Методика поверки «СИСТЕМА ИЗМЕРЕНИЙ КОЛИЧЕСТВА И ПОКАЗАТЕЛЕЙ КАЧЕСТВА НЕФТИ НА УСН-4/1 (ЦЕХ №1) ВОЗВРАТ НЕФТИ С УСТАНОВКИ» (МП 0687-14-2017)
ФЕДЕРАЛЬНОЕ АГЕНТСТВО ПО ТЕХНИЧЕСКОМУ РЕГУЛИРОВАНИЮ И МЕТРОЛОГИИ
Федеральное государственное унитарное предприятие
«Всероссийский научно-исследовательский институт расходометрии»
Государственный научный метрологический центр
ФГУП «ВНИИР»
УТВЕРЖДАЮ

А.С. Тайбинский
ИНСТРУКЦИЯ
Государственная система обеспечения единства измерений
СИСТЕМА ИЗМЕРЕНИЙ КОЛИЧЕСТВА И ПОКАЗАТЕЛЕЙ КАЧЕСТВА НЕФТИ НА УСН-4/1 (ЦЕХ № 1). ВОЗВРАТ НЕФТИ С УСТАНОВКИ
Методика поверки
МП 0687-14-2017
Начальник НИО-14 ФГУП «ВНИИР»

Р.Н. Груздев
Тел.: (843) 299-72-00
г. Казань
2017
РАЗРАБОТАНА
ФГУП «ВНИИР»
ИСПОЛНИТЕЛИ
А.П. Левина
УТВЕРЖДЕНА
ФГУП «ВНИИР»
Настоящая инструкция распространяется на средство измерений «Система измерений количества и показателей качества нефти на УСН-4/1 (цех № 1). Возврат нефти с установки» (далее - СИКН) и устанавливает методику первичной поверки при вводе в эксплуатацию, а также после ремонта и периодической поверки при эксплуатации.
Интервал между поверками СИКН - 12 месяцев.
Интервал между поверками (калибровками) средств измерений (СИ), входящих в состав СИКН, за исключением термометров ртутных стеклянных лабораторных ТЛ-4, - 12 месяцев.
Интервал между поверками термометров ртутных стеклянных лабораторных ТЛ-4 - 36 месяцев.
1 Операции поверкиПри проведении поверки выполняют операции, приведенные в таблице 1.
Таблица 1 - Операции поверки
|
Наименование операции |
Номер пункта инструкции |
Проведение операции при | |
|
первичной поверке |
периодической поверке | ||
|
Внешний осмотр |
6.1 |
Да |
Да |
|
Подтверждение соответствия программного обеспечения |
6.2 |
Да |
Да |
|
Опробование |
6.3 |
Да |
Да |
|
Определение (контроль) метрологических характеристик СИ, входящих в состав СИКН |
6.4.1 |
Да |
Да |
|
Определение относительной погрешности измерений массы нефти |
6.4.2 |
Да |
Да |
-
2.1 Основное средство поверки СИКН
-
2.1.1 Рабочий эталон 1-го или 2-го разряда по ГОСТ 8.510 - 2002 «ГСИ. Государственная поверочная схема для средств измерений объема и массы жидкости», обеспечивающий определение метрологических характеристик средств измерений массы и массового расхода на каждой измерительной линии СИКН в требуемых диапазонах расхода;
-
-
2.2 При проведении поверки (калибровки) СИ в составе СИКН применяют средства поверки (калибровки), указанные в нормативных документах (НД) на методики поверки (калибровки) СИ, входящих в состав СИКН, приведенных в таблице 3 настоящей инструкции.
-
2.3 Допускается применять другие аналогичные по назначению средства поверки утвержденных типов, если их метрологические характеристики не уступают указанным в НД, приведенных в таблице 3 настоящей инструкции.
