Методика поверки «Радиометры ультрафиолетовые ТѴ8 (ІѴ8-А-Т и ИѴ8-В-Т)» (МП 055.М7-17)
УТВЕРЖДАЮ
Руководитель службы качества

Государственная система обеспечения единства измерений
Радиометры ультрафиолетовые UVS (UVS-A-T и UVS-B-T) МЕТОДИКА ПОВЕРКИ МП 055.М7-17
Глобный метролог
«ВНИИОФИ»
__С.Н. Негода
-
5 » октября 2017 г.
Москва
2017 г.
1 ВведениеНастоящая методика поверки распространяется на радиометры ультрафиолетовые UVS (UVS-A-T и UVS-B-T) (далее по тексту - радиометры), предназначенные для измерений энергетической освещенности (далее по тексту - ЭО) ультрафиолетового излучения в диапазоне длин волн от 280 до 315 нм (УФ-А) и от 315 до 400 нм (УФ-В) с использованием ксенонового источника излучения, и устанавливает операции при проведении их первичной и периодической поверок.
Интервал между поверками - 1 год.
2 Операции поверки-
2.1 При проведении первичной и периодической поверок выполняются операции,
2.3 Поверку средств измерений осуществляют аккредитованные в установленном порядке в области обеспечения единства измерений юридические лица и индивидуальные пре дприним ате ли.
3 Средства поверки
3.1 При проведении первичной и периодической поверок применяются средства поверки, указанные в таблице 2.
указанные в таблице 1. Таблица 1
|
№ п/п. |
Наименование операций |
Номер пункта НД по поверке |
Обязательность выполнения операции | |
|
При первичной поверке |
При периодическ ой поверке | |||
|
1 |
Внешний осмотр |
8.1 |
Да |
Да |
|
2 |
Опробование |
8.2 |
Да |
Да |
|
3 |
Определение метрологических характеристик |
8.3 | ||
|
4 |
Определение спектрального диапазона |
8.3.1 |
Да |
Да |
|
5 |
Определение диапазона измерений энергетической освещенности |
8.3.2 |
Да |
Да |
|
6 |
Расчет относительной погрешности |
8.3.3 |
Да |
Да |
2.2 При получении отрицательных результатов при проведении хотя бы одной операции поверка прекращается.
Таблица 2
|
Номер пункта методики |
Наименование и тип основного или вспомогательного средства поверки; обозначение НД, регламентирующего метрологические и основные технические характеристики средства поверки |
Основные технические и (или) метрологические характеристики |
|
8.3.1 - 8.3.3 |
Государственный вторичный эталон энергетической освещенности от
энергетической яркости от 5 ТО"4 до
излучения в диапазоне длин волн от 0,12 до 1,1 мкм по ГОСТ 8.197-2013, включающий:
|
Спектральный диапазон 200-400 нм, среднее квадратическое отклонение результатов сличений рабочего эталона с вторичным эталоном S00 - 2,3 % |
-
3.2 Средства поверки, указанные в таблице 2, должны быть поверены и аттестованы в установленном порядке. Допускается также применение других средств, не приведенных в таблице 2, но обеспечивающих определение (контроль) метрологических характеристик радиометров с требуемой точностью.
К проведению поверки допускают лиц, изучивших настоящую методику поверки и Руководство по эксплуатации радиометров, имеющих квалификационную группу не ниже III в соответствии с правилами по охране труда и эксплуатации электроустановок, указанных в приложении к приказу Министерства труда и социальной защиты РФ от 24.07.13 № 328Н и прошедшие полный инструктаж по технике безопасности, прошедших обучение на право проведения поверки по требуемому виду измерений.
5 Требования безопасности-
5.1 При проведении поверки следует соблюдать требования, установленные ГОСТ Р 12.1.031-2010, ГОСТ 12.1.040-83, правилами по охране труда и эксплуатации электроустановок, указанных в приложении к приказу Министерства труда и социальной защиты РФ от 24.07.13 № 328Н. Оборудование, применяемое при поверке, должно соответствовать требованиям ГОСТ 12.2.003-91. Воздух рабочей зоны должен соответствовать ГОСТ 12.1.005-88 при температуре помещения, соответствующей условиям для легких физических работ.
-
5.2 Система электрического питания прибора должна бьггь защищена от колебаний и пиков сетевого напряжения, искровые генераторы не должны устанавливаться вблизи прибора.
