Методика поверки «Расходомер Turbo Flow GFG-F» (МП 208-046-2017)
ФЕДЕРАЛЬНОЕ ГОСУДАРСТВЕННОЕ УНИТАРНОЕ ПРЕДПРИЯТИЕ ВСЕРОССИЙСКИЙ НАУЧНО-ИССЛЕДОВАТЕЛЬСКИЙ ИНСТИТУТ МЕТРОЛОГИЧЕСКОЙ СЛУЖБЫ
(ФГУП «ВНИИМС»)
УТВЕРЖДАЮ
Заместитель директора оизводственной метрологии ФГУП «ВНИИМС»

Иванникова
2017 г.
Методика поверки
МП 208-046-2017
Москва 2017
Настоящая методика распространяется на расходомер Turbo Flow GFG-F (далее -расходомер) с заводским номером 70354, предназначенный для измерений объемного расхода газа в рабочих условиях и вычисления объема, объемного расхода и объема газа, приведенных к стандартным условиям, массового расхода и массы газа - природного, воздуха, азота, а также других одно компонентных газов и газовых смесей известного состава, и устанавливает методы и средства их первичной и периодической поверки.
Интервал между поверками 3 года.
1 Операции поверки-
1.1 При проведении поверки выполняются операции, указанные в таблице 1.
Таблица 1
|
Наименование операции |
Номер пункта методики поверки |
Проведение операции при | |
|
первичной поверке |
периодической поверке | ||
|
Внешний осмотр |
7.1 |
да |
да |
|
Опробование |
7.2 |
да |
да |
|
Подтверждение соответствия программного обеспечения |
7.2.1 | ||
|
Проверка функционирования |
7.2.2 | ||
|
Определение относительной погрешности измерений расхода газа |
7.3 |
да |
да |
|
Определение погрешности преобразования значения расхода газа в частотный и токовый сигнал |
7.4 |
да |
да |
|
Определение погрешности измерений постоянного тока (от 4 до 20 мА) |
7.5 |
да |
да |
|
Определение абсолютной погрешности измерений температуры |
7.6 |
да |
да |
|
Определение относительной погрешности измерений давления |
7.7 |
да |
да |
-
2.1 При проведении поверки применяются средства поверки, указанные в таблице 2.
Таблица 2
|
Наименование операции |
Номер пункта |
Наименование средства измерений, его технические характеристики |
|
Внешний осмотр |
7.1 |
Визуально |
|
Подтверждение соответствия программного обеспечения |
7.2.1 |
Визуально |
|
Проверка функционирования |
7.2.2 |
СИ согласно п. 7.3 |
|
Определение относительной погрешности измерений расхода газа в рабочих условиях |
7.3 |
Рабочий эталон 1-го разряда по ГОСТ Р 8.618-2014 с пределами допускаемой относительной погрешности ±0,3% и диапазоном измерений от 0,6 до 60 м3/ч; Мановакуумметр U-образный, ВПИ 3600 Па, КТ 4 Частотомер универсальный GFC-8131H, диапазон от 0,01 Гц - 120 МГц, ПГ± 1-Ю’6 Термогигрометр ИВТМ-7, диапазон измерений относительной влажности от 0 до 99 %, пределы относительной погрешности ± 2 %; диапазон измерений температуры от минус 20 до плюс |
|
Наименование операции |
Номер пункта |
Наименование средства измерений, его технические характеристики |
|
60 °C, пределы абсолютной погрешности ± 0,2 °C Барометр - анероид М - 67, диапазон от 80 до 120 кПа, пределы относительной погрешности ± 0,1 % | ||
|
Определение погрешности преобразования значения расхода газа в частотный и токовый сигнал |
7.4 |
Частотомер универсальный GFC-8131H, диапазон от 0,01 Гц - 120 МГц, ПГ± 1-10’6 Мультиметр АМ-7030, диапазон от 5 до 500 мА, пределы относительной погрешности ± (0,00061изм- + 3 е.м.р.) Источник постоянного тока Б5-71, диапазон от 0 до 30 В, пределы абсолютной погрешности ± 200 мВ |
|
Определение относительной погрешности измерений постоянного тока (от 4 до 20 мА) |
7.5 |
Мультиметр АМ-7030, диапазон от 5 до 00 мА, пределы относительной погрешности ± (0,00061изм. + 3 е.м.р.) |
|
Определение абсолютной погрешности измерений температуры |
7.6 |
Термостат жидкостный Термотест-100, диапазон от минус 30 до плюс 100 °C, нестабильность ± 0,01 °C, неоднородность ± 0,01 °C Камера климатическая Табай мини сабзеро МС-81, диапазон от минус 85 до плюс 180 °C, погрешность поддержания ± 2 °C Эталонный термометр ЭТС-100, диапазон от минус 196 до 0 °C 3 разряд Эталонный термометр ЭТС-100, диапазон от 0 до 660 °C 3 разряд Мультиметр многоканальный прецизионный Метран-514-ММП, диапазон от 0 до 2000 Ом, пределы абсолютной погрешности ± (0,025 ИВ + 0,02 Ом) |
|
Определение относительной погрешности измерений давления |
7.7 |
Калибратор давления портативный Метран-517, диапазон от 0 до 60 МПа, пределы относительной погрешности ± (0,02 - 0,1) % Барометр БРС-1М-1, диапазон измерений абсолютного давления от 600 до 1100 гПа, пределы допускаемой абсолютной погрешности ±33 Па. |
Примечания:
-
• Допускается применение аналогичных средств поверки, обеспечивающих определение метрологических характеристик поверяемых средств измерений с требуемой точностью и поверенных (аттестованных) в установленном порядке. Испытательное оборудование должно быть аттестовано.
