Методика поверки «Приставка для рентгеновской энергодисперсионной спектроскопии (EDXS)-XMX1013» (Код не указан!)
УТВЕРЖДАЮ
Генеральный директор О «НИЦПВ»

В.Д. Войтко
s н («НИЦПВу*
2017 г.
Приставка для рентгеновской энергодисперсионной спектроскоп пи (EDXS) - ХМХ1013
Методика поверки
г. Москва
2017 г.
1 ОБЛАСТЬ ПРИМЕНЕНИЯ-
1.1 Настоящая методика распространяется на приставку для рентгеновской энерго дисперсионной спектроскопии (EDXS) - ХМХ1013, изготовленную фирмой «Oxford Instruments pic» (Великобритания) (далее - прибор), используемую совместно со сканирующим электронным микроскопом (далее - СЭМ). Прибор предназначен для измерений содержания химических элементов в твердых образцах. Настоящая методика устанавливает методы и средства первичной и периодической поверок прибора.
-
1.2 Интервал между поверками 1 год.
В настоящей методике использованы нормативные ссылки на следующие нормативные документы:
ГОСТ 6008-90. Марганец металлический и марганец азотированный. Технические условия.
ГОСТ Р 8.736 -2011. Государственная система обеспечения единства измерений. Измерения прямые многократные. Методы обработки результатов измерений. Основные положения.
ГСССД МЭ 222 - 2014. Методика экспериментально-расчетного определения рентгеноспектральных характеристик контрольных образцов (образцов сравнения) для калибровки рентгеновских спектрометров.
3 ОПЕРАЦИИ ПОВЕРКИПри проведении поверки выполняют операции, указанные в таблице 1.
аблица 1 - Операции, выполняемые при проведении поверки
№ п/ п |
Наименование операций |
Раздел |
Обязательность проведения операций при | |
первичной поверке |
периодической поверке | |||
1 |
Внешний осмотр, проверка комплектности. Идентификация программного обеспечения. |
8.1 |
да |
да |
2 |
Проверка работоспособности прибора |
8.2 |
да |
да |
3 |
Определение энергетического разрешения на линии Мп Kai,2 (5,895 кэВ) |
8.3.1 |
да |
да |
4 |
Определение максимальной скорости счета прибора |
8.3.2. |
да |
да |
5 |
Определение СКО выходного сигнала |
8.3.3 |
да |
да |
6 |
Определение диапазона измерений массовой доли элементов |
8.3.4 |
да |
да |
7 |
Определение относительного СКО случайной погрешности измерений массовой доли элементов |
8.3.5 |
да |
да |
8 |
Определение относительной погрешности измерений массовой доли элементов |
8.3.6 |
да |
да |
-
4.1 При проведении поверки применяются стандартные образцы, вещества и средства измерений, указанные в таблице 2.
Таблица 2 - Стандартные образцы, вещества и средства измерений, используемые при поверке
Номер пункта по методике поверки |
Обозначение образца в данной методике поверки |
Марка или химический состав стандартного образца, марка средства измерений |
Нормативный документ или номер ГСО |
6.2
|
ПО-1 |
СО состава марганца металлического типа МН95(Ф5) или марганец марок Мн998 или Мн997 |
ГСО 1095-90П ГОСТ 6008-90. |
|
ПО-2 |
СО состава бронзы типа БрОСН7-13-Зл (комплект Ml79, индекс СО в составе комплекта 1793) |
ГСО 6044-91/6048-91. |
-
4.2 Поверхность образцов ПО-1 - ПО-6 должна быть отполирована в соответствии с требованиями технической документации прибора.
-
4.3 Рентгеноспектральные характеристики ПО-1 устанавливают в соответствии с ГСССД МЭ 222-2014.
-
4.4 Допускается использование других средств поверки, по характеристикам, не уступающим указанным.
-
5.1 Требования безопасности должны соответствовать рекомендациям, изложенным в техническом описании на прибор.
-
5.2 При проведении поверки должны соблюдаться:
а) Основные санитарные правила обеспечения радиационной безопасности СП
2.6.1.2612-10;
б) Нормы радиационной безопасности НРБ -99/2009, Санитарные правила и нормативы СанПиН 2.6.1.2523-09.
