Методика поверки «ГСОЕИ. Система автоматизированная информационно-измерительная коммерческого учета электроэнергии АНИС КУЭ ЕНЭС ПС 220 кВ Заискитимская» (МП-037-2021)
ЭНЕРТЕШ'
• измерения • испытания • контроль
ООО «ЭнерТест»
141100, Московская обл., Щёлково г., Пролетарский пр-кт, д.12, кв. 342
ИНН 7716741740, КПП 505001001; ОГРН 1137746275028
СОГЛАСОВАНО
Генеральный директор
ООО «ЭнерТест»

Государственная система обеспечения единства измерений
Система автоматизированная информационно-измерительная коммерческого учета электроэнергии АИИС КУЭ ЕНЭС ПС 220 кВ Заискитимская
Методика поверки
МП-037-2021
Москва
2021
Лист 2 Листов 12
Настоящая методика поверки распространяется на систему автоматизированную информационно-измерительную коммерческого учета электроэнергии АНИС КУЭ ЕНЭС ПС 220 кВ Заискитимская (далее по тексту - АИИС КУЭ) и устанавливает порядок проведения первичной и периодической поверок АИИС КУЭ.
1 ОБЩИЕ ПОЛОЖЕНИЯПоверке подлежит АИИС КУЭ с перечнем измерительных каналов (ИК), прошедших процедуру утверждения типа, и на которую распространено свидетельство об утверждении типа (состав ИК должен соответствовать описанию типа на АИИС КУЭ).
Допускается проведение поверки АИИС КУЭ в сокращенном объеме (в части отдельных ИК), с обязательным указанием в приложении к свидетельству о поверке информации об объеме проведенной поверки.
Допускается проведение поверки АИИС КУЭ с составом ИК, непосредственно применяемых для измерений в сфере государственного регулирования обеспечения единства измерений.
Прослеживаемость измерений в АИИС КУЭ обеспечивается посредством неразрывной цепи поверок средств измерений (измерительных компонентов), входящих в состав АИИС КУЭ, связывающих их с государственными первичными эталонами: ТТ с ГЭТ 152-2018, TH с ГЭТ 175-2019, Счетчики с ГЭТ 153-2019, УСПД и УССВ с ГЭТ 1-2018.
Для обеспечения прослеживаемости все средства измерений (измерительные компоненты), входящие в состав ИК АИИС КУЭ, должны своевременно поверяться в соответствии с интервалами между поверками и методиками поверки, установленным при утверждении их типа, аккредитованными на их поверку юридическими лицами и индивидуальными предпринимателями с использованием установленных в методиках поверки средств поверки. Если очередной срок поверки средства измерений (измерительного компонента) наступает до очередного срока поверки АИИС КУЭ, поверяется только этот компонент, и поверка АИИС КУЭ не проводится. После поверки средства измерений (измерительного компонента) и восстановления ИК выполняется проверка ИК, той его части и в том объеме, который необходим для того, чтобы убедиться, что действия, связанные с поверкой средства измерений (измерительного компонента), не нарушили метрологических характеристик ИК.
После ремонта АИИС КУЭ, аварий в энергосистеме, если эти события могли повлиять на метрологические характеристики ИК, а также после замены средств измерений (измерительных компонентов), входящих в их состав, проводится внеочередная поверка АИИС КУЭ в объеме первичной поверки. Допускается проводить поверку только тех ИК, которые подверглись указанным выше воздействиям. Во всех указанных случаях оформляется технический акт о внесенных изменениях. Технический акт хранится совместно со свидетельством о поверке, как неотъемлемая часть эксплуатационных документов на АИИС КУЭ.
2 ПЕРЕЧЕНЬ ОПЕРАЦИЙ ПОВЕРКИ СРЕДСТВА ИЗМЕРЕНИЙПри проведении поверки выполняют операции, указанные в таблице 1.
Таблица 1 - Операции поверки
|
Наименование операции |
Номер пункта НДпо поверке |
Необходимость выполнения при | |
|
Первичной поверке |
периодической поверке | ||
|
1. Внешний осмотр средства измерений |
7 |
Да |
Да |
|
2. Подготовка к поверке и опробование средства измерений |
8 |
Да |
Да |
|
3. Проверка программного обеспечения средства измерений |
9 |
Да |
Да |
|
4. Определение погрешности ИК при измерении электрической энергии |
10.1 |
Да |
Да |
Лист 3 Листов 12 Продолжение таблицы 1
|
5. Определение погрешности смещения шкалы времени компонентов АИИС КУЭ, входящих в состав СОЕВ, относительно шкалы времени UTC (SU) |
10.2 |
Да |
Да |
3 ТРЕБОВАНИЯ К УСЛОВИЯМ ПРОВЕДЕНИЯ ПОВЕРКИ
находиться в следующих диапазонах: параметры присоединений ИК:
-
- напряжение, % от UiHOm................................................................................... от 90 до 110
-
- ТОК, % ОТ 11 ном................................................................................................... от 1(5) до 120
-
- коэффициент активной мощности, costp........................................................ от 0,5 до 1
-
- частота, Гц........................................................................................................ от 49,6 до 50,4
диапазон температур окружающей среды, °C:
-
- для ТТ и TH..................................................................................................... от -45 до +40
-
- для счетчиков электроэнергии....................................................................... от +10 до +30
-дляУСПД......................................................................................................... от+10 до+30
-
- для сервера, УССВ................................................................... от +18 до +24
параметры вторичных цепей ИК:
-
- вторичная нагрузка ТТ............................................................................... по ГОСТ 7746*
-
- мощность нагрузки TH............................................................................... по ГОСТ 1983
-
- падение напряжения в линиях связи счетчиков с TH, % от Игном.............. от 0 до 0,25 * - вторичная нагрузка ТТ, изготовленных после 01.01.2016, должна соответствовать ГОСТ 7746-2015, ТТ, изготовленных до 01.01.2016 - ГОСТ 7746-2001.
