Методика поверки «ГСОЕИ. Система автоматизированная информационно-измерительная коммерческого учета электрической энергии ООО ««Симбирская энергосбытовая компания» №29» (МП 26.51/101/21)
СОГЛАСОВАНО
Генеральный директор

_Павленко А.М.
2021 г.
ГОСУДАРСТВЕННАЯ СИСТЕМА ОБЕСПЕЧЕНИЯ ЕДИНСТВА ИЗМЕРЕНИЙ
Система автоматизированная информационно-измерительная коммерческого учета электрической энергии ООО ««Симбирская энергосбытовая компания» №29Методика поверки
МП 26.51/101/21
г. Москва 2021 г
СОДЕРЖАНИЕ
Стр.
-
6 МЕТРОЛОГИЧЕСКИЕ И ТЕХНИЧЕСКИЕ ТРЕБОВАНИЯ К СРЕДСТВАМ ПОВЕРКИ
-
7 ТРЕБОВАНИЯ (УСЛОВИЯ) ПО ОБЕСПЕЧЕНИЮ БЕЗОПАСНОСТИ ПРОВЕДЕНИЯ
-
12 ПОДТВЕРЖДЕНИЕ СООТВЕТСТВИЯ АИИС КУЭ МЕТРОЛОГИЧЕСКИМ
Настоящая методика распространяется на измерительные каналы (далее - ИК) системы автоматизированной информационно-измерительной коммерческого учета электрической энергии ООО «Симбирская энергосбытовая компания» №29», заводской номер 29, предназначенной для измерения активной и реактивной электроэнергии, потребленной за установленные интервалы времени отдельными технологическими объектами ООО «Симбирская энергосбытовая компания», сбора, хранения, обработки и передачи полученной информации. Выходные данные системы могут использоваться для коммерческих расчетов.
2 ОБЩИЕ ПОЛОЖЕНИЯПоверке подлежит каждый ИК АИИС КУЭ, реализующий косвенный метод измерений электрической энергии. ИК подвергают поверке покомпонентным (поэлементным) способом с учетом положений раздела 8 ГОСТ Р 8.596-2002.
Первичную поверку системы выполняют после утверждения типа АИИС КУЭ. Допускается при поверке использовать положительные результаты испытаний по опробованию методики поверки. При этом свидетельство о поверке оформляется только после утверждения типа.
Периодическую поверку системы выполняют в процессе эксплуатации.
Периодичность поверки АИИС КУЭ осуществляется в соответствии с установленным при утверждении ее типа интервалами поверки.
Для обеспечения прослеживаемости, входящие в состав ИК АИИС КУЭ средства измерений, должны быть утвержденных типов и поверяться по соответствующим методикам поверки, в соответствии с интервалами между поверками, установленными при утверждении их типа. Если очередной срок поверки измерительного компонента наступает до очередного срока поверки АИИС КУЭ, поверяется только этот компонент и поверка АИИС КУЭ в целом не проводится. После поверки измерительного компонента и восстановления ИК выполняется проверка ИК в той его части и в том объеме, который необходим для того, чтобы убедиться, что действия, связанные с поверкой измерительного компонента, не нарушили метрологических свойств ИК (схема соединения, коррекция времени и т.п.).
При наступлении событий в процессе эксплуатации, которые могли повлиять на метрологические характеристики АИИС КУЭ (ремонт системы, замена ее измерительных компонентов, аварии в энергосистеме) проводится внеочередная поверка в объеме первичной поверки АИИС КУЭ. Допускается подвергать поверке только те ИК, которые подверглись указанным воздействиям, при условии, что собственник АИИС КУЭ подтвердит официальным заключением, что остальные ИК этим воздействиям не подвергались. В этом случае оформляется свидетельство о поверке системы с перечнем поверенных ИК. Допускается проведение поверки только тех ИК АИИС КУЭ, которые подверглись вышеуказанным воздействиям с обязательным указанием в приложении к свидетельству о поверке информации об объеме проведенной поверки, срок действия свидетельства о поверке на АИИС КУЭ в части указанных ИК, устанавливается до окончания срока действия основного свидетельства о поверке.
Во всех указанных случаях оформляется технический акт о внесенных изменениях, который должен быть подписан руководителем или уполномоченным им лицом и руководителем или представителем метрологической службы Предприятия-владельца. Технический акт хранится совместно со свидетельством о поверке, как неотъемлемая часть эксплуатационных документов на АИИС КУЭ.
Допускается проведение поверки отдельных измерительных каналов из состава АИИС КУЭ в соответствии с заявлением владельца АРТИС КУЭ, с обязательным указанием в свидетельстве о поверке информации об объеме проведенной поверки.
Средства поверки (эталоны, средства измерений и вспомогательные технические средства), указываемые в методике поверки, должны обеспечивать определение метрологических характеристик поверяемого средства измерений с требуемой точностью, передачу единиц величин средству измерений при его поверке и прослеживаемость эталонов и средств измерений, применяемых при поверке, к государственным первичным эталонам единиц величин.