-
5.3. Дополнительные требования могут быть изложены в Инструкциях по технике безопасности для сотрудников предприятия, включая Инструкции по охране труда при работе на рентгеновских аппаратах (установках), Инструкцию по технике безопасности при работе с легковоспламеняющимися и огнеопасными жидкостями.
-
6.1 К проведению измерений для поверки допускаются лица:
-
- прошедшие обучение и имеющие удостоверения поверителя для данного вида измерений;
-
- знающие основы рентгеноспектрального анализа;
-
- имеющие опыт работы с рентгеновскими установками для определения состава веществ и материалов;
-
- изучившие техническое описание и Методику поверки данного прибора;
-
- допускаются к участию в измерениях операторы, имеющие опыт работы на установках для определения характеристик состава твёрдых веществ - установки рентгеновские- и прошедшие обучение, сдавшие соответствующие экзамены по охране труда и технике безопасности.
-
7.1 При проведении поверки должны быть соблюдены следующие условия:
-
- температура окружающего воздуха, °C
от 17 до 25; от 84 до 106,7;
80.
-
- атмосферное давление, кПа
-
- максимальное значение относительной влажности воздуха %
-
8.1.1 Проводится проверка на соответствие технической документации (требованиям фирмы-изготовителя прибора), комплектности, маркировке, упаковке, требованиям безопасности, опробование. Осматривают поверяемый прибор, убеждаются в исправности заземления, отсутствии внешних повреждений, наличии защитных заслонок на окнах рентгеновской трубки, исправности вентиляции.
-
8.1.2 Проверку идентификационных данных программного обеспечения (ПО) проводят путем открытия на диске управляющего компьютера файла «AZtec.exe». В рабочем окне программы необходимо отобразить версию ПО. Версия ПО должна соответствовать данным, приведённым в таблице 3.
Результат поверки является положительным, если идентификационное наименование и версия ПО соответствуют сведениям, приведенным в таблице 3.
Таблица 3 - Идентификационные данные программного обеспечения
Идентификационные данные (признаки) |
Значение |
Идентификационное наименование ПО |
AZtec |
Номер версии (идентификационный номер) ПО |
3.1 |
-
8.2.1 Включить СЭМ и прибор в соответствии с их инструкциями по эксплуатации.
-
8.2.2 Установить в камеру образцов СЭМ ПО-1.
-
8.2.3 Провести откачку камеры образцов СЭМ и внутреннего объема прибора.
-
8.2.4 Измерить с помощью встроенного вакуумметра остаточное давление в камере образцов при достижении рабочего вакуума с открытым клапаном спектрометра.
8.2.5. Включить высокое напряжение на СЭМ и убедиться, что осуществляется его регулировка в пределах 2 -30 кВ.
-
8.2.6 В соответствии с инструкцией по эксплуатации прибора произвести набор спектра ПО-1. Убедится в присутствии в набранном спектре линии Мп Kai,2 (5,895 кэВ).
-
8.2.7 Установить на СЭМ ускоряющее напряжение 30 кВ и ток электронного зонда 50 нА. С помощью дозиметра рентгеновского излучения ДКР-АТИОЗМ измерить значение мощности эквивалентной дозы рентгеновского излучения на расстоянии 10 см от элементов конструкции поверяемого прибора.
-
8.2.8 Прибор считается годным к поверке, если остаточное давление в камере образцов при открытом клапане и протекающем измерительном газе не превосходит 5х10'5 мм рт. ст, диапазон регулирования ускоряющего напряжения СЭМ от 2 до 30 кВ.
-
8.3. Определение метрологических характеристик
-
-
8.3.1.1 Установить в камеру образцов ПО-1 и произвести откачку.
-
8.3.1.2 Установить ускоряющее напряжение СЭМ 15 кВ. На приборе установить максимальное число каналов регистрации спектра и максимальную селективность. Установить живое время набора не менее 100 с.
-
8.3.1.3 Регулировкой тока зонда добиться интенсивности спектра не более 20000 имп/с. Произвести запись спектра.
-
8.3.1.4 Если версия ПО, инсталлированная у пользователя, позволяет, измерить энергетическое разрешение средствами ПО. Если такой возможности нет, выполнить указанные ниже операции по пп. 8.3.1.5 - 8.3.1.9.
-
8.3.1.5 Экспортировать полученный спектр в формат EMSA средствами ПО прибора (для этого необходимо кликнуть правой клавишей мышки на изображении набранного спектра, в выпадающем меню выбрать Export, затем EMSA). Сохранить спектр в полученном формате под именем под именем Mn.emsa.
