Методика поверки «Хроматографы газовые портативные CALIDUS G.C.» (МП 242-2172-2017)
Федеральное государственное унитарное предприятие
«Всероссийский научно-исследовательский институт метрологии им. Д.И. Менделеева» ФГУП «ВНИИМ им.Д.И.Менделеева

Хроматографы газовые портативные CALIDUS G.C.
Методика поверки
МП-242-2172-2017
Заместитель руководителя отдела Государственных эталонов в области
физико-химических из^ре ФГУП «ВНИИМ им.
ева»
А.В.Колобова
Ст.научный сотрудник
ФГУП «ВНИИМ им.Д.И.Менделеева»
М.А.Мешалкин
г. Санкт-Петербург 2017 г.
Настоящая методика распространяется на хроматографы газовые портативные CALIDUS
G.C. и устанавливает методы и средства их первичной поверки при вводе в эксплуатацию и по
сле ремонта и периодической поверки в процессе эксплуатации. Интервал между поверками - 1 год.
1. ОПЕРАЦИИ ПОВЕРКИ
-
1.1. При проведении поверки должны выполняться операции, указанные в табл.1.
Таблица 1 - Операции поверки
|
Наименование операции |
Номер пункта |
Проведение операции при поверке | |
|
первичной |
периодической | ||
|
Внешний осмотр |
6.1 |
Да |
Да |
|
Опробование |
6.2 |
Да |
Да |
|
Проверка соответствия ПО |
6.3 |
Да |
Да |
|
Определение метрологических характеристик |
6.4 |
Да |
Да |
2. СРЕДСТВА ПОВЕРКИ
-
2.1. При проведении поверки используются следующие средства поверки
-
2.2.1. Стандартные образцы- поверочные газовые смеси
Таблица 2 - Стандартные образцы- поверочные газовые смеси
|
№ п/п |
Номер пункта МП |
Компонентный состав |
Объёмная доля С3Н8, % |
Относительная расширенная неопределенность (U) при коэффициенте охвата к = 2, % |
Номер ГСО |
|
1. |
6.3, 6.4 |
С3Н8/Не |
От 0,1 до 0,3 |
Не более 3,0 |
10718-2015 |
-
2.2.2. Термогигрометр электронный утвержденного типа, зарегистрированный в Федеральном информационном фонде по ОЕИ (диапазон измерений отн. влажности от 10 до 100 %; абсл. погрешность не более 3,0 %; диапазон измерений температуры от +10 до +40 °C; абсл. погрешность не более 0,5 °C).
-
2.2.3. Барометр-анероид М-110 или аналогичный.
-
2.2.4. Допускается применение аналогичных средств поверки, обеспечивающих определение метрологических характеристик поверяемых хроматографов с требуемой точностью.
-
2.2.5. Средства измерений должны иметь действующие свидетельства о поверке, а газовые смеси в баллонах под давлением - действующие паспорта установленного образца.
-
3. ТРЕБОВАНИЯ К КВАЛИФИКАЦИИ ПОВЕРИТЕЛЕЙ
К проведению поверки допускаются лица, имеющие техническое образование, изучившие Руководство по эксплуатации хроматографа (далее — РЭ) и методику поверки и имеющие удостоверение поверителя. Для снятия данных при поверке допускается участие операторов, обслуживающих хроматограф (под контролем поверителя).
-
4. УСЛОВИЯ ПОВЕРКИ
При проведении поверки соблюдают следующие условия:
-
- температура окружающего воздуха от 15 до 25 °C;
-
- относительная влажность воздуха не более 90 %;
-
- атмосферное давление от 86 до 106 кПа.
-
5. ПОДГОТОВКА К ПОВЕРКЕ
Перед началом поверки должны быть проведены следующие подготовительные работы:
- подготовка колонок согласно Руководству по эксплуатации;
проверка герметичности газовых линий хроматографа согласно Руководству по эксплуатации.
-
6. ПРОВЕДЕНИЕ ПОВЕРКИ
-
6.1 Внешний осмотр.
-
При проведении внешнего осмотра должно быть установлено:
-
- наличие Руководства по эксплуатации
-
- отсутствие механических повреждений корпуса, влияющих на работу хроматографа.
-
6.2 Опробование
-
6.2.1. Опробование осуществляется в автоматическом режиме после запуска ПО хроматографа. Хроматограф считается прошедшим опробование, если по окончании тестирования не появляется сообщений об ошибках и на экран выводится главное окно ПО.
-
-
6.3. Подтверждение соответствия программного обеспечения
Подтверждение соответствия программного обеспечения осуществляется следующим образом:
- в главном окне программы в строке команд щелкнуть мышью на команде Help. В открывшемся окне щелкнуть мышью по строке About, в результате чего откроется окно, в котором приведены идентификационное название ПО и номер версии. Копия экрана приведена на рисунке 1.
■
Chrom Perfect - Мели
Version 6.0.10
Warning: The computer program Is protected by copyright taw and International treaties Unauthorized reproduction or distribution of thia program, or any portion of it. may resut in severe dvi and criminal penaties, and wl be prosecuted to the maximum.
