Методика поверки «Манометры грузопоршневые» (МП 231-0046-2017)
Федеральное государственное унитарное предприятие «Всероссийский научно-исследовательский институт метрологии им. Д.И. Менделеева»
ФГУП «ВНИИМ им.Д.И.Менделеева»

Государственная система обеспечения единства измерений
Манометры грузопоршневые PG7000МЕТОДИКА ПОВЕРКИ
МП 231-0046-2017
Руководитель отдела

Р.А. Тетерук
Разработчик/
t М.Ю. Леонтьев
Санкт-Петербург
2017 г.
1 ОБЩИЕ ПОЛОЖЕНИЯ-
1.1 Настоящая методика поверки распространяется на Манометры грузопоршневые PG7000 (далее по тексту - манометры) и устанавливает методы и средства первичной и периодической поверок.
-
1.2 Допускается проведение поверки в части диапазона манометра в соответствии с заявлением заказчика, с обязательным указанием в свидетельстве о поверке информации об объеме проведенной поверки.
-
1.3 Интервал между поверками - 2 года.
2.1 При проведении поверки должны быть выполнены операции, указанные в таблице 2.1. Т аблица. 2.1
Наименование операций |
Номер пункта методики |
Проведение операции при | |
первичной поверке |
периодической поверке | ||
Внешний осмотр |
8.1 |
+ |
+ |
Опробование |
8.2 |
+ |
+ |
Подтверждение соответствия ПО |
8.3 |
+ |
+ |
Определение метрологических характеристик |
8.4 |
+ |
+ |
Обработка результатов измерений |
9 |
+ |
+ |
2.2 Поверка прекращается при получении отрицательного результата по п.8.1, п.8.2, п.8.3 настоящей методики.
При первичной (периодической) поверке манометра возвращается с изложением причин возврата для проведения мероприятий по их устранению и повторного предъявления.
3 СРЕДСТВА ПОВЕРКИ3.1 При проведении поверки должны применяться средства поверки, указанные в таблице 1
Таблица 1
Наименование операций |
Номер пункта |
Средства поверки и метрологические и технические характеристики |
1 |
2 |
3 |
Условия поверки |
6 |
Термогигрометр ИВА-6Н-Д, диапазон измерений относительной влажности от 0 до 90 %, абсолютная погрешность ±1,5 %; диапазон измерений температуры от 0 до 60 °C, абсолютная погрешность ±0,1 °C; диапазоном измерений атмосферного давления от 70 до 110 кПа, абсолютная погрешность ±0,2 кПа |
Внешний осмотр |
8.1 |
Визуально |
Опробование |
8.2 |
Система для создания давления |
Подтверждение соответствия ПО Определение метрологических характеристик Определение абсолютной погрешности измерений температуры Определение скорости опускания поршня Определение эффективной площади поршня |
|
Визуально Термометр сопротивления эталонный ЭТС-100 3-го разряда по ГОСТ 8.558-2009, диапазон измерений температуры от 0 до 419,517 °C Термостат регулируемый ТР-1М, диапазон воспроизведения температуры от 40 до 200 °C, нестабильность поддержания температуры ±0,05 °C. Преобразователь сигналов ТС и ТП прецизионный «Теркон», диапазон измерений сопротивления от 0,01 до 1000 Ом, пределы допускаемой основной погрешности измерений ±(0,0002±T10‘5-R). Секундомер по ТУ 25-1894.003-90, измерительный микроскоп типа МБП-2 с увеличением 24 и ценой деления 0,05 мм или индикатор типа ИЧ по ГОСТ 577-68 Система для создания давления Г осударственный первичный эталон единицы давления для области избыточного давления в диапазоне от 0,02 до 10 МПа (ГПЭ 23-2010), в диапазоне измерений от 0,02 до 3 МПа, среднее квадратическое отклонение результата измерений So = 210~6, в диапазоне измерений от 3 МПа до 10 МПа, среднее квадратическое отклонение результата измерений So = 2,5 • 10~5. Государственный вторичный эталон-копия единицы давления для области избыточного давления в диапазоне от 0,02 до 100 МПа (ГВЭТ 23-1-2014), диапазон измерений от 0,02 до 100 МПа, среднее квадратическое отклонение результата измерений So = 4 -10‘6. Г осударственный первичный эталон единицы давления для области абсолютного давления в диапазоне от 110'1 до 7105 Па (ГЭТ 101-2011); диапазон измерений от 110'1 до 1-103 Па среднее квадратическое отклонение результата измерений So = 1,3 10'3 Па; |
Определение порога реагирования Проверка значений массы грузов и поршня с грузоприемным устройством |
|
диапазон измерений от 1102 до 1 105 Па, среднее квадратическое отклонение результата измерений So = 2,1 10’2 Па; диапазон измерений от 7103 до 7105 Па, среднее квадратическое отклонение результата измерений So = (0,2 + 1) Па. Рабочие эталоны избыточного давления манометры грузопоршневые классов точности 0,005; 0,008; 0,01; 0,02. Рабочие эталоны абсолютного давления манометры грузопоршневые классов точности 0,003; 0,005. Система для создания давления Наборы миллиграмовых и грамовых гирь класса Ег, Fi и F2 по ГОСТ OIMLR 111-1-2009. Средства поверки для п.8.4.3 Рассмотрение сертификата калибровки |
-
3.2 Средства измерений, применяемые при поверке, должны быть поверены и иметь действующие свидетельства о поверке.
