Методика поверки «Система измерительная контроля загазованности АСУТП газопровода "Точка выхода на берег-ООО Ставролен"» (МП 1909/1-311229-2017)

Регистрационный номер записи в реестре аккредитованных лиц RA.RU.311229
«УТВЕРЖДАЮ»
Техниче


фектор
ООО Центр Метрологии «СТП» Х-С-УиАС Яценко
2017 г.
Ji - '/

ИНСТРУКЦИЯ
Государственная система обеспечения единства измерений
Система измерительная контроля загазованности АСУТП газопровода «Точка выхода на берег - ООО «Ставролен»
МЕТОДИКА ПОВЕРКИ
МП 1909/1-311229-2017
г. Казань
2017
СОДЕРЖАНИЕ
ПРИЛОЖЕНИЕ А (рекомендуемое) Схема подачи ГС на вход датчика оптического
инфракрасного Drager PIR 7000 исполнения 334
ПРИЛОЖЕНИЕ Б (обязательное) Технические характеристики ГС, используемых при поверке ИС
ПРИЛОЖЕНИЕ В (рекомендуемое) Форма протокола поверки ИС
1 ВВЕДЕНИЕ-
1.1 Настоящая инструкция распространяется на систему измерительную контроля загазованности АСУТП газопровода «Точка выхода на берег - ООО «Ставролен» (далее - ИС), заводской № 4600-АСУ-ЗГ, и устанавливает методику первичной поверки до ввода в эксплуатацию и после ремонта, а также методику периодической поверки в процессе эксплуатации.
-
1.2 Допускается проведение поверки отдельных измерительных каналов (далее - ИК) и (или) отдельных автономных блоков из состава ИС в диапазоне измерений, указанном в описании типа, или меньшем диапазоне измерений в соответствии с заявлением владельца ИС с обязательным указанием в свидетельстве о поверке информации об объеме проведенной поверки.
-
1.3 Интервал между поверками ИС - 1 год.
При проведении поверки должны быть выполнены операции, приведенные в таблице 2.1.
Таблица 2.1 - Операции поверки
|
Наименование операции |
Номер пункта методик и поверки |
Проведение операции при | |||
|
первичной поверке |
периоди ческой поверке | ||||
|
перед вводом в эксплуата цию |
после ремонта (замены) измерите льного преобразо вателя ИК |
после ремонта (замены) связующих компонентов ИК | |||
|
Внешний осмотр |
7.1 |
Да |
Да |
Да |
Да |
|
Опробование |
7.2 |
Да |
Да |
Да |
Да |
|
Определение погрешности ИК довзрывоопасных концентраций горючих газов и паров |
7.3 |
Да |
Да |
Да |
Да |
3 СРЕДСТВА ПОВЕРКИ
-
3.1 При проведении поверки применяют эталоны и средства измерений (далее - СИ), приведенные в таблице 3.1.
Таблица 3.1- Основные эталоны и СИ
|
Номер пункта методики поверки |
Наименование и тип основного и вспомогательного средства поверки и метрологические и основные технические характеристики средства поверки |
|
7.3 |
Термогигрометр ИВА-6 (далее - термогигрометр) (регистрационный номер 46434-11): диапазон измерений атмосферного давления от 700 до ПООгПа; пределы допускаемой абсолютной погрешности измерения атмосферного давления ±2,5 гПа; диапазон измерений относительной влажности от 0 до 98 %; пределы допускаемой основной абсолютной погрешности измерения относительной влажности ±2 % в диапазоне от 0 до 90 %, ±3 % в диапазоне от 90 до 98 %; диапазон измерений температуры от минус 40 до плюс 60 °C; пределы допускаемой основной абсолютной погрешности температуры ±1 °C |
|
Номер пункта методики поверки |
Наименование и тип основного и вспомогательного средства поверки и метрологические и основные технические характеристики средства поверки |
|
в диапазоне от минус 40 до минус 20 °C, ±0,3 °C в диапазоне от минус 20 до плюс 60 °C | |
|
7.3 |
Ротаметр с местными показаниями РМ-А-0,063 (регистрационный номер 19325-12): верхний предел измерений объемного расхода 0,063 м3/ч, пределы допускаемой приведенной погрешности от верхнего предела измерений ±4 % |
|
7.3 |
Азот газообразный особой чистоты сорт 2 по ГОСТ 9293-74 в баллонах под давлением |
|
7.3 |
Стандартные образцы состава газовые смеси (далее - ГС) состава метан -азот (ГСО 9750-2011), выпускаемые по ТУ 6-16-2956-92 в баллонах под давлением |
|
7.3 |
Калибровочный адаптер для датчика оптического инфракрасного Drager PIR 7000 исполнения 334 |
-
3.2 Допускается применение аналогичных средств поверки, обеспечивающих определение метрологических характеристик ИС с требуемой точностью.
