечание — MSSD является произведением f на разность верхней границы поля допуска U и нижней границы поля допуска L, т. е. MSSD = Smax (U- L)fs. MSSD указывает на наибольшее допустимое значение выборочного стандартного отклонения (нормальный контроль) при использовании планов объединенного контроля с двумя границами поля допуска, когда изменчивость процесса неизвестна. Если стандартное отклонение меньше MSSD, т. е, возможность (но не уверенность), что партия может быть принята.
АЛА По формуле (А.1) вычисляют MSSD (Smax) для каждой поверочной точки
MSSD = Smax= (U-L).fs, (А.1)
где U - верхняя граница поля допуска;
L - нижняя граница поля допуска.
Примечание - MSSD (Smax) указывает самое большое допустимое значение стандартного отклонения выборки.
А.2 Обработка результатов измерений
А.2.1 Для каждой поверочной точки находят выборочное среднее погрешности х по формуле (А.2)
(А.2)
Примечание - если при проведении определения метрологических характеристик на одной поверочной точке имеется несколько результатов относительной погрешности, полученных при помощи разных типов датчиков, здесь и далее при расчетах предпочтительно использовать погрешность счетчика, полученную через электромагнитный датчик (геркон).
А.2.2 Для каждой поверочной точки находят выборочное стандартное отклонение погрешности (S) по формуле (А.З)

(А.З) п—\
Примечание - если при проведении определения метрологических характеристик на одной поверочной точке имеется несколько результатов относительной погрешности, # полученных при помощи разных типов датчиков, здесь и далее при расчетах
предпочтительно использовать погрешность счетчика, полученную через электромагнитный датчик (геркон).
А.2.3 Если для хотя бы одной из поверочных точек полученное выборочное стандартное отклонение (S) превышает максимально допустимое MSSD (рассчитанное в п. А.1.4), партию отклоняют без дальнейших вычислений.
А.2.4 Если для всех поверочных точек полученное выборочное стандартное отклонение (S) не превышает максимально допустимое MSSD (рассчитанное в п. А. 1.4), для каждой поверочной точки вычисляют статистику качества для верхней и нижней границ поля допуска по формулам:
Q,, =(U-x)!S
: (а.4)а=(х-£)/5
где Qv - статистика качества для верхней границы поля допуска;
Ql - статистика качества для нижней границы поля допуска.
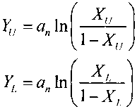
А.2.5 Для каждой поверочной точки вычисляют значения параметров Хи и X, по формулам:
1 f Г
Примечание - если Хи < 0 или X, < 0, дальнейшие вычисления для соответствующей границы поля допуска не требуются, т.к. р для соответствующей границы поля допуска равно 0 (т.е. ри = 0 и/или pL = 0).
А.2.6 В соответствии с таблицей L.1 ГОСТ Р ИСО 3951-2-2015 определяют значение константы ап
Таблица L.1- Значения ап нормального приближения р
Объем выборки п |
ап |
Объем выборки п |
ап |
Объем выборки п |
ап |
Объем выборки п |
ап |
3 |
0,318 310 |
39 |
3,000 385 |
82 |
4,444 216 |
155 |
6,164 458 |
4 |
0,551 329 |
40 |
3,041 751 |
83 |
4,472 252 |
159 |
6,245 041 |
5 |
0,731 350 |
41 |
3,082 562 |
84 |
4,500 114 |
169 |
6,442 088 |
6 |
0,880 496 |
42 |
3,122 841 |
85 |
4,527 805 |
170 |
6,461 463 |
7 |
1,009 784 |
43 |
3,162 607 |
88 |
4,609 879 |
171 |
6,480 779 |
8 |
1,125 182 |
44 |
3,201 879 |
89 |
