Методика поверки «Приемные устройства навигационных радиосигналов глобальных навигационных спутниковых систем ГЛОНАСС/GPS НЦПВ.46173.004» (651-17-032)
УТВЕРЖДАЮ
Первый заместитель генерального директора — заместитель по научной работе УП «ВНИИФТРИ»
© и О <
А.Н. Щипунов
2017 г.
ИНСТРУКЦИЯ
Приемные устройства навигационных радиосигналов глобальных навигационных спутниковых систем ГЛОНАСС/GPS НЦПВ.468173.004
МЕТОДИКА ПОВЕРКИ
651-17-032 р.п. Менделееве, 2017 г.
СодержаниеСсылочные нормативные документы
1 Общие сведения-
1.1 Настоящая методика поверки распространяется на приемные устройства навигационных радиосигналов глобальных навигационных спутниковых систем ГЛОНАСС/GPS НЦПВ.468173.004 (далее— приемное устройство), изготавливаемые АО «НЦ ПЭ», г. Санкт-Петербург, и устанавливает методы и средства их первичной и периодической поверок.
-
1.2 Интервал между поверками — 1 год.
-
2.1 При поверке выполняют операции, представленные в таблице 1.
Таблица 1 — Перечень операций, выполняемых при поверки
|
Наименование операции |
Номер пункта методики |
Проведение поверки | |
|
после ремонта |
при периодической поверке | ||
|
1 Внешний осмотр. |
8.1 |
да |
да |
|
2 Опробование приемного устройства, идентификация ПО |
8.2 |
да |
да |
|
3 Определение (контроль) метрологических характеристик | |||
|
3.1 Определение доверительной границы инструментальной абсолютной погрешности (при доверительной вероятности 0,67) определения координат в плане при работе по сигналам стандартной точности глобальных навигационных спутниковых систем ГЛОНАСС и GPS в частотном диапазоне L1 в статическом режиме |
8.3 |
да |
да |
|
3.2 Определение предела допускаемого среднего квадратического отклонения случайной составляющей абсолютной погрешности измерений псевдодальности по сигналам глобальных навигационных спутниковых систем ГЛОНАСС (с открытым и санкционированным доступом в частотных диапазонах L1 и L2) и GPS (с открытым доступом в частотных диапазонах L1 и L2) |
8.4 |
да |
да |
-
3.1 Рекомендуемые средства поверки, в том числе рабочие эталонные средства измерений приведены в таблице 2.
-
3.2 Все средства поверки, применяемые при поверке приемного устройства, должны быть исправны, поверены и иметь свидетельства о поверке или оттиск поверительного клейма на приборе или в технической документации.
Таблица 2 — Средства измерений, используемые при поверки
|
Номер пункта методики |
Требуемые технические характеристики средств поверки |
Рекомендуемое средство поверки (тип) |
|
8.3, 8.4 |
Доверительная граница абсолютной погрешности (при доверительной вероятности 0,67) воспроизведения координат потребителя ГНСС в системах координат ПЗ-90.2, ПЗ-90.11, WGS-84, локальных системах 0,1 м; предел допускаемого СКО случайной составляющей абсолютной погрешности формирования беззапросной дальности (псевдодальности) при доверительной вероятности 0,67: по фазе дальномерного кода 0,05 м; по фазе несущей частоты 0,001 м |
Рабочий эталон единиц координат местоположения 1 разряда по ГОСТ Р 8.750-2011 |
-
3.3 Вместо указанных в таблице 2 средств поверки допускается применять другие аналогичные, обеспечивающие определение метрологических характеристик приемного устройства с требуемой точностью.
-
4.1 Поверка должна осуществляться лицами, квалифицированными в качестве поверителей в области радиотехнических измерений.
-
5.1 При проведении поверки должны быть соблюдены все требования безопасности в соответствии с ГОСТ 12.3.019-80.
-
6.1 При проведении поверки должны соблюдаться следующие условия:
-
- температура окружающего воздуха от плюс 15 до плюс 25 °C;
-
- относительная влажность воздуха от 40 до 80 %
- напряжение питания постоянного тока от 4,5 до 18,0 В.