-
3.3 Все применяемые эталоны должны быть аттестованы; СИ должны иметь действующий знак поверки и (или) свидетельство о поверке, и (или) запись в паспорте (формуляре) СИ, заверенной подписью поверителя и знаком поверки; поверочные ГС -действующие паспорта.
-
4.1 При проведении поверки должны соблюдаться следующие требования:
-
- корпуса применяемых СИ должны быть заземлены в соответствии с их эксплуатационной документацией;
-
- ко всем используемым СИ должен быть обеспечен свободный доступ для заземления, настройки и измерений;
-
- работы по соединению вспомогательных устройств должны выполняться до подключения к сети питания;
-
- обеспечивающие безопасность труда, производственную санитарию и охрану окружающей среды;
-
- предусмотренные «Правилами технической эксплуатации электроустановок потребителей», правилами промышленной безопасности и охраны труда, действующими на территории объектов ООО «Лукойл-Нижневолжскнефть-Калмыкия», Федеральными нормами и правилами в области промышленной безопасности «Правила безопасности в нефтяной и газовой промышленности», эксплуатационной документацией ИС, ее компонентов и применяемых средств поверки;
-
- предусмотренные федеральными нормами и правилами в области промышленной безопасности «Общие правила взрывобезопасности для взрывопожароопасных химических, нефтехимических и нефтеперерабатывающих производств», утвержденных приказом Федеральной службы по экологическому, технологическому и атомному надзору от 11.03.2013 №96;
-
- предусмотренные другими документами, действующими на территории объектов ООО «Лукойл-Нижневолжскнефть-Калмыкия» в сфере безопасности, охраны труда и окружающей среды;
-
- комплектная поверка ИК уровня во время грозы категорически запрещена.
-
4.2 К работе по поверке должны допускаться лица:
-
- достигшие 18-летнего возраста;
-
- прошедшие инструктаж по технике безопасности в установленном порядке;
-
- имеющие квалификационную группу по технике безопасности не ниже II в соответствии с «Правилами техники безопасности при эксплуатации электроустановок потребителей»;
-
- изучившие эксплуатационную документацию на ИС, СИ, входящие в состав ИС, и средства поверки;
-
- изучившие требования безопасности, действующие на территории объектов ООО «Лукойл-Нижневолжскнефть-Калмыкия», а также предусмотренные «Правилами технической эксплуатации электроустановок потребителей».
-
4.3 При появлении утечек газа, загазованности и других ситуаций, нарушающих нормальный ход работ, поверку прекращают.
-
5.1 При проведении поверки должны соблюдаться следующие условия:
-
- температура окружающего воздуха, °C от плюс 15 до плюс 25
-
- относительная влажность, % от 30 до 80
-
- атмосферное давление, кПа от 84,0 до 106,7
-
- избыточное давление в резервуаре при поверке ИК уровня, кПа отсутствует
-
5.2 Допускается проводить поверку при условиях, сложившихся на момент проведения поверки и отличающихся от указанных в пункте 5.1, но удовлетворяющих условиям эксплуатации ИС и средств поверки.
-
6.1 Перед проведением поверки выполняют следующие подготовительные операции:
-
- изучают техническую и эксплуатационную документацию ИС;
-
- изучают настоящую инструкцию и руководства по эксплуатации средств поверки;
-
- эталонные СИ и вторичные измерительные преобразователи (далее - ИП) ИК ИС устанавливают в рабочее положение с соблюдением указаний эксплуатационной документации;
-
- контролируют фактические условия поверки на соответствие требованиям раздела 5 настоящей инструкции;
-
- эталонные СИ, баллоны с ГС выдерживают при температуре, указанной в разделе 5 настоящей инструкции, не менее трех часов, если время их выдержки не указано в инструкции по эксплуатации;
-
- проверяют параметры конфигурации ИС (значения констант, коэффициентов, пределов измерений и уставок, введенных в память контроллеров SCADAPack на основе измерительных модулей серии 5000 модификации SCADAPack357 (далее - SCADAPack357)) на соответствие данным, зафиксированным в эксплуатационных документах ИС;
-
- выполняют иные необходимые подготовительные и организационные мероприятия.