-
4.1 К проведению поверки АИИС КУЭ допускают поверителей, изучивших настоящую методику поверки и эксплуатационную документацию на АИИС КУЭ.
-
4.2 Измерение вторичной нагрузки измерительных трансформаторов тока, входящих в состав АИИС КУЭ, осуществляется персоналом, имеющим стаж работы по данному виду измерений не менее 1 года, изучившим методику измерений, регламентирующую проведение измерений мощности нагрузки трансформаторов тока. Измерение проводят не менее двух специалистов, один из которых должен иметь удостоверение, подтверждающее право работы на установках свыше 1000 В с группой по электробезопасности не ниже IV, второй - удостоверение, подтверждающее право работы на установках свыше 1000 В с группой по электробезопасности не ниже Ш.
-
4.3 Измерение вторичной нагрузки измерительных трансформаторов напряжения, входящих в состав АИИС КУЭ, осуществляется персоналом, имеющим стаж работы по данному виду измерений не менее 1 года, изучившим методику измерений, регламентирующую проведение измерений мощности нагрузки трансформаторов напряжения. Измерение проводят не менее двух специалистов, один из которых должен иметь удостоверение, подтверждающее право работы на установках свыше 1000 В с группой по электробезопасности не ниже IV, второй - удостоверение, подтверждающее право работы на установках свыше 1000 В с группой по электробезопасности не ниже III.
-
4.4 Измерение потерь напряжения в линии соединения счетчика с измерительным трансформатором напряжения, входящими в состав АИИС КУЭ, осуществляется персоналом, имеющим стаж работы по данному виду измерений не менее 1 года, изучившим методику измерений, регламентирующую проведение измерений падения напряжения в линии соединения счетчика с трансформатором напряжения, и прошедшим обучение по проведению измерений в соответствии с указанным документом. Измерение проводят не менее двух специалистов, один
Лист 4 Листов 12 из которых должен иметь удостоверение, подтверждающее право работы на установках свыше 1000 В с группой по электробезопасности не ниже IV, второй - удостоверение, подтверждающее право работы на установках свыше 1000 В с группой по электробезопасности не ниже Ш.
5 МЕТРОЛОГИЧЕСКИЕ И ТЕХНИЧЕСКИЕ ТРЕБОВАНИЯ К СРЕДСТВАМ ПОВЕРКИ-
5.1 Средства поверки средств измерений (измерительных компонентов), входящие в состав ИК АИИС КУЭ:
-
- ТТ-по ГОСТ 8.217-2003;
-
- TH-ГОСТ 8.216-2011;
-
- счетчики Альфа А1800 - по документу ДЯИМ.411152.018 МП «Счетчики электрической энергии трехфазные многофункциональные Альфа А1800. Методика поверки», утвержденному ГЦИ СИ ФГУП «ВНИИМС» в 2011 г. и документу ДЯИМ.411152.018 МП «Счетчики электрической энергии трехфазные многофункциональные Альфа А1800. Дополнение к методике поверки», утвержденному в 2012г.
