Методика поверки «Государственная система обеспечения единства измерений СИСТЕМА АВТОМАТИЗИРОВАННАЯ КОМПЛЕКСНОГО УЧЕТА ТОПЛИВНО-ЭНЕРГЕТИЧЕСКИХ РЕСУРСОВ ПРИВОЛЖСКОЙ ЖЕЛЕЗНОЙ ДОРОГИ» (PT-MП-3992-500-2017)
ФЕДЕРАЛЬНОЕ АГЕНТСТВО ПО ТЕХНИЧЕСКОМУ РЕ1УЛИРОВАНИЮ И МЕТРОЛОГИИ

ФЕДЕРАЛЬНОЕ БЮДЖЕТНОЕ УЧРЕЖДЕНИЕ «ГОСУДАРСТВЕННЫЙ РЕГИОНАЛЬНЫЙ ЦЕНТР СТАНДАРТИЗАЦИИ,
МЕТРОЛОГИИ И ИСПЫТАНИЙ В Г. МОСКВЕ»
(ФБУ «РОСТЕСТ-МОСКВА»)
УТВЕРЖДАЮ Заместитель генерального директора
СИСТЕМА АВТОМАТИЗИРОВАННАЯ КОМПЛЕКСНОГО УЧЕТА ТОПЛИВНО-ЭНЕРГЕТИЧЕСКИХ РЕСУРСОВ ПРИВОЛЖСКОЙ ЖЕЛЕЗНОЙ ДОРОГИ
Методика поверки РТ-МП-3992-500-2017 г.Москва 2017 г.Настоящая методика поверки распространяется на систему автоматизированную комплексного учета топливно-энергетических ресурсов Приволжской железной дороги (далее по тексту - систему) и устанавливает порядок проведения первичной и периодической поверок ее измерительных компонентов.
Замену отдельных технических компонентов допускается проводить без дополнительной поверки, если устанавливаемые компоненты поверены и их метрологические характеристики (далее - MX) не хуже заменяемых.
Интервал между поверками 3 года.
-
1 ОПЕРАЦИИ ПОВЕРКИ
При проведении поверки выполняют операции, указанные в таблице 1. Таблица 1 - Операции поверки
Наименование операции |
Номер пункта методики поверки |
1. Внешний осмотр |
7.1 |
2. Опробование |
7.2 |
3. Проверка автоматического считывания информации из энергонезависимой памяти измерительного компонента за период разрыва линии связи |
7.3 |
4. Проверка метрологических характеристик измерительных компонентов АСКУ ТЭР |
7.4 |
2 СРЕДСТВА ПОВЕРКИ
-
2.1. При проведении поверки применяют средства измерений и вспомогательные устройства, в соответствии с методиками поверки, указанными в описаниях типа на измерительные компоненты АСКУ ТЭР, а также приведенные в таблице 2.
Таблица 2 - Средства измерений и вспомогательные устройства
№ п/п |
Наименование |
Номер пункта НД по поверке |
1 |
Термогигрометр ИВА-6 (регистрационный номер в Федеральном информационном фонде 46434-11) |
6 |
2 |
Переносной компьютер с ПО и оптический преобразователь для работы с теплосчетчиками и с ПО для работы с радиочасами МИР РЧ-02; |
7.3,7.4.2 |
3 |
Радиочасы МИР РЧ-02 (регистрационный номер в Федеральном информационном фонде 46656-11) |
7.4.3 |
4 |
Вольтамперфазометр ПАРМА ВАФ-А (регистрационный номер в Федеральном информационном фонде по обеспечению единства измерений 22029-10) |
6 |
-
2.3. Все средства поверки должны быть исправны, поверены и иметь свидетельства (отметки в формулярах или паспортах) о поверке и/или оттиск поверительного клейма.
-
2.4. Допускается применение других основных и вспомогательных средств поверки с метрологическими характеристиками, обеспечивающими требуемые точности измерений.
-
3 ТРЕБОВАНИЯ К КВАЛИФИКАЦИИ ПОВЕРИТЕЛЕЙ
-
3.1 К проведению поверки АСКУ ТЭР Приволжской железной дороги допускают поверителей, изучивших настоящую рекомендацию и руководство по эксплуатации на систему автоматизированную комплексного учета топливно-энергетических ресурсов Приволжской железной дороги - вторая очередь, имеющих стаж работы по данному виду измерений не менее 1 года.
