Методика поверки «Система измерительная "ИС-ДВС 003"» (МП ИС-ДВС 003)
СОГЛАСОВАНО
УТВЕРЖДАЮ
Генеральный директор ООО «АВЛ» Заместитель генерального директора

- директор исследовательского центра «Авиационные двигатели» ФГУП «ЦИАК1 имДТИ. Баранова»
В.Г. Марков
2020 г.
Государственная система обеспечения единства измерений
СИСТЕМА ИЗМЕРИТЕЛЬНАЯ «ИС-ДВС 003»
Методика поверки
МП ИС-ДВС 003
2020 г.
СОДЕРЖАНИЕ
ПРИНЯТЫЕ СОКРАЩЕНИЯ И УСЛОВНЫЕ ОБОЗНАЧЕНИЯ
ИС-ДВС 003
вп
пп
ПЭВМ ик
MX
кт
МП
РЭ ско j
к
п
N
-
- система измерительная «ИС-ДВС 003»;
-
- верхний предел диапазона измерений ; первичный преобразователь (датчик);
персональная электронно-вычислительная машина;
-
- измерительный канал (каналы)
-
- метрологические характеристики;
-
- контрольная точка диапазона измерений (ДИ), в которой устанавливается (задается) номинальное действительное значение измеряемой величины, принимаемое за истинное, при проведении экспериментальных исследований поверяемого ИК
-
- методика поверки;
-
- руководство по эксплуатации;
-
- среднее квадратическое отклонение случайной величины;
-
- номер цикла нагружения;
-
- номер ступени нагружения;
-
- число циклов нагружения;
-
- число ступеней нагружения.
Настоящая Методика поверки распространяется на систему измерительную «ИС-ДВС 003», предназначенную для испытаний двигателей внутреннего сгорания (ДВС), и устанавливает методику её первичной и периодических поверок. Методика выполнена в соответствии с Рекомендацией РМГ 51-2002 «ГСИ. Документы на методики поверки средств измерений. Основные положения», ГОСТ Р 8.596-2002 «ГСИ. Метрологическое обеспечение измерительных систем. Основные положения» и приказом Минпромторга России (Министерство промышленности и торговли РФ) от 31 июля 2020 г. № 2510 «Об утверждении порядка проведения поверки средств измерений, требований к знаку поверки и содержанию свидетельства о поверке».
Система измерительная «ИС-ДВС 003» (далее Система) проектировалась из компонентов, изготавливаемых различными производителями и принимаемых как законченные изделия непосредственно на месте эксплуатации (измерительные системы ИС-2 по ГОСТ Р 8.596-2002).
Система состоит из следующих измерительных каналов (ИК):
-
- ИК крутящего момента силы на валу ДВС;
-
- ИК частоты вращения вала;
-
- ИК часового массового расхода дизельного топлива:
-
- ИК массового расхода воздуха;
-
- ИК расхода картерных газов;
-
- ИК температуры газа (воздуха), охлаждающей жидкости, топлива, масла;
-
- ИК давления газа (воздуха), масла;
-
- ИК относительной влажности воздуха в боксе.
Допускается проведение поверки отдельных измерительных каналов и (или) отдельных автономных блоков из состава Системы.
Интервал между поверками - 1 год.
1 СПОСОБЫ ПОВЕРКИ И НОРМИРОВАНИЯ MXСпособы поверки
Настоящая МП устанавливает комплектный и поэлементный способы поверки ИК.
Нормирование MX
-
1.1.1 Номенклатура MX ИК, определяемых по данной МП, установлена в соответствии с ГОСТ 8.009-84.
-
1.1.2 Оценка и форма представления погрешностей - по МИ 1317-2004.
-
1.1.3 Методы определения MX ИК при поверке комплектным способом - по ГОСТ 8.207-76 и ОСТ 1 00487-83.
Нормирование поверки:
- количество КТ на ДИ - по МИ 2440-97.
2 ПЕРЕЧЕНЬ ОПЕРАЦИЙ ПОВЕРКИ2.1.1 Перечень операций, которые должны проводиться при поверке ИС-ДВС 003, приведен в таблице 2.1.