-
3.3 Допускается применять другие средства измерений, не уступающие указанным по точности и пределам измерений.
-
3.4 Эталоны, применяемые при поверке, должны быть аттестованы и иметь действующие свидетельства об аттестации эталона.
-
3.5 Допускается применение средств поверки, не приведенных в перечне, но обеспечивающих определение (контроль) метрологических характеристик поверяемых средств измерений с требуемой точностью.
-
4.1 Поверка проводится квалифицированным персоналом лабораторий, аттестованных в установленном порядке.
-
4.2 К поверке допускаются лица, аттестованные в качестве поверителей, прошедшие инструктаж по безопасности труда и ознакомленные с эксплуатационной документацией на эталонные и поверяемые средства измерений.
-
5.1 При поверке должны быть соблюдены требования безопасности труда, производственной санитарии и охраны окружающей среды, изложенные в эксплуатационных документах эталонных и поверяемых средств измерений.
-
6.1 При проведении операций поверки должны быть соблюдены следующие условия:
-
- температура окружающего воздуха, °C 20+2
-
- относительная влажность воздуха, % 60±20
-
- атмосферное давление, кПа от 84 до 106,7
-
- вибрация, тряска, удары, магнитные поля, кроме земного, влияющие на работу и метрологические характеристики средств измерений, эталонных и поверяемых манометров, должны отсутствовать;
-
- рабочая среда для манометров согласно таблице 2;
Таблица 2
Наименование характеристики |
Значение | |||
PG7102 |
PG7202 |
PG7302 |
PG7601 | |
Рабочая среда |
воздух, гелий, азот |
любой не агрессивный газ |
масло(1) |
воздух, гелий, азот |
Примечание: (1) Рекомендуемое масло Di-2-Ethelhexyl (Sebacate) |
-
- давление должно повышаться и понижаться плавно, т.е. скорость изменения измеряемого давления не должна превышать 10 % диапазона измерений в секунду;
-
- вибрация, тряска, удары, магнитные поля, кроме земного, влияющие на работу и метрологические характеристики приборов, должны отсутствовать.
-
6.2 Поверяемый манометр перед поверкой, должен находиться в лаборатории при нормальных условиях не менее 8 ч.
-
6.3 Окружающий воздух не должен содержать примесей, агрессивных по отношению к материалам, из которых изготовлены рабочие эталоны и поверяемые манометры.
-
6.4 Измерительная поршневая система манометра должна быть установлена в рабочее положение.
-
6.5 Манометры на поверку следует представлять в чистом виде.
-
6.6 При проведении поверки запрещается:
-
- снимать (отсоединять) измерительную поршневую систему поверяемого и эталонного манометров с устройства для создания давления без сброса давления в системе;
-
- снимать грузы с поверяемого и эталонного манометров, когда поршень находится в крайнем верхнем положении;
-
- открывать вентиль устройства для создания давления, предназначенный для отключения поверяемого манометра, если давление в прессовой части превышает сумму значений давлений грузов, находящихся на грузоприемном устройстве;
-
- создавать давление, превышающее верхний предел измерений манометра или
эталона.
