Методика поверки « ИНСТРУКЦИЯ ПРОФИЛЕМЕРЫ МЕТЕОРОЛОГИЧЕСКИЕ ТЕМПЕРАТУРНЫЕ МТР-5» (АТМР 416311.001 МП)
ИНСТРУКЦИЯ
ПРОФИЛЕМЕРЫ МЕТЕОРОЛОГИЧЕСКИЕ ТЕМПЕРАТУРНЫЕ МТР-5
Методика поверки
АТМР 416311.001 МП
р.п. Менделеево 2017 г.
СОДЕРЖАНИЕ-
1 Вводная часть.........................................................................................
^♦2 Идентификация программного обеспечения
-
8.4 Определение доверительных границ (при доверительной вероятности
-
8.5 Определение чуствительности микроволнового приемника
-
8.6 Определение относительной нестабильности коэффициента
передачи микроволнового приемника теплового излучения атмосферы.......
-
8.7 Определение нелинейности градуировочной характеристики
микроволнового приемника теплового излучения атмосферы
-
8.8 Определение доверительных границ (при доверительной вероятности
Р = 0,95) абсолютной погрешности измерений радиояркостной температуры
-
8.9 Определение амплитудно-частотной характеристики микроволнового
приемника теплового излучения атмосферы
-
8.10 Определение ширины диаграммы направленности антенной системы.........
-
8.11 Определение доверительных границ (при доверительной вероятности
-
8.12 Определение диапазона и относительной погрешности определения
высоты измеряемых слоев атмосферы
1 ВВОДНАЯ ЧАСТЬ-
1.1 Настоящая методика поверки (далее - МП) устанавливает методы и средства первичной и периодической поверок профилемеров метеорологических температурных МТР-5 (далее - профилемер МТР-5), изготавливаемых обществом с ограниченной ответственностью «Научно-производственная организация «Атмосферные технологии» (ООО «НПО «АТТЕХ»), г. Долгопрудный, Московской области, находящихся в эксплуатации, а также после хранения и ремонта.
-
1.2 Первичной поверке подлежат профилемер МТР-5, выпускаемые из производства и выходящие из ремонта.
Периодической поверке подлежат профилемер МТР-5, находящиеся в эксплуатации и на хранении.
-
1.3 Сравнение с радиозондом при первичной поверке выполняется на базе ООО «НПО «АТТЕХ».
-
1.4 Интервал между поверками 2 года.
-
2.1 При проведении поверки профилемеров МТР-5 должны быть выполнены операции, указанные в таблице 1.
Таблица 1 - Операции поверки профилемеров МТР-5
|
Наименование операций |
Пункт МП |
Обязательность проведения операций при | |
|
первичной поверке |
периодической поверке | ||
|
Внешний осмотр |
8.1 |
да |
да |
|
Идентификация программного обеспечения |
8.2 |
да |
да |
|
Опробование |
8.3 |
да |
да |
|
Определение доверительных границ (при доверительной вероятности Р = 0,95) абсолютной погрешности измерений термодинамической температуры приземного слоя атмосферы внешним датчиком температуры |
8.4 |
да |
да |
|
Определение чуствительности микроволнового приемника теплового излучения атмосферы |
8.5 |
да |
да |
|
Определение относительной нестабильности коэффициента передачи микроволнового приемника теплового излучения атмосферы |
8.6 |
да |
да |
|
Определение нелинейности градуировочной характеристики микроволнового приемника теплового излучения атмосферы |
8.7 |
да |
нет |
|
Определение доверительных границ абсолютной погрешности измерений радиояркостной температуры |
8.8 |
да |
да |
|
Определение амплитудно-частотной характеристики микроволнового приемника теплового излучения атмосферы |
8.9 |
да |
нет |
|
Определение ширины диаграммы направленности антенной системы |
8.10 |
да |
нет |
|
Определение доверительных границ абсолютной погрешности измерений термодинамической температуры атмосферы профилемером МТР-5 (при доверительной вероятности Р = 0,95) |
8.11 |
да |
да |
|
Определение погрешности определения высоты измеряемых слоев атмосферы |
8.12 |
да |
да |
-
3.1 При проведении поверки профилемеров МТР-5 должны быть применены средства измерений и вспомогательные материалы, необходимые для проведения поверки, указанные в таблице 2.
Таблица 2 - Средства измерений для проведения поверки.