-
3.1 При проведении поверки соблюдают требования, определяемые:
-
- в области охраны труда - Трудовым кодексом Российской Федерации;
-
- в области промышленной безопасности - Федеральными нормами и правилами в области промышленной безопасности «Правила безопасности в нефтяной и газовой промышленности» (приказ Ростехнадзора № 101 от 12 марта 2013 г. «Об утверждении Федеральных норм и правил в области промышленной безопасности «Правила безопасности в нефтяной и газовой промышленности»), Руководством по безопасности «Рекомендации по устройству и безопасной эксплуатации технологических трубопроводов» (приказ № 784 от 27 декабря 2012 г. «Об утверждении Руководства по безопасности «Рекомендации по устройству и безопасной эксплуатации технологических трубопроводов»), а также другими действующими отраслевыми НД;
-
- в области пожарной безопасности - Федеральным законом Российской Федерации от 22 июля 2008 г. № 123-ФЗ «Технический регламент о требованиях пожарной безопасности», Постановление Правительства Российской Федерации от 25 апреля 2012 г. № 390 «О противопожарном режиме» (вместе с «Правилами противопожарного режима в Российской Федерации»), СНиП 21.01-97 (с изм. № 1,2) «Пожарная безопасность зданий и сооружений»;
-
- в области соблюдения правильной и безопасной эксплуатации электроустановок -Правилами технической эксплуатации электроустановок потребителей;
-
- в области охраны окружающей среды - Федеральным законом Российской Федерации от 10 января 2002 г. № 7-ФЗ (ред. 12 марта 2014 г.) «Об охране окружающей среды» и другими действующими законодательными актами на территории РФ.
-
3.2 Площадка СИКН должна содержаться в чистоте без следов нефти и должна быть оборудована первичными средствами пожаротушения согласно Правилам противопожарного режима в Российской Федерации.
-
3.3 СИ и вспомогательные устройства, применяемые при выполнении измерений, должны иметь взрывозащищенное исполнение в соответствии с требованиями ГОСТ 30852.0 «Электроооборудование взрывозащищенное. Часть 0. Общие требования»
-
3.4 Вторичную аппаратуру и щиты управления относят к действующим электроустановкам с напряжением до 1000 В, на которые распространяются Правила технической эксплуатации электроустановок потребителей, Правила устройства электроустановок.
Поверка СИКН осуществляется в условиях эксплуатации.
При проведении поверки соблюдают условия в соответствии с требованиями НД на методики поверки СИ, входящих в состав СИКН.
Характеристики СИКН и измеряемой среды при проведении поверки должны соответствовать требованиям, приведенным в таблице 2.
Соответствие характеристик нефти значениям в таблице 2 проверяют по данным паспорта качества нефти.
Таблица 2 - Характеристики СИКН и измеряемой среды
|
Наименование характеристики |
Значение |
|
Измеряемая среда |
нефть по ГОСТ Р 51858-2002 «Нефть. Общие технические условия» |
|
Диапазон измерений расхода, т/ч |
от 150 до 250 |
|
Диапазон избыточного давления нефти, МПа |
от 0,15 до 1,60 |
|
Диапазон температуры нефти, °C |
от +30 до +60 |
|
Вязкость кинематическая нефти, мм2/с (сСт), не более |
7,7 |
|
Плотность нефти в рабочем диапазоне температуры, кг/м3 |
от 855 до 890 |
|
Массовая доля воды, %, не более |
0,5 |
|
Массовая концентрация хлористых солей, мг/дм3, не более |
100 |
|
Массовая доля механических примесей, %, не более |
0,05 |
Подготовку средств поверки и СИКН осуществляют в соответствии с их эксплуатационной документацией.
6 Проведение поверки-
6.1 Внешний осмотр
При внешнем осмотре проверяют комплектность и внешний вид.
-
6.1.1 Комплектность СИКН должна соответствовать ее описанию типа и эксплуатационной документации.
-
6.1.2 При проверке внешнего вида должны выполняться требования:
-
- на компонентах СИКН не должно быть механических повреждений, препятствующих проведению поверки;
-
- надписи и обозначение на компонентах СИКН должны быть четкими и читаемыми без применения технических средств, соответствовать технической документации;
-
- СИ, входящие в состав СИКН, должны быть поверены и иметь пломбы, несущие на себе знак поверки, в соответствии с их методикой поверки и (или) МИ 3002-2006 «Рекомендация. ГСИ. Правила пломбирования и клеймения средств измерений и оборудования, применяемых в составе систем измерений количества и показателей качества нефти и поверочных установок».
СИКН, не прошедшая внешний осмотр, к поверке не допускается.
-
6.2 Подтверждение соответствия программного обеспечения (ПО).
-
6.2.1 При проверке идентификационных данных ПО должно быть установлено соответствие идентификационных данных ПО СИКН сведениям, приведенным в описание типа на СИКН.
-
6.2.2 Определение идентификационных данных ПО комплекса измерительновычислительного «ОКТОПУС-Л» («OCTOPUS-L») (далее - ИВК) проводят в соответствии с его руководством по эксплуатации.