-
- RTU-325T -по документуДЯИМ.466215.005 МП «Устройства сбора и передачи данных RTU-325H и RTU-325T. Методика поверки», утвержденному ГЦИ СИ ФГУП «ВНИИМС» в июле 2010 г.;
-
- Устройство синхронизации системного времени УССВ-2 - по документу МП-РТ-1906-2013 (ДЯИМ.468213.001 МП) «Устройства синхронизации системного времени УССВ-2. Методика поверки», утвержденному руководителем ГЦИ СИ ФБУ «Ростест-Москва» 17 мая 2013 г.;
-
- радиосервер точного времени РСТВ-01 - по документу ПЮЯИ.468212.039МП «Радиосерверы точного времени РСТВ-01. Методика поверки», утвержденному ФГУП «ВНИИФТРИ» 30.11.2011 г.;
5.2 Средства поверки АИИС КУЭ в соответствии с таблицей 2. Таблица 2 - Средства поверки АИИС КУЭ и вспомогательные устройства
|
Наименование средства измерений |
Измеряемая величина |
Метрологические характеристики |
Номер пункта методики поверки |
|
Термометр |
Температура окружающего воздуха |
Диапазон измерений: от -45 до +40 °C; цена деления шкалы 1 °C. Пределы допускаемой абсолютной погрешности: ±1 °C |
8.2 |
|
Измеритель электрических величин с токовыми клещами |
Действующее значение силы тока |
Диапазон измерений: от 0,01 до 1,27ном Пределы допускаемой относительной погрешности (50 ±7 % |
8.4, 8.9-8.11 |
|
Действующее значение напряжения |
Диапазон измерений: от 0 до 120 В Пределы допускаемой относительной погрешности (5и): ±7 % | ||
|
Частота переменного тока |
Диапазон измерений: от 45 до 55 Гц Пределы допускаемой абсолютной погрешности: ±0,05 Гц | ||
|
Коэффициент мощности |
Диапазон измерений: от 0,5 до +1,0, Пределы допускаемой абсолютной погрешности: ±0,1 | ||
|
Приемник сигналов точного времени, принимающий сигналы спутниковой навигационной системы GPS/ГЛОНАСС |
Сигналы точного времени |
Предел допускаемой абсолютной погрешности привязки фронта выходного импульса 1 Гц к шкале координированного времени UTC ±1 мкс |
10.2 |
|
Переносной компьютер с ПО и оптический преобразователь для работы со счетчиками системы | |||
Лист 5 Листов 12
-
5.3 Перечень рекомендуемых средств поверки АИИС КУЭ:
-
- Для проведения измерений электрических величин (действующих значений силы тока и напряжения, частоты, коэффициента мощности, вторичной нагрузки ТТ, мощности нагрузки TH, потерь напряжения в линии ТН-счетчик) и проверки последовательности чередования фаз - Прибор для измерения электроэнергетических величин и показателей качества электрической энергии Энергомонитор-3.ЗТ1 (регистрационный номер в Федеральном информационном фонде 39952-08);
-
- Для проведения измерений температуры окружающего воздуха -Измеритель влажности и температуры ИВТМ-7 (регистрационный номер в Федеральном информационном фонде 71394-18);
-
- Для проведения измерений смещения шкалы времени компонентов АИИС КУЭ относительно шкалы времени UTC - Радиочасы МИР РЧ-02 (регистрационный номер в Федеральном информационном фонде 46656-11).
-
5.4 Допускается применение других средств поверки с метрологическими характеристиками, обеспечивающими требуемые точности измерений (согласно таблице 2).
-
5.5 Все средства измерений, применяемые при поверке, должны быть утвержденного типа, а также иметь действующие свидетельства о поверке.
-
6.1 При проведении поверки должны быть соблюдены требования безопасности, установленные ГОСТ 12.2.007.0, ГОСТ 12.2.007.3, «Правилами технической эксплуатации электроустановок потребителей», «Правилами технической эксплуатации электрических станций и сетей РФ», «Правилами по охране труда при эксплуатации электроустановок», а также требования безопасности на средства поверки, поверяемые трансформаторы и счетчики, изложенные в их руководствах по эксплуатации.
-
6.2 При применении эталонов, средств измерений, вспомогательных средств поверки и оборудования должны обеспечиваться требования безопасности согласно ГОСТ 12.2.003, ГОСТ 12.2.007.3, ГОСТ 12.2.007.7.
-
7.1 Проверяют целостность корпусов и отсутствие видимых повреждений средств измерений (измерительных компонентов).
-
7.2 Проверяют отсутствие следов коррозии и нагрева в местах подключения проводных линий связи.
-
7.3 Проверяют наличия защитных устройств от несанкционированного вмешательства на всех компонентах АИИС КУЭ, предусматривающих защиту согласно технической документации на АИИС КУЭ и измерительные компоненты.
-
7.3 Результат проверки считается положительным, если нет замечаний по пунктам 7.1-7.3 или выявленные замечания устранены в процессе проведения внешнего осмотра.
В случае выявления несоответствий по пунктам 7.1-7.3 поверку приостанавливают до устранения выявленных несоответствий. В случае невозможности устранения несоответствий, ИК с выявленными несоответствиями признаются непригодными к дальнейшему применению.
8 ПОДГОТОВКА К ПОВЕРКЕ И ОПРОБОВАНИЕ СРЕДСТВА ИЗМЕРЕНИЙ-
8.1 Для проведения поверки представляют следующую документацию:
-
- описание типа АИИС КУЭ;
-
- формуляр АИИС КУЭ;
-
- свидетельства о поверке средств измерений (измерительных компонентов), входящих в ИК, и свидетельство о предыдущей поверке системы (при периодической и внеочередной поверке);
-
- паспорта-протоколы на измерительные комплексы (при наличии);
Лист 6 Листов 12
-
- рабочие журналы АИИС КУЭ с данными по климатическим и иным условиям эксплуатации за интервал между поверками (только при периодической поверке).