7 Подготовка к поверке-
7.1 Поверитель должен изучить техническую документацию изготовителя, руководство по эксплуатации «Приемное устройство навигационных радиосигналов глобальных навигационных спутниковых систем ГЛОНАСС/GPS НЦПВ.468173.004 РЭ» (далее - РЭ) и применяемых средств поверки.
-
7.2 Перед проведением операций поверки необходимо:
-
- проверить комплектность рекомендованных (или аналогичных им) средств поверки;
-
- заземлить (если это необходимо) рабочие эталоны, средства измерений и включить питание заблаговременно перед очередной операцией поверки (в соответствии со временем установления рабочего режима, указанным в РЭ).
-
8.1 Внешний осмотр
-
8.1.1 При проведении внешнего осмотра проверить отсутствие механических повреждений и ослабления элементов, четкость фиксации их положения, чёткость обозначений, чистоту и исправность разъёмов и гнёзд.
-
8.1.2 Результаты поверки считать положительными, если отсутствуют механические повреждения и ослабления элементов, фиксация их положения чёткая, разъёмы и гнёзда чистые и исправные.
-
-
8.2 Опробование приемного устройства, идентификация ПО
-
8.2.1 Для проверки работоспособности собрать схему измерений в соответствии с рисунком 1. Подключить приемное устройство к имитатору сигналов (далее— имитатор), к источнику питания 12В и к ПЭВМ по интерфейсу RS-232.
ммсх
Приемное
V+
устройство
НЦПВ.468173.004
V-
RS-232
РЧ
Имитатор сигналов
v+
Источник питания
V-
RS-232
ПЭВМ
-
Рисунок 1 — Схема подключения для проверки работоспособности приемного устройства
-
8.2.2 Включить приемное устройство согласно РЭ.
-
8.2.3 Подготовить и запустить сценарий имитации с параметрами, приведенными в таблице 3.
Таблица 3 — Параметры сценария
|
Наименование характеристики |
Значение |
|
Формируемые спутниковые навигационные сигналы |
ГЛОНАСС в частотном диапазоне L1 с открытым доступом и GPS в частотном диапазоне L1 с открытым доступом |
|
Продолжительность |
30 мин |
|
Дискретность записи |
1 с |
|
Количество НКА GPS/ГЛОНАСС |
8/8 |
|
Параметры среды распространения навигационных сигналов |
тропосфера присутствует ионосфера присутствует |
|
Формируемые сигналы функциональных дополнений |
нет |
|
Начальные координаты в СК WGS-84:
|
60°00'00" N 30°00'00" Е 100,00 18,00 |
|
Диапазон скоростей движения |
статика |
8.2.4 Запустить специализированное программное обеспечение RU.HIjnB.00066-01 на ПЭВМ согласно РЭ.
-
8.2.5 Инициализировать поиск и прием навигационных сигналов ГНСС GPS/ГЛОНАСС, и их передачу на ПЭВМ с помощью системных команд согласно РЭ.
-
8.2.6 Подождать не менее 5 минут для получения текущих навигационных параметров.
-
8.2.7 Определить идентификационные данные ПО приемного устройства в соответствии с РЭ. Идентификационные данные ПО представлены в таблице 4.
Таблица 4 — Идентификационные данные ПО
|
Идентификационные данные (признаки) |
Значение |
|
Идентификационное наименование |
Яи.НЦПВ.ОООбб-О! |
|
Номер версии (идентификационный номер) |
0008 |
|
Цифровой идентификатор (контрольная сумма по алгоритму CRC32) |
88с59а5а |
-
8.2.8 Результаты испытаний считать положительными, если получены результаты измерений текущих навигационных параметров сигналов ГНСС GPS/ГЛОНАСС, а идентификационные данные ПО соответствуют данным, указанным в таблице 4.
-
8.3 Определение инструментальной абсолютной погрешности (при доверительной вероятности 0,67) определения координат в плане при работе по сигналам стандартной точности ГНСС ГЛОНАСС и GPS в частотном диапазоне L1 в статическом режиме
-
8.3.1 Подготовить и запустить сценарий имитации с параметрами, приведенными в таблице 3, изменив продолжительность сценария на 240 мин.