В рамках поверки документально подтверждается обеспечение прослеживаемости к государственным первичным эталонам поверяемой АИИС КУЭ (измерительные компоненты утвержденных типов и имеют действующие свидетельства о поверке компонентов АИИС КУЭ (измерительные трансформаторы тока, измерительные трансформаторы напряжения, счетчики электрической энергии, устройства сбора и передачи данных (при наличии)):
-
- ГЭТ1-2018 «ГПЭ единиц времени, частоты и национальной шкалы времени»;
-
- ГЭТ 13-01 ГПЭ единицы электрического напряжения;
-
- ГЭТ 27-2009 ГПСЭ единицы электрического напряжения в диапазоне частот 3 -10’7 - 2 -109 Гц;
-
- ГЭТ 4-91 ГПЭ единицы силы постоянного электрического тока;
-
- ГЭТ 88-2014 ГПСЭ единицы силы электрического тока в диапазоне частот 20 ’1 • 106 Гц;
-
- ГЭТ 61-88 ГПСЭ единицы угла фазового сдвига между двумя электрическими напряжениями в диапазоне частот Г10'2 - 2 -107 Гц;
-
- ГЭТ 153-2019 ГПЭ единицы электрической мощности в диапазоне частот от 1 до 2500 Гц.
Перечень ИК АИИС КУЭ приведен в формуляре.
3 ПЕРЕЧЕНЬ ОПЕРАЦИЙ ПОВЕРКИ АИИС КУЭПри проведении поверки выполняют операции, указанные в таблице 1.
Таблица 1 - Операции поверки
Наименование операции |
Номер пункта НД по поверке |
Обязательность проведения операции при | |
первичной поверке |
периодической поверке | ||
1 |
2 |
3 |
4 |
1. Внешний осмотр АИИС КУЭ |
8 |
Да |
Да |
2. Подготовка к поверке и опробование АИИС КУЭ |
9.1, 9.2 |
Да |
Да |
3.Проверка соответствия измерительных компонентов АИИС КУЭ |
9.3 |
Да |
Да |
4. Проверка счетчиков электрической энергии |
9.4 |
Да |
Да |
5. Проверка функционирования ИВК «ИКМ-Пирамида» АИИС КУЭ |
9.5 |
Да |
Да |
6. Проверка функционирования вспомогательных устройств |
9.6 |
Да |
> |
7. Проверка нагрузки на вторичные цепи измерительных трансформаторов тока |
9.7 |
Да |
Да |
8. Проверка нагрузки на вторичные цепи измерительных трансформаторов напряжения |
9.8 |
Да |
Да |
9. Проверка падения напряжения в линии связи счетчика с измерительным трансформатором напряжения |
9.9 |
Да |
Да |
10. Проверка системы обеспечения единого времени (СОЕВ) |
9.10 |
Да |
Да |
11. Проверка отсутствия ошибок информационного обмена |
9.11 |
Да |
Да |
12. Проверка программного обеспечения АИИС КУЭ |
10 |
Да |
Да |
13. Определение метрологических характеристик АИИС КУЭ |
11 |
Да |
Да |
14. Подтверждение соответствия средства измерений метрологическим требованиям |
12 |
Да |
Да |
15. Оформление результатов поверки |
13 |
Да |
Да |
Условия поверки АИИС КУЭ должны соответствовать условиям ее эксплуатации, нормированным в технической документации, но не выходить за нормированные условия применения средств поверки.
5 ТРЕБОВАНИЯ К СПЕЦИАЛИСТАМ, ОСУЩЕСТВЛЯЮЩИМ ПОВЕРКУ-
5.1 К проведению поверки АИИС КУЭ допускают работников организаций, аккредитованных в области обеспечения единства измерений на право поверки СИ в порядке, установленном законодательством РФ об аккредитации в национальной системе аккредитации, изучивших настоящую методику поверки и формуляр АИИС КУЭ, имеющих опыт работы по поверке измерительных систем. Для выполнения отдельных операций поверки допускаются работники, удовлетворяющие требованиям, приведенным в п.п. 5.2 - 5.5.
-
5.2 Определение погрешности часов компонентов АИИС КУЭ и отсутствия ошибок информационного обмена осуществляется работниками, имеющими опыт работы в области измерений электрических величин, изучившими вышеуказанные документы, а также руководство пользователя по работе с радиочасами МИР РЧ-02, принимающим сигналы глобальной навигационной спутниковой системы ГЛОНАСС.
-
5.3 Измерение вторичной нагрузки измерительных трансформаторов тока, входящих в состав АИИС КУЭ, осуществляется работниками, допущенными к производству указанных работ в соответствии с правилами по охране труда при эксплуатации электроустановок и изучившими применяемый при поверке документ, содержащий методику измерений вторичной нагрузки измерительных трансформаторов тока.