-
-
4 ТРЕБОВАНИЯ БЕЗОПАСНОСТИ
-
4.1 При проведении поверки должны быть соблюдены требования безопасности, установленные ГОСТ 12.2.007.0, ГОСТ 12.2.007.3, а также требования безопасности на средства поверки, поверяемые теплосчетчики, тепловычислители, преобразователи расхода, датчики температуры и давления, изложенные в их руководствах по эксплуатации.
-
-
5 УСЛОВИЯ ПОВЕРКИ
-
5.1. Условия поверки системы автоматизированной комплексного учета топливно-энергетических ресурсов Приволжской железной дороги должны соответствовать условиям ее эксплуатации, нормированным в технической документации, но не выходить за нормированные условия применения средств поверки.
-
5.2. При проведении поверки должны быть соблюдены следующие условия, если иные условия не указаны в методиках поверки на средства измерений в составе Системы:
-
- температура окружающего воздуха (20±5) °C;
-
- относительная влажность воздуха от 30 до 80 %;
-
- атмосферное давление от 86 до 107 кПа;
-
- напряжение сети питания 220± 15% В
-
- частота сети питания 50±1 Гц;
-
5.3. Поверяемые и эталонные средства измерений должны быть выдержаны перед поверкой не менее времени, указанного в их эксплуатационной документации.
-
6 ПОДГОТОВКА К ПОВЕРКЕ
-
6.1. Для проведения поверки представляют следующую документацию:
-
- описание типа АСКУ ТЭР;
-
- свидетельства о поверке измерительных компонентов, входящих в узлы учета, и свидетельство о предыдущей поверке Системы (при периодической и внеочередной поверке);
-
- паспорт-формуляр на Систему.
-
6.2. Перед проведением поверки выполняют следующие подготовительные работы:
-
- проводят организационно-технические мероприятия по доступу поверителей и персонала объектов к местам установки приборов учета, по размещению эталонов, отключению в необходимых случаях поверяемых средств измерений от штатной схемы;
-
- проводят организационно-технические мероприятия по обеспечению безопасности поверочных работ в соответствии с действующими правилами и руководствами по эксплуатации применяемого оборудования;
-
- средства поверки выдерживают в условиях и в течение времени, установленных в их методиках поверки;
-
6.3. Перед проведением поверки должны быть выполнены подготовительные работы в соответствии с требованиями методик поверки на средства измерений, входящие в состав системы.
-
7 ПРОВЕДЕНИЕ ПОВЕРКИ
-
7.1. Внешний осмотр.
-
7.1.1. При проведении внешнего осмотра устанавливают соответствие Системы следующим требованиям:
-
- наличие паспорта-формуляра с указанием комплектности Системы;
-
- комплектность Системы на соответствие паспорту-формуляру;
-
- наличие пломб на измерительных компонентах;
-
- наличие свидетельств о поверке, и/или поверительных клейм у измерительных компонентов Системы;
-
- отсутствие внешних повреждений линий связи;
-
- отсутствие дефектов, препятствующих чтению надписей и маркировки компонентов Системы, регистрации (фиксированию) показаний по дисплеям теплосчетчиков, тепловычислителей и монитору автоматизированного рабочего места (далее по тексту - АРМ);
-
- отсутствие на компонентах системы трещин, царапин, вмятин, сколов и других механических повреждений, влияющих на работоспособность компонентов Системы;
-
- отсутствие повреждений сетевых шнуров и герметичных вводов.
-
7.1.2. Результаты внешнего осмотра считаются положительными, если выполняются все требования, указанные в п.п. 7.1.1.
-
7.2. Опробование
-
7.2.1 Опробование Системы проводят путем проверки вывода на показывающие устройства системы и печать информации с различных подсистем измерений, входящих в состав Системы в соответствие с эксплуатационной документацией на Систему, а также проверки путем сличения соответствия архивов с измерительной информацией информационно-вычислительного комплекса системы (далее по тексту - ИВКС) и узлах учета. При опробовании проверяется отображение измеряемых параметров на АРМ, работоспособность и управление АСКУ ТЭР.
Результаты проверки считаются положительными, если проверки по п.7.2.1 выполнены с положительным результатом.
-
7.2.2. Проверить регистрацию и индикацию неисправности линий связи измерительных каналов.
От первичного преобразователя тестируемого канала отсоединить линию связи (связующий компонент), тестируемый связующий компонент коротко замыкается со стороны первичного измерительного преобразователя.
В указанных случаях на АРМ должно быть выдано сообщение о неисправности линий связи с указанием идентификационного номера измерительного компонента.
Результат проверки считать положительным, если указанные тесты выполняются по всем проверяемым линиям связи.
