Методика поверки «Дальномеры лазерные GLM 50 PROFESSIONAL, GLM 80 PROFESSIONAL » (МП АПМ 46-17)
УТВЕРЖДАЮ
Генеральный директор
ООО «Автопрогресс-М»
** Vv
А.С. Никитин
«27А Сентября 2017 г. dz
ДАЛЬНОМЕРЫ ЛАЗЕРНЫЕ GLM 50 PROFESSIONAL, GLM 80 PROFESSIONAL
МЕТОДИКА ПОВЕРКИ
МП АПМ 46-17
г. Москва, 2017 г.
Настоящая методика поверки распространяется на дальномеры лазерные GLM 50 Professional, GLM 80 Professional (далее - дальномеры), выпускаемые «Robert Bosch Power Tools GmbH», Германия, и устанавливает методику их первичной и периодической поверки.
Интервал между поверками -1 год.
1. Операции поверки
При проведении поверки должны выполняться операции, указанные в таблице 1.
Таблица 1
|
-№ п/п |
Наименование операции |
№ пункта документа по поверке |
Проведение операций при | |
|
первичной поверке |
периодической поверке | |||
|
1 |
Внешний осмотр |
7.1 |
Да |
Да |
|
2 |
Опробование |
7.2 |
Да |
Да |
|
3 |
Определение метрологических характеристик |
7.3 | ||
|
3.1 |
Определение абсолютной погрешности и СКП измерений расстояний |
7.3.1 |
Да |
Да |
2. Средства поверки
При проведении поверки должны применяться эталоны и вспомогательные средства поверки, приведенные в таблице 2
Таблица 2
|
№ пункта документа по поверке |
Наименование эталонов, вспомогательных средств поверки и их основные метрологические и технические характеристики |
|
7.3.1 |
Рабочий эталон (лента измерительная) 3-го разряда по ГОСТ Р 8.763-2011 Рабочий эталон (фазовый светодальномер) 1-го разряда по ГОСТ Р 8.750-2011 |
Допускается применять другие средства поверки, обеспечивающие определение метрологических характеристик с точностью, удовлетворяющей требованиям настоящей методики.
3. Требования к квалификации поверителей
К проведению поверки допускаются лица, изучившие эксплуатационные документы, имеющие достаточные знания и опыт работы с дальномерами.
4. Требования безопасности
При проведении поверки, меры безопасности должны соответствовать требованиям по технике безопасности согласно эксплуатационной документации, правилам по технике безопасности, действующие на месте проведения поверки и требованиям МЭК-825 «Радиационная безопасность лазерной продукции, классификация оборудования, требования и руководство для потребителей», а также правилам по технике безопасности при производстве топографогеодезических работ ПТБ-88.
5. Условия поверки
-
5.1. При проведении поверки должны соблюдаться в лаборатории, следующие нормальные условия измерений:
-
- температура окружающей среды, °C.................................................................(20±5)
-
- относительная влажность воздуха, %.........................................................не более 80
-
- атмосферное давление, кПа (мм рт.ст.)..................................................... 84,0.. 106,7
(630..800)
-
- изменение температуры окружающей среды во время поверки, °С/ч.....не более 2
5.2. Полевые измерения (измерения на открытом воздухе) должны проводиться при отсутствии осадков и порывов ветра и температуре окружающей среды от -10 до +40°С.
6. Подготовка к поверке
Перед проведением поверки должны быть выполнены следующие подготовительные работы:
-
- проверить наличие действующих свидетельств о поверке на средства измерений;
-
- дальномер и средства поверки привести в рабочее состояние в соответствии с их эксплуатационной документацией;
-
- дальномер и средства поверки должны быть выдержаны при нормальных условиях не менее 1 ч.
-
7. Проведение поверки
7.1. Внешний осмотр
При внешнем осмотре должно быть установлено соответствие дальномера следующим требованиям:
-
- отсутствие механических повреждений и других дефектов, влияющих на эксплуатационные и метрологические характеристики;
-
- наличие маркировки и комплектности согласно требованиям эксплуатационной документации;
Если перечисленные требования не выполняются, дальномер признают негодным к применению, дальнейшие операции поверки не производят.