-
5.4 Измерение вторичной нагрузки измерительных трансформаторов напряжения, входящих в состав АИИС КУЭ, осуществляется работниками, допущенными к производству указанных работ в соответствии с правилами по охране труда при эксплуатации электроустановок и изучившими применяемый при поверке документ, содержащий методику измерений вторичной нагрузки измерительных трансформаторов напряжения.
-
5.5 Измерение потерь напряжения в линии соединения счетчика с измерительным трансформатором напряжения, входящими в состав АИИС КУЭ проводят не менее двух специалистов, один из которых должен иметь удостоверение, подтверждающее право работы на установках свыше 1000 В с группой по электробезопасности не ниже IV, второй -удостоверение, подтверждающее право работы на установках свыше 1000 В с группой по электробезопасности не ниже III.
ВНИМАНИЕ.
При проведении поверочных и измерительных работ должны присутствовать работники объекта, на котором размещены компоненты АИИС КУЭ, имеющие опыт работы и право на подключение и отключение эталонных и поверяемых средств измерений в соответствии со схемой поверки или с методикой измерений.
6 МЕТРОЛОГИЧЕСКИЕ И ТЕХНИЧЕСКИЕ ТРЕБОВАНИЯ К СРЕДСТВАМ ПОВЕРКИПри проведении поверки применяют средства измерений в соответствии с методиками поверки, указанными в описании типа на средства измерений (измерительные компоненты) АИИС КУЭ эталоны и вспомогательные устройства, в соответствии с методиками поверки, указанными в описаниях типа на измерительные компоненты АИИС КУЭ, а также приведенные в таблице 2.
Таблица 2
Наименование средства измерений, эталона/ регистрационный номер в Федеральном информационном фонде по обеспечению единства измерений (рег.№) |
Измеряемая величина |
Метрологические характеристики |
Номер пункта НД по поверке |
1 |
2 |
3 |
4 |
Измеритель влажности и температуры ИВТМ-7 (рег.№ 71394-18) |
Барометрическое давление в диапазоне измерений: от 840 до 1060 гПа |
ПГА ± 3 гПа |
7 |
Относительная влажность окружающего воздуха в диапазоне измерений от 0 до 99 % |
ПГА ±2,0% | ||
Температура окружающего воздуха в диапазоне измерений от -20 до +60 °C |
ПГА ± 0,2 °C | ||
Измеритель многофункциональный характеристик переменного тока «Pecypc-UF2-nT» (рег.№ 29470-05) |
Электрическое напряжение в диапазоне от 0,025 до 456 В |
ПГО от ± 0,05 до ± 1,0 % |
9.7-9.9 |
Сила тока в диапазоне от 0,01 до 7,5 А |
ПГО от ± 0,05 до ± 0,10 % | ||
Электрическая мощность в диапазоне от 0,25 до 1980 Вт (Вар) |
ПГО от ± 0,1 до ± 0,3 % | ||
Измеритель показателей качества электрической энергии «Pecypc-UF2» (мод. «Pecypc-UF2M») (рег.№ 21621-12) |
Частота переменного тока в диапазоне от 45 до 55 Гц |
ПГО от ± 0,05 до± 1,0 % | |
Радиочасы МИР РЧ-02 (рег.№ 46656-11) |
Шкала времени UTC (SU) |
ПГА ± 1 мкс |
10 |
Переносной компьютер с ПО и оптический преобразователь для работы со счетчиками системы
Примечания.
-
1. Допускается применение других средств поверки с метрологическими характеристиками, обеспечивающими требуемые точности измерений (согласно таблице 2).
-
2. Все средства измерений, применяемые при поверке, должны быть утвержденного типа и иметь действующие свидетельства о поверке. Эталоны должны быть аттестованы и иметь действующие свидетельства об аттестации.
-
7.1 При проведении поверки должны быть соблюдены требования безопасности, установленные ГОСТ 12.2.007.0-75, ГОСТ 12.2.007.3-75, «Правилами техники безопасности при эксплуатации электроустановок потребителей», «Правилами технической эксплуатации электроустановок потребителей», «Правилами по охране труда при эксплуатации электроустановок», а также требования безопасности на средства поверки, поверяемые трансформаторы и счетчики, изложенные в их руководствах по эксплуатации.
-
7.2 Эталоны, средства измерений, вспомогательные средства поверки и оборудование должны соответствовать требованиям ГОСТ 12.2.003-91, ГОСТ 12.2.007.3-75, ГОСТ 12.2.007.7-75.
-
8.1 Проверяют целостность корпусов и отсутствие видимых повреждений средств измерений (измерительных компонентов) АИИС КУЭ, наличие поверительных пломб и клейм на измерительных компонентах.
-
8.2 Проверяют отсутствие следов коррозии и нагрева в местах подключения проводных линий.
Результаты проверки считаются положительными, если:
-
- не выявлено видимых повреждений измерительных компонентов, имеются пломбы и клейма на измерительных компонентах;
-
- не выявлено следов коррозии и нагрева в местах подключения проводных линий;
В случае выявления несоответствия по пунктам 8.1-8.2 поверку приостанавливают до устранения выявленных несоответствий.