-
5.3 При выполнении поверки должны соблюдаться требования, указанные в «Правилах техники безопасности при эксплуатации электроустановок потребителей», утвержденных Госэнергонадзором, а также требования руководства по эксплуатации радиометров.
-
5.4 Помещение, в котором проводится поверка, должно соответствовать требованиям пожарной безопасности по ГОСТ 12.1.004-91 и иметь средства пожаротушения по ГОСТ 12.4.009-83.
-
6.1 Все этапы поверки, за исключением особо оговоренных, проводят при следующих условиях:
-
- температура окружающего воздуха, °C от + 15 до + 25;
-
- относительная влажность воздуха, %, не более 90.
-
6.2 Помещение, где проводится поверка, должно быть чистым и сухим, свободным от пыли, паров кислот и щелочей. Допускаемый перепад температуры при проведении поверки - не более 2 °C.
-
6.3 В помещении не допускаются посторонние источники излучения, мощные электрические и магнитные поля.
-
6.4 Установка радиометра должна обеспечивать естественную вентиляцию для снижения нагрева корпуса излучением и рассеиванием электроэнергии. Если корпус становится слишком горячим, это может привести к повреждениям.
-
7.1 Изучить Руководство по эксплуатации радиометров, подготовить оборудование, используемое при поверке, к работе в соответствии с его Руководством по эксплуатации.
-
7.2 Выдержать радиометры и оборудование, используемое при поверке, в условиях, указанных в п.6.1 настоящей Методики поверки, не менее 2 часов.
-
7.3 Выровнять радиометры в горизонтальной плоскости. Для того, чтобы найти правильное положение, необходимо использовать встроенный спиртовой уровень.
-
7.4 Проверить правильность подключения регистратора данных и источника

Рисунок 1
-
8 Проведение поверки
-
8.1.1 Проверку внешнего вида проводят визуально. Проверяют соответствие расположения органов управления, надписей и обозначений требованиям технической документации; отсутствие механических повреждений корпуса, клавиш управления и соединительных проводов.
-
8.1.2 Радиометры считаются прошедшими операцию поверки, если корпус, внешние элементы, органы управления и индикации не повреждены, отсутствуют механические повреждения и ослабления элементов конструкции.
-
8.2.1 Включить источник УФ излучения - лампу типа ДКсШ-125.
-
8.2.2 Установить радиометр UVS-A-T (UVS-B-T) перед лампой типа ДКсШ-125 и включить в соответствии с инструкцией по эксплуатации радиометр к аналоговоцифровому преобразователю.
-
8.2.3 Радиометры считаются прошедшими операцию поверки, если установлено наличие показаний радиометров при освещении источником УФ излучения.
-
8.3 Определение метрологических характеристик радиометров
-
8.3.1.1 Для определения спектрального диапазона радиометров необходимо провести измерения относительной спектральной чувствительности (ОСЧ) радиометров с использованием ксенонового источника УФ излучения - лампы типа ДКсШ-125, монохроматора и эталонного фотодиода ФД-288.
-
8.3.1.2 Эталонный приемник УФ излучения и поверяемый прибор поочередно устанавливают за выходной щелью монохроматора таким образом, чтобы поток монохроматического излучения не выходил за пределы апертурной диафрагмы.
-
8.3.1.3 Измерения сигналов эталонного приемника Г(Х) и поверяемого прибора 1(Х.) проводят поочередно 5 раз на каждой длине волны с шагом 10 нм.
-
8.3.1.4 Затем за выходной щелью монохроматора устанавливают светофильтр типа ЖС - 16 толщиной 2 мм, непрозрачный в диапазоне длин волн от 0,2 до 0,4 мкм, и измеряют сигналы эталонного приемника J°(X) и поверяемого прибора J(X), соответствующие рассеянному излучению в монохроматоре. Результат i -го измерения ОСЧ поверяемого прибора S, (X) рассчитывают по известным значениям ОСЧ S°(X) эталонного приемника и отношению измеренных сигналов по формуле (1):
Si (X) = S°(X) • [ Ii (X) - Ji (X)]/[ Fj (X) - Fi (X)] (1)
-
8.3.1.5 Для каждой длины волны определяют среднее значение ОСЧ S(X) по формуле (2):
S(X) = Si (Х)/5 (2)
-
8.3.1.6 Радиометры считаются прошедшими операцию поверки, если измерение сигналов происходит в спектральном диапазоне от 315 до 400 для радиометров модификации UVS-A-T; от 280 до 315 для радиометров модификации UVS-B-T.