-
8.2 Перед проведением поверки выполняют следующие подготовительные работы:
-
- проводят организационно-технические мероприятия по доступу поверителей и персонала энергообъектов к местам установки измерительных трансформаторов, счетчиков электроэнергии, УСПД, УССВ; по размещению эталонов, отключению в необходимых случаях проверяемых средств измерений от штатной схемы;
-
- проводят организационно-технические мероприятия по обеспечению безопасности поверочных работ в соответствии с действующими правилами и руководствами по эксплуатации применяемого оборудования;
-
- средства поверки выдерживают в условиях и в течение времени, установленных в нормативных документах на средства поверки;
-
- все средства измерений, которые подлежат заземлению, должны бьггь надежно заземлены, подсоединение зажимов защитного заземления к контуру заземления должно производиться ранее других соединений, а отсоединение - после всех отсоединений.
-
8.3 Проверяют соответствие измерительных компонентов АИИС КУЭ.
-
8.3.1 Проверяют правильность расположения и монтажа средств измерений (измерительных компонентов), правильность схем подключения измерительных трансформаторов тока (ТТ) и измерительных трансформаторов напряжения (TH) к счетчикам электрической энергии, правильность прокладки проводных линий связи.
-
8.3.2 Проверяют соответствие типов, классов точности и заводских номеров фактически используемых средств измерений (измерительных компонентов), указанным в описании типа АИИС КУЭ, а также в технических актах о внесенных изменениях, если были замены средств измерений (измерительных компонентов), входящих в состав ИК.
-
8.3.3 Проверяют наличие свидетельств о поверке и срок их действия для всех средств измерений (измерительных компонентов): ТТ и TH, счетчиков электрической энергии, УСПД, УССВ. При обнаружении просроченных свидетельств о поверке средств измерений (измерительных компонентов), дальнейшие операции по поверке ИК, в который они входят, выполняют после поверки этих измерительных компонентов.
-
8.3.4 Результат проверки считается положительным, если нет замечаний по пунктам 8.3.1-8.3.3.
-
В случае выявления несоответствий по пунктам 8.3.1 - 8.3.3 поверку приостанавливают до устранения выявленных несоответствий. В случае невозможности устранения несоответствий, ИК с выявленными несоответствиями признаются непригодными к дальнейшему применению.
-
8.4 Проверяют счетчики электрической энергии.
-
8.4.1 Проверяют наличие и сохранность пломб на счетчике и испытательной коробке. Проверяют наличие документов энергосбытовых организаций, подтверждающих правильность подключения счетчика к цепям тока и напряжения, в частности, правильность чередования фаз. При отсутствии таких документов или нарушении (отсутствии) пломб проверяют правильность подключения счетчиков к цепям тока и напряжения (соответствие схем подключения - схемам, приведенным в паспорте на счетчик). Проверяют последовательность чередования фаз с помощью прибора «Энергомонитор З.ЗТ1». При проверке последовательности чередования фаз действуют в соответствии с указаниями, изложенными в руководстве по его эксплуатации.
-
8.4.2 Проверяют работу всех сегментов индикаторов счетчиков, отсутствие кодов ошибок или предупреждений, проводят последовательную проверку визуализации параметров.
-
8.4.3 Проверяют работоспособность оптического порта счетчика с помощью переносного компьютера. Оптический преобразователь подключают к порту переносного компьютера. Опрашивают счетчик по установленному соединению. Опрос счетчика считается успешным, если получен отчет, содержащий данные, зарегистрированные счетчиком.
-
-
8.3.4 Проверяют соответствие индикации даты в счетчике календарной дате (число, месяц, год). Проверку осуществляют визуально или с помощью переносного компьютера через оптический порт.
Лист 7 Листов 12
-
8.4.5 Результат проверки считается положительным, если проверки по пунктам 8.3.1 - 8.3.4 выполнены с положительным результатом.
В случае выявления несоответствий по пунктам 8.3.1- 8.3.4 процедуру проверки приостанавливают до устранения данных несоответствий. В случае невозможности устранения несоответствий, ИК с выявленными несоответствиями признаются непригодными к дальнейшему применению.
-
8.5 Проверяют УСПД.
-
8.5.1 Проверяют наличие и сохранность пломб на УСПД. При отсутствии или нарушении пломб проверяют правильность подсоединения УСПД.
-
8.5.2 Проверяют правильность функционирования УСПД в соответствии с его эксплуатационной документацией с помощью тестового программного обеспечения, поставляемого в комплекте с УСПД. Проверка считается успешной, если все подсоединенные к УСПД счетчики опрошены и сообщения об ошибках отсутствуют.
-
8.5.3 Проверяют программную защиту УСПД от несанкционированного доступа в соответствии с эксплуатационным документом на УСПД.
-
8.5.4 Проверяют правильность значений коэффициентов трансформации измерительных трансформаторов, если предусмотрено их хранение в памяти УСПД.