4,636 914 |
178 |
6,614 414 |
9 |
1,230 248 |
45 |
3,240 676 |
90 |
4,663 792 |
186 |
6,763 908 |
10 |
1,327 276 |
46 |
3,279 015 |
92 |
4,717 090 |
187 |
6,782 363 |
11 |
1,417 833 |
47 |
3,316 910 |
93 |
4,743 514 |
189 |
6,819 124 |
12 |
1,503 044 |
48 |
3,354 378 |
94 |
4,769 792 |
201 |
7,035 654 |
13 |
1,583 745 |
49 |
3,391 432 |
96 |
4,821 918 |
202 |
7,053 398 |
14 |
1,660 575 |
50 |
3,428 086 |
99 |
4,899 068 |
207 |
7,141 457 |
15 |
1,734 040 |
51 |
3,464 352 |
101 |
4,949 833 |
213 |
7,245 716 |
16 |
1,804 542 |
52 |
3,500 243 |
102 |
4,975 022 |
214 |
7,262 947 |
17 |
1,872 410 |
53 |
3,535 769 |
105 |
5,049 833 |
233 |
7,582 899 |
18 |
1,937 919 |
54 |
3,570 943 |
108 |
5,123 553 |
239 |
7,681 169 |
19 |
2,001 296 |
55 |
3,605 773 |
110 |
5,172 115 |
244 |
7,762 110 |
20 |
2,062 737 |
57 |
3,674 445 |
111 |
5,196 227 |
247 |
7,810 272 |
21 |
2,122 408 |
58 |
3,708 303 |
112 |
5,220 226 |
260 |
8,015 630 |
22 |
2,180 453 |
60 |
3,775 111 |
115 |
5,291 573 |
262 |
8,046 758 |
23 |
2,236 997 |
61 |
3,808 075 |
116 |
5,315 142 |
277 |
8,276 491 |
24 |
2,292 152 |
63 |
3,873 163 |
117 |
5,338 608 |
293 |
8,514 710 |
25 |
2,346 014 |
64 |
3,905 300 |
120 |
5,408 393 |
298 |
8,587 798 |
26 |
2,398 670 |
65 |
3,937 175 |
122 |
5,454 420 |
312 |
8,789 213 |
27 |
2,450 197 |
66 |
3,968 794 |
124 |
5,500 063 |
320 |
8,902 262 |
28 |
2,500 665 |
68 |
4,031 288 |
125 |
5,522 742 |
323 |
8,944 286 |
29 |
2,550 137 |
69 |
4,062 175 |
126 |
5,545 329 |
332 |
9,069 193 |
30 |
2,598 669 |
71 |
4,123 254 |
127 |
5,567 825 |
348 |
9,287 101 |
31 |
2,646 313 |
72 |
4,153 457 |
131 |
5,656 912 |
362 |
9,473 660 |
32 |
2,693 115 |
73 |
4,183 442 |
132 |
5,678 965 |
395 |
9,8995 06 |
33 |
2,739 119 |
74 |
4,213 214 |
134 |
5,722 817 |
398 |
9,9373 14 |
34 |
2,784 364 |
75 |
4,242 777 |
137 |
5,787 972 |
424 |
10,259 15 |
35 |
2,828 887 |
76 |
4,272 135 |
142 |
5,894 964 |
438 |
10,428 34 |
36 |
2,872 720 |
78 |
4,330 255 |
143 |
5,916 130 |
498 |
11,124 31 |
37 |
2,915 896 |
79 |
4,359 025 |
149 |
6,041 570 |
541 |
11,597 42 |
38 |
2,958 442 |
81 |
4,416 001 |
150 |
6,062 225 |
А.2.7 Для каждой поверочной точки вычисляют значения параметров Yt] и У7 по
формулам:

(А.7)
(А.8)
А.2.8 Для каждой поверочной точки вычисляют значения параметров Wl; и по формулам:
!K(/=yJ-3 W^-3 |
(А.9) (А. 10) |
А.2.9 Устанавливают значения параметров Ти и TL.
12(п -1) Y,,
Если Wv > 0, тогда устанавливают значение параметра Ти = —, в 12(77-1) + ^
12 (л? — 2) И7
противном случае Ти =—-А---г2---. Если Wl>0, тогда устанавливают значение
12(и-2) + Й^у
12(т7-1)К 12(т7-2)К
параметра TL - —-А—г2——, в противном случае TL = —--г2---.
12(и-1) + ЙГЛ 12(77-2) + ^
А.2.10 Для каждой поверочной точки вычисляют значения параметров ри и р, по формулам:
Ри ~ ’
л ='1>Ц).
где Ф(-) - функция нормированного нормального распределения.
А.2.11 Для каждой поверочной точки вычисляют оценку доли несоответствующих единиц продукции по формуле
P=Pu+Pi. (А. 13)
А.2.12 Вычисляют обобщенную для всех точек по расходу долю несоответствующих единиц продукции процесса по формуле
Раи =1-(1-Р1)(1-А)(1-А)’ (А.14)
где Р\,Р2,Рз - оценки доли несоответствующих единиц продукции для погрешности на минимальном, номинальном и максимальном расходах соответственно.