-
8.3.2.1 При определении диапазона измерения энергетической освещенности (ЭО) на оптической скамье устанавливают два источника УФ излучения - лампы ДКсШ-125. Расстояние между радиометром и источниками излучения выбирают таким образом, чтобы показания радиометра соответствовали нижней границе диапазона измерений ЭО, указанном в паспорте радиометра и составляющей для радиометров UVS-A-T и UVS-B-T -1 Вт/м2.
-
8.3.2.2 Регистрируют показания радиометров соответствующие потоку излучения для каждого из двух излучателей Ij и Ь и определяют суммарное показание Ь от двух излучателей по формуле (3):
Ь- Ii+12
(3)
Измерения проводят поочередно 5 раз.
-
8.3.2.3 Расстояние от источников излучения до радиометров уменьшают таким образом, чтобы значение ЭО от каждого источника излучения увеличилось на порядок. Регистрируют показания Ib I2, fe.
-
8.3.2.4 Измерения повторяют, увеличивая значение ЭО на порядок до достижения верхних границ диапазонов измерений ЭО радиометров, указанных в паспорте 90 Вт/м2, а для радиометров модификации UVS-B-T - 6 Вт/ м2.
испытываемого прибора и составляющей для ов модификации UVS

-
8.3.2.5 Радиометры считаются прошедшими операцию поверки, если диапазон измерений энергетической освещенности составляет от 1 до 90 Вт/м2 для радиометров модификации UVS-A-T и от 1 до 6 Вт/м2 для радиометров модификации UVS-B-T.
-
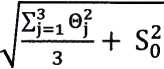
8.3.3.1 Относительная погрешность рассчитывается по формуле (4):


(4)
где К - коэффициент, определяемый соотношением случайной и неисключенной систематической погрешностей;
Sx - суммарное СКО;
®j - составляющие неисключенной систематической погрешности:
01 - погрешность определения диапазона измерений энергетической освещенности (соответствует среднему значению ОСЧ S(X), определенному в п. 8.3.1),
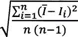
©2 - погрешность угловых характеристик радиометра (в соответствии с п. 8.3.3.2). ©з-погрешность погрешности абсолютной калибровки (в соответствии с 8.3.3.3), So - относительное среднеквадратическое отклонение результатов измерений для п независимых измерений, рассчитываемое по формуле (5):

(5)
где J,- результат i -го независимого измерения,
I - среднеарифметическое п измерений.
-
8.3.3.2 Определение погрешности угловых характеристик радиометра
При определении погрешности угловых характеристик радиометров, возникающей из-за неидеальной коррекции угловой зависимости чувствительности приборов, проводят измерения зависимости чувствительности от угла падения излучения. Радиометры устанавливают на неподвижное плечо поворотного устройства, на подвижное плечо поворотного устройства устанавливают источник излучения - лампу типа ДКсШ-125. Регистрируют сигналы 1(ф) радиометров в зависимости от угла падения потока излучения ф в пределах от 0° до 60° с шагом 5°. Сигналы радиометров 1(ф) для угла ф нормируют на сигналы прибора 1(фо) при угле падения 90° фо потока излучения. Рассчитывают угловую зависимость /(ф) отклонения чувствительности радиометров от функции cos ф по формуле (6):
/(ф)= 100 {1(ф)/ [I( (po)cos ф] - 1},
(6)
Погрешность угловых характеристик радиометров ©2 в процентах рассчитывают по формуле (7):
60°
02 = f |/(ф) I sin 2q> <1ф (7)
о
При определении ЭО атмосферного ультрафиолетового излучения (прямого солнечного излучения и излучения, рассеянного частицами или молекулами в воздухе) необходимо ввести поправочный коэффициент, учитывающий угловую характеристику определяемую косинусом угла зенита к идеальной ламбертовской поверхности, указанный в руководстве по эксплуатации на прибор.
-
8.3.3.3 Определение погрешности абсолютной калибровки
Определение погрешности абсолютной калибровки радиометров проводят по результатам измерений абсолютной чувствительности эталонных радиометров Аргус-04 (Аргус-05) в ранге рабочего эталона по ГОСТ 8.197-2013.