-
• Точное значение расхода в поверочных установках с критическими соплами определяется применяемыми критическими соплами и указывается в сертификате (свидетельстве) о калибровке (поверке) на них.
К проведению измерений при поверке и обработке результатов измерений допускаются лица, аттестованные в качестве поверителей, изучившие техническую документацию на расходомер, эксплуатационную документацию на используемые при проведении поверки средства измерений и прошедшие инструктаж по технике безопасности в установленном порядке.
4 Требования безопасности-
4.1 При поверке расходомера необходимо соблюдать требования техники безопасности, изложенные в эксплуатационной документации на расходомер и средства поверки.
-
4.2 Электрооборудование, предусматривающее заземление, должно быть заземлено в соответствии с ГОСТ 12.1.030-81.
-
4.3 Монтаж и демонтаж расходомера должны производиться при отсутствии давления в измерительной линии.
-
5.1 При проведении поверки должны соблюдаться следующие условия:
- поверочная среда
воздух или газ известного состава
-
- температура окружающего воздуха и поверочной среды, °C
от 15 до 25
от 30 до 80 от 84,0 до 106,7
1
1
-
- относительная влажность воздуха, %
-
- атмосферное давление, кПа
-
- разность температур окружающего воздуха и поверочной среды, не более, °C
-
- скорость изменения температуры окружающего воздуха и поверочной среды, не более, °С/ч
Примечание: В случае применения в качестве измеряемой среды природного газа необходимо обеспечить контроль его компонентного состава в соответствии с требованиями ГОСТ 31371-2008, ГОСТ 31370-2008, ГОСТ 14920-79 с использованием потоковых либо лабораторных хроматографов.
6 Подготовка к поверке-
6.1 Расходомер и средства поверки подготавливают к работе в соответствии с эксплуатационной и технической документацией на них.
-
6.2 Поверяемый расходомер и средства поверки должны быть выдержаны в помещении, где проводится поверка, не менее 1 часа.
-
6.3 Расходомер должен быть представлены на поверку с паспортом и руководством по эксплуатации.
-
7 Проведение поверки
При внешнем осмотре устанавливают соответствие расходомера следующим требованиям:
-
- соответствие комплектности, маркировки, пломбирования расходомера требованиям, указанным в эксплуатационной документации;
-
- отсутствие видимых повреждений и механических дефектов, препятствующих применению расходомера.
По результатам внешнего осмотра делают отметку в протоколе поверки.
Результаты поверки считают положительными, если расходомер удовлетворяет всем вышеперечисленным требованиям.
Расходомер, не удовлетворяющий перечисленным требованиям, дальнейшей поверке не подлежит.
-
7.2 Опробование
Операция «Подтверждение соответствия программного обеспечения» включает:
-
- определение идентификационного наименования программного обеспечения;
-
- определение номера версии (идентификационного номера) программного обеспечения;
-
- определение цифрового идентификатора (контрольной суммы исполняемого кода) программного обеспечения.
Включить расходомер. После подачи питания встроенное ПО расходомера выполняет ряд само диагностических проверок, в том числе проверку целостности конфигурационных данных и неизменности исполняемого кода путем расчета и публикации контрольной суммы.