-
7.3 Проверка автоматического считывания информации из энергонезависимой памяти измерительного компонента за период разрыва линии связи.
Проверку автоматического считывания Системой информации из энергонезависимой памяти измерительного компонента за период отсутствия обмена (разрыв связи, перерыв в электропитании компонентов Системы) проводить в указанной ниже последовательности:
-
- оборвать связь между измерительным компонентом и УСПД ЭКОМ-3000(далее по тексту - У СПД);
-
- по истечении периода времени не менее двух часов связь восстановить;
-
- с измерительного компонента, входящего в состав испытуемого канала, считать базы данных архивированных значений всех измеряемых величин и параметров за интервал, включающий время отсутствия связи;
-
- по истечении периода времени не менее суток базу данных за этот интервал времени вывести на АРМ.
Примечание - Съем базы данных последних архивированных значений из приборов учета должен осуществляться при помощи технических средств и программного обеспечения, поставляемого производителем прибора учета или путем распечатки архива на печатающем устройстве.
Результаты проверки по данному пункту методики считаются положительными, если на АРМ индицируются архивные значения, соответствующие значениям, считанным непосредственно с измерительного компонента.
-
7.4 Проверка метрологических характеристик измерительных компонентов АСКУ ТЭР
На узлах учета АСКУ ТЭР проверяются измерительные компоненты (тип и заводские номера приборов) на соответствие перечню, приведенному в паспорте-формуляре.
Проверяется наличие действующих свидетельств о поверке на все измерительные компоненты, входящие в состав АСКУ ТЭР.
-
7.4.1 Расчет предела допускаемой относительной погрешности ПИК тепловой энергии воды тепловычислителями СПТ961 в составе теплосчетчиков ЛОГИКА 6961.
Расчет относительной погрешности ПИК тепловой энергии воды проводят набором средств измерений:
-
- теплосчетчики класса С по ГОСТ Р 51649-2000 для закрытых систем теплоснабжения (ЗВСТ),
-
- теплосчетчики класса II по ГОСТ Р 8.591-2002 для открытых систем теплоснабжения (ОВСТ),
-
- термопреобразователи сопротивления класс А по ГОСТ 6651-2009.
(in
где:
- вычисленная относительная погрешность тепловой энергии воды;
$3В= ± 0,02 % - относительная погрешность теплосчетчика при вычислении тепловой энергии воды (по описанию типа на тепловычислитель СПТ961);
Расчет для закрытых систем теплоснабжения (ЗВСТ) проводят
по ГОСТ Р 51649-2000, класс С:
<5Qj = ±(2+4Atmin/At+0,01 Gb/G) (1.2)
при Atmin >3 °C,
где: Gb - наибольшее значение расхода,
Atmin - наименьшее значение разности температур в подающем и обратном трубопроводе.
Таблица 2
№ узлов учета |
Atmin, °C |
At, °C |
Ду, ММ |
Диапазон измерений ИИК объемного расхода |
Gb/G |
#21,% |
#2,% |
Полученные значения относительной погрешности ИИК тепловой энергии воды для узлов учета закрытых систем теплоснабжения АСКУ ТЭР не должны превышать значений, указанных в описании типа на систему.
-
7.4.2 Проведение измерений при поверке ИИК объемного расхода воды (подсистемы учета ТЭ воды, ХВС (подпитки ТЭ)) расходомерами, входящими в состав теплосчетчика ЛОГИКА 6961.
7.4.2.1 Расчет относительных погрешностей ИИК объемного расхода воды по формуле:
(1.4)
где:
-
- 8Gi - предел относительной погрешности ИИК объемного расхода воды (по описанию типа на расходомеры;
-
- 8GBh = ± 0,05 % - относительная погрешность сигналов импульсов тепловычислителем СПТ 961).
<5М = ^(8G)2 + (ф)2 + (8МВ)2
(1-5)
где: 8G - предел относительной погрешности ИИК объемного расхода воды (расчетная);
8р - относительная погрешность плотности воды (для воды в диапазонах расхода для расходомеров АСКУ ТЭР 8р < ± 0,05 %);
<ЯМВ = ± 0,02 % - относительная погрешность теплосчетчика при вычислении массового расхода воды (из описания типа на тепловычислитель СПТ961).