-
8.3.2 Настроить ПО в соответствие с РЭ на выдачу измерений текущих координат местоположения потребителя в градусах плоского угла с частотой одно сообщение в секунду в течение всего сценария.
-
8.3.3 Записать полученные координаты местоположения потребителя в файл. Соответствующие действительные значения координат местоположения взять из файла протокола сценария, сформированного при его создании.
-
8.3.3.1 Рассчитать абсолютную погрешность определения широты по формуле (1):

-
-
-
(1)
где В, — широта, полученная приемным устройством, градус; В„„ — широта, заданная на имитаторе, градус.
-
8.3.3.2 Рассчитать абсолютную погрешность определения долготы по формуле (2):

(2)
где £, — долгота, полученная приемным устройством, градус; £ист — долгота, заданная на имитаторе, градус.
-
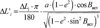
8.3.3.3 Перевести полученные значения абсолютной погрешности определения широты и долготы в метры по формулам (3) и (4) соответственно:

(3)

(4)
где а— большая полуось общеземного эллипсоида, м (а = 6378137м для модели WGS-84);
е— эксцентриситет общеземного эллипсоида (е2 = 0,00669437999 для
|
модели WGS-84). 8.3.3.4 Рассчитать плане по формуле (5): |
абсолютную погрешность определения координат в Д7;.=7а5,,2+ДА,(2. (5) |
|
8.3.3.5 Рассчитать плане по формуле (6): |
математическое ожидание определения координат в |
(6)

-
8.3.3.6 Рассчитать СКО определения координат в плане по формуле (7):

-
8.3.3.7 Рассчитать инструментальную абсолютную погрешность (при доверительной вероятности 0,67) определения координат в плане по формуле (8):
nz =Mt +0,97(7/. (8)
-
8.3.3.8 Результаты испытаний считать положительными, если значение инструментальной абсолютной погрешности (по уровню доверительной вероятности 0,67) определения координат в плане не превышает доверительной границы 1,5 м.
8.4 Определение СКО случайной составляющей абсолютной погрешности измерений псевдодальности по сигналам ГНСС ГЛОНАСС (с открытым и санкционированным доступом в частотных диапазонах L1 и L2) и GPS (с открытым доступом в частотных диапазонах L1 и L2)
-
8.4.1 Подготовить и запустить сценарий имитации с параметрами, приведенными в таблице 5.
Таблица 5 — Параметры сценария
|
Наименование характеристики |
Значение |
|
Формируемые спутниковые навигационные сигналы |
ГЛОНАСС в частотном диапазоне LI, L2 (с открытым и санкционированным доступом) и GPS в частотном диапазоне L1 и L2 (с открытым доступом) |
|
Продолжительность |
240 мин |
|
Дискретность записи |
1 с |
|
Количество НКА GPS/ГЛОНАСС |
8/8 |
|
Параметры среды распространения навигационных сигналов |
тропосфера отсутствует ионосфера отсутствует |
|
Формируемые сигналы функциональных дополнений |
нет |
|
Начальные координаты в СК WGS-84:
|
60°00'00" N 30°00'00" Е 100,00 18,00 |
|
Диапазон скоростей движения |
статика |
-
8.4.2 Настроить ПО в соответствие с РЭ на выдачу измерений текущих навигационных параметров с частотой одно сообщение в секунду в течение всего сценария.
-
8.4.3 Записать полученные текущие навигационные параметры в файл.
-
8.4.4 Определение СКО случайной составляющей абсолютной погрешности измерений псевдодальности по фазе дальномерного кода по сигналам с открытым доступом системы ГЛОНАСС в частотных диапазонах L1 и L2
-
8.4.4.1 Выделить из итоговых результатов измерения псевдо дальности по фазе дальномерного кода с открытым доступом сигналов ГНСС ГЛОНАСС в частотном диапазоне L1 и L2 для каждого видимого НКА. Соответствующие действительные значения псевдодальности выделить из файла протокола сценария, сформированного при его создании.