7 ПОДГОТОВКА К ПОВЕРКЕ-
7.1 Проверить наличие свидетельства о предыдущей поверке манометра (при периодической поверке).
-
7.2 Проверить наличие эксплуатационной документации на поверяемый манометр.
-
8 ПРОВЕДЕНИЕ ПОВЕРКИ
-
8.1.1 При проведении внешнего осмотра устанавливается соответствие поверяемого манометра следующим требованиям:
-
- наличие эксплуатационной документации, с указанием значения ускорения свободного падения и единиц измерения, под которые подогнаны масса подвижной части и грузов, температурного коэффициента линейного расширения материалов поршня и цилиндра, коэффициента деформации поршневой системы;
-
- свидетельства о предыдущей поверке;
-
- маркировка и комплектность должны соответствовать эксплуатационной документации;
-
- отсутствие механических повреждений, следов коррозии на деталях манометров и грузах, представляемых на поверку;
-
- детали прибора и резьбовые соединения не должны иметь срезанных витков и повреждений, препятствующих присоединению и не обеспечивающих герметичность и прочность соединения;
-
- отсутствие повреждений антикоррозийного покрытия;
-
- наличие полного набора грузов.
-
8.1.2 Манометр, не удовлетворяющий требованиям п.8.1.1 настоящей методики, не подлежит поверке до устранения неисправностей и несоответствий. После их устранений внешний осмотр проводят в полном объеме.
-
8.2.1 При опробовании следует проверить работоспособность и герметичность манометра.
-
8.2.2 При проверке работоспособности манометра проверяют:
-
- соединения поршня с грузоприемным устройством должно исключать взаимное относительное перемещение;
-
- поршень, смазанный рабочей жидкостью, должен свободно, без затираний, вращаться в цилиндре и перемещаться вдоль оси цилиндра;
-
- грузы должны легко, без заедания, накладываться один на другой на грузоприемное устройство и сниматься без относительного взаимного радиального перемещения.
-
8.2.3 Герметичность манометров избыточного давления проверяют при давлении, равном верхнему пределу измерений. При указанном давлении измерительную поршневую систему выдерживают пять минут. В течение последующих двух минут не должно наблюдаться падение давления, при этом изменение температуры воздуха в помещении не должно превышать 0,1 °C.
-
8.2.4 Герметичность манометров абсолютного давления проверяют при давлении, равном нижнему пределу измерений. В течение последующих двух минут не должно наблюдаться повышение давления, при этом изменение температуры воздуха в помещении не должно превышать 0,1 °C.
Операция «Подтверждение соответствия программного обеспечения» состоит из определения номера версии (идентификационного номера) программного обеспечения.
-
8.3.1 Определение номера версии (идентификационного номера) программного обеспечения манометра.
-
8.3.1.1 Включить манометр с помощью кнопки питания на терминале PG. При этом на дисплее отобразится номер версии программного обеспечения. Считать с дисплея номер версии ПО.
-
8.3.2 Подтверждение можно считать успешным, если номер версии программного обеспечения поверяемого манометра совпадает (или является не ниже) с номером версии, указанным в ЭД.
8.4 Определение метрологических характеристик-
8.4.1 Определение абсолютной погрешности измерений температуры.
-
8.4.1.1 Измерения проводят в контрольных точках, лежащих в точках О °C, 20 °C, 40 °C. Перед проведением поверки извлеките поверяемы термометр в соответствии с п. «Датчик температуры модуля поршневого цилиндра» руководства по эксплуатации.
-
8.4.1.2 Эталонный и поверяемый термометр помещают в термостат, фиксируют значения после установки показаний.
-
Считывают показания эталонного и поверяемого термометра температуры с дисплея последовательно, после установки показаний во всех контрольных точках температуры, переключением термостата в соответствующий режим. Измерения повторяют не менее 3-х раз. Значение погрешности определяют, как разность между средними значениями температуры поверяемого и эталонного СИ в каждой контрольной точке температуры.
По полученным значениям для каждой точки во всем диапазоне измерений определяют абсолютную погрешность по формуле [1]:

[1]
где Тизм - значение давления, измеренное поверяемым термометром, Тэт - номинальное значение температуры, по эталонному термометру.
-
8.4.1.3 Результат поверки считают положительным, если значения погрешности находятся в пределах ±0,1 °C. Результаты поверки заносятся в протокол поверки.
