Методика поверки «Государственная система обеспечения единства измерений ВИБРОМЕТРЫ OFV-5000-S» (PT-MП- 4430-441-2017)
ФЕДЕРАЛЬНОЕ АГЕНТСТВО ПО ТЕХНИЧЕСКОМУ РЕГУЛИРОВАНИЮ И МЕТРОЛОГИИ

ФЕДЕРАЛЬНОЕ БЮДЖЕТНОЕ УЧРЕЖДЕНИЕ «ГОСУДАРСТВЕННЫЙ РЕГИОНАЛЬНЫЙ ЦЕНТР СТАНДАРТИЗАЦИИ, МЕТРОЛОГИИ И ИСПЫТАНИЙ В Г. МОСКВЕ»
(ФБУ «РОСТЕСТ - МОСКВА»)УТВЕРЖДАЮ
Заместитель генерального директора

09 » июня 2017 г.
Е.В. Морин
Государственная система обеспечения единства измерений
ВИБРОМЕТРЫ OFV-5000-S
Методика поверки
РТ-МП- 4430-441-2017 г. Москва
2017 г.
Настоящая методика распространяется на виброметры серии OFV-5000-S (далее -виброметры), изготавливаемые Polytec GmbH, Германия, и устанавливает порядок и объем их первичной и периодической поверок.
Интервал между поверками 24 месяца.
1 ОПЕРАЦИИ ПОВЕРКИ 1 2 3 4При проведении поверки выполняют операции, указанные в таблице 1.
Таблица 1 - Операции поверки
Наименование операции |
Номер пункта НД по поверке |
Обязательность проведения операции при | |
первичной поверке |
периодической поверке | ||
Внешний осмотр |
7.1 |
Да |
Да |
Опробование |
7.2 |
Да |
Да |
Определение относительной погрешности измерений виброскорости и виброперемещения на базовой частоте 159 Гц |
7.3 |
Да |
Да |
Определение относительной погрешности измерений виброскорости и виброперемещения в электрическом режиме в диапазоне частот от 0,5 Гц до 20000 Гц |
7.4 |
Да |
Да |
2 СРЕДСТВА ПОВЕРКИ
При проведении поверки применяют средства поверки, приведенные в таблице 2.
Таблица 2 - Средства поверки
Номер пункта НД по поверке |
Средства поверки, их метрологические и технические характеристики |
7.3, 7.4 |
Виброустановка поверочная 1-го разряда по ГОСТ Р 8.800-2012, в диапазоне воспроизведения виброускорения от 1 до 100 м/с2, частотный диапазон от 0,25 до 20000 Гц, Мультиметр цифровой FLUKE 8846А, диапазон измерения переменного напряжения от 0 до 750 В, ПГ ± (0,35% от иизм+0,03% otU„). Вольтметр универсальный цифровой быстродействующий В7-43, диапазон измерения переменного напряжения от 1 мВ до 1000 В, ПГ ± (0,5+0,1 -((Ю/ иизм)-1)) Генератор сигналов СВЧ R&S SMF100A, частотный диапазон от 0,1 до 107 Гц, ПГ ± 5f х fon + 0,003, диапазон воспроизведения напряжения от 0,001 до 6 В, ПГ ± 11 мВ |
Примечание - Допускается применение аналогичных средств поверки, обеспечивающих определение метрологических характеристик поверяемых виброметров с требуемой точностью |
-
4.1 К проведению поверки допускаются лица, прошедшие инструктаж по технике безопасности.
-
4.2 При работе с средствами поверки должны быть соблюдены требования безопасности, оговоренные в соответствующих руководствах по эксплуатации применяемых приборов
При проведении поверки должны соблюдаться следующие условия:
температура окружающего воздуха.....................................(20 ± 5) °C
относительная влажность воздуха........................................не более 80 %
-
6.1 Проверить наличие средств поверки, укомплектованность их руководством по эксплуатации, технической документацией (далее - ТД) и необходимыми элементами соединений.
-
6.2 Используемые средства поверки разместить, заземлить и соединить в соответствии с требованиями ТД на указанные средства.
-
6.3 Подготовку, соединение, включение и прогрев средств поверки, регистрацию показаний и другие работы по поверке произвести в соответствии с ТД на указанные средства.