Таблица 2.1 - Перечень операций поверки
Наименование операции |
Номер пункта документа по поверке |
Проведение операции при | |
первичной поверке |
периодической поверке*’ | ||
1 |
2 |
3 |
4 |
1 Внешний осмотр |
8.1 |
+ |
+ |
2 Опробование |
8.2 |
+ |
+ |
3 Определение метрологических характеристик ИК: |
8.3 |
+ |
+ |
3.1 ИК крутящего момента силы на валу ДВС; |
8.4 |
+ |
+ |
3.2 ИК частоты вращения вала; |
8.5 |
+ |
+ |
3.3 ИК часового массового расхода дизельного топлива; |
8.6 |
+ |
+ |
3.4 ИК массового расхода воздуха; |
8.7 |
+ |
+ |
3.5 ИК расхода картерных газов; |
8.8 |
+ |
+ |
3.6 ИК температуры газа (воздуха), охлаждающей жидкости, топлива, масла; |
8.9 |
+ |
+ |
3.6 ИК давления газа (воздуха), масла; |
8.10 |
+ |
+ |
3.7 ИК относительной влажности воздуха в боксе; |
8.11 |
+ |
+ |
4. Оформление результатов поверки |
9 |
+ |
4- |
* - при периодической поверке допускается проведение поверки отдельных измерительных кана-лов, при этом в свидетельстве о поверки указывают перечень поверяемых ИК.
СРЕДСТВА ПОВЕРКИ3.1 При проведении поверки использовать средства измерений и вспомогательное оборудование, приведенные в Таблица 3.1.
Таблица 3.1 - |
Перечень средств поверки |
Ссылка на номер раздела МП |
Наименование и тип (условное обозначение) основных или вспомогательных средств поверки, обозначение нормативного документа, регламентирующего технические требования, основные и (или) метрологические и характеристики |
1 |
2 |
8.4 |
Калибровочный рычаг AVL CALIBRATION LEVER IM 5KN; Уровень рамный (брусковый) по ГОСТ 9392-89; Термометр жидкий стеклянный технический по ГОСТ 28498-90, диапазон измерения (от 0 до 100) °C, кл.т. 1; Гири класса точности Mi точности по ГОСТ OIML R 111-1-2009. |
8.5 |
Фототахометр типа АТТ-6000 (регистрационный номер в Федеральном информационном фонде 27264-11). |
8.6 |
Секундомер СОСпр-2б-2-000 (регистрационный номер в Федеральном информационном фонде 11519-01); Весы лабораторные электронные LP3200S (регистрационный номер в Федеральном информационном фонде 22403-03). |
8.7 |
3.2.ДДС.0018.2017 (рабочий эталон единицы объемного расхода газа 1 разряда в диапазоне значений от 40.0 до 2500 м3/ч, пределы допускаемой относительной погрешности ±0,3%, утв. приказом №1081 /1/13 от 13.05.2019 г.). |
8.8 |
3.2.ДДС.0001.2016 (рабочий эталон единицы объемного расхода газа 1 разряда в диапазоне значений от 0,016 до 40,0 м3/ч, пределы допускаемой относительной погрешности ±0,3%, утв. приказом №1652 /1/14 от 01.08.2017 г.). |
8.9 |
Калибраторы температуры 140SE, 650SE, 1200SE соответствующие 3 разряду (рабочему эталону) по Государственной поверочной схеме ГОСТ 8.558-2009. |
8.10 |
Калибратор давления DPI-615 с внешними модулями (регистрационный номер в Федеральном информационном фонде 16347-09); Барометр рабочий сетевой БРС-1М (регистрационный номер в Федеральном информационном фонде 16006-97). |
8.11 |
Генератор влажности газа образцовый динамический Родник 2М (регистрационный но-мер в Федеральном информационном фонде 11739-89). |
8.11; 8.11 |
Калибратор электрических сигналов ИКСУ-260 (регистрационный номер в Федеральном информационном фонде 35062-07). |
8.4-8.11 |
Прибор комбинированный Testo 622 (регистрационный номер в Федеральном информационном фонде 53505-13). |
При проведении поверки допускается применение других средств поверки, удовлетворяющие по точности и диапазону воспроизведения или измерений требованиям настоящей методики.
Используемые средства поверки должны иметь действующее свидетельство об аттестации эталона и/или действующее свидетельство о поверке (с учетом требований поверочных схем).
ТРЕБОВАНИЯ К КВАЛИФИКАЦИИ ПОВЕРИТЕЛЕЙК поверке допускаются лица, изучившие руководство по эксплуатации (РЭ) на систему и, входящие в её состав аппаратные и программные средства, знающие принцип действия используемых средств измерений и прошедшие инструктаж по технике безопасности (первичный и на рабочем месте) в установленном в организации порядке.
