Методика поверки «Комплексы измерительные автоматизированные ACH» (МП 0631-14-2017)
ФЕДЕРАЛЬНОЕ АГЕНТСТВО ПО ТЕХНИЧЕСКОМУ РЕГУЛИРОВАНИЮ И
МЕТРОЛОГИИ
Федеральное государственное унитарное предприятие «Всероссийский научно-исследовательский институт расходометрии»
Государственный научный метрологический центр
ФГУП «ВНИИР»
УТВЕРЖДАЮ

ИНСТРУКЦИЯ
Государственная комплекс обеспечения единства измерений
Комплексы измерительные автоматизированные АСН
Методика поверки
МП 0631-14-2017
Начальник
—
НИО-14 ФГУП «ВНИИР»
____Р.Н. Груздев
Тел.: (843) 299-72-00
г. Казань
2017
РАЗРАБОТАНА
ФГУП «ВНИИР»
ИСПОЛНИТЕЛИ
УТВЕРЖДЕНА
Груздев Р.Н., Ягудин И.Р.
ФГУП «ВНИИР»
Содержание
Приложение А (обязательное). Форма протокола результатов поверки
Приложение Б (рекомендуемое). Форма протокола результатов поверки счетчиков -расходомеров массовых
Приложение В (рекомендуемое). Форма протокола результатов поверки счетчиков -жидкости
Приложение Г (справочное). Значение коэффициентов линейного расширения материала стенок мерника
Настоящая инструкция распространяется на комплекс измерительный автоматизированный АСН (далее - комплекс), предназначенный для автоматизированного управления технологическим процессом и измерений массы нефтепродуктов, отпускаемых в автоцистерны и ж/д цистерны при проведении учетных операций между сдающей стороной и покупателями. Комплекс подлежит первичной и периодической поверке.
Поверку комплекса осуществляют только аккредитованные в установленном порядке в области обеспечения единства измерений организации.
Интервал между поверками комплекса - 12 месяцев.
1 Операции поверки-
1.1 При проведении первичной и периодической поверки выполняют операции, приведенные в таблице 1.
Таблица! - Операции поверки
|
Наименование операции |
Номер пункта документа по поверке |
Проведение операции при | |
|
первичной поверке |
периодической поверке | ||
|
Проверка комплектности технической документации |
6.1 |
Да |
Нет |
|
Проверка идентификационных данных программного обеспечения (ПО) |
6.2 |
Да |
Да |
|
Внешний осмотр |
6.3 |
Да |
Да |
|
Опробование |
6.4 |
Да |
Да |
|
Определение метрологических характеристик |
6.5 |
Да |
Да |
-
1.2 Если при проведении той или иной операции поверки получен отрицательный результат, дальнейшая поверка прекращается.
-
2.1 При проведении поверки могут применяться следующие средства поверки:
-
- установка поверочная средств измерений объема и массы для верхнего и нижнего налива УПМ-2000 (далее - УПМ) на базе мерника вместимостью 2000 дм3 с диапазоном взвешивания от 0 до 2000 кг и пределами допускаемой относительной погрешности ± 0,04 % при измерениях массы, ± 0,05 % при измерениях объема;
-
- плотномер ПЛОТ-3 с пределами допускаемой абсолютной погрешности измерений плотности при температуре измеряемой среды жидкости и окружающей среды от минус 20 до плюс 50 °C и вязкости до 100 мм2/с составляет ± 0,3 кг/м3, пределы допускаемой абсолютной погрешности измерений температуры составляет ± 0,2 °C;
-
- ареометр АНТ-1 с ценой деления 0,5 кг/м3 и пределами допускаемой абсолютной погрешности ± 0,5 кг/м3;
-
- термометр ртутный стеклянный лабораторный ТЛ-4 с ценой деления 0,1 °C, с пределами допускаемой абсолютной погрешности ± 0,2 °C.
Допускается применять в качестве средств поверки другие аналогичные по назначению средства измерений (СИ) утвержденных типов, если их метрологические характеристики не уступают указанным в данной методике поверки.
3 Требования к квалификации поверителей и требования безопасности-
3.1 К поверке комплекса допускаются лица, аттестованные в качестве поверителей.