-
6.2 Проверяют наличие следующей документации:
-
- руководство по эксплуатации ИС;
-
- формуляр ИС;
-
- свидетельство о предыдущей поверке ИС (при периодической поверке).
-
6.3 Поверку продолжают при выполнении всех требований, описанных в пунктах 6.1 и
-
6.2 настоящей инструкции.
-
7.1.1 При внешнем осмотре ИС проверяют:
-
- соответствие состава ИС, монтажа, маркировки и пломбировки компонентов ИС требованиям технической и эксплуатационной документации ИС;
-
- заземление компонентов ИС, работающих под напряжением;
-
- отсутствие повреждений и дефектов, препятствующих проведению поверки ИС.
-
7.1.2 Результаты внешнего осмотра считают положительными, если состав и комплектность ИС, монтаж, маркировка и пломбировка составных частей и компонентов ИС соответствуют требованиям технической и эксплуатационной документации ИС, компоненты ИС, работающие под напряжением, заземлены, а также отсутствуют повреждения и дефекты, препятствующие проведению поверки ИС.
-
7.2 Опробование
-
7.2.1.1 Подлинность программного обеспечения (далее - ПО) ИС проверяют сравнением идентификационных данных ПО с соответствующими идентификационными данными, зафиксированными при испытаниях в целях утверждения типа ИС и отраженными в таблице 7.1.
Таблица 7.1 - Идентификационные данные ПО ИС
|
Идентификационные данные (признаки) |
Значение |
|
Идентификационное наименование ПО |
SCADAPack 350 TelePACE firmware 1.61 build 954.hex |
|
Номер версии (идентификационный номер) ПО |
He ниже 1.61 build 954 |
|
Цифровой идентификатор ПО |
— |
|
Алгоритм вычисления цифрового идентификатора ПО |
- |
-
7.2.1.2 Для просмотра идентификационных данных ПО SCADAPack 357 используют программу Telepace Studio, установленную на персональный компьютер, подключенный к SCADAPack 357 посредством кабеля «USB - USB»:
-
- запускаем Telepace Studio;
-
- в окне Protocol выбираем «Modbus/USB»;
-
- нажимаем «Read», ждем окончания считывания конфигурации;
-
- в дереве слева выбираем «Controller [SCADAPack 350]» -> «Firmware Loader»;
-
- номер версии ПО SCADAPack 357 отображается в строчке «Firmware Version» раздела «Device Information».
-
7.2.1.3 Проверяют возможность несанкционированного доступа к ПО ИС и наличие авторизации (введение логина и пароля), возможность обхода авторизации, реакцию ПО ИС на неоднократный ввод неправильного логина и (или) пароля (аутентификация).
-
7.2.1.4 Результаты опробования считают положительными, если идентификационные данные ПО ИС совпадают с идентификационными данными, которые приведены в таблице 7.1, а также исключается возможность несанкционированного доступа к ПО ИС и обеспечивается аутентификация.
-
7.2.2.1 Проверку работоспособности ИС проводят одновременно с определением метрологических характеристик по 7.3 настоящей инструкции.
-
7.3.1 Определение погрешности выполняют для каждого ИК в соответствии с заявлением владельца ИС.
-
7.3.2 Определение погрешности измерения довзрывоопасных концентраций горючих газов и паров выполняют комплектно на месте эксплуатации.
-
7.3.2.1 Собирают схему в соответствии с приложением А настоящей инструкции.
-
7.3.2.2 На вход датчика оптического инфракрасного Drager PIR 7000 исполнения 334 (далее - Drager PIR 7000) подают ГС, содержащий поверочный компонент в последовательности №№ 1-2-3 (соответственно определяемому компоненту и диапазону измерений), приведенные в приложении Б настоящей инструкции. Подачу ГС осуществляют посредством калибровочного адаптера.