-
8.3.1.6 Структура текстового файла в формате EMSA представлена в Приложении А. Спектр представляет собой массив данных A={Ij,Ej}, где Ij,Ej - значения интенсивности рентгеновского излучения и энергии фотонов соответственно, переносят в программу OriginPro 81 или аналогичную для дальнейшей обработки, формируя файл с данными в этой программе.
-
8.3.1.7 Из полученных в п. 8.3.1.6 массива данных для каждого поверочного образца Ai={Ij,Ej} выделяют массив Bi={Ij<,Ek} соответствующий диапазону энергий (ориентировочные значения) от 5695 эВ до 6095 эВ. Эти точки должны соответствовать выходу пика на уровень фона со стороны меньшей и большей энергий от максимума.
-
8.3.1.8 Зависимость интенсивности рентгеновского излучения от энергии фотонов Bj={Ik,Er} аппроксимируют с помощью четырехпараметрической модели:
/1(Е) = /Ф,+Л|ехр(-^5А^ (1)
где /;(Е) интенсивность характеристического рентгеновского излучения, число импульсов за 100 с;
/ф. - интенсивность фона, число импульсов за 100 с;
А, - спектральная интенсивность характеристической линии, число импульсов за 100 с;
Е - энергия фотона, эВ;
Ер. - энергия фотона, соответствующая значению спектральной интенсивности, эВ; wt - параметр, характеризующий ширину линии, эВ.
В программе OriginPro 8 этому соответствуют следующие действия: в меню Analysis выбрать пункт Fitting, в появившемся выпадающем меню пункт Non Linear Curve Fit. В появившемся окне диалога выбрать пункт Function Selections, в окне Category выбрать из выпадающего меню Peak Functions, затем в пункте Category выбрать функцию GaussAmp, которая соответствует модели (6). Осуществить аппроксимацию и в окне данных считать значения параметра wt.
-
8.3.1.9 Энергетическое разрешение спектрометра на линии Ксц.2 ссоответствующего элемента Д£), эВ, вычисляют по формуле:
ДБ) = 2,3548 • wi (2)
где • Wi , параметр, вычисленный в п. 8.3.1.8, эВ.
-
8.3.1.10 Прибор считается годным, если полученное в п. 8.3.1.5 или вычисленные по формуле (2) значение энергетического разрешения не превосходит 136 эВ.
Измерение интенсивности рентгеновского излучения должно осуществляться на линейном участке зависимости регистрируемой интенсивности от числа поступающих на вход спектрометра квантов рентгеновского излучения в единицу времени. Максимальная скорость счета соответствует верхней границы линейной зависимости выходного сигнала детектора от интенсивности (числа рентгеновских квантов в единицу времени) поступающего на вход детектора рентгеновского излучения. Изменение числа поступающих в единицу времени квантов рентгеновского излучения при поверке достигают изменением тока электронного зонда РЭМ, контроль тока зонда осуществляют, измеряя ток поглощенных поверочным образцом электронов. Проверяют линейность участка зависимости регистрируемой интенсивности рентгеновского излучения от поглощенного поверочным образцом тока электронного зонда.
-
8.3.2.1 Установить в камеру образцов РЭМ поверочный образец ПО-1. В случае отсутствия возможности измерений поглощенного тока средствами СЭМ, подключить внешний пикоамперметр к разъему поглощенного тока образца (необходимый диапазон измерений 100 пА-60 нА).
-
8.3.2.2 В соответствии с инструкцией по эксплуатации СЭМ установить ускоряющее напряжение РЭМ 25 кВ, с помощью ПО прибора установить живое время набора спектра 100с, шкалу 10 эВ/канал, энергетический диапазон шкалы 0- 20 кэВ, время обработки импульсов - соответствующее максимальной селективности.
-
8.3.2.3 Используя регулировку тока электронного зонда СЭМ определить значение поглощенного тока zm/„, соответствующее полной регистрируемой интенсивности рентгеновского излучения 1000±100 имп/с и значение поглощенного тока imax, соответствующее полной регистрируемой интенсивности рентгеновского излучения, соответствующей максимальной скорости счета 200000±500 имп/с.