При этом на показывающем устройстве расходомера должны отражаться следующие данные:
-
- идентификационное наименование ПО;
-
- номер версии (идентификационный номер) ПО;
-
- цифровой идентификатор (контрольная сумма) ПО.
Результат подтверждения соответствия программного обеспечения считается положительным, если полученные идентификационные данные ПО расходомера (идентификационное наименование, номер версии (идентификационный номер) и цифровой идентификатор) соответствуют идентификационным данным, указанным в подразделе «Программное обеспечение» раздела «Описание средства измерений» описания типа расходомера:
|
Идентификационные данные (признаки) |
Значение |
|
Идентификационное наименование ПО |
GFG |
|
Номер версии (идентификационный номер) ПО |
4.45 |
|
Цифровой идентификатор ПО |
0x3ClCC82F |
7.2.2 Проверка функционирования заключается в проверке работоспособности поверяемого расходомера и его отдельных компонентов. Проверка может осуществляться при помощи персонального компьютера (далее ПК) и установленного программного обеспечения (далее ПО) - АРМ «GFG View», либо непосредственно при помощи встроенного интерфейса показывающего устройства расходомера.
При поверке расходомера убеждаются в изменении показаний расходомера при изменении расхода газа на поверочной установке.
По результатам опробования делают отметку в протоколе поверки.
Результаты опробования считают положительными, если значение расхода газа по показаниям расходомера отличны от нуля, а значения параметров температуры и давления соответствуют значениям, перечисленным в п. 5.
Расходомер, не удовлетворяющий перечисленным требованиям, дальнейшей поверке не подлежит.
7.3 Определение относительной погрешности измерений расхода газа-
7.3.1 Определение относительной погрешности при измерении объемного расхода газа в рабочих условиях проводятся при следующих значениях объемного расхода газа Qj: Qmax, 0,5 Qmax, 0,25 Qmax, 0,1 Qmax, 0,05 Qmax, 0,01 Qmax и Qmin. Допускается производить измерения в произвольном числе равно распределенных значений расхода (не менее 7 точек). Для удобства допускается округление дробной доли расхода в большую или меньшую сторону.
Отклонение расходов, задаваемых эталонной установкой от вышеприведенных значений:
- 5% - ДЛЯ Qmax;
+ 10 % - для Qmin;
± 10 % - для остальных расходов.
С помощью средств измерений, входящих в состав установки, необходимо измерить абсолютное давление и температуру в месте установки поверяемого расходомера, потерю давления на поверяемом расходомере, а также температуру газа перед эталонными критическими соплами или эталонными расходомерами.
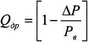
Действительное значение расхода газа в рабочих условиях (Qdp) в поверяемом расходомере вычислить по формуле 1 при использовании эталонных критических сопел или определить в соответствии с эксплуатационной документацией на поверочную установку другого типа.

'273,15+ Г8
293,15

О)
где:
-
- др - потери давления на расходомере, кПа;
-
- Рв- абсолютное давление в расходомере, кПа;
-
- tg- температура воздуха, °C;
-
- лг - поправочный коэффициент на влажность воздуха при применении воздуха в качестве измеряемой среды (Таблица А.1 Приложения А);
■ (?2о_ объемный расход через эталонное критическое сопло при 20 °C, м3/ч (находится из сертификата о калибровке или свидетельства о поверке сопел).
Считать не менее 50 значений показаний объемного расхода по поверяемому расходомеру с периодичностью, равной или большей времени одного независимого измерения, вычислить среднее арифметическое значение Qp. С целью автоматизации процесса поверки используется ПО APM«GFG View» - раздел «Тест канала Q».
Вычислить относительную погрешность при измерении расхода газа поверяемым расходомером по формуле 2:
QP ~ <?ДР
<?ДР
»100%
(2)
где:
Qp - значение объемного расхода, измеренного расходомером, м3/ч;
Q Др - действительное значение объемного расхода, измеренного установкой, м3/ч. Данные и результаты измерений вносят в протокол поверки.
Результаты поверки считают положительными, если относительная погрешность при измерении объемного расхода газа в рабочих условиях не превышает ± 1,0 %.
7.4 Определение погрешности преобразования значения расхода газа в частотный и токовый сигналПогрешность определяют при трех значениях расхода в рабочих условиях в трех ТОЧКаХ Qmax> 0,1 Qmax W Qmim
К частотному выходу электронного блока подключить частотомер, к токовому выходу - вольтметр универсальный и источник питания постоянного тока (от 12 до 24 В). Допускается применять универсальный калибратор унифицированных сигналов.