-
7.3.2.3 Расход ГС устанавливают (0,5±0,1) дм3/мин. Расход ГС фиксируют по показаниям ротаметра, регулируя вентилем точной регулировки. Время подачи ГС - не менее 45 с.
-
7.3.2.4 При подаче каждой ГС после стабилизации показаний довзрывоопасных концентраций горючих газов и паров фиксируют значения:
-
- довзрывоопасных концентраций горючих газов и паров, измеренного ИК (по показаниям сенсорной панели в соответствующем ПКУ или с монитора АРМ операторов ИС), С(, % нижнего концентрационного предела распространения пламени (далее - НКПР);
-
- температуры окружающей среды в месте установки Drager PIR 7000 tnn, °C, измеренного термогигрометром;
-
- атмосферное давление в месте установки Drager PIR 7000 рпп , кПа, измеренного термогигрометром;
-
7.3.2.5 Для диапазона измерений от 0 до 50 % НКПР включ. в каждой реперной точке вычисляют абсолютную погрешность Днепр, % НКПР, по формуле
А НКПР = С; -Cj , (1)
где cf - действительное значение содержания определяемого компонента в ГС в /-ой реперной точке, % НКПР (берут из паспорта на ГС).
-
7.3.2.6 Для диапазона измерений свыше 50 до 100% НКПР в каждой реперной точке вычисляют относительную погрешность 5^^,, %, по формуле
$нкпр = 'Сд ’100. (2)
-
7.3.2.7 Полученные результаты вносят в протокол поверки ИС, форма которого приведена в приложении В настоящей инструкции.
-
7.3.2.8 Результаты определения погрешности измерения довзрывоопасных концентраций горючих газов и паров считают положительными, если рассчитанная погрешность измерения довзрывоопасных концентраций горючих газов и паров в каждой реперной точке не выходит за пределы:
а) если атмосферное давление, измеренное термогигрометром, находится в пределах от 90,6 до 104,8 кПа:
-
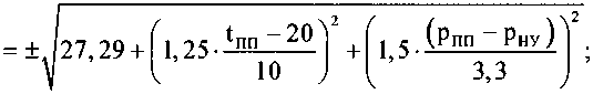
- для диапазона измерений от 0 до 50 % НКПР включ. ДСтах, % НКПР:
^Cmaxi = ±^27,29 + ^l,25-blLZZ£^ ; (3)
-
- для диапазона измерений свыше 50 до 100 % НКПР 5Стах, %:
(4)
б) если атмосферное давление, измеренное термогигрометром, не находится в пределах от 90,6 до 104,8 кПа:
-
- для диапазона измерений от 0 до 50 % НКПР включ. ДСтах, % НКПР:
C maxi

(5)
где Рну _ нормальное условие (атмосферное давление) поверки Drager PIR 7000, кПа;
- для диапазона измерений свыше 50 до 100 % НКПР 5Стах, %:
С maxi

Г
+ 3-
(рпп Рну)^
3,3 J

(6)
-
8.1 Результаты поверки ИС оформляют протоколом с указанием даты и места проведения поверки, условий поверки, применяемых эталонов, результатов расчета погрешности. Рекомендуемая форма протокола поверки ИС приведена в приложении В настоящей инструкции.
-
8.2 При положительных результатах поверки ИС оформляют свидетельство о поверке ИС в соответствии с утвержденным порядком.
-
8.2.1 При положительных результатах поверки отдельных ИК из состава ИС оформляют свидетельство о поверке ИС в соответствии с утвержденным порядком с указанием информации об объеме проведенной поверки.
-
8.2.2 При наличии свидетельств о поверке ИС в части отдельных ИК, они прикладываются к свидетельству о поверке ИС.
-
-
8.3 Отрицательные результаты поверки ИС оформляют в соответствии с утвержденным порядком. При этом выписывается извещение о непригодности к применению ИС с указанием причин непригодности.
