Методика поверки «Резервуары стальные горизонтальные цилиндрические двустенные РГСД-8» (МП 276-17)
УТВЕРЖДАЮ
Временно и.о. директора
ФБУ «Томский ЦСМ»
W 2017 г.
Л.Н. Павлова
Государственная система обеспечения единства измерений
РЕЗЕРВУАРЫ СТАЛЬНЫЕ ГОРИЗОНТАЛЬНЫЕ ЦИЛИНДРИЧЕСКИЕ ДВУСТЕННЫЕ РГСД-8
МЕТОДИКА ПОВЕРКИ
МП 276-17
2017
Содержание
Приложение А (справочное) Рисунки
Приложение Б (обязательное) Рекомендуемая форма протокола поверки
Приложение В (рекомендуемое) Форма градуировочной таблицы
Приложение Г(справочное) Эскиз резервуара
1 Общие положенияНастоящая методика поверки распространяется на резервуары стальные горизонтальные цилиндрические двустенные РГСД-8 (далее - резервуары) и устанавливает методы и средства их первичной и периодической поверки геометрическим методом с применением геодезических приборов - тахеометров электронных (далее - тахеометры).
Настоящая методика распространяется на резервуары номинальной вместимостью 8 м3 и предусматривает компьютерную обработку результатов измерений при определении интервальных вместимостей резервуаров и составление градуировочной таблицы.
Первичную поверку резервуаров выполняют перед вводом в эксплуатацию и после ремонта.
Периодическую поверку резервуаров выполняют в процессе эксплуатации через установленный интервал между поверками.
Периодичность поверки (интервал между поверками) резервуаров - 5 лет.
2 Нормативные ссылкиВ настоящей методике приведены ссылки на следующие нормативные документы (НД):
ГОСТ 12.4.099-80 Комбинезоны женские для защиты от нетоксичной пыли, механических воздействий и общих производственных загрязнений. Технические условия
ГОСТ 12.4.100-80 Комбинезоны мужские для защиты от нетоксичной пыли, механических воздействий и общих производственных загрязнений. Технические условия
ГОСТ 12.4.137-2001 Обувь специальная с верхом из кожи для защиты от нефти, нефтепродуктов, кислот, щелочей, нетоксичной и взрывоопасной пыли. Технические условия
ГОСТ 12.4.087-84 Система стандартов безопасности труда. Строительство. Каски строительные. Технические условия
ГОСТ 12.4.010-75 Система стандартов безопасности труда. Средства индивидуальной защиты. Рукавицы специальные. Технические условия
ГОСТ 12.1.005-88 Система стандартов безопасности труда. Общие санитарно-гигиенические требования к воздуху рабочей зоны
ГОСТ 12.0.004-2015 Система стандартов безопасности труда. Организация обучения безопасности труда. Общие положения
ГОСТ 166-89 (СТ СЭВ 704-77 - СТ СЭВ 707-77; СТ СЭВ 1309-78, ИСО 3599-76) Штангенциркули. Технические условия
ГОСТ 427-75 Линейки измерительные металлические. Технические условия
ГОСТ 7502-98 Рулетки измерительные металлические. Технические условия.
Примечание - При пользовании настоящей методики измерений целесообразно проверить действие ссылочных стандартов в информационной системе общего пользования - на официальном сайте Федерального агентства по техническому регулированию и метрологии в сети Интернет или ежегодно издаваемому информационному указателю «Национальные стандарты», который опубликован по состоянию на 1 января текущего года, и по выпускам ежемесячного информационного указателя «Национальные стандарты» за текущий год. Если ссылочный стандарт заменен (изменен), то при пользовании настоящей методикой следует руководствоваться заменяющим (измененным) стандартом. Если ссылочный стандарт отменен без замены, то положение, в котором дана ссылка на него, применяется в части, не затрагивающей эту ссылку.