Таблица 3
№ узлов учета |
Ду, мм |
Диапазон измерений ИИК объемного расхода |
Тип расходомера и класс точности |
Gb/G |
8G |
8М |
1 |
2 |
3 |
4 |
5 |
6 |
7 |
Относительная погрешность объемного расхода воды и массового расхода воды при заданных в системе диапазонах объемного расхода не должна выходить за допустимые для преобразователей расхода, входящих в состав теплосчетчиков ЛОГИКА 6961 значения, при которых соблюдаются требования - не более ± 2%.
-
7.4.3 Проведение измерений при определении относительных погрешностей ИИК массового расхода пара и ИИК тепловой энергии пара (подсистемы учета пара) расходомерами, входящими в состав теплосчетчика ЛОГИКА 6961.
7.4.3.1 Расчет относительной погрешности ИИК массового расхода пара согласно МИ 2451-98:
8МХ = ^8VX2 +&2pT-8t2 +&2рР-8Р2 (1.6)
(8р)2= &2рТ ■ 8t2 + 32рР ■ 8Р2 < 6,4 % (для пара);
8р < ± 2,5 % (для пара).
Относительная погрешность ИИК массового расхода пара вычисляется по формуле:
<5М = д/(^1 У +W +W)2 (1.7),
где:
- 8Vi~ предел относительной погрешности расхода пара;
- <5р - относительная погрешность плотности пара (для пара в диапазонах расхода для расходомеров АСКУ ТЭР Зр < ± 2,5 %);
<?МВ= ± 0,02 % - относительная погрешность теплосчетчика при вычислении массового расхода пара (из описания типа на тепловычислитель СПТ961).
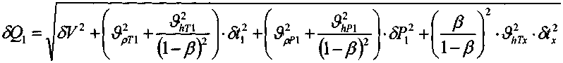
7.4.1.6.3 Расчет относительной погрешности ИИК тепловой энергии пара согласно МИ 2451-98:

(1-8),
где:
<5 V — пределы относительной погрешности измерений канала объема, %;
dt; - пределы относительной погрешности измерений канала температуры пара, %;
SP] - пределы относительной погрешности измерений канала абсолютного давления пара, %;
0рт1 - относительный |
коэффициент |
чувствительности |
плотности |
пара |
к |
изменению |
температуры; 0рР1 - относительный |
коэффициент |
чувствительности |
плотности |
пара |
к |
изменению |
абсолютного давления пара; | ||||||
0hTi - относительный |
коэффициент |
чувствительности |
энтальпии |
пара |
к |
изменению |
температуры; 0hPi ~ относительный |
коэффициент |
чувствительности |
энтальпии |
пара |
к |
изменению |
абсолютного давления пара;
dtx - пределы относительной погрешности измерений канала температуры воды, %;
&hTx ~ относительный коэффициент чувствительности энтальпии воды к изменению температуры;
р - коэффициент, рассчитываемый по формуле
(1.9)
где:
hi - энтальпия пара, кДж/кг; hx - энтальпия воды, кДж/кг.
Составные части погрешности.
Пределы относительной погрешности измерений канала температуры пара
(1.10)
& =^--100%,
h
где
Ati - пределы абсолютной погрешности измерений канала температуры пара, °C; ti - температура пара, °C.
=ур ?мах\ ~ (1’11)
где
yPi - пределы приведенной к диапазону измерений погрешности измерений канала абсолютного давления пара, %;
Pmini ~ нижний предел диапазона измерений канала абсолютного давления пара, МПа;
Pmaxi ~ верхний предел диапазона измерений канала абсолютного давления пара, МПа;
Pi - абсолютное давление пара, МПа.
Относительный коэффициент чувствительности плотности пара к изменению температуры пара
_ ДА 2l (1Л2)
^рТ\ ~ А, >
ДГ1 А
где
Api - изменение плотности пара при изменении температуры пара на величину Ati; tj - температура пара, °C;
pi - плотность пара, кг/м3.
Относительный коэффициент чувствительности плотности пара к изменению абсолютного давления пара
п к (1Л3)
&рР\ ~ Л п ’
А?! А
где
Apt - изменение плотности при изменении абсолютного давления пара на величину ДРь
Pi - абсолютное давление пара, МПа; р - плотность пара, кг/м3.
Относительный коэффициент чувствительности энтальпии пара к изменению температуры пара 9 =^Л <1Л4)
АП Д^ \ ’
где
Ahi - изменение энтальпии пара при изменении температуры пара на величину Дй;
ti - температура пара, °C;
hi - энтальпия пара, кДж/кг.