ПРИЛОЖЕНИЕ А
(рекомендуемое)
Схема подачи ГС на вход датчика оптического инфракрасного Drager PIR 7000 исполнения 334
Условные обозначения:
-
1 - источник ГС;
-
2 - редуктор с вентилем точной регулировки (при использовании ГС в баллонах под давлением);
-
3 - вентиль точной регулировки (при использовании ГС в баллонах под давлением);
-
4 - индикатор расхода (ротаметр);
-
5 - адаптер калибровочный (показан условно);
6-поверяемый датчик оптический инфракрасный Drager PIR 7000 исполнения 334 (показан условно);
7 - АРМ оператора ИС.
ПРИЛОЖЕНИЕ Б (обязательное)
Технические характеристики ГС, используемых при поверке ИС
|
Таблица Б.1 - Технические характеристики ГС, используемых при поверке Г |
[С | |||||
|
Определяемый/ поверочный компонент |
Диапазон измерений, объемная доля определяемого компонента, % (% НКПР) |
Номинальное значение объемной доли поверочного компонента, пределы допускаемого отклонения, % (ориентировочное значение поправочного коэффициента) |
Пределы допускаемой погрешности аттестации |
Номер по реестру стандартных образцов или источник получения ГС | ||
|
ГС№ 1 |
ГС №2 |
ГС№3 | ||||
|
метан (СНдУметан |
от 0 до 4,4 (от 0 до 100% НКПР) |
азот |
Сорт 2 по ГОСТ 9293-74 | |||
|
2,20±0,25 (1,00) |
4,15±0,25 (1,00) |
±0,8 % измеряемой величины |
ГСО 9750-2011 | |||
ПРИЛОЖЕНИЕ В
(рекомендуемое)
Форма протокола поверки ИСДата_____._____.20___г.
Поверитель: (наименование юридического лица или индивидуального предпринимателя, выполнившего поверку)
Место проведения поверки:
Наименование поверяемого средства измерений: Система измерительная контроля загазованности АСУТП газопровода «Точка выхода на берег - ООО «Ставролен»
Заводской номер ИС: № 4600-АСУ-ЗГ
Условия проведения поверки:
а) температура окружающего воздуха, °C:
-
- в месте установки SCADAPack357 _______
-
- в местах установки Drager PIR 7000 ________
б) относительная влажность, % ________
в) атмосферное давление, кПа ________
Наименование эталонов и вспомогательных средств: (с указанием заводского номера и свидетельства о поверке (свидетельства об аттестации))
Поверка проведена в соответствии с документом: МП___-311229-2017 «Инструкция. Государственная система обеспечения единства
измерений. Система измерительная контроля загазованности АСУТП газопровода «Точка выхода на берег - ООО «Ставролен». Методика поверки», утвержденному ООО Центр Метрологии «СТП» 19 сентября 2017 г.
Проведение поверки:-
1. Внешний осмотр: соответствует (не соответствует) требованиям 7.1 методики поверки.
-
2. Опробование: соответствует (не соответствует) требованиям 7.2 методики поверки.
3 Определение погрешности измерения довзрывоопасных концентраций горючих газов и паров
3.1 Состав ИК довзрывоопасных концентраций горючих газов и паров
|
№ИК |
Диапазон измерений |
Наименование СИ |
Заводской номер |
Обозначение |
Пределы допускаемой погрешности ИК в соответствии с описанием типа ИС |
|
от 0 до 100% НКПР |
Датчик оптический инфракрасный Drager PIR 7000 исполнения 334 | ||||
|
Модуль 5506 контроллера SCADAPack на основе измерительных модулей серии 5000 или модуль 5606 контроллера SCADAPack на основе измерительных модулей серии 5000 |
3.2 Результаты определения погрешности измерения довзрывоопасных концентраций горючих газов и паров комплектно
3.2.1 Результаты определения абсолютной погрешности измерения довзрывоопасных концентраций горючих газов и паров
|
№ ИК |
Cf, % НКПР |
С,, % НКПР |
t °C 1ПП ’ |
Рпп>кПа |
Анкпр, % НКПР |
АСпих,%НКПР |
3.2.2 Результаты определения относительной погрешности измерения довзрывоопасных концентраций горючих газов и паров
|
№ ИК |
С,Д,%НКПР |
С,, % НКПР |
t °C 1ПП ’ |
Рпп > кПа |
^НКПР ’ 0//° |
8С™,% |
Результаты определения погрешности измерения довзрывоопасных концентраций горючих газов и паров: положительные (отрицательные).
12 из 12