К поверке допускаются лица, освоившие работу с используемыми средствами поверки, изучившие настоящую методику и, имеющие достаточную квалификацию.
Лица, участвующие в поверке системы, должны проходить обучение и аттестацию по технике безопасности и производственной санитарии при работе в условиях её размещения.
5 ТРЕБОВАНИЯ БЕЗОПАСНОСТИПри проведении поверки необходимо соблюдать требования техники безопасности, предусмотренные «Правилами технической эксплуатации электроустановок потребителей» и «Правилами по охране труда при эксплуатации электроустановок», ГОСТ 12.2.007.0-75, ГОСТ Р 12.1.019-2017, ГОСТ 12.2.091-2002 и требования безопасности, указанные в технической документации на применяемые эталоны и вспомогательное оборудование. Любые подключения приборов проводить только при отключенном напряжении питания системы.
Кроме того, необходимо соблюдать следующие требования:
-
- к работе по выполнению поверки (калибровки) допускаются лица не моложе 18 лет. прошедшие аттестацию по технике безопасности и промышленной санитарии, ознакомленные с эксплуатационной документацией на систему, с инструкцией по эксплуатации электрооборудования стенда и с настоящей методикой;
-
- электрооборудование стенда, а также электроизмерительные приборы, используемые в качестве средств поверки, должны быть заземлены, блоки питания должны иметь предохранители номинальной величины;
-
- работы по выполнению поверки ИС-ДВС 003 должны проводиться по согласованию с лицами, ответственными за эксплуатацию испытательного стенда.
-
6.1 Условия окружающей среды в испытательном боксе:
-
- температура воздуха, °C
от+10 до +30 от 30 до 80 от 96 до 106
от 187 до 242 50±1,0 1500
-
- относительная влажность воздуха при температуре +25 °C, %
-
- атмосферное давление, кПа
-
6.2 Питание:
-
- напряжение переменного тока. В
-
- частота переменного тока, Гц
-
- потребляемая мощность, В А, не более
-
7.1 Подготовка к поверке - общие положения:
-
- Проверить наличие действующих свидетельств о поверке (либо свидетельств об аттестации эталона) на средства поверки;
-
- Обеспечить в испытательном боксе и пультовой требуемые условия для поверки.
-
7.2 Подготовка к поверке ПК системы:
-
- Проверить техническое состояние и подготовить систему к работе в соответствии с руководством по эксплуатации.
-
8.1.1. При выполнении внешнего осмотра должно быть установлено соответствие поверяемого ИК ИС-ДВС 003 следующим требованиям:
-
- комплектность ИК ИС-ДВС 003 должна соответствовать РЭ;
-
- маркировка ИК ИС-ДВС 003 должна соответствовать требованиям проектной и эксплуатационной документации;
-
- измерительные, вспомогательные и соединительные компоненты (кабельные разъемы, клеммные колодки и т. д.) ИК системы не должны иметь визуально определяемых внешних повреждений и должны быть надежно соединены и закреплены;
-
- соединительные линии (кабели, провода) не должны иметь повреждений изоляции и экранирования и должны быть надежно соединены с разъемами и клеммами;
-
- экранирование кабелей и проводов должно быть соединено между собой и с заземляющим контуром в соответствии с электрическими схемами.
-
8.1.2. Результаты внешнего осмотра считать удовлетворительными, если выполняются условия, изложенные в пункте 8.1.1. В противном случае поверка не проводится до устранения выявленных недостатков.
-
8.2.1. Идентификация ПО
Для проверки наименования и версии ПО выполнить следующие операции:
-
8.2.1.1. Запустить ПО управления AVL PUMA Open, поверить идентификационное наименование и номер версии ПО:
-
8.2.1.2. Результаты проверки считать положительными, если идентификационные данные ПО соответствуют данным, указанным ниже:
идентификационное наименование - «AVL PUMA Open 2»;
-
- номер версии, не ниже - 3.4.
-
8.2.2. Для проверки работоспособности поверяемых ИК ИС-ДВС 003 выполнить действия в соответствии с РЭ.
Проверку проводить комплектным и (или) поэлементным способом.
8.4. Определение метрологических характеристик ИК крутящего момента силы на валу ДВС-
8.4.1. Определение порога реагирования
Порог реагирования определяется при действии на рычаг моментов, равных
0,1 • Мтах и 1,0’Мтах (Мтах - максимальный момент, измеряемый ИК).