-
3.2 Лица, привлекаемые к выполнению измерений, должны:
-
- быть ознакомлены с эксплуатационной документацией на поверяемый комплекс;
-
- соблюдать правила техники безопасности и пожарной безопасности, установленные для объекта, на котором проводят поверку.
-
3.3 Требования безопасности при монтаже и поверке комплекса должны соответствовать Федеральному закону № 123-ФЗ от 22.07.2008 г. «Технический регламент о требованиях пожарной безопасности», Федеральному закону № 69-ФЗ от 21 декабря 1994 г. «О пожарной безопасности» и Правилам противопожарного режима в Российской Федерации (утв. постановлением Правительства РФ от 25 апреля 2012 г. № 390), СНиП 21.01-97 «Пожарная безопасность зданий и сооружений», НПБ 88-2001 «Установки пожаротушения и сигнализации. Нормы и правила проектирования».
-
3.4 Подключение комплекса по электропитанию проводят согласно эксплуатационной документации на комплекс.
-
3.5 Все изделия, входящие в состав комплекса, должны быть герметичны при давлении, создаваемом насосом комплекса.
-
3.6 Должны соблюдаться требования, определяемые «Правилами безопасности в нефтяной и газовой промышленности» (приказ Ростехнадзора от 12.03.2013 №101), руководством по безопасности «Рекомендации по устройству и безопасной эксплуатации технологических трубопроводов» (приказ Федеральной службы по экологическому, технологическому и атомному надзору от 27 декабря 2012 г. № 784)).
-
4.1 При проведении поверки соблюдают условия в соответствии с требованиями нормативных документов на методики поверки СИ, входящих в состав комплекса.
-
4.2 Поверку проводят в условиях эксплуатации комплекса.
-
4.3 Характеристики измеряемой среды при проведении поверки должны соответствовать требованиям, приведенным в таблице 2.
Таблица2 - Характеристики комплекса и измеряемой среды
|
№ i/n |
Наименование параметра |
АСН-Х-ОхххП |
АСН-Х- МхххЕ |
АСН-Х-МхххЭ |
|
1 |
Максимальное значение расхода измеряемой среды, м3/ч DN50 DN80 DN 100 |
36 60 90 | ||
|
2 |
Наименьшая доза выдачи измеряемой среды (согласно руководствам по эксплуатации измерительной части), ДМ3 (кг) DN50 DN80 DN 100 |
200 200 500 | ||
|
3 |
Пределы допускаемой относительной погрешности измерений, %
|
±0,15 |
±0,25 ±0,15 ±0,5 или 1,0 |
±0,25 ±0,15 ±0,5 или 1,0 |
|
4 |
Пределы абсолютной погрешности измерения температуры, °C |
±(0,5±0,005-Т)* |
±1,0 | |
|
5 |
Рабочее давление, МПа
|
1,6 Согласно руководствам по эксплуатации преобразователей расхода | ||
|
6 |
Верхний предел показаний указателя разового учета, дм3 (кг), не менее |
99 999 |
999 999,9 |
999 999,9 |
|
7 |
Верхний предел показаний указателя суммарного учета, дм3 (кг), не менее |
9 999 999 |
999 999,9 |
999 999,9 |
|
8 |
Максимальное количество комплексов, работающих под управлением одного автоматизированного рабочего места (АРМ) оператора, шт. |
12 | ||
* Т - температура измеряемой среды, °C.
5 Подготовка к поверке-
5.1 Перед проведением поверки выполняют следующие подготовительные работы:
-
- проверяют соблюдение требований, изложенных в разделе 3 настоящей методики поверки;
-
- средства поверки подготавливают к работе в соответствии с эксплуатационными документами на них;
-
- подключают комплекс к источнику питания;
-
- заполняют гидравлическую систему комплекса и УПМ измеряемой средой.
-
6.1 Проверка комплектности технической документации
Проверяют наличие действующих свидетельств о поверке манометров и эксплуатационно-технической документации на СИ, входящие в состав комплекса.
-
6.2 Проверка идентификационных данных ПО
-
6.2.1 При проверке идентификационных данных ПО должно быть установлено соответствие идентификационных данных ПО комплекса сведениям, приведенным в описании типа на комплекс.