|
Пункт МП |
Наименование и тип (условное обозначение) основного или вспомогательного средства поверки; обозначение нормативного документа, регламентирующего технические требования, и (или) метрологические и основные технические характеристики средства поверки |
|
8.3, 8.4 |
Климатическая камера, диапазон температур от минус 50°С до плюс 50°С |
|
8.4 |
Измеритель-регулятор температуры многоканальный прецизионный МИТ 8.10М1 с термометром платиновым вибропрочным эталонным ПТСВ-2-3, диапазон измеряемых температур от минус 200 до плюс 160 °C, пределы допускаемой основной абсолютной погрешности ±(0,004 + 10~5-t) °C, где t - измеренная температура в °C |
|
8.3, 8.5, 8.6 |
Секундомер механический типа СОПпр, класс 3 |
|
8.5-8.8 |
Государственный эталон единицы спектральной плотности энергетической яркости и единицы радиояркостной температуры в микроволновой области спектра от 18,1 до 118,3 ГГц УВТ 95-А-2000, диапазон воспроизводимых значений радиояркостной температуры от 78 до 300 К, нестабильность уровня РЯТ за 5 часов <0,1 К, погрешность передачи размера единицы яркостной температуры от 0,5 до 2,5 К |
|
8.9 |
Ваттметр поглощаемой мощности МЗ-75 с приемным преобразователем ПП-14, диапазон частот от 53,57 до 78,33 ГГц, диапазон измеряемых мощностей от 3 -1 О*6 до 10"2 Вт, пределы допускаемой относительной погрешности измерений мощности ±6 % |
|
8.9 |
Аттенюатор поляризационный ДЗ-38, диапазон частот от 53,57 до 78,33 ГГц, пределы допускаемой погрешности ослабления в диапазоне 0 до 50 дБ ±0,2-А, где А - величина ослабления, установленная по шкале аттенюатора |
|
8.10 |
Государственный эталон единицы коэффициента усиления (эффективной площади) направленных антенн с размером апертуры до 40 см УВТ 96-А-2000, диапазон частот от 54 до 118 ГГц, диапазон воспроизводимых значений коэффициента усиления до 36,9 дБ, CKO S (п=5) 0,08 дБ |
|
8.11, 8.12 |
Радиозонд аэрологический малогабаритный АК2, диапазон измерений температуры от минус 90 до плюс 50 °C, пределы допускаемой относительной погрешности измерений температуры ±1,8 °C |
|
8.10 |
Генератор сигналов Г4-142, диапазон частот от 53,57 до 78,33 ГГц, пределы допускаемой относительной погрешности установки частоты ±1% |
|
8.3, 8.5-8.8 |
Твердая двуокись углерода («сухой лед»), норма расхода 40 кг на один профилемер МТР-5 |
|
8.3, 8.5-8.8 |
Жидкий азот, норма расхода 40 кг на один профилемер МТР-5 |
|
8.2 -8.12 |
Персональный компьютер, операционная система Windows’9x, Windows 2000; процессор Pentium 1 ГГц и выше, наличие свободного места на жестком диске более 3 ГБ |
-
3.2 Допускается использовать аналогичные средства поверки, которые обеспечат измерение метрологических характеристик поверяемых профилемеров МТР-5 с требуемой точностью.
-
3.3 Средства поверки должны быть исправны, поверены и иметь действующие свидетельства о поверке.
-
4.1 Поверка должна осуществляться лицами, квалифицированным в качестве поверителей в области радиотехнических измерений в установленном порядке и имеющим квалификационную группу электробезопасности не ниже второй.
-
4.2 Поверка с помощью аппаратуры Государственного эталона единицы спектральной плотности энергетической яркости и единицы радиояркостной температуры в микроволновой области спектра от 18,1 до 118,3 ГГц УВТ 95-А-2000 и Государственного эталона единицы коэффициента усиления (эффективной площади) направленных антенн с размером апертуры до 40 см УВТ 96-А-2000 (ФГУП «ВНИИФТРИ») выполняется специалистами, аттестованными на право работы с широкоапертурными излучателями - эталонными и рабочими мерами радиояркостных температур.
Квалификация специалистов - не ниже старшего научного сотрудника, или ведущего инженера с опытом работы не менее 5 лет.
-
4.3 Специалист, выполняющий поверку, должен иметь опыт работы с приемниками шумового электромагнитного излучения, генераторами СВЧ сигналов, измерителями КСВН (рефлектометрами) и ослаблений, прецизионными средствами измерений термодинамической температуры, иметь навыки работы с криогенными жидкостями и веществами.
-
5.1 При проведении поверки профилемера МТР-5 должны соблюдаться Правила работы с источниками СВЧ излучения, а также требования безопасности, приведённые в разделе 3 документа «Профилемер метеорологический температурный МТР-5. АТМР 416311.001 РЭ» (далее - АТМР 416311.001 РЭ) и эксплуатационной документации на средства поверки.
-
5.2 Уровни излучения и меры защиты, работающих от СВЧ излучения должны соответствовать «Санитарным нормам и правилам при работе с источниками электромагнитных полей высоких, ультравысоких и сверхвысоких частот»
-
5.3 Средства поверки должны быть надежно заземлены в соответствии с эксплуатационной документацией.
-
5.4 Размещение и подключение измерительных приборов разрешается производить только при выключенном питании.
-
6.1 При проведении операций поверки должны быть соблюдены следующие условия (если не оговорено иное):
-
- температура окружающего воздуха от минус 50 до плюс 50 °C;
-
- относительная влажность воздуха при температуре плюс 25 °C не более 90 %;
-
- атмосферное давление от 630 до 800 мм рт.ст.
-
7.1 Перед проведением операций поверки необходимо произвести подготовительные работы, оговоренные в АТМР 416311.001 РЭ и руководствах по эксплуатации на применяемые средства поверки.