Порядок выполнения операции: при приложении к рычагу последовательно указанных моментов сил положить на грузоприёмное устройство плавно (без толчков) такое количество дополнительных гирь, при котором показания ИК устойчиво увеличиваются на 1-2 единицы младшего разряда.
Снять дополнительные гири с грузоприёмного устройства и записать в протокол вес дополнительных гирь. Повторить эксперимент с наложением гирь еще 4 раза. Данные экспериментов занести в протокол.
Вычислить порог реагирования при действии на рычаг моментов, равных 0,1 • Мтах и 1,0'Мтах:
г = L-qcp (1)
где L - длина рычага; qcp - среднее арифметическое значение веса дополнительных гирь, положенных на грузоприемное устройство.
Порог реагирования системы не должен превышать 0,05% Мтах.
-
8.4.2. Определение случайной и систематической составляющих погрешности ИК
-
8.4.2.1. Составляющие основной погрешности определяются по результатам 5-кратного нагружения Системы, для чего выполнить следующие операции:
-
8.4.2.1.1. Выставить рычаг при помощи уровня в горизонтальное положение с погрешностью не более 10’. Подать напряжение питания на Систему. После ее прогрева в соответствии с требованиями РЭ нагрузить ИК нагрузкой Мтах и выдержать при этой нагрузке не менее 3-х минут. Разгрузить ИК.
-
8.4.2.1.2. Записать в протокол время начала поверки, температуру окружающего воздуха в боксе и показания ИК при нагрузке, соответствующей условному нулю ИК.
-
8.4.2.1.3. Задать регулярную последовательность из 5-ти контрольных значений крутящего момента силы от условного нуля до Мтах (прямой ход) и от М max ДО УСЛОВНОГО Нуля (обратный ход) (с остановкой на каждой контрольной точке не менее 15 секунд), произвести регистрацию показаний ИК и запись их в протокол.
-
8.4.2.1.4. Повторить работы по пункту 8.4.2.1.3 ещё четыре раза.
-
8.4.2.1.5. Снять напряжение питания с Системы и записать в протокол время окончания градуировки и температуру в боксе.
Примечание - При нагружении ИК необходимо соблюдать следующие правила:
-
- считывание и регистрацию показаний ИК производить после их установления;
-
- при нагружении (разгрузке) ИК не допускать переход через принятые контрольные точки и возврата к ним с противоположной стороны хода нагружения. В случае такого перехода следует разгрузить (нагрузить) ИК до значения крутящего момента силы, предшествующей данной контрольной точке, после чего нагрузить (разгрузить) ИК и выйти на необходимую контрольную точку;
-
- перерыв между следующими друг за другом однократными нагружениями не должен превышать 10 минут.
-
8.4.2.2. Вычисление случайной составляющей основной погрешности ИК:
Среднее арифметическое значение показаний ИК в k-й контрольной точке:
М = (2)
k 2
где = — • У М k > КТ" = — • У М k - средние арифметические значения показаний для пря-n п 7н
мого и обратного ходов на k-й ступени нагружения;
п, п - число единичных отсчетов ИК в к-м ряду измерений при нагружении и разгрузке, соответственно;
М- к, М, к - i-e отсчеты в к-м ряду измерений при нагружении и разгрузке, соответственно.
Оценка CKO случайной составляющей основной абсолютной погрешности в k-й кон
трольной точке:
£(M'.k-M')2+f(M"k-M'')2
(3)
где n = nz+n'.
Произвести «отбраковку» аномальных результатов измерений в соответствии с критерием Граббса, изложенным в ГОСТ Р ИСО 5725-2002.
Повторно вычислить средние арифметические значения указанных параметров с учетом отбракованных результатов измерений.
СКО случайной составляющей абсолютной погрешности ИК от гистерезиса в к-й контрольной точке:

(4)
Оценка случайной составляющей основной абсолютной погрешности ИК в k-й контрольной точке: где ta - коэффициент Стьюдента-Фишера. зависящий от доверительной вероятности Р и числа измерений п. Значения коэффициента ta при доверительной вероятности Р = 0,95 приведены в приложении 1.
(5)
Оценка случайной составляющей основной относительной погрешности ИК в к-й контрольной точке (для диапазона нагрузок от 300 до 3000 Н-м):
50к =^--100%, (6)
Мк
где Мтах - максимальный момент из Мк.
Оценка случайной составляющей основной погрешности ИК, приведенной к Л/зоо
(для диапазона нагрузок от 0 до Л/зоо = 300 Н-м ():
v =Al.]00% <7)
' л я
^300
Результаты определения случайной составляющей погрешности ИК записать в протокол.