-
8.4.1.4 Корректировка показаний при необходимости, процедура выполняется в соответствии с п. «Датчик температуры модуля поршневого цилиндра» руководства по эксплуатации. В случае необходимости корректировки показаний отредактируйте значения RZ (текущее значение смещения 0 °C в значении сопротивления) и (или) S (текущее значение наклона графика сопротивления).
-
8.4.2 Определение скорости опускания поршня.
-
8.4.2.1 Скорость опускания поршня определяют при нагрузке, соответствующей верхнему пределу измерений поверяемого манометра. При этом запорный вентиль должен быть перекрыт, поверяемый манометр выдержать под нагрузкой не менее 15 мин.
-
8.4.2.2 Для определения скорости опускания поршня измеряют расстояние, на которое он переместился за некоторый промежуток времени. Расстояние измеряют микроскопом, или индикатором, или отсчетным устройством, интервал времени опускания поршня отсчитывают по секундомеру.
-
8.4.2.3 Скорость опускания поршня, приведенная к температуре 20 °C, должна быть не более значений, указанных эксплуатационной документации.
-
8.4.2.4 Если температура в момент измерений отличается от 20 °C, то значение скорости опускания необходимо привести к температуре 20 °C, пересчитав по формуле [2]: где - приведенное значение скорости опускания, мм/мин; г - измеренное значение скорости опускания, мм/мин.
-
-
8.4.3 Определение эффективной площади поршня.
-
8.4.3.1 Эффективную площадь поршня определяют методом непосредственного сличения поверяемого манометра с эталонным манометром (рабочим эталоном). При этом проводят уравновешивание поршней одним из способов, приведенных ниже.
-
Прямое (без предварительного уравновешивания) уравновешивание масс поршней с грузоприемным устройством и помещенных на них грузов. Поршни поверяемого и эталонного манометров необходимо установить так, чтобы в момент их равновесия нижние торцы поршней располагались в одной горизонтальной плоскости. В противном случае необходимо определить расстояние по вертикали между нижними торцами поршней и внести поправку на значение массы столба жидкости. Взаимное положение поршней должно быть определено с погрешностью не более 1 мм.
Уравновешивание масс грузов, помещенных на поршни поверяемого и эталонного манометров, при условии предварительного уравновешивания поршней.
Примечание. При условии предварительного уравновешивания нет необходимости торцы поршней располагать в одной горизонтальной плоскости.
-
8.4.3.2 При определении эффективной площади поршня должны быть выполнены следующие требования.
-
8.4.3.2.1 Поршни эталонного и поверяемого манометра должны быть установлены в рабочее положение.
-
8.4.3.2.2 Взаимное положение поршней следует контролировать во время их равновесия устройствами для наблюдения за положением равновесия.
-
8.4.3.2.3 Измерения следует проводить при давлениях, возрастающих до верхнего предела измерений эталонного манометра (рабочего эталона). Число точек давления должно быть: не менее 10 для класса точности 0,003; 0,005; 0,008; 0,01; не менее 5 для класса точности 0,02; 0,05.
-
8.4.3.2.4 Погрешность определения действительных значений масс поршня с грузоприемным устройством и грузов поверяемого манометра при определении эффективной площади поршня не должны превышать 0,05 dnOe (где dnoe- предел допускаемой погрешности поверяемого манометра, %), а для грузов массой менее 50 г погрешность не должна превышать 0,1 dnoe.
-
Примечание:
Шри отклонении действительных значений масс грузов от номинальных значений, не превышающем значения допускаемой погрешности определения массы т.е. 0,2 dnOe, в протокол поверки записывают их номинальную массу. В противном случае учитывают действительное значение массы грузов.
-
8.4.3.2.5 Для уравновешивания поршней на грузоприемные устройства поверяемого манометра и рабочего эталона помещают грузы соответствующей массы, необходимой для создания требуемого значения давления. При помощи устройства для создания давления поршни устанавливают в рабочее положение, затем приводят в принудительное вращение при помощи электропривода или в ручное вращение с частотой не менее 30 об/мин. Если при этом равновесие поршней отсутствует, то поднимающийся поршень дополнительно нагружают гирями до достижения равновесия.
Равновесие считают достигнутым, если не наблюдается изменения положения поршней относительно друг друга.