-
7.2 На первичную поверку изготовитель профилемера МТР-5 представляет программу расчета ПТА по значениям РЯТ, измеренным для паспортных зенитных углов
-
8 ПРОВЕДЕНИЕ ПОВЕРКИ
-
8.1.1 Внешний осмотр профилемера МТР-5 проводить визуально без вскрытия. При этом необходимо проверить:
-
- комплектность, маркировку и пломбировку согласно эксплуатационной документации;
-
- внешний вид и отсутствие механических повреждений, влияющих на его работу;
-
- состояние соединительных кабелей, шнуров питания;
-
- чистоту гнезд, разъемов и клемм;
-
- четкость маркировочных надписей.
-
8.1.2 Результат внешнего осмотра профилемера МТР-5 считать положительным, если:
-
- комплектность соответствует документу «Профилемер метеорологический температурный МТР-5. Паспорт АТМР.416311.001 ПС» (далее - АТМР.416311.001 ПС);
маркировка и пломбировка соответствуют документу «Профилемер метеорологический температурный МТР-5. Руководство по эксплуатации АТМР.416311.001 РЭ» (далее-АТМР.416311.001 РЭ);
-отсутствуют механические повреждения (в том числе радиопрозрачного окна), влияющих на его работу;
-
- соединительные кабели, шнуры питания не имеют повреждений;
-
- гнезда, разъемы и клеммы чистые;
-
- маркировочные надписи четкие.
В противном случае результаты внешнего осмотра считать отрицательными и последующие операции поверки не проводить.
8.2 Идентификация программного обеспечения-
8.2.1 Проверить, что в АТМР.416311.001 ПС записаны следующие идентификационные данные программного обеспечения (далее - ПО):
-
- идентификационное наименование ПО: MTP5PE.exe;
-
- номер версии ПО 14.4.20120406}
-
- цифровой идентификатор ПО (контрольная сумма исполняемого кода): 1 062 912 (размер файла в байтах).
Результат проверки зафиксировать в рабочем журнале.
-
8.2.2 Подключить профилемер к порту PS232 персонального компьютера (далее - ПК). Включить питание профилемера тумблером «Оп/Off» на блоке питания, включить ПК.
-
8.2.3 Запустить программу MTP5.exe с установочного диска, после появления сообщения об успешной распаковке программы, нажать кнопки «Ок» и «Close» и войти в директорию МТР5.
В директории МТР5\ найти файл MTP5PE.exe, Открыть окно Свойства, в котором наблюдать: размер в байтах файла MTP5PE.exe. Результаты наблюдения зафиксировать в рабочем журнале.
Запустить на ПК программу MTP5PE.exe. После окончания загрузки ПО, в появившемся окне на экране монитора ПК, наблюдать версию ПО. Результаты наблюдения зафиксировать в рабочем журнале.
-
8.2.4 Сличить полученные идентификационные данные ПО (файла MTP5PE.exe) с данными, записанными в АТМР.416311.001 ПС.
Результат сличения зафиксировать в рабочем журнале.
-
8.2.5 Результат идентификации ПО положительный и профилемер МТР-5 допускается к последующим операциям поверки, если полученные в п. 8.2.3 идентификационные данные ПО соответствуют данным, приведенным в АТМР.416311.001 ПС.
В противном случае результаты проверки соответствия ПО считать отрицательными и последующие операции поверки не проводить.
8.3 Опробование-
8.3.1 Подготовить профилемера МТР-5 к работе в соответствии с п. 4.4.2 АТМР.4163 И.001 РЭ.
-
8.3.2 С помощью стандартных программных средств терминальной передачи данных по порту RS 232 в соответствии с описанием команд протокола убедиться в работоспособности элементов системы;
-
8.3.3 Установить профилемер МТР-5 и экранирующие щиты с радиопоглощающим материалом (далее - РПМ) в климатическую камеру, согласно рисунка 1.
Радиопрозрачное окно профилемера МТР-5 окружить со всех сторон экранами с РПМ. Блок питания профилемера МТР-5 и ПК установить вне климатической камеры при нормальных условиях.
Соединить профилемер МТР-5 с блоком питания и ПК сигнальным кабелем через специальный разъем.
Датчиком внешней температуры атмосферы измерять температуру РПМ перекрывающего вход прибора при 0=0°.
-
1 - климатическая камера
-
2 - поверяемый профилемер МТР-5
3-РПМ
4 - датчик внешней температуры атмосферы
Рисунок 1
-
8.3.4 Включить профилемер МТР-5 и установить штатный режим измерений.
-
8.3.5 Через 60 минут после включения в течение 6 часов выполнять измерения яркостных (антенных) температур РПМ окружающего окно профилемера МТР-5, при температуре в камере около плюс 20 °C.
-
8.3.6 Установить в климатической камере температуру около минус 50 °C и через (50 - 60) минут после этого повторить измерения яркостных (антенных) температур РПМ окружающего окно профилемера МТР-5.
-
8.3.7 Установить в климатической камере температуру около плюс 50 °C и через (50 - 60) минут после этого повторить измерения яркостных (антенных) температур РПМ окружающего окно профилемера МТР-5.