-
8.3.2.4 Используя регулировку тока электронного зонда СЭМ убедится, что между значениями поглощенного образцом тока imin и imax возможно установить N-2 промежуточных значения поглощенного тока in (ii = imin, h, --, In-i, In = imax)-Рекомендованное значение N=10.2
-
8.3.2.5 Последовательно устанавливая значения поглощенного образцом тока, используя регулировку тока электронного зонда СЭМ для каждого значения in произвести по М наборов спектра. Рекомендованное значение М не менее 5. Все полученные спектры экспортировать в формат EMSA (м. п. 8.3.1.5) и сохранить полученные текстовые файлы.
-
8.3.2.6 На основе полученных в п. 8.3.2.5 данных вычислить полные регистрируемые интенсивности рентгеновского излучения Inj, имп/с, (с использованием программы Origin Pro 8 или аналогичной) по формуле:
(3)
где tiive - живое время набора спектра, с (tUve = 100 с);
/ - номер канала, соответствующий энергии фотонов 0,1 кэВ; т - номер канала, соответствующий энергии фотонов 20 кэВ; 7n;k _ число зарегистрированных фотонов в к - ом канале; п = 1,2,. ...N (см. п. 8.3.2.4);
7= 1,2, ...,М (см. п. 8.3.2.5).
-
8.3.2.7 Проверку линейности диапазона регистрации производят путем оценки соответствия полученных в п. 8.3.2.5 данных линейной зависимости регистрируемой интенсивности рентгеновского излучения I от поглощенного образцом тока i в диапазоне изменения / от 1000 имп/с до 10000 имп/с:
(4)
-
8.3.2.8 Вычисляют средние значения регистрируемой интенсивности рентгеновского излучения/^ для каждого значения поглощенного образцом тока /„ по формуле:
/ =-УУ I ■
(5)
п nJ
где Inj - полная регистрируемая интенсивность рентгеновского излучения по формуле (3);
М-число измерений при данном значении поглощенного образцом тока (см. п. 8.3.3.8).
-
8.3.2.9 Вычисляют выборочные стандартные отклонения Sln результатов измерений регистрируемой интенсивности рентгеновского излучения при каждом значении поглощенного образцом тока in по формуле:
_ l^nHn)2
(6)
!п N М-1
-
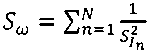
8.3.2.10 Вычисляют сумму обратных величин дисперсий регистрируемой интенсивности рентгеновского излучения при каждом значении поглощенного тока по формуле:
(7)
-
8.3.2.11 Вычисляют весовые коэффициенты ып для каждого значения поглощенного образцом тока z„ :

-
8.3.2.12 Вычисляют средневзвешенные значения регистрируемой интенсивности рентгеновского излучения / и поглощенного образцом тока Г по формулам:
/ = шп1п
где 1п - среднее значение регистрируемой интенсивности рентгеновского излучения, вычисленное по формуле (5);
in -ток поглощенных образцом электронов (см. п. 8.3.2.5).
-
8.3.2.13 Вычисляют коэффициенты а и b в соотношении (4) по формулам:
-
8.3.2.14 Вычисляют расчетные значения регистрируемой интенсивности рентгеновского излучения /ппо формуле:
где а и Ъ - коэффициенты, вычисленные по формулам (11) и (12);
in -ток поглощенных образцом электронов (см. п. 8.3.2.5).
-
8.3.2.15 Вычисляют взвешенную сумму квадратов отклонений расчетных значений 1п от среднеарифметических значений Гп формуле:
Qi, = MZ;rt<d„(F„-f„)Z (14)
где М - число измерений регистрируемой интенсивности рентгеновского излучения (см. п. 8.3.3.8);
шп - весовые коэффициенты, вычисленные по формуле (9);
Тп - средние значения регистрируемой интенсивности рентгеновского излучения, вычисленные по формуле (6);
1п - расчетные значения регистрируемой интенсивности рентгеновского излучения, вычисленные по формуле (14).
-
8.3.2.16 Вычисляют взвешенную сумму Qlo квадратов отклонений от среднеарифметических значений /п
(15)
шп - весовые коэффициенты, вычисленные по формуле (8);
Inj - регистрируемые интенсивности рентгеновского излучения, вычисленные по формуле (3);
In - средние значения регистрируемой интенсивности рентгеновского излучения, вычисленные по формуле (9).