Относительный коэффициент чувствительности энтальпии пара к изменению абсолютного давления пара
9 А <1Л5)
А1Р1 _ А П ’ 7 ’
дд \
где
Ahj - изменение энтальпии пара при изменении абсолютного давления пара на величину ДРь
Pi - абсолютное давление пара, МПа;
лист № 10
Всего листов 18
hi - энтальпия пара, кДж/кг.
(1.16)
St = ^-100%,
t
X
где
Atx - пределы абсолютной погрешности измерений канала температуры воды, °C; tx - температура воды, °C.
Относительный коэффициент чувствительности энтальпии воды к изменению температуры воды

(1-17)
где
Ahx - изменение энтальпии воды при изменении температуры воды на величину Atx;
tx - температура воды, °C;
hx - энтальпия воды, кДж/кг.
Относительный коэффициент чувствительности энтальпии воды к изменению абсолютного давления воды
Q _ АЛ Л ^hPx . п J > АЛ hx |
(1-18) |
где
Ahx- изменение энтальпии воды при изменении абсолютного давления воды на величину АРХ; Рх - абсолютное давление воды, МПа;
hx - энтальпия воды, кДж/кг.
Составляющие формулы (1.9) относительные погрешности плотности и энтальпии пара и воды:
( Q2 А
л2 , _улп_
8сост ~ 3,6 °/о.
с 2 ^сост
■ 8Р? +
•&lTx -Stx < 13,44 % (для пара);
Относительная погрешность ПИК массового расхода пара вычисляется по формуле: «2 = 7(^)2+fcj+(«.)!
где:
-8Vj- предел относительной погрешности расхода пара;
<5МВ= ± 0,02 % - относительная погрешность теплосчетчика при вычислении тепловой энергии пара (из описания типа на тепловычислитель СПТ961).
Таблица 4
№ узлов учета |
Ду 5 мм |
Диапаз он измерений НИК объемного расхода |
Тип расходомера и класс точности |
Vb/V |
5V |
5Mi |
5М |
SQi |
5Q |
1 |
2 |
3 |
4 |
5 |
6 |
7 |
8 |
9 |
10 |
Полученные результаты расчетов относительной погрешности при измерении массового расхода пара считаются положительными, если относительная погрешность при измерении массового расхода пара не превышает ± 3 %.
Полученные результаты расчетов относительной погрешности при измерении тепловой энергии пара считаются положительными, если относительная погрешность при измерении тепловой энергии пара не превышает ± 4 %.
-
7.4.1.7 Определение относительных погрешностей ПИК температуры воды и ПИК температуры пара (подсистемы учета пара, ТЭ, ХВС (подпитки ТЭ)) термометрами сопротивления из платины техническими ТПТ-1-3 и комплектами термопреобразователей сопротивления КТСПР-01, входящими в состав теплосчетчика ЛОГИКА 6961.
Определение погрешности проводят по формуле:
At = At 1 + AtB
, где:
- абсолютная погрешность первичного преобразователя температуры, °C (по его свидетельству о поверке);
^в = ± ОД °C измерение сигналов сопротивления (без учета погрешности термометров сопротивления), °C (по описанию типа на тепловычислитель).
В системе применены преобразователи температуры класса допуска А по
ГОСТ Р 8.625-2006.
Формула для расчета:
Atl = ±(0,15 + 0,002-|t|) °C (1.21)
Диапазон измерений температуры:
-
- от плюс 40 до плюс 100 °C;
-
- от плюс 2 до плюс 20 °C (подсистема ХВС);
-
- плюс 120 до плюс 240 °C (подсистема пара);
-
- плюс 60 до плюс 100 °C (подсистема мазута).
Полученные значения абсолютной погрешности ИИК температуры t считаем положительными, если в системе применены преобразователи температуры класса допуска А по ГОСТ Р 8.625-2006 и рассчитанная абсолютная погрешность ИИК температуры t не превышает предела абсолютной погрешности температуры, указанной в описании типа на систему.
-
7.4.1.8 Определение приведенных погрешностей ИИК давления воды (подсистемы учета пара, ТЭ, ХВС (подпитки ТЭ), мазута) датчиками давления Метран-55, входящими в состав теплосчетчиков ЛОГИКА 6961.
Расчет приведенной погрешности ИИК избыточного давления воды (подсистемы: ТЭ воды, ХВС (подпитки ТЭ воды), мазута).
Расчет приведенной погрешности ИИК избыточного давления на подсистемах учета ТЭ воды, ХВС, мазута проводят для каналов Системы, применяемых в этих подсистемах, расчетным путем.