-
8.4.2.3. Вычисление систематической составляющей основной погрешности ИК
Оценка систематической составляющей основной абсолютной погрешности ИК в k-й контрольной точке:
Л =М -М (8)
^os.k lvlk mcry,k >
где Мегу, к - момент силы, воспроизводимой в к-й контрольной точке.
Оценка систематической составляющей основной относительной погрешности ИК в k-й контрольной точке (для диапазона нагрузок от 300 до 3000 Н-м):
3o.k = ^--100% <9)
Мк
Оценка систематической составляющей основной погрешности ИК, приведенной к Л/зоо в k-й контрольной точке (для диапазона нагрузок от 0 до Мзоо = 300 Н-м):

•100%
(10)
Результаты определения систематической составляющей основной погрешности ИК записать в протокол.
-
8.4.2.4. Определение суммарной (основной) погрешности ИК
Оценка суммарной абсолютной погрешности в k-й контрольной точке:
^o.k = l^o.k| + l^os.k |
(Н)
Оценка основной относительной погрешности ИК в к-й контрольной точке (для диапазона нагрузок от 300 до 3000 Н-м):
8k =SM00% <12)
Мк
Оценка основной погрешности ИК, приведенной к Мзоо в k-й контрольной точке (для диапазона нагрузок от 0 до Мзоо = 300 Н-м):
z =Ai-.100% <13)
Результаты определения систематической составляющей суммарной погрешности ИК записать в протокол.
-
8.4.2.5. Результаты поверки ИК крутящего момента силы на валу ДВС считать
положительными, если полученные значения погрешностей удовлетворяют установленным для них требованиям (приложение А).
-
8.5. Определение метрологических характеристик ИК частоты вращения вала
-
8.5.1. Измерить «на стоянке» поверяемым ИК частоту вращения ротора, сравнить полученные данные с ожидаемыми значениями указанного параметра (должны быть в среднем нулевые показания).
-
8.5.2. Запустить двигатель и выставить последовательно минимальную (200 об/мин) и максимальную (3500 об/мин) частоты вращения коленчатого вала. Измерить выставленные частоты вращения вала поверяемым ИК и фототахометром. Убедиться в работоспособности ИК и фототахометра.
8.5.3.Запустить двигатель и выставить последовательно ряд значений частот вращения коленчатого вала:
F =F . + ^jnaxzfmin_(k-l )' (14)
k min N_1
где Fmin, Fmax - минимальная и максимальная частоты вращения; k=l.. ,N - номер ступени нагружения. Число ступеней нагружения N >5.
На каждой ступени нагружения измерить при помощи поверяемого ИК и фототахометра значения частот вращения F(IIK)kJ,F(yCT)kj, где j=l...n - номер единичного измерения (п >10).
Определить максимальную относительную погрешность ИК:
5F = max(lF<‘"‘l> ^”**1)100% <]5)
Л««>»
где F(llK)k,F(<k)k -средние арифметические частоты на k-й ступени нагружения, измеренные поверяемым ИК и фототахометром.
-
8.5.4. Результаты поверки ИК частоты вращения вала считать положительными, если полученные значения погрешности удовлетворяют установленным требованиям (приложение А).
-
8.6.1. Определение MX ИК часового массового расходы топлива выполнять в следующем порядке:
Установить расход жидкости через поверяемый расходомер Gk (не менее трех значений (ступеней нагружения) включая верхний и нижний пределы измерений в соответствии с приложением А), Слив топлива осуществлять во вспомогательную емкость. Контроль значения расхода осуществлять по показаниям поверяемого ИК (расходомера).
Выждать на заданном расходе 0.5-2 минуты. Произвести переброску потока жидкости в рабочую емкость и через заданный интервал времени Тк произвести обратную переброску потока во вспомогательную емкость.
Измерить интервал времени Тк, равный времени наполнения рабочей емкости на к-й ступени нагружения.
Измерить расход жидкости Gk, зафиксированный поверяемым ИК (расходомером) на k-й ступени нагружения.
Измерить троекратно при помощи весов массу топлива nik, слитого в измерительную емкость, где к=1-3 номер ступени нагружения.
Провести аналогичные операции при оставшихся значениях расхода (вторая и третья ступени нагружения).
-
8.6.2. Определение погрешности ИК часового массового расходы топлива:
Рассчитать среднее арифметическое значение массы слитого топлива на k-й ступени нагружения тк.