7.2. Опробование
При опробовании должно быть установлено соответствие дальномера следующим требованиям:
-
- отсутствие качки и смещений неподвижно соединенных деталей и элементов;
-
- работоспособность дальномера с использованием всех функциональных режимов;
-
- дискретность отсчетов измерений должны соответствовать эксплуатационной документации.
Если перечисленные требования не выполняются, дальномер лазерный признают негодным к применению, дальнейшие операции поверки не производят.
-
7.3. Определение метрологических характеристик
7.3.1. Определение абсолютной погрешности и СКП измерений расстояний
Абсолютная погрешность и СКП измерений расстояний определяется путем измерений не менее Зх контрольных (эталонных) линий, действительные длины которых равномерно расположены в диапазоне измерений расстояний дальномера и измерены эталонным СИ. Для каждой контрольной линий проводить не менее 10 измерений. Измерения контрольных линий производить на поверхность белого цвета в пасмурную погоду или в помещении при слабом освещении.
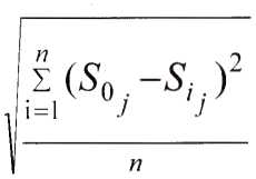
Абсолютная погрешность измерений каждой контрольной линии вычисляется по формуле:

AS = (—--S0?)±2-
п
где AS - абсолютная погрешность измерений j-ro расстояния при i-ом приеме, мм;
Soj - эталонное (действительное) значение j-ro расстояния;
S i j - измеренное значение j-ro расстояния i-м приемом;
п - число приемов измерений j-oro расстояния.
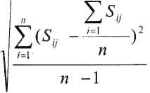
СКП измерений каждой линии вычисляется по формуле:
СКП измерений каждой линии вычисляется по формуле:
ms

где msi - СКП измерений j-ого расстояния.
Значение абсолютной погрешности Ai измерений расстояний не должно превышать:
Дтя дальномеров GLM 50 Professional:
±2 (1,50+0,05- 10'3 D) мм - при благоприятных условиях1’;
±2-(1,50+0,15 ■ 10'3-D) мм - при неблагоприятных условиях21.
Для дальномеров GLM 80 Professional:
±2 (1,50+0,05 - 10'3 D) мм - при благоприятных условиях1 *;
±2 (2,50+0,29-10’3-D) мм - при неблагоприятных условиях2’.
Значение средней квадратической погрешности ms измерений расстояний не должно превышать:
Для дальномеров GLM 50 Professional:
-
- (1,50+0,05 ■ 10‘3 D) мм - при благоприятных условиях1 ’;
-
- (1.50+0.15 • 10'3 ■ D) мм - при неблагоприятных условиях2*.
Для дальномеров GLM 80 Professional:
-
- (1,50+0,05 - 10‘3 D) мм - при благоприятных условиях”;
-
- (2.50+0.29- 10‘3D) мм - при неблагоприятных условиях2’,
где D - измеряемое расстояние, мм
” - измерения на поверхность со 100% отражательной способностью (стена, окрашенная в белый цвет), низкая фоновая освещенность, умеренные температуры (плюс 25°С);
2) - измерения на поверхность с (10 - 100) % отражательной способностью, высокая фоновая освещённость (прибл. 30 ОООлк), температура от минус 10 до плюс 45 °C;
Погрешность измерений расстояний следует определять от нулевой точки отсчёта: нижнего, верхнего торца корпуса дальномеров или центра резьбовой втулки при измерении со штатива.
Если требование п.7.3.1, не выполняется, дальномер признают непригодным к применению. дальнейшие операции поверки не производят.
8. Оформление результатов поверки
-
8.1. Результаты поверки оформляются протоколом, составленным в виде сводной таблицы результатов поверки по каждому пункту раздела 7 настоящей методики поверки.
-
8.2. При положительных результатах поверки, дальномер признается годным к применению и на него выдается свидетельство о поверке установленной формы.
Знак поверки наносится на свидетельство о поверке в виде наклейки и (или) оттиска повери-тельного клейма.
-
8.3. При отрицательных результатах поверки, дальномер признается непригодным к применению и на него выдается извещение о непригодности установленной формы с указанием основных причин.
Руководитель отдела ООО «Автопрогресс-М»
К.А. Ревин