С помощью ПО APM«GFG View» войти в режиме «Тест выходного сигнал F» и «Тест выходного сигнала I». В тестовом режиме эмуляции значения расхода в расходомере считать значения следующих параметров:
-
- значение расхода в рабочих условиях QU3M с показывающего устройства расходомера или с дисплея компьютера, м/ч;
-
- значение частоты - с частотомера, Гц;
-
- значение тока 1изм - с токовой шкалы вольтметра, мА.
Определить расчетные значения частоты и тока по формулам 11 и 12:
г __ /1 1 \
“ Qmax
(12)
^расч п )
Qmax
где: - Fmax, I max к Qmax ~ максимальные значения частоты (Гц), тока (мА) и расхода (м3/ч), заданные для шкалы выходного сигнала;
- 10 - значение тока, соответствующее нулевому значению расхода, мА, для
шкалы выходного сигнала.
Указанные величины Fmax, I тах, Q тах и 10 приведены в паспорте поверяемого расходомера и должны быть внесены в настроечную базу расходомера.
Вычислить относительную погрешность расходомера по частотному выходу в каждой точке расхода по формуле 13:
= . 100 н (13)
где Finn - значение частоты с частотомера, Гц.
Результаты поверки считают положительными, если значения относительной погрешности частотного выхода 5f расходомера находятся в пределах ± 0,1 %.
Вычислить приведенную погрешность по токовому выходу в каждой точке расхода по формуле 14:
d; = ■ 100 94 (14)
где Iusm - значение тока с токовой шкалы вольтметра, мА.
Результаты поверки считают положительными, если значения приведенной погрешности токового выхода Si расходомера находятся в пределах ± 0,1 %.
7.5 Определение приведенной погрешности измерений постоянного тока (от 4 до 20 мА)Приведенную погрешность при измерении постоянного тока определяют путем сравнения заданного значения постоянного тока калибратором тока и измеренного значения тока расходомером.
К токовому входу расходомера блока интерфейсов подключить калибратор тока согласно схеме указанной в РЭ, последовательно задать калибратором значения 4, 10 и 20 мА.
Считать измеренные значения постоянного тока с показывающего устройства расходомера или с помощью ПО APM«GFG View».
Вычислить приведенную погрешность при измерении постоянного тока в каждой точке по формуле 15:
g/= (15)
Umar
где Iujm - измеренное значение постоянного тока, мА;
1расч ~ заданное калибратором значение постоянного тока, мА;
Umax — It) - диапазон измерений значений постоянного тока, мА.
Расходомер считают прошедшим поверку, если значения приведенной погрешности измерений постоянного тока находятся в пределах ±0,1 %.
7.6 Определение абсолютной погрешности измерений температуры газа-
7.6.1 Определение абсолютной погрешности при измерении температуры газа осуществляется методом сличения температуры, измеренной эталонным термометром сопротивления и преобразователем температуры расходомера.
Первичный преобразователь температуры расходомера помещают в колодец термостата так, чтобы рабочая часть преобразователя была полностью погружена.
Установить режим «Поверка канала Т» с помощью программы APM«GFG View» раздел «Поверка канала Т».
Установить на термостате температуру 0 °C и контролировать выход на режим термостата в соответствии с его эксплуатационной документацией. После установления стабильных значений температуры по индикации готовности термостата зафиксировать показания температуры с цифрового табло расходомера (или монитора ПК) и эталонного термометра сопротивления (не менее 10 значений).
-
7.6.2 Определить среднее значение температуры за время измерения, а также среднее значение показаний температуры с поверяемого расходомера по формуле 16:

где tcp - среднее значение температуры за время измерения;
N - количество измерений.
-
7.6.3 Значение абсолютной погрешности расходомера при измерении температуры определить по формуле 17:

(П)
-
7.6.4 Повторить пункты 7.6.1 - 7.6.3 для температур -50 °C и +70 °C.
-
7.6.5 Результаты измерений занести в протокол поверки.
Результаты определения абсолютной погрешности расходомеров при измерении температуры считают положительными, если абсолютная погрешность при измерении температуры находится в пределах ±(0,15 + 0,002-Itl), °C.
Расходомер, не удовлетворяющий вышеуказанным требованиям, дальнейшей поверке не подлежит.