В случае невозможности устранения выявленных несоответствий по пунктам 8.1-8.2 АИИС КУЭ в части неисправных ИК бракуется.
-
9 ПОДГОТОВКА К ПОВЕРКЕ И ОПРОБОВАНИЕ АНИС КУЭ
-
- проводят технические и организационные мероприятия по обеспечению безопасности поверочных работ в соответствии с действующими правилами и руководством по эксплуатации применяемого оборудования;
-
- средства поверки выдерживают в условиях и в течение времени, установленных в их эксплуатационных документах;
-
- средства поверки, которые подлежат заземлению, должны быть надежно заземлены все средства измерений, которые подлежат заземлению, должны быть надежно заземлены, подсоединение зажимов защитного заземления к контуру заземления должно производиться ранее других соединений, а отсоединение - после всех отсоединений.
-
- формуляр;
-
- описание типа АИИС КУЭ;
-
- свидетельств о поверке средств измерений (измерительных компонентов), входящих в ИК и свидетельство о предыдущей поверке системы (при периодической и внеочередной поверке);
-
- паспорта-протоколы на ИК, рабочие журналы АИИС КУЭ с данными по климатическим и иным условиям эксплуатации за межповерочный интервал (только при периодической поверке).
-
9.3.1 Проверяют правильность расположения и подключения средств измерений (измерительных компонентов): измерительных трансформаторов тока (ТТ) и измерительных трансформаторов напряжения (TH) к счетчикам электрической энергии, правильность прокладки проводных линий связи.
-
9.3.2 Проверяют соответствие типов и заводских номеров компонентов, входящих в состав ИК АИИС КУЭ, типам и заводским номерам, указанным в описании типа или формуляре АИИС КУЭ.
-
9.3.3 Проверяют наличие свидетельств о поверке и срок их действия для всех измерительных компонентов АИИС КУЭ: измерительных трансформаторов тока и напряжения, счетчиков электрической энергии, У СВ. При обнаружении просроченных свидетельств о поверке измерительных компонентов или свидетельств, срок действия которых близок к окончанию, дальнейшие операции по поверке ИК, в который они входят, выполняют после поверки этих измерительных компонентов по методикам поверки, утвержденным при
утверждении их типа.
В случае выявления несоответствия по пунктам 9.3.1-9.3.3 поверку приостанавливают до устранения выявленных несоответствий.
В случае невозможности устранения выявленных несоответствий по пунктам 9.3.1-9.3.3 АИИС КУЭ в части неисправных ИК бракуется.
9.4 Проверяют счетчики электрической энергии-
9.4.1 Проверяют наличие и сохранность пломб на счетчиках и испытательной коробке. Проверяют наличие оригиналов актов, подтверждающих правильность подключения счетчиков к цепям тока и напряжения, в частности, правильность чередования фаз.
При отсутствии таких актов или нарушении (отсутствии пломб) проверяют правильность подключения счетчиков к цепям тока и напряжения (соответствие схем подключения-схемам, приведенным в паспорте на счетчик.
-
9.4.2 Проверяют работу всех сегментов индикаторов, отсутствие кодов ошибок или предупреждений, прокрутку параметров в заданной последовательности.
-
9.4.3 Проверяют работоспособность оптического порта счетчика с помощью переносного компьютера. Оптический преобразователь подключают к любому последовательному порту переносного компьютера. Опрашивают счетчик по установленному соединению. Опрос счетчика считается успешным, если получен отчет, содержащий данные, зарегистрированные счетчиком.
-
9.4.4 Проверяют соответствие индикации даты в счетчике календарной дате (число, месяц, год). Проверку осуществляют визуально или с помощью переносного компьютера через оптопорт.
Результаты проверки считаются положительными, если:
-
- подтверждена правильность подключения счетчиков к цепям тока и напряжения, а также последовательность чередования фаз;
-
- все сегменты индикаторов счетчиков работают, отсутствуют коды ошибок или предупреждений;
-
- при опросе счетчика по оптическому порту с помощью переносного компьютера получен отчет, содержащий данные, зарегистрированные счетчиком;
-
- календарная дата в счетчике соответствует текущей календарной дате;
в памяти счетчика имеются получасовые значения приращений активной и реактивной электроэнергии за выбранный период времени.
В случае выявления несоответствия по пунктам 9.4.1-9.4.4 поверку приостанавливают до устранения выявленных несоответствий.
В случае невозможности устранения выявленных несоответствий по пунктам 9.4.1-9.4.4 АИИС КУЭ в части неисправных ИК бракуется.
9.5 Проверка функционирования ИВК «ИКМ-Пирамида»-
9.5.1 Проводят опрос текущих показаний всех счетчиков электроэнергии.
Проверку считают успешной, если все счетчики опрошены и нет сообщений об ошибках, а также получен отчет, содержащий данные, зарегистрированные счетчиком.