-
8.3.8 Выполнить проверку системы терморегулирования
-
8.3.8.1 При каждой установленной в климатической камере температуры (минус 50 °C, плюс 20 °C, плюс 50 °C) осуществлять измерения температуры в начале и конце каждого часа термометром, установленным в корпусе измерительного блока профилемера МТР-5.
-
8.3.8.2 Результаты проверки системы терморегулирования считать положительными, если температура внутри корпуса измерительного блока профилемера во время поверки поддерживается в пределах (40±2) °C.
-
-
8.3.9 Результаты опробования считать положительными, если:
-
- поверяемый профилемер МТР-5 функционирует при температурах минус 50 °C, 20 °C, +50 °C без индикации ошибок системы контроля;
-
- температура корпуса измерительного блока поверяемого профилемера МТР-5 при внешних температурах минус 50 °C, 0 °C, плюс 50 °C поддерживается в пределах (40±2) °C.
В противном случае результаты опробования считать отрицательными и последующие операции поверки не проводить.
-
8.4 Определение доверительных границ (при доверительной вероятности Р = 0,95) абсолютной погрешности измерений термодинамической температуры приземного слоя атмосферы внешним датчиком температуры
-
8.4.1 Определение доверительных границ абсолютной погрешности измерений термодинамической температуры атмосферы датчиком температуры с метеозащитой при доверительной вероятности Р = 0,95 проводить путем сравнения результатов измерений температуры одного и того же объекта датчиком температуры с метеозащитой, входящим в состав поверяемого профилемера МТР-5 (далее - датчик температуры), и образцовыми термометрами ПТСВ-2/3 с измерителем-регулятором температур многоканальным прецизионным МИТ 8.10.
-
8.4.2 Поверяемый датчик температуры и термометры ПТСВ-2/3 установить рядом в специальную металлическую кассету. Кассету установить в термостат, в котором последовательно реализовать температуры Тр минус 50 °C, плюс 20 °C и плюс 50 °C.
-
8.4.3 Выполнить регистрацию ряда значений температуры /f, измеренных профилемером МТР-5, и одновременно значений температуры измеренные измерителем-регулятором температур многоканальным прецизионным МИТ 8.10 с термометром ПТСВ-2/3.
-
Число реализаций (/) значений температуры t!t! и не менее 10.
-
8.4.4 Определить средние значения каждого уровня температуры, установленного в термостате и измеренного датчиком температуры, по формуле
п
tn=^—. (1)
п
-
8.4.5 Определить средние значения температуры, измеренные измерителем-регулятором температур многоканальным прецизионным МИТ 8.10 с термометром ПТСВ-2/3, по формуле
п
ж
Тэ = ——. (2)
п
-
8.4.6 Определить значение разности средних значений температуры по формуле
М = ТП-ТЭ, (3)
где At определяет систематическую составляющую погрешности датчика температуры поверяемого профилемера МТР-5.
-
8.4.7 Определить среднее квадратическое отклонение случайной составляющей абсолютной погрешности измерения датчиком температуры по формуле
lit-."-'")'
s=u----:--■ W
! n-l
-
8.4.8 Определить доверительные границы еп (при доверительной вероятности Р=0,95)
случайной погрешности измерений термодинамической температуры приземного слоя сп, в °C,
по формуле
£n = ms'S, (5)
Для Р=0,95 и п =500 коэффициент Стьюдента ms =1,96.
-
8.4.9 Доверительные границы абсолютной погрешности измерений термодинамической температуры приземного слоя атмосферы Л?095, в °C, внешним датчиком температуры профилемера при однократном измерении (при доверительной вероятности Р=0.95) определить по формуле
^0.95

(6)
К - коэффициент, зависящий от соотношения случайной составляющей погрешности и е'7+(Д/ + Д/э) .

(д/)2 +(ДГЭ)2 ’
3
Дг = - доверительные границы погрешности измерений температуры измерителем-регулятором температур многоканальным прецизионным МИТ 8.10 с термометром ПТСВ-2-3 при Р=0,95.
-
8.4.9 Результаты поверки считать положительными, если значение Jr095 находятся в пределах ±0,35 °C.
В противном случае результаты поверки считать отрицательными и последующие операции поверки не проводить.
8.5 Определение чуствительности микроволнового приемника теплового излучения атмосферы-
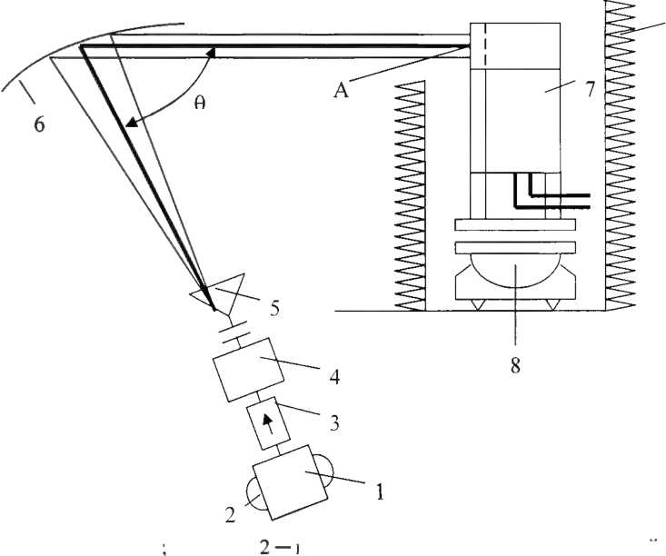
8.5.1 Перед неподвижной антенной системой, напротив профилемера, МТР-5 в соответствии с рисунком 2, установить низкотемпературный широкоапертурный излучатель (далее - НШИ) из состава государственного эталона единицы спектральной плотности энергетической яркости и единицы радиояркостной температуры в микроволновой области спектра от 18,1 до 118,3 ГГц УВТ 95-А-2000 (далее - УВТ 95-А-2000).