При определении абсолютной чувствительности радиометров UVS-A-T устанавливают на фиксированном расстоянии от источника УФ излучения - лампы типа ДКсШ-125 эталонный радиометр Аргус-04 и измеряют значение ЭО (Еэт). Затем на место эталонного радиометра устанавливают радиометр UVS-A-T, измеряют значение ЭО (Еп) испытываемого радиометра UVS-A-T и определяют абсолютную чувствительность испытываемого радиометра Sa&. по формуле (8):
Sa6c. = Еп/Еэт. (8)
При определении абсолютной чувствительности радиометров UVS-B-T необходимо повторить процедуру измерений ЭО, заметив эталонный радиометр Аргус-04 на эталонный радиометр Аргус-05.
Регистрацию показаний радиометров Е, проводят поочередно 5 раз. Для каждого радиометра определяют среднеарифметическое значение АСЧ
Погрешность измерений абсолютной чувствительности радиометров ©з определяют по формуле (9):
03=1-Sfl& (9)
-
8.3.3.4 Радиометры считаются прошедшими операцию поверки, если значения относительной погрешности не превышают ±11%.
-
9.1 Результаты поверки заносятся в протокол (форма протокола приведена в приложении 1 настоящей методики поверки).
-
9.2 Радиометры, прошедшие поверку с положительным результатом, признаются годными и допускаются к применению. На них выдается свидетельство о поверке установленной формы с указанием полученных по п.п. 8.3.1 - 8.3.3 фактических значений метрологических характеристик радиометров и наносят знак поверки (место нанесения указано в описании типа) согласно Приказу Министерства промышленности и торговли Российской Федерации №1815 от 02.07.2015г. «Об утверждении Порядка проведения поверки средств измерений, требования к знаку поверки и содержанию свидетельства о поверке», и радиометры допускают к эксплуатации.
-
9.3 Радиометры, прошедшие поверку с отрицательным результатом, признаются непригодными, не допускаются к применению и на них выдается извещение о непригодности с указанием причин. Свидетельство о предыдущей поверке и знак поверки аннулируют и выписывают «Извещение о непригодности» с указанием причин в соответствии с требованиями Приказа Министерства промышленности и торговли Российской Федерации №1815 от 02.07.2015 г.
Начальник НИО М-7 ФГУП «ВНИИОФИ»
Начальник лаборатории НИО М-7
ФГУП «ВНИИОФИ»
Начальник лаборатории НИО М-7
ФГУП «ВНИИОФИ»
В. Минаев
И. Аневский
О.А. Минаева
ПРИЛОЖЕНИЕ 1 к Методике поверки «Радиометры ультрафиолетовые UVS (UVS-A-T и UVS-B-T)»
ПРОТОКОЛ первичной / периодической поверки от «_______»____________201__года
Средство измерений: Радиометр ультрафиолетовый UVS в модификации___________
(Наименование СИ, тип (если в состав СИ входит несколько автономных блоков то приводят их перечень (наименования) и типы с разделением знаком «косая дробь»))
Зав.№ №/№_______________________________________
Заводские номера блоков
Принадлежащее____________________________
Наименование юридического лица, ИНН
Поверено в соответствии с методикой поверки МП 055.М7-17 «ГСИ. Радиометры ультрафиолетовые UVS (UVS-A-T и UVS-B-T), Методика поверки», утвержденной ФГУП «ВНИИОФИ» «05» октября 2017 г.______________________________
Наименование документа на поверку, кем утвержден (согласован), дата
С применением эталонов ______________________________________________
(наименование, заводской номер, разряд, класс точности или погрешность)
При следующих значениях влияющих факторов:______________________
(приводят перечень и значения влияющих факторов, нормированных в методике поверки)
Получены результаты поверки метрологических характеристик:
|
Характеристика |
Результат |
Требования методики поверки | |
|
UVS-A-T |
UVS-B-T | ||
|
Спектральный диапазон, нм |
от 315 до 400 |
от 280 до 315 | |
|
Диапазон измерений энергетической освещенности, Вт/м2 |
от 1 до 90 |
от 1 до 6 | |
|
Пределы допускаемой относительной погрешности измерения энергетической освещенности, % |
±11 |
±11 | |
Рекомендации____________________________________________
Средство измерений признать пригодным (или непригодным) для применения
Исполнители:_____________________________________________________________
_________________________________________подписи, ФИО, должность
9