-
9.5.2 Проверяют глубину хранения измерительной информации в ИВК «ИКМ-Пирамида» АИИС КУЭ.
-
- глубина хранения измерительной информации в центральных компьютерах (серверах) АИИС КУЭ соответствует указанной в эксплуатационной документации АИИС КУЭ.
-
9.5.3 Проверяют защиту программного обеспечения на компьютерах (серверах) АИИС КУЭ от несанкционированного доступа. Для этого запускают на выполнение программу сбора данных и в поле «пароль» вводят неправильный код.
Проверку считают успешной, если при вводе неправильного пароля программа не разрешает продолжать работу.
-
9.5.4 Проверяют работу аппаратных ключей. Выключают компьютер и снимают аппаратную защиту (отсоединяют ключ от порта компьютера). Включают компьютер, загружают операционную систему и запускают программу.
Проверку считают успешной, если получено сообщение об отсутствии «ключа защиты».
-
9.5.5 Проверяют правильность коэффициентов трансформации измерительных трансформаторов тока и напряжения.
Проверку считают успешной, если коэффициенты трансформации измерительных трансформаторов тока и напряжения соответствуют паспортным.
В случае выявления несоответствия по пунктам 9.5.1-9.5.5 поверку приостанавливают до устранения выявленных несоответствий.
В случае невозможности устранения выявленных несоответствий по пунктам 9.5.1-9.5.5 АИИС КУЭ в части неисправных ИК бракуется.
9.6 Проверка функционирования вспомогательных устройств-
9.6.1 Проверка функционирования модемов
Проверяют функционирование модемов, используя коммуникационные возможности специальных программ из состава ПО АИИС КУЭ, определяемой согласно руководству пользователя ПО.
Проверку считают успешной, если:
-
- были установлены коммутируемые соединения и по установленным соединениям успешно прошел опрос счетчиков.
Допускается автономная проверка модемов с использованием тестового программного обеспечения.
-
9.6.2 Проверка функционирования адаптеров интерфейса
Используя кабель RS-232, подключают к адаптерам переносной компьютер с программным обеспечением.
Проверку считают успешной, если:
- удалось опросить все счетчики, подключенные к данному адаптеру.
В случае выявления несоответствия по пунктам 9.6.1-9.6.2 поверку приостанавливают до устранения выявленных несоответствий.
В случае невозможности устранения выявленных несоответствий по пунктам 9.6.1-9.6.2 АИИС КУЭ в части неисправных ИК бракуется.
9.7 Проверка нагрузки на вторичные цепи измерительных трансформаторов тока-
9.7.1 Проверяют наличие документов, подтверждающих правильность подключения вторичных обмоток ТТ. При отсутствии таких документов проверяют правильность подключения вторичных обмоток ТТ.
-
9.7.2 Измеряют мощность нагрузки вторичных цепей ТТ, которая должна находиться в диапазоне, указанном в ГОСТ 7746-2001 и ГОСТ 7746-2015 или в описании типа средств измерений на конкретный тип ТТ.
Измерение мощности нагрузки вторичных цепей ТТ проводят в соответствии с документом МИ 3196-2018 «Государственная система обеспечения единства измерений. Методика измерений мощности нагрузки трансформаторов тока в условиях эксплуатации».
При отклонении мощности нагрузки вторичных цепях ТТ от заданного значения, процедуру поверки приостанавливают до устранения данных несоответствий.
В случае невозможности устранения выявленных несоответствий по пунктам 9.7.1-9.7.2 АИИС КУЭ в части неисправных ИК бракуется.
Примечания
-
1 Допускается измерения мощности нагрузки вторичных цепей ТТ не проводить, если такие измерения проводились при составлении паспортов-протоколов на данный измерительный канал в течение истекающего межповерочного интервала АИИС КУЭ.
Результаты поверки считают положительными, если паспорт-протокол подтверждает выполнение указанного выше условия для ТТ.
-
2 Допускается мощность нагрузки определять расчетным путем, если известны входные (проходные) импедансы всех устройств, подключенных ко вторичным обмоткам ТТ.
-
3 Допускается проведение измерений в соответствии с другими аттестованными методиками измерений.
-
9.8.1 Проверяют наличие и сохранность пломб поверительных и энергоснабжающих организаций на клеммных соединениях, имеющихся на линии связи TH и счетчиков.
Проверяют наличие документов, подтверждающих правильность подключения первичных и вторичных обмоток TH. При отсутствии таких документов или нарушения (отсутствия) пломб проверяют правильность подключения первичных и вторичных обмоток TH.
-
9.8.2 При проверке нагрузки вторичных цепей TH необходимо убедиться в том, что напряжение при нагруженной вторичной обмотке составляет не более 10 % от U ном.
Измеряют мощность нагрузки вторичных цепей TH, которая должна находиться в диапазоне, указанном в ГОСТ 1983-2001 (ГОСТ 1983-2015) или в описании типа средств измерений на конкретный тип TH.