Рассчитать среднее арифметическое значение массы слитого топлива на k-й ступени нагружения с учетом выталкивающей силы воздуха при взвешивании:
mk = mk х (1 + (16)
z р
где рв(р,Т) = —— - плотность воздуха при температуре Т и давлении р; R=287 Дж/кг К: рА -КТ
плотность проливаемой жидкости.
Рассчитать расход жидкости:
А ™к
(17)
Gk = “А
ц
Рассчитать относительную погрешность поверяемого ИК (расходомера) для каждой ступени нагружения:
8Gk=^G^(k=1.2,3)
(18)
Gk
-
8.6.3. Результаты поверки ИК часового массового расхода топлива считать положительными, если полученные значения погрешностей удовлетворяют установленным для них требованиям (приложение А).
духа
ИК массового расхода воздуха представлен расходомером FlowSonix 150 и поверяется автономно.
-
8.7.1. Измерительный блок канала измерения объемного/массового расхода впускного воздуха с входящими в его состав прямыми участками измерительного трубопровода, подключается на вход эталона расхода.
К измерительному блоку подключается вычислительный блок, на дисплее которого отображается значение расхода. Вычислительный блок настраивается на измерение массового расхода, в соответствии с инструкцией по эксплуатации и посредством веб-интерфейса подключается к ПЭВМ, также обеспечивающей вывод показаний расхода.
На эталоне расхода устанавливается необходимое значение расхода. После стабилизации расхода по показаниям дисплея и ПЭВМ, фиксируются результаты измерений расхода, отображаемые по каналу измерения объемного/массового расхода впускного воздуха и задаваемые эталоном расхода.
-
8.7.2. Расход воздуха, приведенный к стандартным условиям м3/ч), задаваемого эталоном расхода определяется по формуле:
= ' -293,15
(19)
101,325 (273,15 + /)’
где Яэт • значение расхода, измеренное эталонОхМ расхода в рабочих условиях на измерительном блоке. м3/ч; t - температура воздуха, °C; Ра - атмосферное давление, кПа;
По результатам измерений массового расхода впускного воздуха определяется соответствующий ему объемный расход воздуха, приведенный к стандартным условиям по формуле:

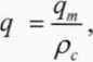
(20)
где qm - значение массового расхода, измеренное по каналу, кг/ч; рс - плотность воздуха при стандартных условиях (температура 20 °C. давление 101,325 кПа по ГОСТ 2939). равная 1,204348 кг/м3 (ГСССД МР 220-2014);
Допускается производить измерения в произвольном числе равно распределенных значений расхода (не менее 7 точек). Значения расхода должны включать qmjn; qmax. с отклонением не более ±10,0% (приложение А).
Расчет относительной погрешности измерений расхода по каналу измерений массового расхода впускного воздуха производится по формуле:
(21)
•100%,
-
8.7.3. Результаты поверки ИК расхода воздуха считать положительными, если полученные значения погрешностей удовлетворяют установленным для них требованиям (приложение А).
ИК расхода картерных газов представлен расходомером AVL 442 и поверяется авто-
ном но.
8.8.1. Диафрагменная трубка канала измерения объемного расхода картерных газов подключается на вход эталона расхода.
К диафрагменной трубке подключается модуль обработки, на котором устанавливается переключателем, согласно руководству по эксплуатации, соответствующий номиналу трубки диапазон измерений.
Модуль обработки посредством интерфейса RS232C подключается к ПЭВМ, обеспечивающей вывод показаний расхода.
На эталоне расхода устанавливается необходимое значение расхода.
После стабилизации расхода по показаниям ПЭВМ, фиксируются результаты измерений расхода, отображаемые на ПЭВМ и задаваемые эталоном расхода.
-
8.8.2. Расход воздуха (газа) (#'„,, л/мин), приведенный к опорным условиям, задаваемого эталоном расхода определяется по формуле:
-298,15-1000
(22)
100 (273,15 + 0-60’
где qjm - значение расхода, измеренное эталоном расхода в рабочих условиях диафрагменной трубки, м3/ч; / - температура воздуха, °C; Ра - атмосферное давление, кПа;
Допускается производить измерения в произвольном числе равно распределенных значений расхода (не менее 7 точек). Значения расхода должны включать qmin; qmax, с отклонением не более ±5,0% (приложение А).