-
7 ПРОВЕДЕНИЕ ПОВЕРКИ
При внешнем осмотре должно быть установлено соответствие виброметра следующим требованиям:
-
- отсутствие видимых механических повреждений виброметра, отсутствие внешних повреждений соединительных кабелей, исправность соединительных разъёмов и крепежных приспособлений;
-
- соответствие комплектности и маркировки эксплуатационной документации.
В случае обнаружения несоответствия хотя бы по одному из вышеуказанных требований, виброметр признается непригодным к использованию, и поверка прекращается (до устранения нарушения).
Результаты внешнего осмотра считать положительными, если виброметр удовлетворяет вышеперечисленным требованиям, комплектность полная.
7.2 ОпробованиеПроизвести опробование в следующей последовательности:
-
- подготовить станцию для калибровки преобразователей вибрации типа 9155 (далее - виброустановка) к работе в соответствии с руководством по эксплуатации;
-
- подготовить виброметр для измерения виброскорости в диапазоне частот от 0 Гц до 20 кГц в соответствии с руководством по эксплуатации (величину коэффициента преобразования контроллера установить равной 20 мм с'*/В);
-
- подготовить мультиметр цифровой FLUKE 8846А (далее - мультиметр) для измерения напряжения переменного тока (среднее квадратическое значение - далее СКЗ) в диапазоне напряжений до 10 В;
-
- собрать измерительную схему в соответствии с рисунком 1 (допускается как вертикальное, так и горизонтальное расположение сенсорной ronoBKHOFV-5000-S (далее - сенсорная головка) виброметра и вибростенда станции для калибровки преобразователей вибрации типа 9155, оптимальное расстояние от сенсорной головки до подвижной части вибростенда выбрать согласно руководству по эксплуатации на виброметр);
-
- закрепить отражающую поверхность на подвижной части вибростенда станции для калибровки преобразователей вибрации типа 9155 при помощи клея;
-
- настроить пучок лазера на отражающую поверхность;
-
- подключить мультиметр к выходу контроллера виброметра "VELOCITY" посредством ка-
лист № 4 Всего листов 11 беля BNC;
-
- подсоединить контроллер виброметра к персональному компьютеру (далее - ПК) посредством кабеля USB;
-
- наблюдать в всплывающем окне, на мониторе ПК, информацию об инициализации виброметра;
-
- открыть на ПК программное обеспечение Vibsoft 5.2;
-
- прописать в меню «Add Settings» настройки виброметра для измерения амплитуды виброскорости, в соответствии с руководством по эксплуатации;
-
- установить на виброустановке величину виробскорости равную 20 мм/с с частотой находящейся в диапазоне от 40 до 1000 Гц;
-
- снять показания мультиметра. Измеренная амплитуда переменного напряжения должна находиться в диапазоне от 0,96 В до 1,04 В;
-
- наблюдать измеренное значение виброскорости на дисплее ПК. Измеренное значение виброскорости должно находиться в диапазоне от 19,2 мм/с до 20,8 мм/с.
Сенсорная головка
Поверхность стола вибростенда станции для калибровки вибропреобразователей
Рисунок 1 - Схема подключения виброметра при опробовании
Процедура опробования считается пройденной, если выполнены все условия, предписанные настоящим пунктом. При неудовлетворительных результатах поверка прекращается и выписывается извещение о непригодности по установленной форме.
7.3 Определение относительной погрешности измерений виброскорости и виброперемещения на базовой частоте 159 ГцДля определения относительной погрешности измерений виброскорости на базовой частоте 159 Гц необходимо:
-
- подготовить виброустановку к работе в соответствии с руководством по эксплуатации;
-
- подготовить виброметр для измерения амплитуды виброскорости в диапазоне частот от 0 Гц до 20 кГц в соответствии с руководством по эксплуатации;
-
- собрать измерительную схему согласно рисунку 1 (допускается как вертикальное, так и горизонтальное расположение сенсорной головки виброметра и вибростенда станции для калибровки преобразователей вибрации типа 9155, оптимальное расстояние от сенсорной головки до подвижной части вибростенда выбрать согласно руководству по эксплуатации на виброметр);
-
- закрепить отражающую поверхность на подвижной части вибростенда станции для калибровки преобразователей вибрации типа 9155 при помощи клея;
-
- настроить пучок лазера на отражающую поверхность;
-
- подключить выход контроллера виброметра "VELOCITY" к входу мультиметра посредством кабеля BNC (величину коэффициента преобразования контроллера установить равным 20 мм-с‘'/В);
-
- воспроизвести на виброустановке амплитуду виброскорости равную 20 мм/с с базовой частотой равной 159 Гц
лист № 5
Всего листов 11 - снять показания на дисплее ПК и мультиметре, занести в соответствующие графы таблицы 3. Провести три серии измерений.