-
8.3.2.17 Вычисляют отношение К, по формуле:
(16)
' ~ (N-2)QIq
-
8.3.2.18 Сравнивают вычисленное по формуле (16) значение К, со значениями квантиля F- распределения Е(У1, У2) из таблицы Б.1 приложения Б со степенями свободы = N - 2 и У2 = - 1).
Если выполняется неравенство:
V,< F(VM, (17)
то верхняя граница исследованного диапазона находится на линейном участке зависимости величины выходного сигнала от интенсивности поступающего на детектор рентгеновского излучения и принимается в качестве максимального значения скорости счета. Прибор считается годным, если эта величина не менее 200000 имп/с.
8.3.3 Определение СКО выходного сигнала-
8.3.3.1 Установить в камеру образцов СЭМ поверочный образец ПО-1.
-
8.3.3.2 Установить ускоряющее напряжение 25 кВ, получить изображение поверхности ПО-1, выбрать участок без пылинок и царапин, установить малый растр (увеличение ЮООх).
-
8.3.3.2 Отрегулировать ток электронного зонда таким образом, чтобы скорость счета составляла (50000 ± 500) имп/с.
-
8.3.3.3 Произвестир = 10 измерений интенсивности линии Мп Kai,2 (5,895 кэВ) Ц.
-
8.3.3.4 Вычислить относительное CKO Sr выходного сигнала по формуле:
sr = | Р- ’ 100 (18)
где sr - относительное СКО выходного сигнала, %;
7 = -£f=i /; - среднее значение выходной интенсивности, имп/с; р = 10 - число измерений выходной интенсивности в п. 8.3.3.3;
/( - результат отдельного измерения выходной интенсивности в п. 8.3.3.3.
-
8.3.3.5 Прибор считается годным, если относительное СКО выходной интенсивности, вычисленное по формуле (18) не более 0,5%.
-
8.3.4.1 Установить в камеру образцов СЭМ поверочный образец ПО-2.
-
8.3.4.2 Установить ускоряющее напряжение 30 кВ, на приборе установить диапазон шкалы 0 -20 кэВ, живое время набора данных 200 с.
-
8.3.4.3 Подвести ПО-2 под электронный зонд, сфокусировать изображение, выбрать участок без пылинок и царапин, установить малый растр (увеличение ЮООх).
-
8.3.4.4 Отрегулировать ток электронного зонда таким образом, чтобы мертвое время не превышало 3%.
-
8.3.4.5 Произвести набор спектра.
-
8.3.4.6 Обработать спектр с помощью программы количественного анализа с нормализацией результатов. При обработке учитывать элементы Си, Pb, Cd, Sb, Sn, Ni, P, Fe.
-
8.3.4.7 Если вычисленное в п.8.3.4.6 содержание Си (73±3) % и содержание Р (0,13±0,4) %, диапазон измерений массовой доли элементов принимают равным от 0,1 до 100%, а прибор считается годным.
-
8.3.5.1 Установить в камеру образцов СЭМ поверочный образец ПО-2.
-
8.3.5.2 Установить ускоряющее напряжение 30 кВ, на приборе установить диапазон шкалы 0 -20 кэВ, живое время набора данных 200 с.
-
8.3.5.3 Подвести ПО-2 под электронный зонд, сфокусировать изображение, выбрать участок без пылинок и царапин, установить малый растр (увеличение 1000*).
-
8.3.5.4 Отрегулировать ток электронного зонда таким образом, чтобы мертвое время не превышало 3%.
-
8.3.5.5 Произвести набор спектра образца ПО-2.
-
8.3.5.6 Обработать спектр с помощью программы количественного анализа с нормализацией результатов. При обработке учитывать элементы Си, Pb, Cd, Sb, Sn, Ni, P, Fe. Получить рассчитанные значения массовой доли элементов Си (cCui); Pb (cPbi);Sn (.Csni) (cpei)-
-
8.3.5.7 Повторить операции по пп. 8.3.5.5 - 8.3.5.6 т = 10 раз, каждый раз сдвигая образец во избежание влияния контаминации.
-
8.3.5.8 Вычислить средние значения содержаний элементов Си, Pb, Sn, Fe по формулам: где cCui; cPbi; cSni, cFei содержания Cu, Pb, Sn, Fe соответственно, полученные в п. 8.3.5.7;
(20)
т = 10 число набранных в п.8.3.5.7 спектров ПО-1.