-
Для просмотра версии ПО, контрольной суммы и других сведений необходимо в строке меню выбрать пункт «СИСТ. ПАРАМЕТРЫ», затем выбрать подпункт «СВЕДЕНИЯ о ПО». На экране появится окно со сведениями о ПО ИВК.
-
6.2.3 Определение идентификационных данных ПО автоматизированного рабочего места (АРМ) оператора «Rate АРМ оператора УУН» проводят в соответствии с его руководством пользователя.
-
6.3 Опробование
-
6.3.1 Опробуют СИКН путем увеличения или уменьшения расхода измеряемой среды в пределах рабочего диапазона измерений.
-
Результаты опробования считаются удовлетворительными, если при увеличении или уменьшении расхода измеряемой среды соответствующим образом изменялись показания на соответствующих средствах отображения информации.
-
6.3.2 Проверяют герметичность СИКН.
Проверку герметичности СИКН проводят согласно эксплуатационной документации на СИКН.
СИКН считается выдержавшей проверку, если на элементах и компонентах СИКН нет следов протечек нефти или снижения давления.
-
6.4 Определение (контроль) метрологических характеристик
-
6.4.1 Определение (контроль) метрологических характеристик СИ, входящих в состав СИКН.
-
Определение метрологических характеристик СИ, входящих в состав СИКН, проводят в соответствии с НД, приведенными в таблице 3.
Таблица 3 - СИ и их методики поверки
|
Наименование СИ |
нд |
|
Счетчики-расходомеры массовые Micro Motion (модификации CMF400) с преобразователями 2700 (далее - СРМ) |
МИ 3272-2010 «Рекомендация. ГСИ. Счетчики-расходомеры массовые. Методика поверки на месте эксплуатации компакт-прувером в комплекте с турбинным преобразователем расхода и поточным преобразователем плотности» «Рекомендация. ГСИ. Счетчики-расходомеры массовые Micro Motion. Методика поверки», утвержденная ВНИИМС 25.07.2010 г. |
Окончание таблицы 3
|
Т ермопреобразователи сопротивления Rosemount 0065 в комплекте с преобразователями измерительными Rosemount 644 |
ГОСТ 8.461-2009 «ГСП. Термопреобразователи сопротивления из платины, меди и никеля. Методика поверки» 12.5314.0000.00 МП «Преобразователи измерительные Rosemount 644, Rosemount 3144Р. Методика поверки», утвержденный ГЦИ СИ ФБУ «Челябинский ЦСМ» в декабре 2013 г. МИ 2672-2005 «ГСИ. Датчики температуры с унифицированным выходным сигналом. Методика поверки с помощью калибраторов температуры серии ATC-R исполнения «В» фирмы АМЕТЕК Denmark А/S, Дания» |
|
Преобразователи давления измерительные модели 3051 TG и модели 3051 CD |
МП 14061-10 «Рекомендация. ГСИ. Преобразователи давления измерительные 3051. Методика поверки», утвержденная ФГУП ВНИИМС 08.02.2010 г. |
|
Преобразователь плотности жидкости измерительный модели 7835 |
МИ 2816-2012 «Рекомендация. ГСИ. Преобразователи плотности поточные. Методика поверки на месте эксплуатации». МИ 3240-2012 «Рекомендация. ГСИ. Преобразователи плотности жидкости поточные. Методика поверки» |
|
Влагомер нефти поточный УДВН-1пм |
МИ 2366-2005 «Рекомендация. ГСИ. Влагомеры нефти типа УДВН. Методика поверки» |
|
ИВК |
МП 0177-2-2014 «Инструкция. ГСИ. Комплексы измерительновычислительные «ОКТОПУС-Л» («OCTOPUS-L»). Методика поверки, утвержденная ГЦИ СИ ФГУП «ВНИИР» 09 сентября 2014 г. |
|
Расходомер ультразвуковой UFM 3030 |
МП 48218-11 «ГСИ. Расходомеры ультразвуковые UFM 3030, UFM 3030-300, UFM 500-030, UFM 500-300. Методика поверки», утвержденная ГЦИ СИ ФГУП ВНИИМС в сентябре 2011 г. |
|
Термометры ртутные стеклянные лабораторные ТЛ-4 |
ГОСТ 8.279-78. «Термометры стеклянные жидкостные рабочие. Методы и средства поверки». |
|
Манометры для точных измерений типа МТИ |
МИ 2124-90 «Рекомендация. ГСИ. Манометры, вакууметры, мано-вакууметры, напоромеры и тягонапоромеры показывающие и само-пишующие. Методика поверки» |
Допускается проводить калибровку расходомера ультразвукового UFM 3030 и преобразователей давления измерительных 3051 CD по соответствующим методикам поверки, приведенным в таблице 3.