Current license type and status Main (OK)
Current user
(SingieUser)
This product is licensed to
Chromperfect Service License
Expires. Contact Chromperfect 973-586-8551
Serial number 3112
System Info |
Рис. 1 Окно с идентификационными данными ПО Chrom Perfect
Хроматограф считается выдержавшим поверку по п. 6.3, если номер версии ПО не ниже, чем указано в таблице 3.
Таблица 3- Идентификационные данные программного обеспечения
|
Идентификационные данные (признаки) |
Значение |
|
Идентификационное наименование ПО |
Chromperfect |
|
Номер версии (идентификационный номер) ПО |
Не ниже 6.0.10 |
6.4. Определение метрологических характеристик
-
6.4.1. Определение уровня флуктуационных шумов нулевого сигнала.
-
6.4.1.1 Определение уровня флуктуационных шумов проводятся по полученным хроматограммам с применением программного обеспечения.
-
6.4.1.2 Уровень флуктуационных шумов нулевого сигнала определяют после выхода нулевой линии на стационарный режим. Для определения уровня флуктуационных шумов проводят регистрацию нулевой линии в течение 10 минут и принимают его равным амплитуде (размаху) повторяющихся колебаний нулевого сигнала с периодом не более 20 секунд. При этом единичные выбросы длительностью более 1 с не учитывают.
-
6.4.1.3. Шум нулевого сигнала не должен превышать 100,00 мкВ.
-
6.4.2. Определение предела детектирования
-
6.4.2.1. На вход хроматографа десять раз подряд подают контрольную смесь (ГСО-ПГС), регистрируют с помощью системы управления и обработки данных высоту пиков Н, площадь пиков Sj и время удерживания tj контрольного вещества Н .
-
6.4.2.2. Предел детектирования (Cmin) для детектора ПИД рассчитывают по формуле:
2х Дх xG
(1)
S
где Дх - уровень флуктуационных шумов нулевого сигнала, мкВ;
G - масса введенного контрольного вещества, г;
S- среднее значение площади пика контрольного вещества для числа измерений (N = 10), мкВ
6.4.2.3. Предел детектирования (Cmin) для детектора ДТП рассчитывают по формуле:
2хДх-0
SxQ ’
(2)
где Дх - уровень флуктуационных шумов нулевого сигнала, мкВ
G - масса введенного контрольного вещества, г
S- среднее значение площади пика контрольного вещества для числа измерений (N = 10), мкВ Q - объёмный расход газа-носителя, см3/с
-
6.4.2.4. Масса контрольного вещества определяется по формуле:
0,01 Р-Л/ -Сг Со R(t + 273)
(3)
где Vr— объем газовой пробы, см3
Р — атмосферное давление, Па
М — молярная масса, (для пропана М= 44 г/моль)
С г— объемная доля контрольного компонента в газовой смеси, %;
R — газовая постоянная, Па-см3/моль-°С. (R=8,3 106)
t — температура окружающей среды, °C
Со - коэффициент, учитывающий содержание элемента в контрольном компоненте газовой смеси Со= 1 (для пропана)
-
6.4.2.5. Значение предела детектирования должно быть не более:
1,5 х 10’9 г/см3 для ДТП
2,0x10’11 г/с для ПИД 6.4.3. Определение относительного СКО выходного сигнала
-
6.4.3.1. Относительное СКО выходного сигнала определяют, используя результаты измерения по площади пиков, полученные при выполнении пункта п. 6.4.2.1.
-
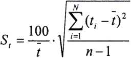
6.4.3.2. Относительное СКО выходного сигнала (Sr- по площади пика и St- по времени удерживания), выраженное в процентах, рассчитывают по формулам (4) и (5) соответственно.
f(S,-S)2 /=1


(4)
(5)
где п - число измерений (равное 10);
Sj - площадь i-ro пика;
5 - среднее значение площади пика;
tj- время удерживания;
f - среднее значение времени удерживания.
-
6.4.3.3. Полученное значение относительного СКО не должно превышать 2,0 % для площади пика и 0,2 % для времени удерживания.
-
7. ОФОРМЛЕНИЕ РЕЗУЛЬТАТОВ ПОВЕРКИ
-
7.1. Данные, полученные при поверке, оформляются в произвольной форме.
-
7.2. Хроматограф, удовлетворяющий требованиям настоящей методики поверки, признается годным и на него оформляется свидетельство о поверке, форма которого приведена в приложение 1 к документу «Порядок проведения поверки СИ, требования к знаку поверки и содержание свидетельства о поверке», утвержденному приказом Минпромторга России от 02.07.2015 г. № 1815.
На оборотной стороне свидетельства приводится следующая информация:
-результаты опробования и внешнего осмотра;
-результат проверки соответствия ПО;
- результаты определения метрологических характеристик;
-
7.3. Хроматографы, не удовлетворяющие требованиям настоящей методики, к дальнейшей эксплуатации не допускается и на них выдается извещение о непригодности, форма которого приведена в приложение 2 к документу «Порядок проведения поверки СИ, требования к знаку поверки и содержание свидетельства о поверке», утвержденному приказом Минпромторга России от 02.07.2015 г. № 1815.
-
7.4. Знак поверки наносится на лицевую панель хроматографа и (или) на свидетельство о поверке.