Измерение мощности нагрузки вторичных цепей TH проводят в соответствии с документом МИ 3195-2018 «Государственная система обеспечения единства измерений. Методика измерений мощности нагрузки измерительных трансформаторов напряжения в условиях эксплуатации», аттестованном в установленном порядке и зарегистрированном в Федеральном информационном фонде по обеспечению единства измерений.
При отклонении мощности нагрузки вторичной цепи TH от заданного значения, процедуру поверки приостанавливают до устранения данных несоответствий.
В случае выявления несоответствия по пунктам 9.8.1-9.8.2 поверку приостанавливают до устранения выявленных несоответствий.
В случае невозможности устранения выявленных несоответствий по пунктам 9.8.1-9.8.2 АИИС КУЭ в части неисправных ИК бракуется.
Примечания
-
1 Допускается измерения мощности нагрузки вторичных цепей TH не проводить, если такие измерения проводились при составлении паспортов-протоколов на данный измерительный канал в течение истекающего межповерочного интервала АИИС КУЭ.
Результаты поверки считают положительными, если паспорт-протокол подтверждает выполнение указанного выше условия для TH.
-
2 Допускается мощность нагрузки определять расчетным путем, если известны входные (проходные) импедансы всех устройств, подключенных ко вторичным обмоткам TH.
-
3 Допускается проведение измерений в соответствии с другими аттестованными методиками измерений.
Измерение падения напряжения ил в линии связи для каждой фазы проводят в соответствии с МИ 3598-18 «Государственная система обеспечения единства измерений. Методика измерения потерь напряжения в линиях соединения счетчика с трансформатором напряжения в условиях эксплуатации», аттестованном в установленном порядке и зарегистрированном в Федеральном информационном фонде по обеспечению единства измерений.
Падение напряжения должно быть не более 0,25% от номинального значения напряжения на вторичной обмотке TH.
При превышении значения падения напряжения в линии связи счетчика с TH более
0,25%, процедуру поверки приостанавливают до устранения данных несоответствий.
В случае невозможности устранения выявленных несоответствий по пункту 9.9 АПИС КУЭ в части неисправных ПК бракуется.
Примечания
-
1 Допускается измерение падения напряжения в линии связи счетчика с TH не проводить, если такие измерения проводились при составлении паспортов-протоколов на данный измерительный канал в течение истекающего интервала между поверками АНИС КУЭ, и если в измерительный канал не вносились изменения, не зафиксированные в соответствующем паспорте-протоколе.
-
2 Допускается падение напряжения в линии соединения счетчика с TH определять расчетным путем, если известны параметры линии связи и сила электрического тока, протекающего через линию связи.
-
3 В случае отсутствия TH падение напряжения от точки измерения до счетчика электрической энергии должно быть не более 0,25% от номинального значения напряжения.
4. Допускается проведение измерений в соответствии с другими аттестованными методиками измерений.
Результаты проверки считаются положительными, если измеренное значение падения напряжения в линии соединения счетчика с TH не более 0,25% от номинального значения на вторичной обмотке TH, или подтверждается выполнение указанного выше условия в паспорте-протоколе.
9.10 Проверка системы обеспечения единого времени (СОЕВ)-
9.10.1 Проверка смещения шкалы времени компонентов СОЕВ (счетчиков, ИВК «ИКМ-Пирамида) АНИС КУЭ относительно национальной шкалы координированного времени UTC (SU).
Включают радиочасы МИР РЧ-02, принимающие сигналы точного времени глобальной навигационной спутниковой системы ГЛОНАСС и сверяют показания радиочасы МИР РЧ-02 с показаниями часов счетчиков, сервера.
Результат проверки считается положительным, если предел смещения шкалы времени компонентов СОЕВ АИИС КУЭ относительно шкалы координированного времени UTC (SU) не превышает ± 5 с.
-
9.10.2 Проверка работы СОЕВ
Проверить правильность работы СОЕВ, определяя по журналу событий расхождение времени корректирующего и корректируемого компонента в момент, предшествующий коррекции.
Результат проверки считается положительным, если расхождение времени корректирующего и корректируемого компонента в момент, предшествующий коррекции не превышает значения в описании типа.
При обнаружении несоответствий по п. 9.10.1 и 9.10.2 АИИС КУЭ в части неисправных ИК бракуется.
9.11 Проверка отсутствия ошибок информационного обменаОперация проверки отсутствия ошибок информационного обмена предусматривает экспериментальное подтверждение идентичности числовой измерительной информации в счетчиках электрической энергии (исходная информация), и памяти центрального компьютера
В момент проверки все технические средства, входящие в проверяемый ИК, должны быть включены.
-
9.11.1 На ИВК «ИКМ-Пирамида» распечатывают значения активной и реактивной электрической энергии, зарегистрированные с 30-ти минутным интервалом за полные предшествующие дню поверки сутки, по всем ИК. Проверяют наличие данных, соответствующих каждому 30-ти минутному интервалу времени. Пропуск данных не допускается за исключением случаев, когда этот пропуск был обусловлен отключением ИК или устраненным отказом какого-либо компонента системы.