3 Термины и определения понятийВ настоящей методике применяются следующие термины с соответствующими определениями:
-
3.1 геометрические параметры (резервуара, деталей, днищ): Геометрические размеры (резервуара, деталей, днищ), определяемые методом прямых или косвенных измерений и используемые для определения общей или интервальных вместимостей резервуара
-
3.2 базовая точка: Точка на внутренней поверхности цилиндрической части резервуара, с которой совпадает ноль градуировочной таблицы и от которой измеряют уровень жидкости в резервуаре
-
3.3 абсолютная высота (уровень наполнения): Расстояние по вертикали от горизонтальной плоскости, проходящей через базовую точку до любой точки резервуара или до свободной поверхности жидкости, находящейся в резервуаре
Пр имечание - Относительно этой горизонтальной плоскости методами прямых или косвенных измерений определяют базовую высоту, абсолютную высоту внутренних деталей, деформаций, абсолютную высоту верха всасывающего или низа приемораздаточного патрубка, низа горловины
-
3.4 превышение: Разность абсолютной высоты двух любых точек (в том числе между горизонтальной визирной осью теодолита, нивелира или тахеометра и любой точкой), определяемая из прямых или непрямых измерений для вычисления абсолютной высоты этих точек
-
3.5 ось резервуара: Прямая во внутреннем пространстве резервуара, равноудаленная от реальной внутренней поверхности цилиндрической части резервуара
-
3.6 средний радиус цилиндрической части резервуара: Расстояние от оси резервуара до цилиндрической поверхности, радиальные отклонения i9;Pe3 от которой реальной внешней или внутренней поверхности цилиндрической части резервуара отвечают условиям метода наименьших квадратов (МНК):
19/ез = 0; ^Рез = min (3.1)
-
3.7 аппроксимирующий цилиндр: Цилиндрическая поверхность, осью которой является прямая в соответствии с 3.5, построенная по условиям в соответствии с 3.6
-
3.8 степень наклона резервуара: Тангенс угла в вертикальной плоскости между осью резервуара и горизонтальной плоскостью
-
3.9 поперечное сечение резервуара: Кривая, лежащая на пересечении внутренней поверхности резервуара и плоскости, перпендикулярной к оси резервуара
-
3.10 плоскость основания переднего (заднего) днища: Поперечное сечение резервуара, проходящее по границе переднего (заднего) днища и цилиндрической части резервуара
-
3.11 базовая высота: Абсолютная высота верха замерной трубы или замерного отверстия резервуара
-
3.12 граничная (максимальная) абсолютная высота наполнения: Абсолютная высота наиболее высокой точки нижнего обреза горловины люка или до любой другой, указанной в документации, горизонтальной плоскости, выше которой налив не допускается
-
3.13 абсолютная высота «мертвой» полости: Абсолютная высота низа приемораздаточного патрубка, верха всасывающего патрубка или любой горизонтальной плоскости, заданной в документации, ниже которой слив не возможен
-
3.14 абсолютная высота неконтролируемого остатка: Абсолютная высота, ниже которой невозможно провести измерения уровня жидкости в резервуаре
-
3.15 номинальная вместимость: Вместимость резервуара, указанная в технической документации на резервуар и назначаемая при его проектировании
-
3.16 общая вместимость: Вместимость резервуара, соответствующая граничной абсолютной высоте наполнения
-
3.17 вместимость «мертвой» полости: Интервальная вместимость резервуара, соответствующая абсолютной высоте «мертвой» полости
-
3.18 вместимость неконтролируемого остатка: Интервальная вместимость резервуара, соответствующая абсолютной высоте неконтролируемого остатка
При проведении поверки резервуара выполняют операции, приведенные в таблице 1.
Таблица 1
|
Наименование операций |
Номер пункта МП |
Обязательность проведения при | |
|
первичной поверке |
периодической поверке | ||
|
Внешний осмотр |
10.1 |
+ |
+ |
|
Определение базовой высоты резервуара |
10.2 |
+ |
+ |
|
Определение степени наклона резервуара |
10.3 |
+ |
+ |
|
Определение среднего радиуса цилиндрической части резервуара |
10.4 |
+ |
+ |
|
Определение общей длины резервуара и расстояний от базовой точки до границ цилиндрической части и днища |
10.5 |
+ |
+ |
|
Определение выпуклости (высоты) днища |
10.6 |
+ |
+ |
|
Определение предельной абсолютной высоты наполнения и абсолютной высоты «мертвой» полости резервуара |
10.7 |
+ |
+ |
|
Определение объемов внутренних деталей |
10.8 |
+ |
+ |
|
Определение геометрической формы, геометрических параметров и абсолютной высоты деформации стенок цилиндрической части и днищ резервуара |
10.9 |
+ |
+ |
|
Определение общей вместимости резервуаров, вместимости «мертвой» полости и расчет погрешности измерений вместимости резервуаров |
10.10 |
+ |
+ |
-
5.1 При проведении поверки применяют средства поверки согласно таблице 2. Допускается применение аналогичных средств поверки, обеспечивающих определение метрологических характеристик с требуемой точностью.