-
8.4.4.2 Определить СКО случайной составляющей абсолютной
погрешности измерений псевдодальностей в каждом частотном диапазоне.
-
8.4.4.2.1 Рассчитать абсолютную разность измеренной и действительные псевдо дальностей по формуле (9):
-Д -Д(Д.). (?)
где Д(/)Изм - измеренное приемным устройством значение псевдодальности до z-го НКА, м;
Di(j)HCi — действительное значение псевдодальности до z-го НКА, взятое из протокола сценария, м;
— измеренное приемным устройством значение псевдодальности до А-го НКА, м;
Dk(j)KCT — действительное значение псевдодальности до к-го НКА, взятое из протокола сценария, м.
-
8.4.4.2.2 Рассчитать математическое ожидание измеренных разностей псевдо дальностей по формуле (10):
(ю) 7V >1
где TV— количество измерений.
-
8.4.4.2.3 Рассчитать СКО измеренных псевдо дальностей по формулам (11)и(12):
о(Д) = ^Ы. (12)
-
8.4.4.2.4 Аналогичные вычисления по формулам (9)-(12) провести для всех видимых НКА.
-
8.4.4.3 Повторить аналогичные вычисления по пунктам 8.4.4.2.1-8.4.4.2.4 в частотном диапазоне L2.
-
8.4.4.4 Результаты испытаний считать положительными, если для всех НКА значение СКО случайной составляющей абсолютной погрешности измерений псевдодальностей не превышает 0,3 м.
8.4.5 Определение СКО случайной составляющей абсолютной погрешности измерений псевдодальности по фазе дальномерного кода по сигналам с санкционированным доступом системы ГЛОНАСС в частотных диапазонах LI, L2.
-
8.4.5.1 Из результатов, полученных в ходе выполнения п. 8.4.3, выделить измерения псевдодальности по фазе дальномерного кода с санкционированным доступом сигналов ГНСС ГЛОНАСС в частотном диапазоне Ы для каждого видимого НКА. Соответствующие действительные значения псевдодальности выделить из файла протокола сценария, сформированного при его создании.
-
8.4.5.2 Определить СКО случайной составляющей абсолютной погрешности измерений псевдо дальностей по формулам (9)-(12) для всех видимых НКА.
-
8.4.5.3 Из результатов, полученных в ходе выполнения п. 8.4.3, выделить измерения псевдодальности по фазе дальномерного кода с санкционированным доступом сигналов ГНСС ГЛОНАСС в частотном диапазоне L2 для каждого видимого НКА. Соответствующие действительные значения псевдодальности выделить из файла протокола сценария, сформированного при его создании.
-
8.4.5.4 Повторить аналогичные вычисления по формулам (9)-(12) в частотном диапазоне L2.
-
8.4.5.5 Результаты испытаний считать положительными, если для всех НКА значение СКО случайной составляющей абсолютной погрешности измерений псевдодальностей не превышает 0,3 м.
-
8.4.6 Определение СКО измерения псевдодальности по фазе несущей частоты по сигналам системы ГЛОНАСС в частотных диапазонах LI, L2.
-
8.4.6.1 Из результатов, полученных в ходе выполнения п. 8.4.3, выделить из итоговых результатов измерения псевдодальности по фазе несущей частоты сигналов ГНСС ГЛОНАСС в частотном диапазоне L1 и L2 для каждого видимого НКА. Соответствующие действительные значения псевдодальности выделить из файла протокола сценария, сформированного при его создании.
-
8.4.6.2 Перевести измеренные значения псевдодальности по фазе несущей частоты в каждом частотном диапазоне из единиц длин волн в метры, путём умножения на длину волны (с учётом несущей частоты сигнала).
-
8.4.6.3 Определить СКО случайной составляющей абсолютной погрешности измерений псевдодальностей в частотных диапазонах L1 и L2 по формулам (9)-( 12) для всех видимых НКА.
-
8.4.6.4 Результаты испытаний считать положительными, если для всех НКА значение СКО случайной составляющей абсолютной погрешности измерений псевдодальностей не превышает 0,002 м.
-
8.4.7 Определение СКО измерения псевдо дальности по фазе дальномерного кода по сигналам с открытым доступом системы GPS в частотных диапазонах L1 иЬ2.