-
8.5.5 Результат проверки считается положительным, если проверки по пунктам 8.5.1 - 8.5.4 выполнены с положительным результатом.
-
В случае выявления несоответствий по пунктам 8.5.1-8.5.4 процедуру проверки приостанавливают до устранения данных несоответствий. В случае невозможности устранения несоответствий, ИК с выявленными несоответствиями признаются непригодными к дальнейшему применению.
-
8.6 Проверяют функционирования компьютеров АИИС КУЭ (АРМ или сервера).
-
8.6.1 Проводят опрос текущих показаний всех счетчиков электроэнергии.
-
Результат проверки считается положительным, если опрашиваются все счетчики, входящие в ИК, подвергающиеся поверке.
-
8.6.2 Проверяют глубину хранения измерительной информации в сервере АИИС КУЭ.
Результат проверки считается положительным, если глубина хранения информации соответствует указанной в описании типа.
-
8.6.3 Проверяют защиту программного обеспечения на сервере АИИС КУЭ от несанкционированного доступа. Для этого запускают на выполнение программу сбора данных и в поле «пароль» вводят неправильный код.
Результат проверки считается положительным, если при вводе неправильного пароля программа не разрешает продолжать работу.
-
8.6.4 Проверяют работу аппаратных ключей (при наличии). Выключают сервер и снимают аппаратную защиту (отсоединяют ключ от порта сервера). Включают сервер, загружают операционную систему и запускают программу.
Результат проверки считается положительным, если получено сообщение об отсутствии «ключа защиты».
-
8.6.5 Проверяют правильность значений коэффициентов трансформации измерительных трансформаторов, если предусмотрено их хранение на сервере АИИС КУЭ.
Результат проверки считается положительным, если значения коэффициентов трансформации соответствуют коэффициентам трансформации ТТ, TH, счетчиков.
-
8.6.6 В случае выявления несоответствий по пунктам 8.6.1- 8.6.5 процедуру проверки приостанавливают до устранения данных несоответствий. В случае невозможности устранения несоответствий, ИК с выявленными несоответствиями признаются непригодными к дальнейшему применению.
-
8.7 Проверяют отсутствие ошибок информационного обмена.
Операция проверки отсутствия ошибок информационного обмена предусматривает экспериментальное подтверждение идентичности числовой измерительной информации в счетчиках
Лист 8 Листов 12 электрической энергии (исходная информация), и памяти центрального сервера.
В момент проверки все технические средства, входящие в проверяемый ИК, должны быть включены.
-
8.7.1 На сервере системы отображают или распечатывают значения активной и реактивной электрической энергии, зарегистрированные с 30-ти минутным интервалом за полные предшествующие дню проверки сутки по всем ИК. Проверяют наличие данных, соответствующих каждому 30-ти минутному интервалу времени. Пропуск данных не допускается за исключением случаев, когда этот пропуск был обусловлен отключением ИК или устраненным отказом какого-либо компонента системы.
-
8.7.2 Отображают на экране АРМ или распечатывают журнал событий счетчика и УСПД и отмечают моменты нарушения связи между измерительными компонентами системы. Проверяют сохранность измерительной информации в памяти УСПД и сервере системы на тех интервалах времени, в течение которого была нарушена связь.
-
8.7.3 Отображают на экране АРМ или распечатывают на сервере профиль нагрузки за полные сутки, предшествующие дню поверки. Используя переносной компьютер, считывают через оптопорт профиль нагрузки за те же сутки, хранящийся в памяти счетчика. Различие значений активной (реактивной) мощности, хранящейся в памяти счетчика (с учетом коэффициентов трансформации измерительных трансформаторов) и базе данных центрального сервера не должно превышать одной единицы младшего разряда учтенного значения.
-
8.7.4 Рекомендуется вместе с проверкой по п. 8.7.3 сличать показания счетчика по активной и реактивной электрической энергии строго в конце получаса (часа) и сравнивать с данными, зарегистрированными в сервере системы для того же момента времени. Для этого визуально или с помощью переносного компьютера через оптопорт считывают показания счетчика по активной и реактивной электрической энергии и сравнивают эти данные (с учетом коэффициентов трансформации измерительных трансформаторов), с показаниями, зарегистрированными в сервере системы. Расхождение не должно превышать две единицы младшего разряда учтенного значения.
-
8.7.5 Результат проверки считается положительным, если отсутствуют пропуски данных во всех компонентах АИИС КУЭ и показания счетчиков по активной и реактивной электрической энергии совпадают с показаниями, зарегистрированными на сервере. В случае невозможности устранения несоответствий, ИК с выявленными несоответствиями признаются непригодными к дальнейшему применению.
-
8.8 Проверяют синхронизацию системного времени АИИС КУЭ
-
8.8.1 Выключить синхронизацию, изменить время часов счетчиков и УСПД на 1 мин, установить произвольное время на сервере. Включить синхронизацию. Через 1 час проверить совпадение времени всех указанных устройств.