-
9.11.2 Распечатывают журнал событий счетчика и сервера и отмечают моменты нарушения связи между измерительными компонентами системы. Проверяют сохранность измерительной информации в памяти центральных компьютерах (серверах) системы на тех интервалах времени, в течение которого была нарушена связь.
-
9.11.3 Распечатывают на ИВК «ИКМ-Пирамида» профиль нагрузки за полные сутки, предшествующие дню поверки. Используя переносной компьютер, считывают через оптопорт профиль нагрузки за те же сутки, хранящийся в памяти счетчика. Различие значений активной (реактивной) мощности, хранящейся в памяти счетчика (с учетом коэффициентов трансформации измерительных трансформаторов) и базе данных центрального компьютера (сервера) не должно превышать две единицы младшего разряда учтенного значения.
При обнаружении несоответствий по п. 9.11.1—9.11.3 АИИС КУЭ в части неисправных ИК бракуется.
10 ПРОВЕРКА ПРОГРАММНОГО ОБЕСПЕЧЕНИЯ АИИС КУЭ-
10.1 Проводят проверку соответствия заявленных идентификационных данных программного обеспечения, указанных в описании типа и эксплуатационной документации:
-
- наименование программного обеспечения;
-
- идентификационное наименование программного обеспечения;
-
- номер версии (идентификационный номер) программного обеспечения;
-
- цифровой идентификатор программного обеспечения (контрольная сумма исполняемого кода);
-
- алгоритм вычисления цифрового идентификатора программного обеспечения в соответствии с Р 50.2.077-2014 «ГСИ. Испытания средств измерений в целях утверждения типа.
Проверка защиты программного обеспечения» и ГОСТ Р 8.654-2015 «ГСИ. Требования к программному обеспечению средств измерений. Основные положения».
-
10.2 Проверка идентификации программного обеспечения АИИС КУЭ
Убедиться, что идентификационное наименование и номер версии программного обеспечения соответствуют заявленным в описании типа.
Результат проверки считать положительным, если:
-
- идентификационное наименование и номер версии программного обеспечения соответствует заявленному в описании типа.
-
10.3 Проверка цифрового идентификатора программного обеспечения
На выделенных модулях ПО проверить цифровой идентификатор и алгоритм вычисления цифрового идентификатора.
Проверка цифрового идентификатора программного обеспечения проводится на сервере, где установлено ПО.
Запустить менеджер файлов, позволяющий производить хеширование файлов или специализированное ПО, предоставляемое разработчиком.
В менеджере файлов, необходимо открыть каталог и выделить файлы, указанные в описании типа на АИИС КУЭ.
Далее запустив соответствующую программу, из состава ПО АИИС КУЭ, просчитать хэш. По результатам формируются файлы, содержащие код алгоритмов вычисления цифрового идентификатора в текстовом формате. Наименование файлов алгоритма вычисления цифрового идентификатора должно строго соответствует наименованию файлов, для которого проводилось хеширование.
Результаты проверки считаются положительными, если:
-
- идентификационное наименование и номер версии программного обеспечения соответствует заявленному в описании типа;
-
- цифровой идентификатор соответствует указанному в описании типа АИИС КУЭ;
В случае выявления несоответствия по пунктам 10.1-10.3 поверку приостанавливают до устранения выявленных несоответствий.
В случае невозможности устранения выявленных несоответствий по пунктам 10.1-10.3 АИИС КУЭ в части неисправных ИК бракуется.
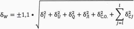
11 ОПРЕДЕЛЕНИЕ МЕТРОЛОГИЧЕСКИХ ХАРАКТЕРИСТИК АИИС КУЭ-
11.1 Рассчитывают границы интервала допускаемой относительной погрешности ИК в
рабочих условиях (±5), %, при доверительной вероятности, равной 0,95 по формуле:

(Ю.1)
где 6/ - токовая погрешность ТТ, %;
5у - погрешность напряжения TH, %;
6q - погрешность трансформаторной схемы подключения счетчика за счет угловых погрешностей ТТ и TH, %;
5Л - погрешность из-за потери напряжения в линии соединения счетчика с TH, %;
6С 0 - основная относительная погрешность счетчика, %;
SCj - дополнительная погрешность счетчика от J-й влияющей величины.
При отсутствии в ИК каких-либо измерительных компонентов, соответствующие значения погрешностей в формуле не используются.
-
11.2 Определение предела абсолютной погрешности смещения шкалы времени компонентов СОЕВ АНИС КУЭ относительно национальной шкалы координированного времени UTC (SU).
Рассчитывают абсолютную погрешность смещения шкалы времени счетчиков, сервера относительно шкалы времени UTC (SU), используя данные, полученные в результате проверки поп.9.10.1 по формуле:
At = t3 + tki> (11-2)
где t3 - показания радиочасов МИР РЧ-02, чч:мм:сс;
- показания часов i-ro компонента АИИС КУЭ, чч:мм:сс.