-
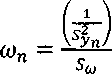
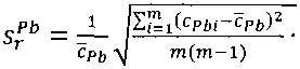
8.3.5.9 Вычислить СКО случайной составляющей относительной погрешности определения содержания элементов Си, Pb, Sn, Fe по формулам:


100

100

100

где SrU,Srb,Srn,Sre CKO случайной составляющей относительной погрешности
определения содержания элементов Си, Pb, Sn, Fe, %;
сСи,сРЬ,с$п,Сре ~ средние значения содержания элементов Си, Pb, Sn, Fe, вычисленные по формулам (20), %;
cCui; СРЫ', csni-- cFei содержания Си, Pb, Sn, Fe соответственно, полученные в отдельных измерениях, см. п. 8.3.5.7, %.
-
8.3.5.10 Прибор считается годным, если s(!u не более 1%, s^b не более 2%, s$n не более 5%, cFe не более 10%.
-
8.3.6 Определение относительной погрешности измерений массовой доли
-
8.3.6.1 Вычислить доверительные границы случайной погрешности измерения содержания элементов Си, Pb, Sn, Fe по формулам:
(22)
где £Си, £РЬ, £$п, £Ре - доверительные границы случайных погрешностей измерения содержания Си, Pb, Sn, Fe, %;
Sy11, s?b, s$n, s£e CKO случайной составляющей относительной погрешности
определения содержания элементов Си, Pb, Sn, Fe, вычисленные по формулам (21), %; cCu,cPb,cSn,cFe ~ средние значения содержания элементов Си, Pb, Sn, Fe, вычисленные по формулам (20), %;
t = 2,262 - коэффициент Стъюдента для 10 измерений и доверительной вероятности Р=0,95.
-
8.3.6.2 Границы относительных погрешностей измерений содержания Си, Pb, Sn, Fe (без учета знака) для доверительной вероятности Р = 0,95 вычисляют по формулам:

KI + KI) Sr“ , k, - £'l + KI loo+ 7з
tn + (fc» - tfl + KI) sf , Rp» - | + KI 100+
^ + (fe,.KI + KI) e , к - #i+ki 100+
^ + (I?»KI + KI) , fc,KI + KI
100+ где SCu, 6Pb, SSn, 8Fc - относительные погрешности измерения содержания Си. Pb. Sn, Fe, %;
Ccu,Qb,c5n)cFe - средние значения содержания элементов Си. Pb. Sn. Fe. вычисленные по формулам (20), %;
сГси>Срь'с?.. >с™!~ аттестованные содержания Си. Pb. Sn. Fe в поверочном образце ПО-2 (указаны в паспорте ПО-2). %:
,8crPebf,8crslf,8crFer- погрешность аттестации содержания Си. Pb. Sn. Fe в
поверочном образце ПО-2 (указаны в паспорте ПО-2), %:
sFu, sFb, sFn, sFe CKO случайной составляющей относительной погрешности
определения содержания элементов Си. Pb, Sn, Fe, вычисленные по формулам (21), %; £Cu>EPb’£sn’£Fe ~ доверительные границы случайных погрешностей измерения содержания Си, Pb. Sn. Fe. %;
-
8.3.6.3 Прибор считается годным, если SCu не более 5 %; 8РЬ не более 10 %; 6Sn не более 30 %; SFe не более 35%.
-
9.1 Результаты поверки оформляются протоколом (форма протокола приведена в Приложении В), который хранится в организации, проводившей поверку.
-
9.2 Прибор, удовлетворяющий требованиям настоящей методики, признают годным к применению и на него выдают свидетельство о поверке установленной формы.
-
9.3 При отрицательных результатах поверки процедуру поверки следует повторить. Если повторные результаты поверки окажутся неудовлетворительными, то прибор запрещают к применению и выдают извещение о непригодности с указанием причин.