Таблица 3 - Результаты измерений
Базовая частота сигнала Гад, Гц
Номинальная амплитуда виброскорости Vhom,MM/c
Измеренная амплитуда виброскорости Уизм, мм/с
Относительная погрешность 5;,%
Напряжение на выходе «VELOCITY» UVoi, В
Относительная погрешность
Suvoi,%
-
- подключить выход контроллера виброметра "DISPLACEMENT" к входу вольтметра посредством кабеля BNC (величину коэффициента преобразования контроллера установить равным 20 мкм/В);
-
- воспроизвести на виброустановке амплитуду виброперемещения равную 20 мкм с базовой частотой равной 159 Гц, снять показания на дисплее ПК и вольтметре, занести в соответствующие графы таблицы 4, провести три серии измерений.
Таблица 4 - Результаты измерений
Базовая частота сигнала £>ад, Гц |
Номинальная амплитуда виброперемещения Shom,МКМ |
Измеренная амплитуда виброперем ещения8ИЗм, мкм |
Относительная погрешность 8si, % |
Напряжение на выходе «DISPLACEMENT» Udi, В |
Относительная погрешность Sudi, % |
159 |
20 | ||||
Рассчитать значение относительной погрешности (8si) по формуле 3 и занести в соответствующие графы таблицы 4:

(3)
где Бизм - измеренное значение амплитуды виброперемещения в i-м эксперименте, мкм; SHom - номинальное значение амплитуды виброперемещения в i-м эксперименте, мкм.
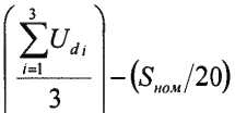
Рассчитать значение относительной погрешности коэффициента преобразования для выхода «DISPLACEMENT» (8и<н) по формуле 4 и занести в соответствующие графы таблицы 5:

\_______7
(5^/20)
•100%
(4)
где Ujj - измеренная амплитуда напряжения на выходе «DISPLACEMENT» в i-м эксперименте, В;
Shom - номинальное значение амплитуды виброперемещения в i-м эксперименте, мм.
Результаты поверки считаются удовлетворительными, если относительная погрешность измерений виброускорения и виброперемещения не превышает значения ±4%. При неудовлетворительных результатах поверка прекращается и выписывается извещение о непригодности по установленной форме. Допускается производить поверку в ограниченных диапазонах, о чем делается запись в свидетельстве о поверке с точным указанием диапазонов, в которых производилась поверка.
7.4 Определение относительной погрешности измерений виброскорости и виброперемещения в диапазоне частот от 0,5 до 20000 Гц в электрическом режимеДля определения относительной погрешности измерений виброскорости в диапазоне от 0,5 до 20000 Гц необходимо:
-
- подготовить генератор SMF100A (далее - генератор) к работе в соответствии с руководством по эксплуатации;
-
- подготовить виброметр для измерения виброскорости в диапазоне частот от 0 до 20 кГц в соответствии с руководством по эксплуатации;
-
- собрать измерительную схему в соответствии с рисунком 2 (генератор подключить к входу контроллера «SENSOR» посредством кабеля BNC через переходник из комплекта ЗИП виброметра);
-
- подсоединить контроллер виброметра к ПК посредством кабеля USB;
-
- наблюдать всплывающее окно с информацией об инициализации виброметра;
-
- запустить на ПК программное обеспечение Vibsoft 5.2
-
- подготовить мультиметр для измерения СКЗ переменного напряжения в диапазоне до 10 В с частотой от 10 до 20000 Гц;
-
- подключить выход контроллера виброметра "VELOCITY" к входу «Input» мультиметра посредством кабеля BNC (величину коэффициента преобразования контроллера установить равным 50 ммс'*/В);
-
- установить на генераторе режим девиации частоты со следующими параметрами:
-
• амплитуда несущего сигнала 500 мВ;
-
• частота несущего сигнала 80 МГц;
-
• диапазон девиации частоты от 0 до 0,158025 МГц;
-
• частота модулирующего сигнала 0,1 кГц.