-
6.2.2 Определение идентификационных данных ПО комплекса, проводят в следующей последовательности:
-
-
- включить питание контроллера;
-
- включить питание АРМ оператора;
-
- на дисплее АРМ оператора, выбрать поле «Диагностика»;
-
- на дисплее АРМ оператора просматривается контрольная сумма ПО.
В случае, если идентификационные данные ПО комплекса не соответствуют данным указанным в описании типа на комплекс, поверку прекращают. Выясняют и устраняют причины вызвавшие несоответствие. После чего повторно проверяют идентификационные данные ПО комплекса.
-
6.3 Внешний осмотр
-
6.3.1 При внешнем осмотре должно быть установлено соответствие комплекса следующим требованиям:
-
-
- на компонентах комплекса не должно быть механических повреждений и дефектов покрытия, ухудшающих внешний вид и препятствующих применению;
-
- надписи и обозначения на компонентах комплекса должны быть четкими и соответствовать технической документации;
-
- наличие технических и программных компонентов для используемого счетчика-расходомера массового (далее - СРМ) или счетчика жидкости (далее - СЖ);
-
- наличие пломб на фланцах и измерительном преобразователе СРМ или на фланцах СЖ;
-
- перед проведением записи в эксплуатационной документации считывают значение коэффициента коррекции и значение коэффициента преобразования СРМ или СЖ, которые записывают в формуляр;
-
- производят установку нуля СРМ или СЖ (согласно руководству по эксплуатации).
-
6.4 Опробование
-
6.4.1 Опробование комплекса проводят на измеряемой среде. После подсоединения гидравлической и электрической систем проводят заполнение гидравлической системы комплекса измеряемой средой, прокачивая её насосом, входящим в состав комплекса. Для этого задают с персонального компьютера различные дозы и проводят пробные наливы в УПМ.
-
6.4.2 Проверяют действие и взаимодействие компонентов комплекса в соответствии с эксплуатационной документации комплекса, возможность получения отчета.
-
6.4.3 Проверяют герметичность комплекса.
-
6.4.3.1 Герметичность комплекса проверяют путём подачи в ее гидравлическую систему измеряемой среды, визуальным осмотром стыковочных соединений, резьбовых и фланцевых соединений, сальниковых уплотнений, сварных швов после ее десятиминутной работы.
-
6.4.3.2 Герметичность проверяют под давлением не более 0,2 МПа (2 кгс/см2), создаваемым насосом в течение трех минут при закрытом клапане - отсекателе.
-
-
6.4.4 Комплекс считается выдержавшим проверку, если при её осмотре не обнаружено следов течи измеряемой среды при работающем насосе.
-
6.5 Определение метрологических характеристик.
-
6.5.1 Относительную погрешность комплекса при измерениях массы или объема измеряемой среды определяют в точке расхода, при этом проводят не менее трех измерений.
-
6.5.1.1 Наконечник наливного устройства подсоединяют к УПМ.
-
6.5.1.2 На персональном компьютере выполняют все операции по заданию дозы измеряемой среды.
-
6.5.1.3 Включают подачу измеряемой среды.
-
6.5.1.4 Налив дозы измеряемой среды в УПМ прекращается автоматически, после чего наконечник наливного устройства обязательно отсоединяют от УПМ.
-
6.5.1.5 После заполнения УПМ определяют значение массы или объема, отпущенной измеряемой среды по показаниям АРМ оператора.
-
6.5.1.6 Снятие показания с УПМ проводят через 30 с после заполнения УПМ.
-
6.5.1.7 После этого сливают из УПМ измеряемую среду в топливный резервуар или автоцистерну.
-
6.5.1.8 Значение поверочного расхода Qtj, кг/ч, при применении массового расходомера в составе комплекса при i-ом измерении в j-й точке рабочего диапазона измерений массового расхода вычисляется по формуле:


(1)
гДе M-j ~ масса измеряемой среды, измеренная УПМ при i-ом измерении в j-й точке рабочего диапазона измерений массового расхода, кг;
т - время наполнения УПМ, с;
Кв - коэффициент, учитывающий поправку при взвешивании в воздухе,
вычисляют по формуле:

(2)
где рж - плотность измеряемой среды, кг/м3;
рм - плотность материала гирь для поверки весов, кг/м3 (/).„= 8000 кг/м3); рв - плотность воздуха, кг/м3 (рв= 1,23 кг/м3).