1-НШИ
-
2 - юстировочные устройства
-
3 - экран (бленда)
-
4 - поверяемый профилемер МТР-5
-
Рисунок 2
-
8.5.2 НШИ охлаждать твердой двуокисью углерода («сухим льдом») (Тд ~ 195 К).
-
8.5.3 Микроволновый приемник теплового излучения профилемера МТР-5 (далее -приемник) установить в режим непрерывного измерения радиояркостной (шумовой) температуры (далее - РЯТ) Тд. Постоянная времени т приемника при измерении каждого значения равна 1 с.
На экране ПК, подключенного к профилемеру МТР-5, наблюдать сигналы приемника в вольтах.
Через 1 час, после выхода системы на стабильный режим работы, регистрировать непрерывный ряд значений сигналов приемника V^°2 в течение времени t естественного
нагрева излучающего элемента НШИ от 195 К до комнатной температуры (Тк~ 295 К).
Результаты измерений фиксировать в рабочем журнале.
Одновременно, для каждого момента времени tt измерять встроенными в НШИ платиновыми термометрами сопротивления термодинамическую температуру Tt излучающего элемента (далее - ИЭ) НШИ. Текущие значения РЯТ Тя НШИ определять по измеренным термодинамическим температурам Tt ИЭ НШИ и характеристикам (коэффициент поглощения, к.п.д. окон и др.), приведенных в Свидетельстве об аттестации УВТ 95-А-2000. Результаты измерений фиксировать в рабочем журнале.
-
8.5.4 После нагрева НШИ до комнатной температуры (7^-295 К) залить в криостат НШИ горячую воду при температуре Т- 350 К.
По мере остывания воды измерить непрерывный ряд значений сигналов приемника соответствующих измеренным РЯТ от 350 до 295 К. Результаты измерений фиксировать в рабочем журнале.
-
8.5.5 Построить график (градуировочную характеристику приемника) зависимости величины сигнала приемника Г {Тя} в диапазоне радиояркостных температур Тя от 224 до 324 К, соответствующих диапазону измеряемых профилемером РЯТ (рисунок 3).

_____ линейная характеристика, построенная методом наименьших квадратов;
........ измеренная характеристика;
Т™ = 324 К;
- 224 К.
Рисунок 3
-
8.5.6 Полагая градуировочную характеристику приемника в диапазоне РЯТ от = 224 К до Т™3* =324 К линейной — (V - Vq + Сл-Tj), методом наименьших квадратов определить значения калибровочных параметров: Vo - смещение линейной градуировочной характеристики и Сл - крутизну линейной градуировочной характеристики по формулам:

тл т^тах ту ттлт
у _ УК\ ‘*Я УК2 *2Я
0 'утах т-’пип ’ ' '
1Я 1Я
у -У
С„ = к2 к\ . (8)
л утах __утт v 7
Я Я
8.5.7 Используя
/ = 5 мин определить:
запись сигналов V(k01 (/) или У"г° (/) (шумовой дорожки) за время
- среднее значение сигналов по формуле
(9)
- значение среднего квадратического отклонения по формуле


-
8.5.8 Чувствительность приемной системы (приемник, радиопрозрачное окно и антенная система) ДТ, в К, определить, по формуле
ДТ=Д (II)
где С/7“ определено в п. 8.5.6.
-
8.5.9 Результаты поверки считать положительными, если значения ДТ <0,1 К.
В противном случае результаты поверки считать отрицательными и последующие операции поверки не проводить.
8.6 Определение относительной нестабильности коэффициента передачи микроволнового приемника теплового излучения атмосферы-
8.6.1 Нестабильность приемника определять как максимальное отклонение выходного сигнала приемника при подаче на его вход стабильного за время измерений излучения эталонного НШИ или газоразрядного генератора шума с аттенюатором.
Стабильность НШИ в установившемся режиме и при условии соблюдения правил эксплуатации составляет величину около 0,1 К за восемь часов работы.
-
8.6.2 Нестабильность приемника определять при внешней температуре плюс 20 °C за время 120 минут и 18 часов.
За этот период времени определить максимальную разность ДТЯ значений РЯТ НШИ при Гя= 324 К, измеренных приемником поверяемого профилемера МТР-5, по формуле
ДТя=Тлтах-ТГ, (12)
где и Т"1'" “ максимальное и минимальное значение РЯТ НШИ, измеренные
приемником за время Г.