-
5.2 Средства измерений, применяемые при поверке, должны быть внесены в Федеральный информационный фонд по обеспечению единства изменений и иметь действующие свидетельства о поверке и (или) знаки поверки.
Таблица 2 - Перечень средств поверки
|
Наименование средства поверки |
Основные метрологические характеристики | |
|
диапазон измерений |
погрешность | |
|
Тахеометр электронный Leica TS15 |
Диапазон измерений углов от 0 до 360° |
СКО не более 2" |
|
Диапазон измерений расстояний от 1,5 до 400 м |
СКО не более ±(1+1,5-10'6-Т) мм | |
|
Линейка металлическая по ГОСТ 427 |
Диапазон измерений от 0 до 500 мм |
А = ± 0,2 мм |
|
Рулетка измерительная металлическая Р20Н2К по ГОСТ 7502 |
Диапазон измерений от 0 до 20 м |
КТ 2 |
|
Штангенциркуль ШЦ-Ш-400-0.02 по ГОСТ 166 |
Диапазон измерений от 0 до 400 мм |
А = ± 0,02 мм |
|
Рулетка измерительная металлическая с грузом РНГ, Р20Н2ГА по ГОСТ 7502 |
Диапазон измерений от 0 до 20 м |
КТ 2 |
|
Наименование средства поверки |
Основные метрологические характеристики | |
|
диапазон измерений |
погрешность | |
|
Термогигрометр ИВА-6А-Д |
относительной влажности от 0 до 98 % температуры от минус 20 до плюс 60 °C атмосферного давления от 700 до 1100 гПа |
А = ± 2 % А = ± 0,3 °C А = ± 2,5 гПа |
|
Анемометр портативный акустический АПА-1/3 |
Диапазон измерений от 0,1 до 20 м/с |
А= ± (0,1 + 0,05-V) м/с |
|
Персональный компьютер с установленным программным обеспечением - пакетом прикладных программ «VGS» (рабочий программный модуль GOR 1, версия 7.3). Свидетельство о метрологической аттестации № 23-2101 от 19.04.2011 г. | ||
|
Примечание: В таблице приняты следующие обозначения и сокращения: А - пределы допускаемой абсолютной погрешности измерений; V - измеренная скорость ветра, м/с; КТ - класс точности, СКО - среднеквадратическое отклонение | ||
К выполнению поверки допускают лиц, изучивших настоящую методику поверки, эксплуатационную документацию на резервуары, используемые средства поверки и прошедшие инструктаж по безопасности труда в соответствии с ГОСТ 12.0.004.
7 Требования безопасности-
7.1 Лица, выполняющие поверку резервуаров, должны быть одеты в спецодежду:
-
- комбинезон по ГОСТ 12.4.099 или ГОСТ 12.4.100;
-
- спецобувь по ГОСТ 12.4.137;
-
- строительную каску по ГОСТ 12.4.087;
-
- рукавицы по ГОСТ 12.4.010.
-
7.2 Содержание вредных паров и газов в воздухе вблизи или внутри резервуаров в рабочей зоне на высоте 2000 мм не должно превышать санитарных норм, установленных ГОСТ 12.1.005.
-
7.3 Для освещения в темное время суток применяют светильники во взрывозащищенном исполнении.
-
7.4 Перед проведением поверки проверяют исправность лестниц и перил резервуаров.
-
7.5 Избыточное давление внутри резервуаров должно быть равно нулю.
-
7.6 Базовую высоту резервуаров определяют через измерительный люк. После измерений крышку измерительного люка плотно закрывают.
-
8.1 Требования к климатическим условиям проведения поверки:
-
- температура окружающей среды, °C от минус 15 до плюс 35;
-
- относительная влажность воздуха, %, не более 80;
-
- скорость ветра, м/с, не более 10;
-
- атмосферное давление мм рт.ст. от 600 до 800
Внимание! Измерения параметров резервуаров во время грозы категорически запрещены.