-
8.4.3.3 При определении эффективной площади поршня без предварительного уравновешивания отношение масс А при каждом отдельном уравновешивании поршней с учетом массы столба жидкости под поршнем рабочего эталона определяют по формулам [3] и [4]:
А = {тпов+ тпов^(1,
1 m-pxF3mMh+ тэп
и с учетом массы столба жидкости под поршнем поверяемого манометра
А Атпо+ pxFnoeHOMh+ mnoeri}qi
' тэ+тэг!
где т'> и тпов - действительная масса поршня с грузоприемным устройством эталонного и поверяемого манометров соответственно, кг;
тт~
п и повп . действительная масса грузов и гирь при i-м уравновешивании, нагружаемых на эталонный и поверяемый манометры соответственно, кг;
F F
эном и г пОв,юМ _ номинальное значение приведенной площади поршня эталонного и поверяемого манометров соответственно, м2;
h
-
- расстояние между нижними торцами поршней эталонного манометра и поверяемого манометра, м; h >0, если нижний торец поршня эталонного манометра ниже торца поршня поверяемого манометра;
Рж - плотность рабочей жидкости, кг/м3;
У* - поправочный коэффициент, учитывающий влияние температуры и деформации на показания манометров, определяемый по формуле [5]:
Я,= 1 + (а1э+ а2э)(гэ,-20° С)-(а1пов+ а2пов)(?пов,-20°С)+ {/Зэ-0пов)Р1 [5]
где а‘э и а2э - температурные коэффициенты линейного расширения материалов цилиндра и поршня эталонного манометра, °C’1;
621,108 и «2пов _ температурные коэффициенты линейного расширения материалов цилиндра и поршня поверяемого манометра, °C"1;
t t
пае, и з< . температура поверяемого и эталонного манометров соответственно при 1-м уравновешивании, °C;
-
- номинальное давление при i-м уравновешивании, Па;
и Рпое . коэффициенты деформации поршня и цилиндра от давления эталонного и поверяемого манометров соответственно, Па’1.
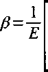
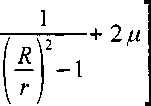
Коэффициент деформации Р вычисляется по формуле [6]:


[6]
где Е - модуль упругости материала поршня и цилиндра (модуль Юнга), Па;
р - коэффициент поперечного сжатия материала поршня и цилиндра (коэффициент Пуассона);
R - внешний радиус цилиндра, мм;
г - внутренний радиус цилиндра, принимаемый равным радиусу поршня, мм.
Поправочным коэффициентом пренебрегают, если его значение не превышает 10% предела допускаемой погрешности поверяемого манометра.
По результатам значений определяют среднее отношение масс с учетом массы столба жидкости под поршнем эталонного манометра по формуле [7]:
п
X (тпое+ тповп)я>
/=1
п
Х(тэ~РжРэтмЬ+тЭГ1}
/=1 а с учетом массы столба жидкости под поршнем поверяемого манометра по формуле [8]:
У (т + о F h+ tn
V пов г' ж поемом повп/^i
/=1
[8]
где п - число поверяемых точек.
-
8.4.3.4 При определении эффективной площади поршня по способу с предварительным уравновешиванием перед началом измерений проводят предварительное уравновешивание поршней эталонного и поверяемого манометров путем накладывания тарировочных грузов, которые затем не снимают с грузоприемных устройств. Суммарные массы поршней с грузоприемными устройствами и грузов, помещенных при предварительном уравновешивании, при определении эффективной площади не измеряют и не учитывают.
Дальнейший порядок измерений такой же, как и при способе без предварительного уравновешивания.
Отношение масс At при каждом отдельном уравновешивании поршней по этому способу определяют по формуле [9]:

[9]
а среднее отношение масс А - по формуле [10]:
1=1
Е тэП
[10]
/=1
г*
-
8.4.3.5 Эффективную площадь поверяемого манометра пов определяют по формуле [11]:
, ПИ
где F3 - значение эффективной площади поршня эталонного манометра, см2.