-
8.6.3 Определить относительную нестабильность коэффициента передачи приемника ЗТЯ, в %, за 20 минут и 18 часов по формуле
57>y^l00. (13)
-
8.6.4 Результаты поверки считать положительными, если значения 8ТЯ находятся в пределах ±0,5 %.
В противном случае результаты поверки считать отрицательными и последующие операции поверки не проводить.
8.7 Определение нелинейности градуировочной характеристики микроволнового приемника теплового излучения атмосферы-
8.7.1 Определить по градуировочной характеристике приемника (рисунок 3) в диапазоне РЯТ от 224 до 324 К максимальное значение ДГ*ах по формуле
ДГ1=тах|Г;'-Г,"|. (14)
-
8.7.2 Значение нелинейности градуировочной характеристики приемника 8ТИ, в %, определить по формуле
^„=тах(^)-100. (15)
-
8.7.3 Результаты поверки считать положительными, если значение 8ТИ в диапазоне РЯТ от 224 до 324 К находятся в пределах ±5 %.
В противном случае результаты поверки считать отрицательными и последующие операции поверки не проводить.
8.8 Определение доверительных границ (при доверительной вероятности Р = 0,95) абсолютной погрешности измерений радиояркостной температуры-
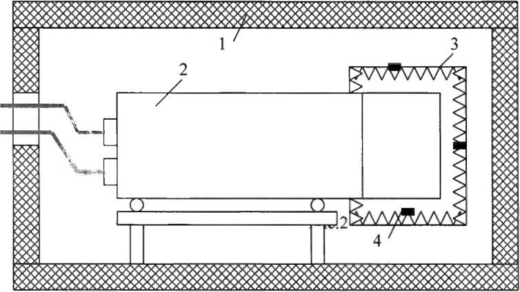
8.8.1 Для определения доверительных границ абсолютной погрешности измерений радиояркостной температуры (далее - РЯТ) профилемером собрать схему для проведения испытаний, приведенную на рисунке 4.
Профилемер (1) установить вертикально на площадке, находящейся выше уровня земли на высоте >15 м. Плоскость сканирования в этом случае горизонтальна. В секторе углов сканирования не должны попадать посторонние предметы.
Внешний температурный датчик профилемера установить в соответствии с рекомендациями РЭ.
Провести калибровку профилемера в штатном режиме по внешнему температурному датчику и РЯТ атмосферы, измеряемой под углом 0-0°.
-
8.8.2 Выполнить измерения РЯТ эталонного НШИ (2), установленного вплотную к радиопрозрачному окну профилемера. При этом, апертура НШИ с блендой (3) должна полностью перекрывать диаграмму направленности антенной системы профилемера при угле 0 сканера 90° (рисунок 4а).
Измерения выполнить для трех, предварительно измеренных компаратором эталона, значений РЯТ Тэя НШИ 100: 233,15 К (минус 40 °C), 273,15 К (0 °C), 313,15 К (плюс 40 °C).
-
8.8.3 Выполнить измерения РЯТ атмосферы ТА(6>) в горизонтальной плоскости сканирования (рисунок 46).
-
8.8.4 Определить систематическую составляющую погрешности измерений РЯТ атмосферы, обусловленную неравномерностью характеристик угловых каналов по формуле
(15)
где Тя™ ) и (6^) — максимальное и минимальное значения измеренной РЯТ,
полученные для углов сканирования $ и Зк в горизонтальной плоскости.


а)
2-НШИ 100;
б)
3 - бленда
1 - испытуемый профилемер;
Рисунок 4
-
8.8.5 Вычислить составляющую систематической погрешности, обусловленную погрешностью измерений РЯТ эталонной меры по формуле
ДГ2=^-7^, (16)
ЕМ'Э
где Тя = -^-------;
И
Тя (t,) - РЯТ эталонного НШИ, измеренная профилемером в различные моменты времени, п > 10;
Тя - предварительно измеренные компаратором значения РЯТ эталонного НШИ.
-
8.8.6 Вычислить среднее квадратическое отклонение результата измерений РЯТ профилемером по формуле
И" "■(»-■) <17)
-
8.8.7 Вычислить границу неисключенной систематической погрешности по формуле
ДТ" =А:-7(ДГ1)2+(ДГ2)2 , (18)
где к = 1,1 при доверительной вероятности Р = 0,95.
\ТИ
-
8.8.8 При —— <0,8, доверительные границы абсолютной погрешности измерений РЯТ
Sj-
\ТИ определить формуле
\ТЯ = ет = ms-Sr, (19)
где для Р = 0,95 и п =10, ms = 2,262.
При —— >8, доверительные границы абсолютной погрешности измерений РЯТ определить формуле
ДТ„ = ДТ" . (20)
-
8.8.9 В случае, если неравенства п. 8.8.11 не выполняются, то доверительные границы погрешности измерений РЯТ профилемером вычислить по формуле:
(21) sT + AT?

Д7]2+ДГ22 ’
3
-
8.8.10 Результаты поверки считать положительными, если в диапазоне измерений РЯТ от 224 до 324 К значения Л7\ находятся в пределах ±1,2 К.
В противном случае результаты поверки считать отрицательными и последующие операции поверки не проводить.