-
- наблюдать измеренное значение амплитуды виброскорости на дисплее ПК, вкладка «Analyzer»
-
- наблюдать на мультиметре измеренное значение амплитуды напряжения;
-
- занести измеренные значения в соответствующие графы таблицы 5;
-
- произвести серию измерений по вышеизложенной методике для всех частот модулирующего сигнала и коэффициентов преобразования, указанных в таблице 5;
-
- в диапазоне частот от 0,5 до 10 Гц использовать вольтметр универсальный цифровой быстродействующий В7-43;
Таблица 5
№ п/ п |
Диапазон качания частоты, МГц |
Номинальное значение виброскорости Vhom> м/с |
Частота модулирующего сигнала f, Гц |
Коэф, преобразования К, mm-c'*/B |
Измеренная амплитуда виброскорости Уизм, мм/с |
Измереннаяампли-туда напряжения Uvo, В |
1 |
2 |
3 |
4 |
5 |
6 |
7 |
1. |
0,0158025 |
0,005 |
0,5 |
5 | ||
2. |
0,031605 |
0,01 |
5 |
10 | ||
3. |
0,06321 |
0,02 |
20 |
20 | ||
4. |
0,158025 |
0,05 |
100 |
50 | ||
5. |
0,31605 |
0,1 |
1000 |
100 | ||
6. |
0,6321 |
0,2 |
5000 |
200 | ||
7. |
0,6321 |
0,2 |
8000 |
200 | ||
8. |
1,58025 |
0,5 |
12000 |
500 | ||
9. |
1,58025 |
0,5 |
15000 |
500 | ||
10. |
3,1605 |
1 |
18000 |
1000 | ||
11. |
3,1605 |
1 |
20000 |
1000 |



•100%

Рисунок 2. Схема подключения виброметра для определения относительной погрешности измерений виброскорости в диапазоне частот от 0,5 до 20000 Гц
Рассчитать значение относительной погрешности (50 по формуле 5, используя данные из таблицы 5 и занести в соответствующие графы таблицы 6.


V
НОМ
•100%
(5)
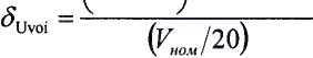
Рассчитать значение относительной погрешности измерений СКЗ напряжения (5uvoi) по формуле 6 и занести в соответствующие графы таблицы 6:
е = . jQQ 0/о (6)
где Uvoi - измеренное значение амплитуды напряжения на выходе «VELOCITY» в i-м эксперименте, В;
VHom - номинальное значение амплитуды виброскорости в i-м эксперименте, мм/с
Таблица 6
№ п/п |
Номинальное значение виброскорости Vhom, м/с |
Частота модулирующего сигнала f, Гц |
Коэф, преобразования К, мм с’ ’/В |
Относительная погрешность измерений виброскорости 5, % |
Относительная погрешность измерений напряжения |
1 |
3 |
4 |
5 |
6 |
7 |
1. |
0,005 |
0,5 |
5 | ||
2. |
0,01 |
5 |
10 | ||
3. |
0,02 |
20 |
20 | ||
4. |
0,05 |
100 |
50 | ||
5. |
0,1 |
1000 |
100 | ||
6. |
0,2 |
5000 |
200 | ||
7. |
0,2 |
8000 |
200 | ||
8. |
0,5 |
12000 |
500 | ||
9. |
0,5 |
15000 |
500 | ||
10. |
1 |
18000 |
1000 | ||
И. |
1 |
20000 |
1000 |
Для определения относительной погрешности измерений виброперемещения в диапазоне частот от 0,5 до 20000 Гц необходимо:
-
- подготовить генератор к работе в соответствии с руководством по эксплуатации;
-
- собрать измерительную схему в соответствии с рисунком 2 (генератор подключить к входу контроллера «SENSOR», посредством кабеля BNC, через переходник из комплекта ЗИП виброметра);
-
- подсоединить контроллер виброметра к ПК посредством кабеля USB;
-
- наблюдать всплывающее окно с информацией об инициализации виброметра;
-
- запустить на ПК программное обеспечение Vibsoft 5.2;
-
- прописать в меню «Add Settings» настройки виброметра для измерения виброперемещения в диапазоне частот от 0 до 20 кГц, в соответствии с руководством по эксплуатации;
-
- подготовить мультиметр для измерения СКЗ переменного напряжения в диапазоне напряжений до 10 В, в диапазоне частот от 10 до 20000 Гц;
-
- подключить выход контроллера виброметра "DISPLACEMENT" к входу «Input» мультиметра посредством кабеля BNC (величину коэффициента преобразования контроллера установить равным 0,05 мкм/В);
-
- установить на генераторе режим девиации частоты со следующими параметрами:
-
• амплитуда несущего сигнала 500 мВ;
-
• частота несущего сигнала 80 МГц;
-
• диапазон девиации частоты от 0 до 0,000019858 МГц;
-
• частота модулирующего сигнала 20000 Гц.