Главный научный сотрудник АО «ИИЦПВ», доктор физ.-мат. наук, профессор

МН.Филиппов
Приложение А
Структура текстового файла в формате EMSA (для 2048 каналов регистрации)^FORMAT : EMSA MAS Spectral Data File AVERSION : 1.0
=TITLE . New Project ■ spectrum
=DATE ll-Mar-2014
=TIME ■ 12:40
=OVNER : Phenom-World В V eNPOINTS : 1464
=NCOLUMNS : 1 =XUNITS : eV =YUNITS ' counts
^DATATYPE NY =XPERCHAN : 10.0 =OFFSET : -59.4 =SIGNALTYPE :EDS
=XLABEL : Energy sYLABEL : Counts sBEAMKV -kV: 15.0 =ELEVANGLE-dg: 19.0 =AZIMANGLE-dg. 0.0 =L’3ETIME -s: 0.
zREALTIME -s: 30.
sSPECTRUM : Spectral Data Starts Hee
45 S. 0.0
55 S, 0.0
65 S. G.O
22 первые строки с условиями эксперимента
Следующие 2048 строк™ зарегистрированный спектр рентгеновского излучения в цифровой форме,
первое число-энергия в электронвольтах, второе число ™ набранное число квантов, соответствующее данной энергии
20385.1, |
2 0 |
20395 1. |
0.0 |
20405.1, |
0.0 |
20415.1, |
0 0 |
20425 1, |
1.0 |
20435.1, |
0.0 |
20445.2, |
0 0 |
20455 2, |
0.0 |
=E\DOFDATA
Таблица Б.1 - Верхние доверительные границы F-распределения для Р = 0,95 (Тг - число
степеней свободы числителя; У\ - число степеней свободы знаменателя)
V1 |
к. | |||||||||
3 |
4 |
5 |
6 |
7 |
8 |
9 |
10 |
15 |
20 | |
5 |
5,51 |
5,19 |
5,05 |
4,95 |
4,88 |
4,82 |
4,77 |
4,74 |
4,62 |
4,56 |
6 |
4,76 |
4,53 |
4,39 |
4,28 |
4,21 |
4,15 |
4,10 |
4,06 |
3,94 |
3,87 |
7 |
4,35 |
4,12 |
3,97 |
3,87 |
3,79 |
3,73 |
3,68 |
3,64 |
3,51 |
3,44 |
8 |
4,07 |
3,84 |
3,69 |
3,58 |
3,50 |
3,44 |
3,39 |
3,35 |
3,22 |
3,15 |
9 |
3,86 |
3,63 |
3,48 |
3,37 |
3,29 |
3,23 |
3,18 |
3,14 |
3,01 |
2,94 |
10 |
3,71 |
3,48 |
3,33 |
3,22 |
3,14 |
3,07 |
3,02 |
2,98 |
2,85 |
2,77 |
И |
3,59 |
3,36 |
3,20 |
3,09 |
3,01 |
2,95 |
2,90 |
2,85 |
2,72 |
2,65 |
12 |
3,49 |
3,26 |
3,11 |
3,00 |
2,91 |
2,85 |
2,80 |
2,75 |
2,62 |
2,54 |
13 |
3,41 |
3,18 |
3,08 |
2,92 |
2,83 |
2,77 |
2,71 |
2,67 |
2,53 |
2,46 |
14 |
3,34 |
з,п |
2,96 |
2,85 |
2,76 |
2,70 |
2,65 |
2,60 |
2,46 |
2,39 |
15 |
3,29 |
3,06 |
2,90 |
2,79 |
2,71 |
2,64 |
2,59 |
2,54 |
2,40 |
2,33 |
16 |
3,24 |
3,01 |
2,85 |
2,74 |
2,66 |
2,59 |
2,54 |
2,49 |
2,35 |
2,28 |
17 |
3,20 |
2,96 |
2,81 |
2,70 |
2,61 |
2,55 |
2,49 |
2,45 |
2,31 |
2,23 |
18 |
3,16 |
2,93 |
2,77 |
2,66 |
2,58 |
2,51 |
2,46 |
2,41 |
2,27 |
2,19 |
19 |
3,13 |
2,90 |
2,74 |
2,63 |
2,54 |
2,48 |
2,42 |
2,38 |
2,23 |
2,16 |
20 |
3,10 |
2,87 |
2,71 |
2,60 |
2,51 |
2,45 |
2,39 |
2,35 |
2,20 |
2,12 |
21 |
3,07 |
2,84 |
2,68 |
2,57 |
2,49 |
2,42 |
2,37 |
2,32 |
2,18 |
2,10 |
22 |
3,05 |
2,82 |
2,66 |
2,55 |
2,46 |
2,40 |
2,34 |
2,30 |
2,15 |
2,07 |
23 |
3,03 |
2,80 |
2,64 |
2,53 |
2,44 |
2,37 |
2,32 |
2,27 |
2,13 |
2,05 |
24 |
3,01 |
2,78 |
2,62 |
2,51 |
2,42 |
2,35 |
2,30 |
2,25 |
2,11 |
2,03 |
27 |
2,96 |
2,73 |
2,57 |
2,46 |
2,37 |
2,31 |
2,25 |
2,20 |
2,06 |
1,97 |
30 |
2,92 |
2,69 |
2,53 |
2,42 |
2,33 |
2,27 |