-
Проверка считается успешной если выполняется автоматическая синхронизация даты и времени внутренних часов счетчиков, УСПД и сервера, при этом текущая дата и время соответствует времени, синхронизированному со шкалой времени UTC (SU).
-
8.8.2 Проверить правильность работы системы синхронизации времени, определяя по журналу событий расхождение времени синхронизируемого и синхронизирующего компонентов в момент, непосредственно предшествующий коррекции времени.
Проверка считается успешной если расхождение времени синхронизируемого и синхронизирующего компонентов не превышает указанных в проекте описания типа.
-
8.9 Проверяют вторичные нагрузки измерительных трансформаторов тока.
-
8.9.1 Проверяют наличие документов, подтверждающих правильность подключения вторичных обмоток ТТ. При отсутствии таких документов проверяют правильность подключения вторичных обмоток ТТ.
-
8.9.2 Измеряют вторичные нагрузки ТТ, которые должны находиться в диапазоне, указанном в ГОСТ 7746 и/или в описании типа средств измерений на конкретный тип ТТ.
-
Измерение тока и вторичной нагрузки ТТ проводят в соответствии с документом «Методика выполнения измерений параметров нагрузки и вторичных цепей измерительных трансформаторов тока и напряжения прибором «Энергомонитор З.ЗТ» в условиях
Лист 9 Листов 12 эксплуатации», зарегистрированном в Федеральном информационном фонде по обеспечению единства измерений под № ФР. 1.34.2009.05522.
-
1 Допускается измерение мощности нагрузки вторичных цепей ТТ не проводить, если такие измерения проводились при составлении паспорта-протокола на данный измерительный комплекс в течение истекающего межповерочного интервала АИИС КУЭ. Результаты проверки считают положительными, если паспорт-протокол подтверждает выполнение указанного выше условия для ТТ.
-
2 Допускается мощность нагрузки определять расчетным путем, если известны входные (проходные) импедансы всех устройств, подключенных ко вторичным обмоткам ТТ.
-
3 Допускается проведение измерений в соответствии с другими аттестованными методиками измерений.
-
8.9.3 Результат проверки считается положительным, если вторичные нагрузки ТТ находится в диапазоне, указанном в ГОСТ 7746 и/или в описании типа средств измерений на конкретный тип ТТ.
Примечание: ТТ, изготовленные после 01.01.2016, должны соответствовать ГОСТ 7746-2015, ТТ, изготовленные до 01.01.2016-ГОСТ 7746-2001.
При отклонении вторичной нагрузки ТТ от допустимого диапазона, процедуру проверки приостанавливают до устранения данных несоответствий. В случае невозможности устранения несоответствий, ИК с выявленными несоответствиями признаются непригодными к дальнейшему применению
-
8.10 Проверяют мощность нагрузки измерительных трансформаторов напряжения.
-
8.10.1 Проверяют наличие документов, подтверждающих правильность подключения первичных и вторичных обмоток TH. При отсутствии таких документов или нарушении (отсутствии) пломб проверяют правильность подключения первичных и вторичных обмоток TH.
-
8.10.2 При проверке мощности нагрузки TH необходимо убедиться, что отклонение вторичного напряжения при нагруженной вторичной обмотке составляет не более ±10 % от UHOm-
-
Измеряют мощность нагрузки TH, которая должна находиться в диапазоне, указанном в ГОСТ 1983 и/или в описании типа средств измерений на конкретный тип TH.
Измерение мощности нагрузки вторичных цепей TH проводят в соответствии с документом «Методика выполнения измерений параметров нагрузки и вторичных цепей измерительных трансформаторов тока и напряжения прибором «Энергомонитор З.ЗТ» в условиях эксплуатации», зарегистрированном в Федеральном информационном фонде по обеспечению единства измерений под № ФР. 1.34.2009.05522.
Примечания
-
1 Допускается измерение мощности нагрузки вторичных цепей TH не проводить, если такие измерения проводились при составлении паспорта-протокола на данный измерительный комплекс в течение истекающего межповерочного интервала АИИС КУЭ. Результаты проверки считают положительными, если паспорт-протокол подтверждает выполнение указанного выше условия для TH.
-
2 Допускается мощность нагрузки определять расчетным путем, если известны входные (проходные) импедансы всех устройств, подключенных ко вторичным обмоткам измерительных трансформаторов.
-
3 Допускается проведение измерений в соответствии с другими аттестованными методиками измерений.
-
8.10.3 Результат проверки считается положительным, если мощность нагрузки вторичных цепей TH находится в диапазоне, указанном в ГОСТ 1983 и/или в описании типа средств измерений на конкретный тип TH.
При отклонении мощности нагрузки TH от допустимого диапазона, процедуру проверки приостанавливают до устранения данных несоответствий. В случае невозможности устранения несоответствий, ИК с выявленными несоответствиями признаются непригодными к дальнейшему применению.