8.9 Определение амплитудно-частотной характеристики микроволнового приемника теплового излучения атмосферы-
8.9.1 Амплитудно-частотная характеристика (далее - АЧХ) приемника определяет зависимость выходного сигнала приемника V от частоты f при подаче на вход приемника перестраиваемого по частоте узкополосного излучения постоянной мощности.
Для определения АЧХ приемника собрать установку в соответствии с рисунком 5.
3

2 — направленный ответвитель
4, 5 — измерительные аттенюаторы ДЗ-38
1 — генератор сигналов Г4-142;
3 — измеритель мощности;
-
6 — рупорная антенна из состава УВТ 96-А-2000
-
7 — радиопоглощающий экран ; 8 — поверяемый профилемер МТР-5
Рисунок 5
-
8.9.2 Последовательность выполнения операций при измерении АЧХ:
-
— аттенюаторы 4, 5 закрыть;
-
— включить и прогреть генератор 1, ваттметр 3 и профилемер МТР-5;
-
— установить на генераторе 1 частоту /0 =56,6 ГГц;
-
— постепенно открывать аттенюаторы до появления на экране ПК сигнала;
-
— увеличивая с помощью аттенюаторов уровень входного сигнала, определить максимальное значение выходного сигнала Umax профилемера МТР-5, соответствующее началу режима насыщения приемника профилемера МТР-5;
-
— с помощью аттенюаторов 4, 5 установить уровень сигнала приемника UfQ = 0,5*t/max, записать в протокол испытаний значения ослаблений £4/0 и L5/Q аттенюаторов 4, 5 и уровень мощности Ро, регистрируемой измерителем мощности 3;
-
— перестроить генератор 1 на частоту /j = /0 + А/, Д/= 50 МГц, регулятором мощности генератора 1 установить мощность на входе измерителя мощности 3, равную PQ;
-
— с помощью аттенюатора 4 установить на экране ПК сигнал U л = 7//0, зафиксировать
в рабочем журнале разность ослаблений Dfx = Lf0 - ;
-
— перестроить генератор 1 на частоту /2 = / + , регулятором мощности генератора 1
снова установить мощность на входе измерителя мощности 3, равную Ро, аттенюатором установить на экране ПК сигнал Uf2 = U/0, зафиксировать в рабочем журнале значение Z)/2 = Z/o - Lf2 в протокол испытаний;
— последовательно выполнить измерения Dfi на частотах / = /0 + z • 4/ и /у = .
Измерения закончить при достижении Dfl значения (60 - 65) дБ.
-
8.9.3 На основании полученных результатов измерений построить график АЧХ. По полученному графику вычислить ширину АЧХ на уровне минус 10 дБ.
-
8.9.4 Результаты поверки считать положительным, если ширина АЧХ по уровню минус 10 дБ не более 0,6 ГГц.
В противном случае результаты поверки считать отрицательными и последующие операции поверки не проводить.
8.10 Определение ширины диаграммы направленности антенной системы-
8.10.1 Определение ширины диаграммы направленности (далее - ДН) выполнять на частоте 56,6 ГГц с помощью государственного эталона единицы коэффициента усиления (эффективной площади) направленных антенн с размером апертуры до 40 см УВТ 96-А-2000. (далее - УВТ 96-А-2000).
-
8.10.2 Собрать установку для проведения измерений, приведенную на рисунке 6 (страница 17).
-
8.10.3 Последовательно выполнить следующие операции:
-
— установить измерительный блок 7 профилемера на ОПУ УВТ 96-А-2000;
-
— апертуру А антенной системы профилемера при 0 =0° установить в центре рабочей зоны радиоколлиматора УВТ 96-А-2000, остальной участок измерительного блока 7 закрыть радиопоглощающим материалом 9.
-
8.10.4 Включить средства измерений, включить СВЧ мощность генератора сигналов.
Юстировкой и аттенюатором 4 добиться максимального сигнала 170 приемной системы профилемера.
Аттенюатором 4 установить уровень сигнала U = 0,5*UQ, Зафиксировать в рабочем журнале значения ослабления аттенюатора 4, соответствующие углу 0 = 0°.
-
8.10.5 Смещая ОПУ УВТ 96-А-2000 с измерительным блоком на угол 0 =15° с шагом 0,5° сначала вправо от направления 0 =0°, затем влево, измерить ДН в азимутальной (£ -плоскости) и вертикальной (Н - плоскости) плоскостях.
После каждого смещения профилемера МТР-5 на угол &0 =0,5° сигнал приемника аттенюатором 4 снова устанавливать равным UQ.
-
8.10.6 Результаты поверки считать положительными, если ширина ДН в Е и Н плоскостях на уровне минус 3 дБ не превышает 3°.
В противном случае результаты поверки считать отрицательными и последующие операции поверки не проводить.