2,21 |
2,16 |
2,01 |
1,93 |
40 |
2,84 |
2,61 |
2,45 |
2,34 |
2,25 |
2,18 |
2,12 |
2,08 |
1,92 |
1,84 |
60 |
2,76 |
2,53 |
2,37 |
2,25 |
2,17 |
2,10 |
2,04 |
1,99 |
1,84 |
1,75 |
120 |
2,68 |
2,45 |
2,29 |
2,17 |
2,09 |
2,02 |
1,96 |
1,91 |
1,75 |
1,66 |
ОО |
2,60 |
2,37 |
2,21 |
2,10 |
2,01 |
1,94 |
1,88 |
1,83 |
1,67 |
1,57 |
Приложение В
ПРОТОКОЛ ПОВЕРКИ №__(от________)
-
1. Средство измерений: приставка для рентгеновской энергодисперсионной спектроскопии (EDXS) - ХМХ1013
-
2. Принадлежит: НИЦ «Курчатовский институт», г. Москва
З.Заводской номер: № 65066-Х080
-
4. Предприятие изготовитель: «Oxford Instruments pic» (Великобритания)
-
5. Условия поверки:
-
- температура окружающего воздуха _____°C;
-
- относительная влажность воздуха _____%;
-
- атмосферное давление _____кПа.
-
6. Средства поверки:
-
6.1. СО состава марганца металлического типа МН95(Ф5) ГСО 1095-90П или марганец марок Мн998 или Мн997 по ГОСТ 6008-90.
-
6.2. СО состава бронзы типа БрОСН7-13-Зл (комплект М179, индекс СО в составе комплекта 1793) ГСО 6044-91/6048-91.
-
6.3. Дозиметр рентгеновского излучения ДКР-АТ1103М.
-
7.Операции поверки
7.1 Внешний осмотр, проверка комплектности.
Вывод:__
7.2 Проверка работоспособности:
Наименование параметра |
Пункт методики поверки |
Ед. изм. |
Допустимое значение |
Измеренное значение |
Вывод о соответствии |
Измерение давления в камере образцов СЭМ с открытым клапаном спектрометра и включенном потоке измерительного газа |
8.2 |
Па |
<5 10'5 | ||
Проверка диапазона регулирования ускоряющего напряжения СЭМ |
8.2 |
кВ |
2-30 |
Вывод _______________________________________________________
7.3 Определение метрологических характеристик
Наименование параметра |
Пункт методики поверки |
Ед. изм. |
Допустимое значение |
Измерен ное значение |
Вывод О соответств ИИ |
Энергетического разрешения на линии Мп Кй1,2 (5,895 кэВ) |
8.3.1. |
эВ |
не более 136 | ||
Максимальная скорость счета |
8.3.2 |
имп с |
не менее 200000 | ||
Относительное СКО выходного сигнала |
8.3.3 |
% |
0,5 | ||
Определение диапазона измерений массовой доли элементов |
8.3.4 |
% |
от 0,1 до 100 | ||
СКО случайной составляющей относительной погрешности измерений массовой доли элементов
|
8.3.5 |
% |
10 5 2 1 | ||
Относительная погрешность измерений массовой доли элементов
|
8.3.6 |
% |
±35 ±30 ±10 ±5 |
Заключение: По результатам поверки приставка для рентгеновской
энергодисперсионной спектроскопии (EDXS) - ХМХ1013, зав. № 65066-Х080, признана годной негодной (нужное подчеркнуть) к эксплуатации.
Поверитель:___________________
ФИО
подпись
«______»_______________________20 г.
16
Программа OriginPro 8 производства OriginLab Corporation, One Roundhouse Plaza, Northampton. MA 01060 USA
Значения поглощенного тока /„ должны приблизительно равномерно располагаться внутри интервала (/„„•„ imaA, н0 строгое постоянство шага между значениями не требуется.