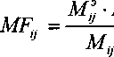
Коэффициент коррекции СРМ MFtj при i-ом измерении в j-й точке рабочего диапазона измерений массового расхода вычисляют по формуле:


(3)
где Mtj - масса измеряемой среды, измеренная СРМ при i-ом измерении в j-й
точке рабочего диапазона измерений массового расхода, кг;
MFycm - коэффициент коррекции СРМ, установленный ранее (по результатам предыдущей поверки).
Примечание: При первичной поверке (перед вводом СРМ в эксплуатацию) значение MFycm принимают равным 1.
Среднее значение коэффициента коррекции СРМ MFj в j-й точке рабочего диапазона измерений массового расхода вычисляют по формуле:
MF,=-^----, (4)
п
где п - где количество измерений в точке рабочего диапазона измерений массового
расхода.
Среднее значение поверочного расхода СРМ Qj, кг/ч, в j-й точке рабочего
диапазона измерений массового расхода вычисляют по формуле:
е,=^—, (5)
п
Среднее значение коэффициента коррекции СРМ MFj в рабочем диапазоне
измерений массового расхода вычисляют по формуле:
2Х,MF = —----, (6)
т
где т - где количество точек рабочего диапазона измерений СРМ.
-
6.5.1.9 Значение поверочного расхода , м3/ч, при применении объемного расходомера в составе комплекса за время i-ro измерения в j-й точке рабочего диапазона измерений объемного расхода вычисляют по формуле:

^•3600
(7)

где т,. - время наполнения УПМ, с;
рэ - объем измеряемой среды, измеренная УПМ, при i-ом измерении в j-й точке рабочего диапазона измерений объемного расхода, м3, вычисляют по формуле
V;=V2a-p + 3-a, ■().,-20)], (8)
где К20 - объем измеряемой среды по показаниям УПМ, м3;
ам - температурный коэффициент линейного расширения материалов стенки УПМ, °C'1 (из приложение Г или технической документации на УПМ);
t - температура измеряемой среды в УПМ при i-ом измерении, °C.
Коэффициент коррекции СЖ MF^ при i-ом измерении в j-й точке рабочего диапазона измерений объемного расхода вычисляют по формуле:
мрсЖ (9)
У ту V z
у
где V - объем измеряемой среды, измеренный СЖ при i-ом измерении в j-й точке рабочего диапазона измерений объемного расхода, м3;
- В случае наличия коэффициента коррекции СЖ определенного по результатам предыдущей поверки или из технической документации.
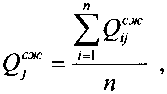
Среднее значение коэффициента коррекции СЖ MF^ в j-й точке рабочего
диапазона измерений объемного расхода вычисляют по формуле:
MFjX
1=1
п
(Ю)
где п - количество измерений в точке рабочего диапазона измерений объемного
расхода.
Среднее значение поверочного расхода СЖ QjX, м3/ч, в j-й точке рабочего
диапазона измерений объемного расхода вычисляют по формуле:

(И)
-
6.5.1.10 Относительную погрешность комплекса при измерении массы измеряемой
среды 8mij, %, вычисляют по формуле:
•100,
(12)
При каждом измерении должно быть выполнено условие: ^у<0,25%
(13)
В случае несоблюдения условия (13), вводят откорректированный коэффициент коррекции MF в СРМ и проводят контрольные измерения.
-
6.5.1.11 Результаты поверки комплекса положительные, если относительная погрешность 8mij не превышает ± 0,25 %.
-
6.5.1.12 Относительную погрешность комплекса при измерении объема измеряемой среды 8Vij, %, при i-ом измерении в j-ой точке вычисляют по формуле
V.-V3
^=Л^-Ю0, (14)
При каждом измерении должно выполняться условие:
^<0,15% (15)
В случае несоблюдения условия (15), вводят откорректированный коэффициент коррекции MF^ в СЖ и проводят контрольные измерения.
-
6.5.1.13 Результаты поверки комплекса положительные, если относительная погрешность <5^ не превышает ± 0,15 %.
-
6.5.1.14 Поверка канала измерений плотности СРМ.