-
8.2 Резервуары должны быть изготовлены и установлены в соответствии с действующими нормативными документами.
-
8.3 Резервуары должны быть:
-
- смонтированы, установлены на устойчивый фундамент, испытаны на прочность и герметичность;
- очищены и проветрены.
-
8.4 Подготовлены планы расположения резервуаров, их технические паспорта и чертежи общих видов.
-
8.5 При проведении поверки резервуаров геометрическим методом - степень наклона резервуаров допускается не более 0,03° при условии определения вместимости резервуаров с учетом его угла наклона.
-
9.1 Разбивают каждый пояс резервуара на восемь продольных и три поперечных сечения, в точках пересечения выполняют измерения.
Поперечные сечения - переднее и заднее, располагают на расстоянии 70 мм от сварочного шва, среднее располагают посередине пояса резервуара.
-
9.2 Продольные сечения резервуара должны проходить через ось резервуара. Два вертикальных, два горизонтальных и четыре - через 45° - между горизонтальными и вертикальными сечениями.
Продольные сечения нумеруют цифрами от 1 до 8 по часовой стрелке, если смотреть в сторону базовой точки резервуара.
-
10 Проведение измерений
При внешнем осмотре резервуара проверяют соответствие конструкции и внутренних деталей резервуара проектной и технической документации на него. Результаты проверки положительные, если конструкция резервуара соответствует проектной и технической документации.
10.2 Определение базовой высоты резервуараОпределение базовой высоты в каждом резервуаре проводят дважды, если результаты измерений отличаются не более, чем на 2 мм, то в качестве результата измерений базовой высоты принимают их среднее значение. Если полученное расхождение результатов измерений составляет более 2 мм, то измерения повторяют еще дважды и берут среднее значение из трех наиболее близких результатов.
Результаты измерений заносят в таблицу по форме таблицы Б. 1 приложения Б.
10.3 Определение степени наклона резервуара-
10.3.1 Степень наклона резервуара определяют по результатам внутренних измерений.
-
10.3.2 При внутренних измерениях в резервуар наливают небольшое количество воды и с помощью двух линеек, имеющих миллиметровые шкалы, измеряют уровни воды в двух сечениях, расположенных в противоположных концах резервуара.
-
10.3.3 Расстояние между линейками Lp измеряют с помощью измерительной рулетки.
-
10.3.4 Показания измерительной рулетки и линеек отсчитывают с погрешностью до 1 мм.
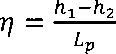
Результаты измерений h±, h2, Lp заносят в таблицу по форме таблицы
Б.2 приложение Б.
-
10.3.5 Степень наклона резервуара вычисляют на основании показаний 10.3.1 - 10.3.4

где hi, h2 - средние арифметические значения результатов измерений;
Lp - расстояние между линейками.
Степень наклона резервуара должно быть не более 0,03 при условии определения вместимости резервуара с учетом его угла наклона в пределах от 0,0005 до 0,03°.
10.4 Определение среднего радиуса цилиндрической части резервуара-
10.4.1 Тахеометр, закрепленный на штативе, устанавливают внутри резервуара приблизительно посередине между передним и задним днищем и приводят в рабочее положение в соответствии с инструкцией по его эксплуатации. Тахеометр переключают в режим «измерения расстояний без отражателя».
-
10.4.2 В память тахеометра вводят произвольные горизонтальные координаты точек стояния тахеометра. Зрительную трубу тахеометра наводят на центр переднего днища и обнуляют отсчет по горизонтальному кругу.
-
10.4.3 В память тахеометра вводится равная нулю высота базовой точки резервуара. Тахеометр наводят на базовую точку и измеряют горизонтальный угол, вертикальный угол и расстояние и вычисляют ее горизонтальные координаты, а также абсолютную высоту горизонта тахеометра (рисунок А. 1 приложения А).
-
10.4.4 Рулеткой измеряют высоту тахеометра над стенкой резервуара и вводят в тахеометр.
-
10.4.5 При необходимости в тахеометр вводят код точки измерений - «номер поперечного сечения, номер продольного сечения». Выполняют наведение сетки нитей тахеометра на соответствующую точку и измеряют горизонтальный угол, вертикальный угол и расстояние. Программой, встроенной в тахеометр, вычисляют горизонтальные координаты и абсолютную высоту точки, на которую выполнялись измерения и заносят в память тахеометра.