-
- наблюдать измеренное значение амплитуды виброперемещения на дисплее ПК, вкладка «Analyzer»;
-
- наблюдать на мультиметре измеренное значение амплитуды напряжения;
-
- занести измеренные значения в соответствующие графы таблицы 7;
-
- произвести серию измерений по вышеизложенной методике для всех частот модулирующего сигнала и коэффициентов преобразования, указанных в таблице 7;
-
- в диапазоне частот от 0,5 до 10 Гц использовать вольтметр универсальный цифровой быстродействующий В7-43;
Таблица 7
№ п/ п |
Девиацияча-стоты, МГц |
Номинальное значение вибропер емещения Shom? ММ |
Частота модули рующе-го сигнала f, Гц |
Коэф, преобразования К, мкм/В |
Измеренное виброперемещение SH3M, мм |
Измеренная амплитуда напряжения «DISPLACEMENT» US0,B |
1 |
2 |
3 |
4 |
5 |
6 |
7 |
1. |
1,985799 |
100 |
0,5 |
5000 | ||
2. |
0,7943196 |
40 |
5 |
2000 | ||
3. |
0,3971598 |
20 |
20 |
1000 | ||
4. |
0,1985799 |
10 |
100 |
500 | ||
5. |
0,07943196 |
4 |
1000 |
200 | ||
6. |
0,03971598 |
2 |
5000 |
100 | ||
7. |
0,01985799 |
1 |
8000 |
50 | ||
8. |
0,003971598 |
0,2 |
12000 |
10 | ||
9. |
0,001985799 |
0,1 |
15000 |
5 | ||
10. |
0,000039716 |
0,002 |
18000 |
0,1 | ||
11. |
0,000019858 |
0,001 |
20000 |
0,05 |
Рассчитать значение относительной погрешности (Ssj) по формуле 7, используя данные из таблицы 7, и занести в соответствующие графы таблицы 8.

•100%
(7)
Рассчитать значение относительной погрешности для выхода «DISPLACEMENT» (Susoi) по формуле 3 и занести в соответствующие графы таблицы 8:
•100%
(3)
где USOi - измеренная амплитуда напряжения на выходе «DISPLACEMENT» в i-м эксперименте, В;
SHom - номинальное значение амплитуды виброперемещения в i-м эксперименте, мм.
Таблица 8
№ п/п |
Номинальное значение виброперемещения Shom, мм |
Частота модулирующего сигнала f, Гц |
Коэф, преобразования К, мкм/В |
Относительная погрешность измерений виброперемещения 5si,% |
Относительная погрешность для выхода «DISPLACEMENT» ^Usoi |
1 |
3 |
4 |
5 |
6 |
7 |
1. |
100 |
0,5 |
5000 | ||
2. |
40 |
5 |
2000 | ||
3. |
20 |
20 |
1000 | ||
4. |
10 |
100 |
500 | ||
5. |
4 |
1000 |
200 | ||
6. |
2 |
5000 |
100 | ||
7. |
1 |
8000 |
50 | ||
8. |
0,2 |
12000 |
10 | ||
9. |
0,1 |
15000 |
5 | ||
10. |
0,002 |
18000 |
0,1 | ||
11. |
0,001 |
20000 |
0,05 |
Результаты поверки считаются удовлетворительными, если относительная погрешность измерений виброускорения и виброперемещения не превышает значения ±4 %. При неудовлетворительных результатах поверка прекращается и выписывается извещение о непригодности по установленной форме. Допускается производить поверку в ограниченных диапазонах, о чем делается запись в свидетельстве о поверке с точным указанием диапазонов, в которых производилась поверка.
ТРЕБОВАНИЯ К КВАЛИФИКАЦИИ ПОВЕРИТЕЛЕЙ
К проведению поверки виброметров допускается инженерно-технический персонал со
среднетехническим или высшим инженерным образованием, имеющим опыт работы с аналогич
ным оборудованием, ознакомленный с руководством по эксплуатации.