Расчет приведенной погрешности измерений объемного расхода по каналу измерений объемного расхода картерных газов определяется по формуле:

•100%
(23)
-
8.8.3. Результаты поверки ИК расхода воздуха считать положительными, если полученные значения погрешностей удовлетворяют установленным для них требованиям (приложение А).
8.9.1.Определение погрешности ИК температуры производится комплектным способом: поместить ПП поверяемого ИК в выравнивающий блок калибратора температуры, с помощью которого задать ряд равномерно распределенных по диапазону ИК значений температуры, включая верхний и нижний пределы. Число ступеней нагружения N > 5, число циклов нагружения n = 1.
На каждой ступени нагружения зарегистрировать измеренные значения температуры Тк.
Определение пределов основной абсолютной погрешности ИК температуры выполнить по формуле:
ДТ„=±тах|Тк-Тк|, (24)
где Тк,Тк - измеренная и эталонная температуры на к-й ступени нагружения.
Для ИК температуры выхлопных газов вычислить максимальное значение относительной погрешности по формуле:


•100%
(25)
-
8.9.2. Результаты поверки ИК температуры считать положительными, если полученные значения погрешностей удовлетворяют установленным для них требованиям (приложение А).
-
8.10.1. Поверка ИК давления производится комплектным способом: на входы датчиков давлений поверяемых ИК подать ряд значений эталонного давления с помощью калибратора давления DPI 615 (для ИК барометрического давления к калибратору дополнительно подключается барометр БРС-1М параллельно с поверяемым ИК):
(26)
где k-l,2,...,N- номер ступени нагружения: N > 5 - число ступеней нагружения; РтшИ Ртах нижний и верхний пределы измерения поверяемого ИК.
Выполнить три цикла нагружения. При этом в каждом цикле давление необходимо повысить от нижнего до верхнего предела измерений (прямой ход) и понизить от верхнего предела до нижнего (обратный ход) с выдержкой по времени на верхнем пределе нагружения в течение 1 минуты. На каждой ступени нагружения зарегистрировать и занести в протокол измеренные значения давления рк.
-
8.10.2. Определение систематических составляющей погрешностей ИК давлений:
Абсолютная составляющая систематической погрешности измерения давления: АП _ к(прям) ^к(обр) р (27)
1АГсист 2 ’
где: Рцпрям) - среднее измеренное давление по 3-м циклам на k-ой ступени нагружения прямого хода; Рцобр) - то же самое для обратного хода нагружения.
-
8.10.3. Определение вариации (вариацию определяют при каждом поверяемом значении измеряемой величины, кроме значений, соответствующих нижнему и верхнему пределам измерений):
- р -р
л к(прям) 1 к(обр)
-
8.10.4. Определение суммарной погрешности измерения давления.
Случайные погрешности ИК не учитываются ввиду их малости. Предел абсолютной погрешности ИК избыточного давления:


сист
(29)
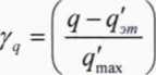
Для ИК с нормированием приведенной к ВП (Ртах ) погрешности, вычислить максимальное значение приведенной погрешности по формуле:
у,, = max
•100%
(30)
-
8.10.5. Результаты поверки ИК давления считать положительными, если полученные значения погрешностей удовлетворяют установленным для них требованиям (приложение А).
Поверку ИК выполнить в 3 этапа поэлементным способом:
-
- 1 этап - контроль (оценка) состояния и MX ПП;
-
- 2 этап - поверка электрической части ИК;
-
- 3 этап - определение и оценка суммарной погрешности ИК.
-
8.11.1. Поверка ПП относительной влажности осуществляется в соответствии с документом «ГСИ. Термогигрометры НМТ330. Методика поверки.» МП-2411-0158-2018, утвержденным ФГУП «ВНИИМ им. Д.И. Менделеева» 09 апреля 2018 г.
-
8.11.2. Поверку электрической части ИК относительной влажности воздуха в боксе выполнить в следующим образом: подключить калибратор ИКСУ-260 в режиме воспроизведения силы постоянного тока в диапазоне от 4 до 20 мА ко входу электрической части ИК и задать ряд значений силы тока (1к)(не меньше 5 равномерно распределенных по диапазону, включая верхнее и нижнее значения), соответствующих влажности воздуха (4 мА соответствуют 0. 20 мА - 100 % относительной влажности).