-
8.11 Проверяют падение напряжения в линии связи счетчика с измерительным трансформатором напряжения
-
8.11.1 Измеряют падение напряжения ил в проводной линии связи для каждой фазы в соответствии с документом «Методика выполнения измерений параметров нагрузки и вторичных цепей измерительных трансформаторов тока и напряжения прибором «Энергомонитор З.ЗТ» в условиях эксплуатации», зарегистрированном в Федеральном информационной фонде по обеспечению единства измерений под № ФР. 1.34.2009.05522.
-
8.11.2 Значение падения напряжения в линии связи счетчика с измерительным трансформатором напряжения должно соответствовать требованиям п.1.5 Правил устройства электроустановок
-
(6 издание).
Примечания
-
1 Допускается измерение падения напряжения в линии соединения счетчика с TH не проводить, если такие измерения проводились при составлении паспорта-протокола на данный измерительный комплекс в течение истекающего межповерочного интервала. Результаты проверки считают положительными, если паспорт-протокол подтверждает выполнение указанного выше требования.
-
2 Допускается падение напряжения в линии соединения счетчика с TH определять расчетным путем, если известны параметры проводной линии связи и сила электрического тока, протекающего через линию связи.
-
3 Допускается проведение измерений в соответствии с другими аттестованными методиками измерений.
-
8.11.3 Результат проверки считается положительным, если падение напряжения в линии связи между вторичной обмоткой TH и счетчиком соответствует требованиям п.1.5 Правил устройства электроустановок (6 издание).
При превышении значения падения напряжения в линии связи счетчика с измерительным трансформатором напряжения допустимого значения, процедуру проверки приостанавливают до устранения данных несоответствий. В случае невозможности устранения несоответствий, ИК с выявленными несоответствиями признаются непригодными к дальнейшему применению.
9 ПРОВЕРКА ПРОГРАММНОГО ОБЕСПЕЧЕНИЯ СРЕДСТВА ИЗМЕРЕНИЙ-
9.1 Проводят проверку соответствия заявленных идентификационных данных программного обеспечения (ПО), указанных в описании типа и эксплуатационной документации:
-
- наименование ПО;
-
- идентификационное наименование ПО;
-
- номер версии (идентификационный номер) ПО;
-
- цифровой идентификатор ПО (контрольная сумма исполняемого кода);
-
- алгоритм вычисления цифрового идентификатора ПО.
-
9.2 Проверка идентификации ПО АПИС КУЭ
Убедиться, что идентификационное наименование и номер версии ПО соответствует заявленным (наименование ПО и его версия определяются после загрузки ПО).
-
9.3 Проверка цифрового идентификатора ПО.
На выделенных модулях ПО проверить цифровые идентификаторы и алгоритм вычисления цифрового идентификатора.
Проверка цифрового идентификатора ПО происходит на ИВК (сервере), где установлено ПО. Запустить менеджер файлов, позволяющий производить хэширование файлов или специализированное ПО, предоставляемое разработчиком. В менеджере файлов, необходимо открыть каталог и выделить файлы, указанные в описании типа на АПИС КУЭ. Далее, запустив соответствующую программу просчитать хэш. По результатам формируются файлы, содержащие коды алгоритмов вычисления цифрового идентификатора в текстовом формате. Наименование файла алгоритма вычисления цифрового идентификатора должно соответствовать наименованию файла, для которого проводилось хэширование.
-
9.4 Результат проверки считается положительным, если идентификационное наименование
3.1
Влияющие величины, определяющие условия поверки АИИС
КУЭ, должны
Лист 11
Листов 12 ПО, номер версии (идентификационный номер) ПО, цифровой идентификатор ПО не противоречат приведенным в описании типа на АЛИС КУЭ.
В случае выявления несоответствий по пунктам 9.1 - 9.3 АПИС КУЭ признается непригодной к дальнейшему применению.
10 ОПРЕДЕЛЕНИЕ МЕТРОЛОГИЧЕСКИХ ХАРАКТЕРИСТИК СРЕДСТВА ИЗМЕРЕНИЙ-
10.1 Определение погрешности ИК при измерении активной и реактивной электрической энергии
-
10.1.1 Для определения метрологических характеристик измерительных каналов АИИС КУЭ необходимо выполнить расчет (оценку) погрешности измерений активной и реактивной электроэнергии для сравнения с указанной в проекте описания типа.
-
10.1.2 Границы интервала допускаемых относительных погрешностей ИК рассчитываются для рабочих условий при доверительной вероятности Р=0,95.
-
10.1.3 Рабочие условия (с учетом чувствительности измерительных компонентов к влияющим факторам) в соответствии с п. 3.