Примечание - р},р2,р3 рассчитываются по формуле (А. 13)
А.З Определение контрольного норматива формыр*
А.3.1 В соответствии с таблицей D.1 ГОСТ Р ИСО 3951-2-2015 и установленного AQL определяют значение контрольного нормативар*.
А. А Критерий принятия партии
Если полученное р меньше или равно значения контрольного норматива р*, партию принимают, в противном случае партию отклоняют.
Приложение Б(рекомендуемое)
Форма протокола поверкиi
ПРОТОКОЛ №____________ от «_____»___________
С Счётчик газа СГБЭТ «Сигма» G___________________________ № _______
Установка №_________________________
Температура измеряемой среды_________°C
Атмосферное давление _______________ Па
Относительная влажность воздуха ________ %
Расход воздуха при поверке, м3/ч |
Потеря давления, ДРСЧ.., Па |
Показания канала измерения температуры, tC4, °C |
Относительная погрешность канала измерения температуры, 5Т, % |
Интервал времени работы измерительного механизма, т, с |
Объём, задаваемый микросоплом установки за время работы измерительног о механизма, приведенный к базовым условиям, Vb.vct. ' М |
Объём, прошедший через счётчик за время работы измерительно го механизма, приведенный к базовым условиям, ^Б.сч.л М |
Коэффициент коррекции, вычисленный микроконтроллером счетчика, с '-'СЧ. |
Относительная погрешность счетчика, 5, % |
Qmax | ||||||||
Qhom | ||||||||
0,1Qhom | ||||||||
Qmin |
Контрольная сумма калибровочных коэффициентов CS___________________
Допускаемая основная относительная погрешность не должна превышать: ±1,5 % на расходах Qmax, QH0M и 0,1QH0M;
±3 % на расходе Qmjn - для счетчика газа;
±0,5 % - для канала измерения температуры;
Потеря давления при QMaKC соответствует ТУ. Герметичность соответствует ТУ.
Внешний вид, присоединительные размеры, маркировка, вывод информации на дисплей соответствует ТУ
Счетчик газа годен (не годен)_____________________________________
(ненужное зачеркнуть)
Исполнитель ______________________
(подпись)
Представитель ОТК_____________________
(подпись)
Поверитель ______________________
(подпись)
Приложение В(рекомендуемое)
Форма протокола поверки на основании выборки по ГОСТ Р ИСО 3951-2-2015
нпп |
Заводской номер счетчика |
Погрешность | |||
Qmin |
Qt |
Qhom |
Qmax | ||
1 | |||||
2 | |||||
п |
Протокол поверки партии счетчиков газа СГБЭТ «Сигма» на основании выборки по ГОСТ Р ИСО 3951-2-2015. Уровень контроля нормальный. "S" метод. AQL = 2,5%
Счетчик газа____________________________; Объем партии:__________________
Заводские номера:__________________________________________________________________
Температура измеряемой среды__________°C
Атмосферное давление________________Па Установка №___________________
Расход (м3/ч) | ||||
Qmin |
Q. |
Qhom |
Qmax | |
U (верхняя граница поля допуска, %) | ||||
L (нижняя граница поля допуска, %) | ||||
п (объем выборки) | ||||
Fs(коэффициент, связывающий максимальное выборочное стандартное отклонение (Smax) с разностью U и L) | ||||
8тах=(максимальное допустимое стандартное отклонение) | ||||
S (полученное стандартное отклонение) | ||||
X(выборочное среднее) | ||||
Qu (верхняя статистика качества) | ||||
Хи | ||||
Ап | ||||
Уи | ||||
Wu | ||||
Ти | ||||
Pi и(оценка доли несоответствующих единиц продукции процесса выше верхней границы поля допуска, для i-й характеристики качества) | ||||
Р1Хнижняя статистика качества) | ||||
xL | ||||
Ап | ||||
yl | ||||
WL | ||||
TL | ||||
Pi l(оценка доли несоответствующих единиц продукции процесса ниже нижней границы поля допуска, для i-й характеристики качества) | ||||
Pi (оценка доли несоответствующих единиц продукции процесса для 1-й характеристики качества) |
Р (общая оценка доли несоответствующих единиц продукции процесса):____
Контрольный норматив формы р*'.____
Вывод: на основании критериев приемки партий по ГОСТ Р ИСО 3951-2-2015 партия принята/ отклонена.
Поверитель____________________
(подпись)
(фамилия, имя, отчество)
20