Расчет погрешности проводят по формуле
)?=^\)2+м2 (1'22)
где:
API - приведенная погрешность первичного преобразователя давления (по его свидетельству о поверке и описанию типа), %;
АРв = ± 0,05 %- приведенная погрешность вторичного прибора (тепловычислителя) при измерении сигналов 4-20 мА (по описанию типа тепловычислителя СПТ961), % .
Полученные значения приведенной погрешности ИИК избыточного давления считаем положительными если они не превышают предела приведенной погрешности избыточного давления, указанной в описании типа на систему.
-
7.4.1.8.1 Расчет приведенной погрешности ИИК давления пара (подсистема пара).
По паспорту на датчик давления Метран-55 при диапазонах измерений ИИК избыточного давления пара от 0,2 до 1,4 МПа значения пределов приведенной погрешности измерений избыточного давления пара не превышают пределов приведенной погрешности измерений избыточного давления, указанной в требованиях «Методики осуществления коммерческого учета тепловой энергии теплоносителя».
По описанию типа на датчик давления Метран-55 при диапазонах измерений от 0,2 до 1,4 МПа значения пределов приведенной погрешности измерений избыточного давления -yPi = ±0,5 %.
Расчет приведенной погрешности ИИК избыточного давления в подсистемах учета пара проводим расчетным путем.
Расчет погрешности проводят по формуле
^=7(^1)2+(^в)2 (L23)
где:
APi - приведенная погрешность первичного преобразователя давления (по его свидетельству о поверке и описанию типа), %;
АРв = ± 0,05 %- приведенная погрешность вторичного прибора (тепловычислителя) при измерении сигналов 4-20 мА (по описанию типа тепловычислителя СПТ961), %
-
7.4.1.9 Определение относительных погрешностей ИИК массового расхода мазута (подсистема учета мазута) расходомерами, входящими в состав теплосчетчика ЛОГИКА 6961.
-
7.4.1.9.1 Поверка расходомеров массовых Promass 80F проводится по методике поверки, изложенной в МП 15201-11 (с Изменением №1) «ГСИ. Расходомеры массовые Promass. Методика поверки». Погрешность расходомера при измерении массы определяют по п. 7.4.1 МП 15201-11 (с Изменением №1) сравнением значений массы, измеренной расходомером с показаниями поверочной проливной установки в двух точках, соответствующих 0,05Qmax, и 0,2...0,9 Qmax, где Qmax - максимальный предел измерений расходомера (для Ду>80 мм допускается 0,05Qmax, 0,1.. .0,3Qmax).
-
7.4.1.9.3 Расчет ИИК массового расхода мазута узлов учета №21, 22.
Расчет ИИК массового расхода мазута проводим по формуле:
<5М = +(SM„)2 (124)j
где:
SMI - предел относительной погрешности массового расхода мазута (из карты заказа от изготовителя на расходомеры массовые Promass 80F при диапазоне измерений массового расхода мазута узлов учета 21, 22). В карте заказа на поверенные массовые расходомеры Promass 8 OF должны быть указаны диапазоны измерения массы мазута с пределами относительных погрешностей массы мазута, удовлетворяющих рекомендациям, представленным в ГОСТ 8.595-2004 «ГСИ. Масса нефти и нефтепродуктов. Общие требования к методикам выполнения измерений»,
<^в = ± 0,02 % - относительная погрешность теплосчетчика при вычислении параметров (из описания типа на тепловычислитель СПТ961).
Полученные результаты расчетов относительной погрешности измерений массового расхода мазута считаются положительными, если относительная погрешность при измерении массы мазута не превышает ±0,25 %, что удовлетворяет рекомендациям, представленым в ГОСТ 8.595-2004 «ГСИ. Масса нефти и нефтепродуктов. Общие требования к методикам выполнения измерений».
-
7.4.1.10 Расчет абсолютной погрешности ИИК температуры воздуха проводят расчетным путем при минимальной и максимальной температурах воздуха.
В системе применены преобразователи температуры ТПТУ класса допуска 0,5 по
ГОСТ Р 8.625-2006.
Диапазон измерений температуры воздуха:
- от плюс 5 до плюс 50 °C.
Полученные значения абсолютной погрешности ИИК температуры воздуха t считаем положительными, если рассчитанная абсолютная погрешность ИИК температуры t не превышает предела абсолютной погрешности температуры, указанной в описании типа на систему.