-
10.4.6 Аналогично выполняют измерения во всех поперечных сечениях между тахеометром и передним и задним днищем, в том числе в поперечном сечении в котором расположен тахеометр.
Результаты измерений заносят в таблицу по форме таблицы Б.З приложение Б.
10.5 Определение общей длины резервуара и расстояний от базовой точки до границ цилиндрической части и днищаОбщую длину резервуара определяют тахеометром как сумму длин от оси вращения тахеометра до вершин переднего и заднего днища (рисунок А.2 приложения А). Измерения выполняют не менее 2-х раз. Результаты измерений не должны отличаться более чем на 2 мм.
Результаты измерений заносят в таблицу по форме таблицы Б.4 приложения Б.
10.6 Определение выпуклости (высоты) днищаВысоту переднего и заднего днищ резервуара определяют при помощи металлической линейки. Плоскость основания днища задается отвесом, который прикладывают к линии пересечения цилиндрической части и днища резервуара (рисунок А.З приложения А). Измерения выполняют не менее 2-х раз. Результаты измерений не должны отличаться более чем на 2 мм.
Результаты измерений заносят в таблицу по форме таблицы Б.5 приложения Б.
10.7 Определение предельной абсолютной высоты наполнения и абсолютной высоты «мертвой» полости резервуара-
10.7.1 Абсолютную высоту «мертвой» полости и предельную абсолютную высоту наполнения резервуара (рисунок А.2 приложения А) определяют сразу после выполнения работ в соответствии с 10.4.
-
10.7.2 Складной метр последовательно устанавливают вертикально на базовой точке резервуара, нижней (верхней) точке сливного (всасывающего) патрубка, нижней точке обреза горловины. Горизонтально расположенную зрительную трубу тахеометра наводят на складной метр, фокусируют на шкалу и снимают отсчеты при помощи горизонтальной сетки нитей лазерного луча. Измерения выполняют не менее 2-х раз. Результаты измерений не должны отличаться более чем на 2 мм.
Результаты измерений заносят в таблицу по форме таблицы Б.6 приложения Б.
-
10.7.3 Определение предельной абсолютной высоты наполнения и абсолютной высоты «мертвой» полости резервуара
-
10.7.3.1 Предельная абсолютная высота наполнения резервуара Нтах определяется по формуле:
-
Нтах ~ Ьб + Ьг (10.3)
где Ьб - отсчет по шкале складного метра, установленного на базовой точке резервуара;
Ьг - отсчет по шкале складного метра, установленного на верхней точке среза горловины резервуара.
-
10.7.3.2 Абсолютная высота «мертвой» полости резервуара НМп определяется по формуле:
^мп = — ^сп (10-4)
где Ьсп - отсчет по шкале складного метра, установленного на нижней точке сливного патрубка резервуара.
10.8 Определение объемов внутренних деталейДиаметр поперечного сечения цилиндрической детали или ширину и высоту прямоугольного поперечного сечения определяют как среднее, не менее чем, из двух измерений рулеткой. Измеряют также наклон оси детали к вертикали строительным уровнем и длину детали рулеткой. Значение длины записывают со знаком «-», если деталь наружная, увеличивающая вместимость резервуара, и со знаком «+», если внутренняя - уменьшающая вместимость резервуара.
Результаты измерений заносят в таблицу по форме таблицы Б.7 приложения Б.
10.9 Определение геометрической формы, геометрических параметров и абсолютной высоты деформации стенок цилиндрической части и днищ резервуара-
10.9.1 Определяют тип геометрической фигуры, которой соответствует форма деформации днища и стенок резервуара (эллипс, гипербола, сферический сегмент, конус, параболический сегмент).
-
10.9.2 Определяют диаметр основания деформированного участка как среднее из максимального и минимального значений измеренных металлической линейкой, а также уклон плоскости основания деформации к вертикали строительным уровнем.
-
10.9.3 Определяют высоту деформации как максимально измеренное линейкой расстояние перпендикулярно к окружающей ровной поверхности заданной ребром линейки приложенной к основанию деформации. Значения высоты записывают со знаком «-», если деформация выпуклая, и со знаком «+», если вогнутая.
-
10.9.4 Абсолютную высоту нижней и верхней границы деформации определяют тахеометром методом геометрического нивелирования.