Вычислить максимальное значение приведенной к ВП (в единицах физической величины, соответствующих значениям силы постоянного тока) погрешности электрической части ИК по формуле:
(31)
max I— - 'п’‘-л- I • 100%,
1100 Imax ^min'
Уф(эч) ~
где фк- показания относительной влажности ИК: 1к- значение задаваемой силы тока на k-й ступени нагружения: lmaxn lmin~ значения силы тока, соответствующие максимальному и минимальному пределам измерения относительной влажности (100 и 0 %).
Вычислить суммарную погрешность ИК по формуле:
Дик= Ann + Уф(эч) • 100%, <32)
где Дик- погрешность термогигрометра.
Примечание - В случае наличия действующего свидетельства о поверке на ПП. в котором не указано значение экспериментально определенной погрешности, а приведено слово «Соответствует», воспользоваться паспортными данным ПП.
-
8.11.3. Результаты поверки ИК относительной влажности в боксе считать положительными, если полученные значения погрешности удовлетворяют установленным для нее требованиям (приложение А).
-
9.1 Сведения о результатах поверки передаются в федеральный информационный фонд по обеспечению единства измерений.
-
9.2 При положительных результатах поверки ИК системы «ИС-ДВС 003» оформляется свидетельство о поверке, если поверка проводилась не в полном объеме, в свидетельстве о поверке перечисляются только ИК, по которым производилась проверка.
-
9.3 При отрицательных результатах поверки ИК система «ИС-ДВС 003» не допускается к проведению испытаний, о чем делается запись в паспорте стенда и оформляется извещение о непригодности ИК к применению.
-
9.4 После устранения причин неисправности ИК проводится повторная поверка в соответствии с требованиями настоящей методики.
Б.И. Минеев
Главный метролог
ФГУП «ЦИАМ им. П.И. Баранова»
Приложение А
Таблица А.1 - Основные метрологические характеристики Системы
Измеряемые параметры (наименование измерительных каналов) |
Измеряемые величины |
Диапазон измерений/ (показаний) |
Предел допускаемой погрешностей |
Кол- во ИК |
Крутящий момент силы на валу ДВС |
Крутящий момент силы |
(от 0 до 300 Н м) |
- |
1 |
от 300 до 2000 H-м |
8: ±1 % ИЗ | |||
Частота вращения вала |
Частота вращения |
от 200 до 3500 об/мин |
8: ±0,5 % ИЗ |
1 |
Часовой массовый расход дизельного топлива |
Массовый расход |
от 5 до 125 кг/ч |
8: ±1 % ИЗ |
1 |
Массовый расход воздуха |
от 100 до 3000 кг/ч |
8: ±2 % ИЗ |
1 | |
Расход картерных газов |
Объемный расход |
от 20 до 400 л/мин |
у: ±3 % ВП |
1 |
Температура всасываемого воздуха |
Температура |
от 0 до 50 °C |
А:±1 °C |
1 |
Температура воздуха на выходе компрессора |
от 0 до 220 °C |
А: ±2 °C |
1 | |
Температура воздуха на выходе интеркулера |
от 0 до 80 °C |
А: ±2 °C |
1 | |
Температура охлаждающей жидкости на выходе |
от 0 до 150 °C |
А: ±2 °C |
1 | |
Температура топлива |
от 0 до 60 °C |
А: ±2 °C |
1 | |
Температура масла |
от 0 до 150 °C |
А: ±2 °C |
1 | |
Температура выхлопных газов |
от 300 до 1000 °C |
8: ±1 % ИЗ |
1 | |
Давление воздуха на выходе компрессора |
Избыточное давле- ние |
от 0 до 250 кПа |
у: ±0,3 % ВП |
1 |
Давление воздуха на выходе интеркулера |
от 0 до 250 кПа |
у: ±0,3 % ВП |
1 | |
Давление масла |
от 300 до 1000 кПа |
А: ±20 кПа |
1 | |
Давление выхлопных газов |
от 0 до 60 кПа |
А: ±0,2 кПа |
1 | |
Разрешение воздуха после воздушного фильтра |
Давление разряже ния |
от -30 до 30 кПа |
у: ±0,3 % ВП |
1 |
Барометрическое давление воздуха |
Абсолютное давление |
от 80 до 120 кПа |
А: ±0,1 кПа |
1 |
Относительная влажность воздуха в боксе |
Относительная влажность |
от 0 до 100 % |
А: ±3 % |
1 |
Примечания:
ВП - верхний предел измерения;
ИЗ - измеряемое значение;
у - приведенная погрешность, %;
8 - относительная погрешность, %;
А - абсолютная погрешность в единицах измеряемой величины.
19