-
7.4.1.11 Результаты поверки считаются положительными, если:
-
- тип и заводской номер каждого измерительного компонента соответствуют паспорту-формуляру на АСКУ ТЭР;
каждый измерительный компонент имеет действующее свидетельство (или соответствующую запись в паспорте) о поверке, выданные метрологической службой, аккредитованной на право поверки данного типа средств измерений;
-
- диапазоны измерений ИИК АСКУ ТЭР соответствуют заявленным в паспорте-формуляре и не выходят за границы диапазонов измерений измерительных компонентов теплосчетчика;
-
- расчетные и вычисленные значения пределов погрешностей ИИК теплосчетчика не превышают пределов нормированных погрешностей ИИК, указанных в описании типа АСКУ ТЭР.
-
7.4.2 Проверка погрешности передачи измеренных значений
Проверка погрешности передачи измеренных значений проводится в следующей последовательности:
-
- с электронного блока измерительного компонента, входящего в состав испытуемого узла учета, считать базы данных архивированных значений всех измеряемых величин и параметров за фиксированный интервал времени;
-
- базы данных за тот же интервал времени вывести на монитор компьютера АРМ: на мониторе АРМ должны индицироваться архивные значения, соответствующие значениям, считанным непосредственно с вычислителя измерительного компонента.
Примечание - Съем базы данных последних архивированных значений из приборов учета должен осуществляться при помощи технических средств и программного обеспечения, поставляемого производителем прибора учета или путем распечатки архива на печатающем устройстве.
Результаты проверки считаются положительными, если архивные значения на мониторе АРМ совпадают с соответствующими значениями, снятыми непосредственно с измерительного компонента (теплосчетчика).
-
7.4.3 Проверка абсолютной погрешности и синхронизации внутренних часов компонентов ИИК узлов учета АСКУ ТЭР
-
7.4.3.1 Подключают радиочасы «МИР РЧ-02» к переносному компьютеру и настраивают на нём точное время. После этого проверяется показание часов приборов учета и определяется разница показаний с переносным компьютером.
Сверить показания радиочасов «МИР РЧ-02» с показаниями часов устройства синхронизации времени в УСПД ЭКОМ-3000, сервере и теплосчетчиках и определить поправки: Лйуспд, AtiTC4i (где i - номер теплосчетчиков), Дйивкс-
-
7.4.3.2 Спустя 24 ч распечатать журнал событий всех компонентов АСКУ ТЭР, имеющих встроенные программные часы (сервер, УСПД ЭКОМ-ЗООО и теплосчетчики) выделив события, соответствующие синхронизации часов сервера, УСПД и теплосчетчиков. Определить поправки: At2ycn& At2TC4i (где i - номер теплосчетчика), А1гивкс- Рассчитать абсолютную погрешность внутренних часов УСПД ЭКОМ-ЗООО, теплосчетчиков и сервера как разность поправок: АД1 = At2 - Ati.
Абсолютная погрешность внутренних часов УСПД ЭКОМ-ЗООО, сервера и теплосчетчиков в момент предшествующий коррекции не должна превышать предела допускаемой абсолютной погрешности внутренних часов компонентов АСКУ ТЭР, указанного в описании типа АСКУ ТЭР.
Результаты проверки считаются положительными, если абсолютная погрешность внутренних часов компонентов АСКУ ТЭР не превышают ±5 с.
-
7.4.4 Проверка программного обеспечения.
Проверка Цифрового идентификатора программного обеспечения происходит на сервере и УСПД ЭКОМ-ЗООО, где установлены соответственно ПО ПК «Энергосфера» и ПО УСПД ЭКОМ-ЗООО.
Метрологически значимой частью специализированного программного обеспечения ПК «Энергосфера» является библиотека - файл pso_metr.dll.
Идентификационные данные библиотеки pso_metr.dll приведены в описании типа на систему.
Метрологически значимой частью ПО УСПД ЭКОМ-ЗООО является специализированная библиотека - файл libecom.so.
Идентификационные данные библиотеки libecom.so приведены в описании типа на систему.
Метрологические характеристики АСКУ ТЭР нормированы с учетом влияния ПО ПК «Энергосфера» и ПО УСПД ЭКОМ-ЗООО.
Для проверки на сервере запускается менеджер файлов, позволяющих производить хэширование файлов (например, Unreal Commander v0.96). В менеджере файлов, необходимо открыть каталог и выделить следующие файлы: pso_metr.dll (ПО ПК«Энергосфера), libecom.so (ПО УСПД ЭКОМ-ЗООО).
Далее в закладке Файл Главного меню выбрать команду - Просчитать хэш. После чего получится соответствующее выделенным файлам количество файлов, содержащих код MD5 в текстовом формате. При этом наименование файла MD5 строго соответствует наименованию файла, для которого проводилось хэширование.