Абсолютную погрешность СРМ при измерениях плотности определяют сравнением по показаний дисплея СРМ или монитора АРМ оператора, с показаниями эталонного плотномера или ареометра, приведенными к условиям измерений СРМ. Число измерений не менее двух.
Абсолютную погрешность измерений плотности Др, кг/м3, при каждом измерении рассчитывают по формуле:
Ьр=РсрМ-рп, (16)
где рсрм - значение плотности измеряемой среды, измеренное СРМ, кг/м3;
рп - значение плотности измеряемой среды, измеренное эталонным плотномером (или ареометром), кг/м3.
СРМ признают прошедшим поверку, если значение абсолютной погрешности измерений плотности при каждом измерении не превышает значения допустимой абсолютной погрешности измерений плотности (± 1,0 или ± 0,5 кг/м3), указанного в технической документации на СРМ.
-
6.5.1.15 Поверка канала измерений температуры СРМ.
Абсолютную погрешность СРМ при измерениях температуры определяют сравнением по показаний дисплея СРМ или монитора АРМ оператора, с показаниями термометра в рабочем диапазоне измерений температуры. Число измерений не менее двух.
Абсолютную погрешность измерений температуры А(, °C, при каждом измерении рассчитывают по формуле:
^срм ~ ’ (17)
где t - значение температуры, измеренное СРМ, °C;
t - значение температуры, измеренное термометром, °C.
СРМ признают прошедшим поверку, если значение абсолютной погрешности измерений температуры А( при каждом измерении не превышает значения допустимой абсолютной погрешности измерений температуры ± 1,0 °C для комплекса модификации АСН-1ВГ-М090Э; для комплекса модификации АСН-1НГ-М060Е значения абсолютной погрешности измерений температуры, не превышает ± (0,5 + 0,005 • Т), где Т - значение температуры, измеренное термометром, °C.
7 Оформление результатов поверки-
7.1 При положительных результатах поверки оформляют свидетельство о поверке комплекса по форме приложения 1 документа «Порядок проведения поверки средств измерений, требования к знаку поверки и содержанию свидетельства о поверке», утвержденного приказом Минпромторга России от 2 июля 2015 г. № 1815, и протоколы поверки в соответствии с приложениями А, Б и/или В.
На оборотной стороне свидетельства о поверке комплекса в зависимости от модификации комплекса указывают диапазон измерений массового расхода или диапазон измерений объемного расхода, пределы допускаемой относительной погрешности измерений массы и/или объема измеряемой среды, заводской номером СРМ или СЖ, допущенного к применению в составе комплекса и значение коэффициента коррекции.
-
7.1.1 На СРМ или СЖ, входящие в состав комплекса, имеющие положительный результат поверки, устанавливают пломбы, несущие на себе знак поверки. Оформляют протокол поверки в соответствии с приложением Б или В.
7.2 При отрицательных результатах поверки комплекс к эксплуатации не допускают, свидетельство о поверке аннулируют и выдают извещение о непригодности по форме приложения 2 «Порядка проведения поверки средств измерений, требования к знаку поверки и содержанию свидетельства о поверке», утвержденного приказом Минпромторга России от 2 июля 2015 г. № 1815.
Приложение А
(обязательное)
Форма протокола результатов поверки
ПРОТОКОЛ ПОВЕРКИ №(Наименование комплекса измерительного)
-
1 Наименование поверяемого измерительного комплекса:
-
2 Заводской номер:
-
3 Год выпуска:
-
4 Принадлежит:
-
5 Методика поверки:
-
6 Характеристики измеряемой среды:
-
7 Наименование эталонов и испытательного оборудования:
8 Результаты поверки приведены в таблице
|
№ п/п |
Наименование средств измерений входящих в состав комплекса (или измеряемой величины) |
Заводской № средств измерений |
№ свидетельства о поверке или указания места установки знака поверки |
Максимальная фактическая погрешность средств измерений (или измеряемой величины), (ед. изм.) |
Дата поверки |
|
1 | |||||
|
2 | |||||
9 Заключение:
Приложение Б
(рекомендуемое) Форма протокола результатов поверки счетчиков - расходомеров массовых
ПРОТОКОЛ ПОВЕРКИ №__Дата____________.