Результаты измерений заносят в таблицу по форме таблицы Б.8 приложения Б.
10.10 Определение общей вместимости резервуаров, вместимости «мертвой» полости и расчет погрешности измерений вместимости резервуаровОпределение общей вместимости резервуаров, вместимости «мертвой» полости, расчет погрешности измерений вместимости резервуаров и расчет градуировочных таблиц выполняется автоматически с использованием программного обеспечения «VGSGOR1» на основании результатов измерений по 10.2-10.9.
Фактические значения относительной погрешности измерений вместимости резервуаров не должны превышать ±0,4 %.
11 Обработка результатов измерений-
11.1 Обработку и оформление результатов измерений при определении параметров геодезической сети и резервуара выполняют на компьютере при помощи программного обеспечения «VGS GOR1».
-
11.2 Составление градуировочных таблиц выполняют на компьютере при помощи программного обеспечения «VGSGOR1».
-
11.3 По результатам измерений оформляют:
-
- технический отчет об измерениях, утверждаемый руководителем или уполномоченным лицом организации, выполнявшей поверку;
-
- протокол поверки по форме, приведенной в приложении Б;
-
- градуировочную таблицу по форме, приведенной в приложении В, утверждаемую руководителем или уполномоченным лицом организации, выполнявшей поверку;
-
- эскиз резервуара по форме, приведенной в приложении Г.
-
11.4 При положительных результатах поверки (первичной и периодической) оформляют свидетельство о поверке в соответствии с Приказом Минпромторга РФ от 02.07.2015 г. №1815. Знак поверки наносится на свидетельство о поверке и на титульный лист градуировочной таблицы резервуара, заверяется подписью поверителя.
-
11.5 При отрицательных результатах поверки свидетельство о поверке аннулируют и оформляют извещение о непригодности к применению в соответствии с Приказом Минпромторга РФ от 02.07.2015 г. №1815. Резервуары, прошедшие поверку с отрицательными результатами, не допускается к использованию.
(справочное)
Рисунки
Н А /

Рисунок А.1 - Определение геометрических параметров цилиндрической части резервуара в /-м поперечном сечении
-t
Сливной патрубок
^'.1' ~
\/ £
|
Метр о шток |
Г оризонтальный визирный луч прибора | ||
|
Т ахеометр | |||

Ось резервуара

Базовая точка
Рисунок А.2 - Определение геометрических параметров цилиндрической части
Ось вращения прибора
Рисунок А.З Определение геометрических параметров днища резервуара
Приложение Б
(обязательное)
Рекомендуемая форма протокола поверки
Протокол поверки №______от «____»___________20_____г.
резервуара стального горизонтального цилиндрического двустенного РГСД-8
Б.1 Общие сведения
назначение: измерение объема нефти или нефтепродуктов организация - владелец: ООО «Норд Империал» место установки резервуара: тип резервуара: РГСД-8 номинальная вместимость, м3 - 8 всего листов в протоколе поверки:
в техническом отчете об измерениях:
в градуировочной таблице:
Поверку выполняли______________________________________________________
Место проведения поверки___________________________________________________
Параметры резервуара: число поясов_______
Б.2 Результаты проверок
Б.2.1 Внешний осмотр______________________________________________________________
Таблица Б.1 - Определение базовой высоты резервуара
|
Зав. № резервуара |
Базовая высота резервуара, мм |
Расхождение между результатами измерений, мм |
Результат измерений базовой высоты, мм | |
|
1 измерение |
2 измерение | |||
Таблица Б.2 - Определение степени наклона резервуара
|
Номер измерений |
Измеренное значение, мм | ||
|
1-й линейки, h. |
2-й линейки, h2 |
измерительной рулетки (расстояние между линейками) - Lp | |
|
1 | |||
|
2 | |||
Таблица Б.З - Определение среднего радиуса цилиндрической части резервуара
|
Номер сечения |
Радиус цилиндрической части резервуара, мм, мм | |||||||
|
Номер пояса | ||||||||
|
1 |
2 |
3 |
4 |
5 |
6 |
7 |
8 | |
|
1 | ||||||||
|