-
10.1.4 Границы интервала допускаемой относительной погрешности для рабочих условий ИК вычисляют по формуле 1:
-
5ИК = +5ТН +^л +S5cj +5ос (1)
где
Зик - границы интервала допускаемой относительной погрешности для рабочих условий ИК активной (реактивной) электроэнергии в % для вероятности 0,95;
Зтт - границы интервала допускаемой относительной погрешности по амплитуде
трансформатора тока (ТТ) в %;
Зтн - границы интервала допускаемой относительной погрешности по амплитуде
трансформатора напряжения (TH) в %;
Зе - наибольшая возможная относительная погрешность, обусловленная угловыми погрешностями измерительных трансформаторов в %;
5л - границы интервала допускаемой относительной погрешности, обусловленной потерями напряжения в линии связи между TH и счетчиком в %;
5Cj - дополнительная погрешность счетчика от j-ой влияющей величины, %;
Зое - границы интервала допускаемой основной относительной погрешности счетчика электроэнергии в %.
-
10.1.5 При отсутствии в ИК каких-либо измерительных компонентов, соответствующие значения погрешностей в формуле 1 не используются.
-
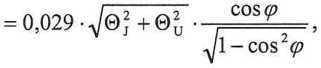
10.1.6 Погрешность трансформаторной схемы подключения счетчика Зо, возникающую за счет угловых погрешностей ТТ и TH, определяют при измерении активной энергии и реактивной энергии с учетом угловых погрешностей ©и и 0j и значения coscp по следующим формулам:
- при измерении активной энергии:
г—---- Jl-cosV
SQ =0,029.70j+Ои •-------- (2)
COS(p
- при измерении реактивной энергии:
г—---- Jl-sin2^»

(3)
=0,029-7© j + ©и--:----- или 30
sin#?
где:
©j - угловая погрешность ТТ, мин;
©и - угловая погрешность TH, мин;
cos ф - коэффициент мощности по активной электроэнергии контролируемого присоединения, усредненный за получасовой интервал времени;
sin ср - коэффициент мощности по реактивной электроэнергии контролируемого присоединения, усредненный за получасовой интервал времени.
-
10.1.7 Границы интервала допускаемой относительной погрешности вычисляют раздельно для ИК активной и реактивной электроэнергии.
-
10.1.8 Результат проверки считается положительным, если рассчитанные значения погрешностей не превышают значений, приведенных в описании типа.
10.2 Определение погрешности времени компонентов АИИС КУЭ
-
10.2.1 Включают Радиочасы МИР РЧ-02 и сравнивают показания радиочасов с показаниями часов счетчиков электрической энергии, УСПД, сервера в единый момент времени и фиксируют разность показаний по формуле:
(4)
где
ta - показания часов МИР РЧ-02, чч:мм:сс;
tKi - показания часов г'-го компонента АИИС КУЭ, чч:мм:сс.
-
10.2.2 Результат проверки считается положительным, если смещение шкалы времени счетчиков, УСПД и сервера относительно шкалы времени UTC (SU) не превышает ±5 с.
-
11.1 На основании положительных результатов всех проверок по пунктам разделов 7-10 АИИС КУЭ или отдельные ИК признаются пригодными к применению (подтверждено соответствие АИИС КУЭ или отдельных ИК установленным метрологическим требованиям).
-
11.2 На основании отрицательных результатов хотя бы по одной из проверок по пунктам разделов 7-10 АИИС КУЭ или отдельные ИК признаются непригодными к применению (не подтверждено соответствие АИИС КУЭ или отдельных ИК установленным метрологическим требованиям).
-
12.1 Сведения о результатах поверки должны быть переданы в Федеральный информационный фонд по обеспечению единства измерений в соответствии с порядком создания и ведения Федерального информационного фонда по обеспечению единства измерений, передачи сведений в него и внесения изменений в данные сведения, представления содержащихся в нем документов и сведений, предусмотренным частью 3 статьи 20 Федерального закона № 102-ФЗ, аккредитованным на поверку лицом, проводившим поверку, в сроки, не превышающие 40 рабочих дней с даты поверки.
-
12.2 По заявлению владельца АИИС КУЭ или лица, представившего АИИС КУЭ на поверку, аккредитованное на поверку лицо, проводившее поверку, в случае положительных результатов поверки по п. 11.1 (подтверждено соответствие АИИС КУЭ или отдельных ИК метрологическим требованиям) выдает свидетельство о поверке, оформленное в соответствии с требованиями к содержанию свидетельств о поверке, утвержденными приказом Минпромторга России от 31.07.2020 г. № 2510. Знак поверки наносится на свидетельство о поверке. В приложении к свидетельству о поверке указывается перечень, состав и метрологические характеристики ИК, прошедших поверку и пригодных к применению. В случае отрицательных результатов поверки по п. 11.2 (не подтверждено соответствие АИИС КУЭ или отдельных ИК метрологическим требованиям) аккредитованное на поверку лицо, проводившее поверку выдает извещение о непригодности в соответствии с порядком проведения поверки средств измерений, утвержденными приказом Минпромторга России от 31.07.2020 г. № 2510. В приложении к извещению о непригодности указывается перечень и состав ИК, прошедших поверку и признанных непригодными к дальнейшему применению, с указанием причин непригодности.
Д. В. Рыбаков
Главный инженер ООО «ЭнерТест»