-
6.4.2 Определение относительной погрешности измерений массы нефти СИКН
-
6.4.2.1 При прямом методе динамических измерений относительную погрешность измерений массы брутто нефти (5мб, %) в соответствии с ГОСТ Р 8.595 - 2004 «ГСП. Масса нефти и нефтепродуктов. Общие требования к методикам выполнения измерений» принимают равной относительной погрешности измерений массы нефти СРМ.
-
Относительная погрешность измерений массы брутто нефти не должна превышать ± 0,25 %.
-
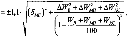
6.4.2.2 Относительную погрешность измерений массы нетто нефти в соответствии с ГОСТ Р 8.595 (8мн, %) вычисляют по формуле:

(1)
где AWb- абсолютная погрешность измерений массовой доли воды, %, при измерении в лаборатории определяется по формуле (6), при измерении объемной доли воды поточным влагомером вычисляется по формуле:
ДИ7 - • Рв(2)
Рн
где &<рв - абсолютная погрешность измерений объемной доли воды поточным влагомером, %;
рв - плотность воды при условиях измерений (рв, кг/м3;
pRH - плотность нефти при условиях измерений (рв, кг/м3;
4Wmij - абсолютная погрешность измерений массовой доли механических примесей, %;
J Wxc - абсолютная погрешность измерений массовой доли хлористых солей, %, вычисляется по формуле:
Д^с=0,1

(3)
где &(рхс - абсолютная погрешность измерений массовой концентрации хлористых солей в нефти, мг/дм3;
р^с - плотность нефти при условиях измерений (рхс, кг/м3;
Wb - максимальное значение массовой доли воды в нефти, %; при измерении объемной доли воды поточным влагомером массовая доля воды вычисляется в ИВК по формуле:

(4)
где <рв - объемная доля воды в нефти, измеренная поточным влагомером, %;
Wmii - максимальное значение массовой доли механических примесей в нефти, %;
Wxc - максимальное значение массовой доли хлористых солей в нефти, %, вычисляется по формуле:

(5)
(рхс - массовая концентрация хлористых солей в нефти, мг/дм3, определенная в лаборатории.
Абсолютные погрешности измерений массовой доли воды, массовой доли механических примесей, массовой концентрации хлористых солей в нефти по лабораторному методу определяют в соответствии с ГОСТ Р 8.580-2001 «ГСИ. Определение и применение показателей прецизионности методов испытаний нефтепродуктов».
Для доверительной вероятности Р = 0,95 и двух измерений соответствующего показателя качества нефти абсолютную погрешность его измерений А, %, вычисляют по формуле:
V2
(6)
где R и г - воспроизводимость и сходимость метода определения соответствующего показателя качества нефти.
Значения воспроизводимости и сходимости определяют:
-
- для массовой доли воды по ГОСТ 2477-65 «Нефть и нефтепродукты. Метод определения содержания воды»;
-
- для массовой доли механических примесей по ГОСТ 6370-83 «Нефть, нефтепродукты и присадки. Методы определения механических примесей»;
-
- для массовой концентрации хлористых солей по ГОСТ 21534-76 «Нефть. Методы определения содержания хлористых солей».
Воспроизводимость R метода определения массовой концентрации хлористых солей по ГОСТ 21534 принимают равной удвоенному значению сходимости г.
Относительная погрешность измерений массы нетто нефти с применением СИКН не должна превышать ±0,35 %.
7 Оформление результатов поверки-
7.1 При положительных результатах поверки оформляют свидетельство о поверке СИКН в соответствии с документом «Порядок проведения поверки средств измерений, требования к знаку поверки и содержанию свидетельства о поверке», утвержденным Приказом Минпромторга России от 02.07.2015 № 1815.
На оборотной стороне свидетельства о поверке СИКН указывают диапазон измерений расхода и пределы допускаемой относительной погрешности измерений массы (брутто, нетто) нефти.
Знак поверки наносится на свидетельство о поверке СИКН.
-
7.2 При отрицательных результатах поверки СИКН к эксплуатации не допускают, свидетельство о поверке аннулируют и выдают извещение о непригодности по форме Приложения 2 документа «Порядок проведения поверки средств измерений, требования к знаку поверки и содержанию свидетельства о поверке», утвержденного приказом Минпромторга России от 02.07.2015 № 1815.
8