Результат проверки считать положительным, если полученное количество файлов, содержащих код MD5 в текстовом формате совпадают с контрольной суммой исполняемого кода.
-
8 ОФОРМЛЕНИЕ РЕЗУЛЬТАТОВ ПОВЕРКИ
-
8.1 На основании положительных результатов первичной или периодической поверки заполняется протокол поверки (форма протокола поверки приведена в Приложении А настоящей методики) и выдается свидетельство о поверке на АСКУ ТЭР, оформленное в соответствии с приказом Министерства промышленности и торговли Российской Федерации № 1815 от 02.07.2015 г. В приложении к свидетельству о поверке указывается перечень и состав поверенных ИК..
-
8.2 При отрицательных результатах поверки одного или нескольких измерительных каналов выдается извещение о непригодности канала (каналов), оформленное в соответствии с приказом Министерства промышленности и торговли Российской Федерации № 1815 от 02.07.2015 г. с указанием причин непригодности. В этом случае в свидетельстве о поверке указывается перечень только тех измерительных каналов, которые прошли поверку с положительным результатом. Измерительные каналы с отрицательным результатом поверки к эксплуатации не допускаются. После получения положительных результатов поверки данных каналов, выдается свидетельство о поверке с указанием даты очередной поверки, соответствующей дате очередной поверки всех каналов измерительно-информационных АСКУ ТЭР в целом.
-
ФБУ «Ростест-Москва»
Заместитель начальника центра № 500
Р. В. Деев
ПРИЛОЖЕНИЕ А
(обязательное) Форма протокола поверки ПРОТОКОЛ ПОВЕРКИ №______«__»____20_г.-
1 Система автоматизированная комплексного учета топливно-энергетических ресурсов Приволжской железной дороги
-
2 Зав.№
-
3 Средства поверки:_________________________________________________________
-
5 Результаты внешнего осмотра АСКУ ТЭР: соответствует (не соответствует)
требованиям п.7.1.1 РТ-МП-3992-500-2017
-
6 Результаты опробывания (функционирование и управление АСКУ ТЭР): соответствует
(не соответствует) требованиям п. 7.2 РТ-МП-3992-500-2017
-
7 Результаты проверки регистрации и индикации неисправности линий связи
-
8 Результаты проверки автоматического считывания информации из энергонезависимой
-
9 Результаты проверки измерительных компонентов (типов и заводских номеров
приборов) на соответствие перечню, приведенному в паспорте-формуляре, наличия действующих свидетельств о поверке и соответствующих записей в паспорте-формуляре на все измерительные компоненты, входящие в состав системы: соответствует (не соответствует) требованиям п. 7.4.1 РТ-МП-3992-500-2017______________________________________________,
-
10 Результаты проверки погрешности измеренных значений ПИК: проведено в
соответствии п. 7.4.2 РТ-МП-3992-500-2017 _____,
Результаты проверки суточного хода часов компонентов АСКУ ТЭР: проведено в соответствии п. РТ-МП-3992-500-2017____________________________________________,
-
11 Результаты проверки (идентификации) программного обеспечения: соответствует (не соответствует) требованиям п. РТ-МП-3992-500-2017_____________________________,
РЕЗУЛЬТАТЫ ПОВЕРКИ
Результаты проверки абсолютной погрешности внутренних часов компонентов АСКУ
ТЭР в соответствии п. 7.4.3 РТ-МП-3992-500-2017 приведены в таблице П.З. Таблица П.З
Тип компонен та Системы |
Показание часов компонента Системы |
Показание радиочасов «МИР РЧ-02», с |
Поправка 1 |
Поправка 2 |
Суточн ый ход часов компон ента Систем ы |
допуск аемый суточн ый ход часов |
Заключен ие | ||
Настоя щее, tlCMi, с |
Через 24 часа, Ьгси1 , С |
Настоящ ее, tipqi ! С |
Через 24 часа, t2P4i ! С |
Atn - tlCMi" tlP4i, с |
At2i . t2CMi* t2P4i, c |
Ддь = At2 Atx, с |
не превы шает ±5 с | ||
6 ЗАКЛЮЧЕНИЕ ПО РЕЗУЛЬТАТАМ ПОВЕРКИ
По результатам поверки АСКУ ТЭР признан пригодным к выполнению измерений. Выдано свидетельство о поверке №____от «__»_______20_ г.
Поверку проводил
подпись
инициалы, фамилия