7.7 Определение относительной погрешности измерений давленияОпределение относительной погрешности измерений давления проводят с помощью калибратора давления, обеспечивающего создание избыточного давления в рабочем диапазоне измерения давления расходомером и программного обеспечения APM«GFG View».
Подключить первичный преобразователь давления к калибратору давления. Определить погрешность расходомера при измерении давления в трех контрольных точках: Р1=0,ЗЗРтах;
Р2 = (Р1 +РЗ)/2;
РЗ = Ртах, где Ртах - ВПИ.
-
7.3.6.2 При избыточном давлении более 0,1 МПа допускается применение задатчика избыточного давления. При этом значение эталонного давления определяется по формуле 18:
Рэт — Р эт.изб ■*" Рбар, (18)
где Рбар - измеренное барометрическое давление, МПа;
Р эт.изб - значение избыточного давления, заданное эталонным средством, МПа.
-
7.3.6.3 В каждой точке выполнить по одному измерению при прямом и обратном ходе и вычислить значение погрешности по формуле 19:

( р
изм
\ эт
-1 -100%,
7
(19)
где РИзм — показание расходомера, МПа - считывается с показывающего устройства расходомера или с монитора компьютера;
Рэт — давление, заданное калибратором или рассчитанное по формуле 8, МПа.
-
7.3.6.4 Результаты занести в протокол поверки.
Результаты поверки считают положительными, если значение относительной погрешности при измерении давления находится в пределах ± 0,25 %.
8 Оформление результатов поверки-
8.1 Результаты поверки заносятся в протокол произвольной формы.
-
8.2 При положительных результатах поверки, в соответствии с Приложением Б, на пломбы наносят знаки поверки и делают соответствующую запись в паспорте или оформляют свидетельство о поверки.
-
8.3 При отрицательных результатах первичной поверки расходомер к применению не допускается.
-
8.4 При отрицательных результатах периодической поверки расходомер считают непригодным к эксплуатации и оформляют извещение о непригодности расходомера с указанием причин.
Начальник отдела ФГУП «ВНИИМС» / // / Б. А. Иполитов

А.М. Шаронов
Заместитель начальника отдела ФГУП «ВНИИМС»
ПРИЛОЖЕНИЕ А
Таблица А.1
|
t, °C |
Относительная влажность воздуха, ф, % | |||||
|
30 |
40 |
50 |
60 |
70 |
80 | |
|
14 |
1,00157 |
1,00130 |
1,00102 |
1,00075 |
1,00047 |
1,00019 |
|
16 |
1,00146 |
1,00114 |
1,00072 |
1,00052 |
1,00021 |
0,9999 |
|
18 |
1,00133 |
1,00097 |
1,00051 |
1,00026 |
0,9999 |
0,9995 |
|
20 |
1,00120 |
1,00080 |
1,00040 |
1,00000 |
0,9996 |
0,9992 |
|
22 |
1,00103 |
1,00057 |
1,00012 |
0,9996 |
0,9992 |
0,9988 |
|
24 |
1,00085 |
1,00034 |
0,9998 |
0,9993 |
0,9988 |
0,9983 |
|
26 |
1,00066 |
1,00008 |
0,9995 |
0,9989 |
0,9983 |
0,9978 |
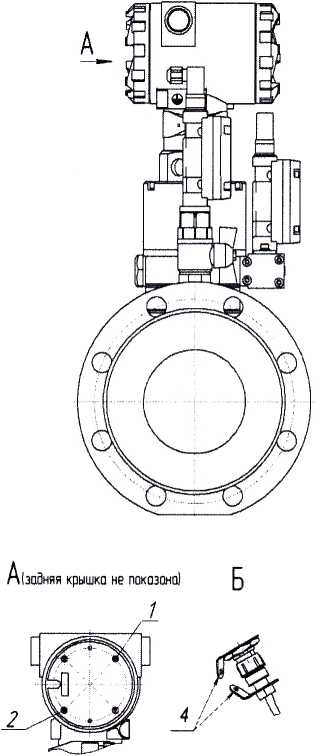
ПРИЛОЖЕНИЕ Б



-
1 - места для пломбы изготовителя (способом давления на специальную мастику);
-
2 - места для знака поверки (способом давления на специальную мастику);
-
3 - пломба свинцовая изготовителя;
-
4 - отверстия под пломбу навесную изготовителя.
Рисунок Б.1 - Схема пломбировки от несанкционированного доступа, обозначение мест нанесения знака поверки и пломбы завода-изготовителя