Поверитель
подпись
инициалы, фамилия
Номер комплекса ________________________________________________________________________________________________________.
(№ комплекса или № поста налива, зав. № счетчика расходомера массового, тип измеряемого нефтепродукта )
Таблица № 1 Протокол результата поверки счетчика - расходомера массового (без учета коэффициента коррекции)
|
№ На ли ва |
Расход |
Заданный объем, м3 |
Отпущенный объем, м3 |
Время налива, с |
Показания массы на АРМ, кг |
Плотность по АРМ, кг/м3 |
Температура, по АРМ, °C |
Показания массы УПМ, кг |
Температура в УПМ, С° |
Плотность в УПМ, кг/м3 |
Относительная погрешность, % |
MF |
|
1 | ||||||||||||
|
2 | ||||||||||||
Таблица № 1 Протокол результата поверки счетчика - расходомера массового (с учетом коэффициента коррекции)
|
№ На ли ва |
Расход |
Заданный объем, м3 |
Отпущенный объем, м3 |
Время налива, с |
Показания массы на АРМ, кг |
Плотность по АРМ, кг/м3 |
Температура, по АРМ, °C |
Показания массы УПМ, кг |
Температура в УПМ, С° |
Плотность в УПМ, кг/м3 |
Относительная погрешность, % |
MF |
|
1 | ||||||||||||
|
2 | ||||||||||||
|
после введения откорректированного MF | ||||||||||||
Кв- коэффициент, учитывающий поправку при взвешивании = 1,001;
/>20(15)“ плотность нефтепродукта, измеренная в лаборатории и приведенная к 20 °C или 15 °C =______и (или) приведенная к условиям измерений р .
Заключение:___________________________________________.
Приложение В ( рекомендуемое) Форма протокола результатов поверки счетчиков - жидкости ПРОТОКОЛ ПОВЕРКИ №__
Дата____________.
Номер комплекса_____________________________________________________________________________________________________________.
(№ комплекса или № поста налива, зав. № счетчика -жидкости, тип измеряемого нефтепродукта )
Таблица № 1 Протокол результата поверки счетчика - жидкости (без учета коэффициента коррекции)
|
№ На ли ва |
Расход, м3/ч |
Заданный объем, м3 |
Отпущенный объем, м3 |
Время налива, с |
Показания массы на АРМ, кг |
Плотн. изм. среды, кг/м3 |
Температура по АРМ, °C |
Показания объема УПМ, м3 |
Показания массы УПМ, кг |
Температура по УПМ, С° |
Привед. объем по УПМ, м3 |
Относительная погрешность, % |
MF‘X |
|
1 | |||||||||||||
|
2 | |||||||||||||
Таблица № 1 Протокол результата поверки счетчика - жидкости (с учетом коэффициента коррекции)
|
№ На ли ва |
Расход, м3/ч |
Заданный объем, м3 |
Отпущенный объем, м3 |
Время налива, с |
Показания массы на АРМ, кг |
Плотн. изм. среды, кг/м3 |
Температура по АРМ, °C |
Показания объема УПМ, м3 |
Показания массы УПМ, кг |
Температура по УПМ, С° |
Привед. объем по УПМ, м3 |
Относительная погрешность, % |
MF‘M |
|
1 | |||||||||||||
|
2 | |||||||||||||
|
после введения откорректированного MF.™ | |||||||||||||
Коэффициент объемного расширения материалов стенок УПМ (в соответствии с приложением Г).
Заключение:__________________________________________.
Поверитель
подпись
инициалы, фамилия
Приложение Г (справочное)
Значение коэффициентов линейного расширения материала стенок мерникаЗначение коэффициентов линейного расширения материала стенок мерника приведены в таблице Г. 1
Таблица Г.1 Значение коэффициентов линейного расширения материала стенок мерника
|
Материал |
^,1/°С |
|
Сталь углеродистая |
И,2-10'6 |
|
Сталь легированная |
И,0-10'6 |
|
Сталь нержавеющая |
16,64 О'6 |
|
Латунь |
17,8-10'6 |
|
Алюминий |
24,5-10'6 |
|
Медь |
17,4-10'6 |
|
Примечание - Если в технической документации на мерник приведены значения ам, то для расчетов используют приведенные в технической документации значения. | |
18