2 | ||||||||
|
Значение среднего радиуса цилиндрической части резервуара, мм | ||||||||
Таблица Б.4 - Определение общей длины резервуара и расстояний от базовой точки до границ цилиндрической части и днища
|
Измеренный параметр |
Значение параметра | |||
|
1-е измерение |
2-е измерение |
Среднее арифметическое значение |
Общая длина резервуара | |
|
Расстояние от тахеометра до переднего днища резервуара, мм | ||||
|
Расстояние от тахеометра до заднего днища резервуара, мм | ||||
Б.5 Определение выпуклости (высоты) днища
|
Измеряемый параметр |
Значение параметра | |
|
Переднее днище |
Заднее днище | |
|
Форма днища | ||
|
Ьн, мм | ||
|
Ьвыпл ММ | ||
|
Малый диаметр усеченного конуса днища, мм | ||
Таблица Б.6 - Определение предельной абсолютной высоты наполнения и абсолютной высоты «мертвой» полости резервуара
|
Определяемый параметр |
Значение параметра | ||
|
1-е измерение |
2-е измерение |
Среднее арифметическое значение | |
|
Ьб, мм | |||
|
Ьг, мм | |||
|
Ьсп, мм | |||
Таблица Б.7 - Определение объемов внутренних деталей
|
Форма |
Высота, мм |
Длина, мм |
Диаметр, ширина, мм |
Угол наклона оси,0 |
Объем, м3 |
Высота от днища, мм | |
|
нижняя граница |
верхняя граница | ||||||
Таблица Б.8 - Определение геометрической формы, геометрических параметров и абсолютной высоты деформации стенок цилиндрической части и днищ резервуара
|
Форма |
Высота, мм |
Диаметр, ширина, мм |
Угол наклона оси,0 |
Объем, 3 м |
Высота от днища, мм | |
|
нижняя граница |
верхняя граница | |||||
(рекомендуемое)
Форма градуировочной таблицы
Наименование организации, утверждающей градуировочную таблицу
СОГЛАСОВАНО
УТВЕРЖДАЮ
(должность руководителя подразделения и наименование организации проводящей поверку)
(должность руководителя и наименование организации проводящей поверку)
(подпись) (расшифровка подписи) «_____»______________20__Г.
(подпись) (расшифровка подписи) «_____»_______________20__Г.
ГРАДУИРОВОЧНАЯ ТАБЛИЦАРезервуар стальной горизонтальный цилиндрический двустенный РГСД-8 зав. №_______
назначение:______________________________________
организация-владелец:_________________________________
место установки резервуара:
тип резервуара: РГСД-8
номинальная вместимость:________________
пределы допускаемой относительной погрешности определения
вместимости резервуара, %: ±_____
базовая высота резервуара, мм:_________
предельная абсолютная высота наполнения, мм:_________
вместимость на предельную абсолютную высоту наполнения, м3:__________
Уровень жидкости ниже Я1/я =_____ мм для государственных учетных и торговых
операций с нефтью и нефтепродуктами, взаимных расчетов между поставщиком и потребителем не используется вместимость «мертвой» полости, м3:___________
дата проведения поверки:________________________
срок очередной поверки: __________________________
всего листов в градуировочной таблице:______________
Расчет градуировочной таблицы выполнен в соответствии с ФР. 1.27.2010.08878 МВУ 039/03-2010 пакетом прикладных программ «VGS» (рабочий программный модуль GOR1, версия 7.3) разработанным ГП «Укрметртестстандарт». Свидетельство о государственной метрологической аттестации № 23-2101 от 19.04,2011 г.
Регистрационный № документа______________
Резервуар №
Лист
Листов
Организация
Таблица Д.1
Поверитель ___________________
(подпись и знак поверки)
|
Уровень наполнения, см |
Вместимость, з м |
Коэф, вместимости, м3/мм |
Уровень наполнения,см |
Вместимость. 3 м |
Коэф. вместимости, м7мм |
Уровень наполнения, див |
Вместимость, 3 м |
Коэф. вместимости, м3/мм |
(имя, фамилия)
Регистрационный № документа________
Приложение Г(справочное)
Эскиз резервуара
назначение:
тип резервуара:______________
номинальная вместимость:____________
организация-владелец:___________________________
место установки резервуара:______________________
; Вазааая гайка H9st&
Резервуары стальные горизонтальные цилиндрические двустенные РГСД-8. Методика поверки