9
генераторное опорно-поворотное устройство
5 — рупорный облучатель 7 — измерительный блок профилемера МТР-5
9-РПМ
1 — генератор сигналов;
3 — вентиль; 4 — измерительный аттенюатор;
6 — зеркало коллиматора;
8 — опорно-повортотное устройство (далее - ОПУ) УВТ 96-А-2000;
Рисунок 6
-
8.11 Определение доверительных границ (при доверительной вероятности Р = 0,95) абсолютной погрешности измерений термодинамической температуры атмосферы профилемером МТР-5
-
8.11.1 Измерения для определения доверительных границ абсолютной погрешности измерений термодинамической температуры атмосферы при доверительной вероятности Р = 0,95 выполнять путем сравнения профилей температуры атмосферы, измеренных в одно и то же время, в одном и том же месте, профилемером и контактными датчиками температуры радиозонда на разных высотных уровнях.
-
8.11.2 Для сравнения использовать данные радиозондирования аэрологических станций наблюдений сети Росгидромета.
Для измерений испытуемый профилемер установить в соответствии с РЭ на расстоянии (50 - 500) м от места выпуска радиозонда.
-
8.11.3 Сравнения выполнять по выборке не менее чем по десяти измеренным профилям температуры в условиях адиабатического процесса до высоты не выше 2 км.
-
8.11.4 Разности температуры между измеренной контактным датчиком радиозонда и температуры измеренной профилемером для каждого высотного уровня j образует массив данных погрешностей ЛТу, где i - номер разности.
Для расчета разности температур, для каждого высотного уровня Ht, на котором измерена температура контактным датчиком радиозонда, выбирают значение температуры, полученное профилемером для ближайшего высотного уровня и в ближайшее время.
Для определения температуры измеренной профилемером на заданном высотном уровне применяется линейная аппроксимация температуры, полученной профилемером по двум высотным уровням, расположенным выше и ниже высотного уровня, на котором получены данные измерений контактным датчиком.
-
8.11.5 Систематическую составляющую абсолютной погрешности измерений термодинамической температуры в j-м слое атмосферы определить по формуле
(22)
где N - число измеренных профилей температуры атмосферы.
-
8.11.6 Среднее квадратическое отклонение случайной составляющей погрешности измерений температуры j слоя Sj, определить по формуле
■ <2з>
-
8.11.7 Доверительные границы е7 случайной погрешности измерений температуры j слоя вычислить по формуле
= ms ■ Sj, (24)
где ms - коэффициент Стьюдента, для п = 10 и Р = 0,95 ms = 2,26.
-
8.11.8 Границу НСП 0Х оценки измеряемой величины температуры j слоя оценить по формуле
@j=kTcj+M'Jp\ (25)
где ДГ]’3 - доверительные границы (Р = 0,95) погрешности измерений
термодинамической температуры j слоя атмосферы радиозондом.
-
8.11.9 Доверительные границы погрешности измеряемой профилемером температуры j слоя атмосферы (Р=0,95) вычислить по формуле:
(26)
2 1 2
+-0у , К - коэффициент, зависящий от соотношения случайной
составляющей погрешности Sj и НСП Oj, определяемый по формуле
(27)
-
8.11.10 Результаты поверки считать положительными, если в диапазоне высот от 0 до 1000 м в каждом j слое атмосферы значения ДТ. < 2,5 °C.
В противном случае результаты поверки считать отрицательными и последующие операции поверки не проводить.
8.12 Определение диапазона и относительной погрешности определения высоты измеряемых слоев атмосферы-
8.12.1 Определение диапазона и относительной погрешности определения высоты 3Hj, измеряемых слоев атмосферы профилемером МТР-5, проводить в ходе поверки по п. 8.12.
-
8.12.2 Относительную погрешность 3HJt в %, определения высоты слоя атмосферы Hj определить по формуле

Д7)-100
(28)
. rr, I гг, МТР гг РЗ I ,
где Kij = | Tj - Tj | — средняя разность температур, измеренных профилемером МТР-5 (TjMTP) и радиозондом (ТРЗ) в одно и то же время на одной высоте Н};

— МТР
Tj-X

— крутизна участка профиля шириной на высоте Н},
измеренного профилемером МТР-5;
л; мтр л; мтр
Tj , Тj-\ — средние значения термодинамической температуры слоя j и
примыкающего к нему нижнего слоя (j~l).
-
8.12.3 Результаты поверки считать положительными, если в диапазоне высот от 0 до 1000 м значения dHjнаходятся в пределах ±25 %.
В противном случае результаты поверки считать отрицательными и последующие операции поверки не проводить.
9 ОФОРМЛЕНИЕ РЕЗУЛЬТАТОВ ПОВЕРКИ-
9.1 Профилемер МТР-5 признается годным, если в ходе поверки все результаты положительные.
-
9.2 На профилемер МТР-5, который признан годным, выдает выдается Свидетельство о поверке по установленной форме.
Знак поверки наносить в виде наклейки или оттиска клейма поверителя на свидетельство о поверке.
-
9.3 Профилемер МТР-5, имеющий отрицательные результаты поверки в обращение не допускается, и на него выдается Извещение о непригодности к применению с указанием причин забракования.
Начальник НИО-2 ФГУП «ВНИИФТРИ»
Начальник лаборатории 205 ФГУП «ВНИИФТРИ»
Старший научный сотрудник лаборатории 205 ФГУП «ВНИИФТРИ
Юрчук
М.В. Саргсян
19