Предельные отклонения значений эффективной площади поршня поверяемого манометра от номинального значения должны соответствовать приведенным в таблице 3. Таблица 3
Номинальное значение эффективной площади поршня, см2 |
Предельное отклонение от номинального значения, % |
0,049 |
±1,0 |
0,098 |
±1,0 |
0,196 |
±1,0 |
0,49 |
±0,8 |
0,5 |
±0,8 |
0,985 |
±0,4 |
1 |
±0,4 |
1,96 |
±0,4 |
5 |
±0,4 |
9,8 |
±0,4 |
-
8.4.3.6 Для оценки точности полученных значений эффективной площади поршня для с
манометров вычисляют среднее квадратическое отклонение '' результата определения эффективной площади поршня в последовательности, приведенной ниже.
При каждом значении давления определяют разность отношений масс <5, по формуле [12]:
4=4“^ . [12]
Среднее квадратическое отклонение определяют по формуле [13]:

•100%
[13]
Среднее квадратическое отклонение результата определения эффективной площади поршня не должно превышать значений, указанных в таблице 4.
Таблица 4
Класса точности манометра |
Среднее квадратическое отклонение, % |
0,003 |
0,0005 |
0,005 |
0,0008 |
0,008 |
0,0012 |
0,01 |
0,0017 |
0,02 |
0,0035 |
0,05 |
0,01 |
-
8.4.4 Определение порога реагирования.
-
8.4.4.1 Порог реагирования определяют при последнем уравновешивании, т. е. при давлении, соответствующем верхнему пределу измерений манометров. При окончании уравновешивания поршень поверяемого манометра дополнительно нагружают гирями, масса которых не превышает 100% (где ттах _ масса Гру30в поверяемого манометра, соответствующая верхнему пределу измерений, кг).
-
8.4.4.2 Результат проверки порога реагирования считают положительным, если при помещении добавочных гирь равновесие поршней нарушится, а значение не превышает указанного в эксплуатационной документации.
-
-
8.4.5 Проверка значений массы грузов и поршня с грузоприемным устройством.
-
8.4.5.1 Проверка значений массы грузов и поршня с грузоприемным устройством заключается в проверке наличия сертификата калибровки.
-
8.4.5.2 Результатом калибровки должны быть условные значения массы грузов, поршня с грузоприемным устройством и дополнительных грузов, а так же расширенная неопределённость измерений массы.
-
8.4.5.3 Условные массы грузов и поршня с грузоприемным устройством должны быть подогнаны в зависимости от назначения под номинальное значение массы или под номинальное значение давления, с учетом ускорения свободного падения.
-
8.4.5.4 Условные значения массы грузов, поршня с грузоприемным устройством и дополнительных грузов проверяют взвешиванием на компараторе массы (весах) с применением наборов миллиграмовых и грамовых гирь класса Е2, Fi и F2 по ГОСТ OIML R 111-1-2009. Наборы миллиграмовых и грамовых гирь класса Е2 применяется для калибровки грузов для манометров классов точности 0,003; 0,005; 0,008; класса Fi и F2 для классов точности 0,01; 0,02 и 0,05.
-
8.4.5.5 Отклонение условных значений массы поршня с грузоприемным устройством и массы каждого груза, подогнанных под номинальное значение массы, от номинальных значений массы не должно превышать 0,2 -5пов.
-
-
8.4.6 При соблюдении всех требований п.8.4 пределы допускаемой основной погрешности поверяемого манометра не должны превышать значений, установленных в эксплуатационной документации на него. Результаты поверки считаются положительными.
-
8.4.7 При несоответствии поверяемого манометра любому требованию п.8.4 измерительную поршневую систему манометра разбирают, повторяют операции по п.8.4, снова собирают и проводят повторные измерения. Если и во втором случае отклонения поверяемых параметров выходят за допустимые пределы, то выдают извещение о непригодности или в соответствии с заявлением заказчика переводят манометр в более низкий класс точности (например, манометр класса точности 0,01 может быть переведен в класс точности 0,02).
-
9.1 Результаты поверки заносят в протокол, пример формы приведен в приложении 1 ГОСТ 8.479-82.
-
9.2 Если грузы калибрует владелец манометра, то на них должен быть оформлен сертификат калибровки грузов.
-
9.3 При положительных результатах поверки манометра, при наличии сертификата калибровки грузов, оформляется свидетельство о поверке. Знак поверки наносится на свидетельство о поверке.
Пример формы заполнения оборотной стороны свидетельства приведен в приложении 2 ГОСТ 8.479-82.
-
9.4 При отрицательных результатах поверки манометр к применению не допускают, выдают извещение о непригодности с указанием причин.