Результат проверки считается положительным, если смещение шкалы времени счетчиков, сервера ИВК относительно шкалы времени UTC (SU) не превышает ±5 с.
В случае выявления несоответствий по пунктам 11.1, 11.2 АИИС КУЭ в части неисправных ИК бракуется.
12 ПОДТВЕРЖДЕНИЕ СООТВЕТСТВИЯ АИИС КУЭ МЕТРОЛОГИЧЕСКИМ ТРЕБОВАНИЯМВ процессе выполнения поверки специалист производит расчет погрешностей в соответствии с формулами, приведенными в настоящей методике. Конечные результаты расчетов должны быть представлены с соблюдением правил округления и обязательным указанием единиц измерений, вычисленной физической величины. Результаты считают удовлетворительными, если полученные (рассчитанные) значения погрешностей не превышают значений, приведенных в описании типа.
13 ОФОРМЛЕНИЕ РЕЗУЛЬТАТОВ ПОВЕРКИ-
13.1 На основании положительных результатов по пунктам разделов 8-12 выписывают свидетельство о поверке АИИС КУЭ по форме и содержанию, удовлетворяющее требованиям Приказа Минпромторга России от 31.07.2020 № 2510 (Приложение №3) «Об утверждении Порядка проведения поверки средств измерений, требований к знаку поверки и содержанию свидетельства о поверке».
В приложении к свидетельству указывают перечень и состав ИК с указанием наименований, типов в соответствии со свидетельством об утверждении типа, заводских номеров средств измерений (измерительных компонентов), входящих в состав каждого ИК (для счетчиков электрической энергии, трансформаторов тока и напряжения указывают условное обозначение модификации и варианта исполнения в соответствии о свидетельством об утверждении типа СИ), прошедших поверку и пригодных к применению и устройства синхронизации времени. Отражают результаты проверки АИИС КУЭ по защите от несанкционированного вмешательства.
Знак поверки наносится на свидетельство о поверке путем нанесения оттиска поверительного клейма. Знак поверки наносятся на средства измерений, которые по результатам поверки соответствуют метрологическим требованиям, и конструкция которых предусматривает возможность нанесения знаков поверки.
-
13.2 В случае, если отдельные ИК были забракованы по пунктам разделов 8-12, АИИС КУЭ признается непригодной к дальнейшей эксплуатации, в части ИК не прошедших с положительным результатом поверку и на нее выдают извещение о непригодности по форме и содержанию, удовлетворяющее требованиям Приказа Минпромторга России от 31.07.2020 №2510 «Об утверждении Порядка проведения поверки средств измерений, требований к знаку поверки и содержанию свидетельства о поверке», с указанием причин непригодности. В приложении к извещению о непригодности указывают перечень и состав ИК с указанием наименований, типов в соответствии со свидетельством об утверждении типа, заводских номеров средств измерений (измерительных компонентов), входящих в состав каждого ИК (для счетчиков электрической энергии, трансформаторов тока и напряжения указывают условное обозначение модификации и варианта исполнения в соответствии со свидетельством об утверждении типа СИ, устройства синхронизации времени), не соответствующих метрологическим требованиям, установленным в описании типа.
-
13.3 Протокол поверки оформляется в произвольной форме.
-
13.4 Сведения о результатах поверки средств измерений в целях подтверждения поверки должны быть переданы в Федеральный информационный фонд по обеспечению единства измерений в соответствии с порядком создания и ведения Федерального информационного фонда по обеспечению единства измерений, передачи сведений в него и внесения изменений в данные сведения, предоставления содержащихся в нем документов и сведений, предусмотренным частью 3 статьи 20 Федерального закона N 102-ФЗ, аккредитованным на поверку лицом, проводившим поверку, в сроки, согласованные с лицом, представляющим средства измерений в поверку, но не превышающие 20 рабочих дней (для средств измерений, применяемых в качестве эталонов единиц величин) и 40 рабочих дней (для остальных средств измерений) с даты проведения поверки средств измерений.
-
13.5 При проведении поверки средств измерений в сокращенном объеме в соответствии с пунктом 18 Приказа Минпромторга России от 31.07.2020 № 2510 (только для применяемых величин или поддиапазонов измерений) или для применяемых отдельных измерительных каналов и (или) отдельных автономных блоков из состава средств измерений информация об объеме проведенной поверки передается в Федеральный информационный фонд по обеспечению единства измерений в соответствии с порядком создания и ведения Федерального информационного фонда по обеспечению единства измерений, передачи сведений в него и внесения изменений в данные сведения, предоставления содержащихся в нем документов и сведений, предусмотренным частью 3 статьи 20 Федерального закона N 102-ФЗ.
Разработчик:

Плещук П.Д
«09» сентября 2021 г.
Главный специалист
ООО «Энерготестконтроль»
20