-
8.4.7.1 Из результатов, полученных в ходе выполнения п. 8.4.3, выделить из итоговых результатов измерения псевдодальности по фазе дальномерного кода с открытым доступом сигналов ГНСС GPS в частотном диапазоне L1 и L2 для каждого видимого НКА. Соответствующие действительные значения псевдодальности выделить из файла протокола сценария, сформированного при его создании.
-
8.4.7.2 Определить СКО случайной составляющей абсолютной погрешности измерений псевдодальностей в частотных диапазонах L1 и L2 по формулам (9)-( 12) для всех видимых НКА.
-
8.4.7.3 Результаты испытаний считать положительными, если для всех НКА значение СКО случайной составляющей абсолютной погрешности измерений псевдодальностей не превышает 0,3 м.
-
8.4.8 Определение СКО случайной составляющей абсолютной погрешности измерений псевдодальности по фазе несущей частоты по сигналам системы GPS в частотных диапазонах L1 и L2.
-
8.4.8.1 Из результатов, полученных в ходе выполнения п. 8.4.3, выделить из итоговых результатов измерения псевдодальности по фазе несущей частоты сигналов ГНСС GPS в частотных диапазонах L1 и L2 для каждого видимого НКА. Соответствующие действительные значения псевдодальности выделить из файла протокола сценария, сформированного при его создании.
-
8.4.8.2 Перевести измеренные значения псевдодальности по фазе несущей частоты в каждом частотном диапазоне из единиц длин волн в метры, путём умножения на длину волны (с учётом несущей частоты сигнала).
-
8.4.8.3 Определить СКО случайной составляющей абсолютной погрешности псевдодальностей в частотных диапазонах L1 и L2 по формулам (9)-(12) для всех видимых НКА.
-
8.4.8.4 Результаты испытаний считать положительными, если для всех НКА значение СКО случайной составляющей абсолютной погрешности псевдодальностей не превышает 0,002 м.
-
9.1 При положительных результатах поверки на приемное устройство выдается свидетельство установленной формы.
-
9.2 На оборотной стороне свидетельства о поверке записываются результаты поверки.
-
9.3 В случае отрицательных результатов поверки поверяемое приемное устройство к дальнейшему применению не допускается, на него выдается извещение о непригодности к дальнейшей эксплуатации с указанием причин забракования.
Заместитель начальника НИО-8 по научной работе ФГУП «ВНИИФТРИ»
Начальник
841 лаборатории ФГУП «ВНИИФТРИ»
Старший научный сотрудник
841 лаборатории ФГУП «ВНИИФТРИ»

Федотов В.Н.

Печерица Д.С.
Бурцев С.Ю.
Ссылочные нормативные документы
|
Обозначение документа, на который дана ссылка |
Номер раздела, подраздела, пункта, подпункта, перечисления, приложения, разрабатываемого документа, в котором дана ссылка |
|
ГОСТ Р 8.750-2011 ГСИ. Государственная поверочная схема для координатно-временных средств измерений |
3.2 |
|
ГОСТ 12.3.019-80 ССБТ. Испытания и измерения электрические. Общие требования безопасности |
5.1 |
|
НЦПВ.468173.004 РЭ Приемное устройство навигационных радиосигналов глобальных навигационных спутниковых систем ГЛОНАСС/GPS. Руководство по эксплуатации |
7.1, 7.2, 8.2.2, 8.2.4, 8.2.5, 8.2.7, 8.3.2, 8.4.2 |
ГЛОНАСС — Глобальная навигационная спутниковая система (название глобальной спутниковой навигационной системы, разработанной Россией);
ГНСС — глобальная навигационная спутниковая система;
ГСИ — государственная система обеспечения единства измерений;
НКА — навигационный космический аппарат;
ПО — программное обеспечение;
ПЭВМ — персональная электронно-вычислительная машина;
ССБТ — система стандартов безопасности труда;
СК — система координат;
СКО — среднее квадратичное отклонение;
GPS — Global positioning system (название глобальной спутниковой навигационной системы, разработанной США).
