Методика поверки «ГСОЕИ. СКАНЕРЫ МАГНИТНОГО ПОЛЯ MMS-1A-RS» (МП 36-261-2021)
Уральский научно-исследовательский институт метрологии - филиал Федерального государственного унитарного предприятия «Всероссийский научно-исследовательский институт метрологии им. Д. И. Менделеева»
(УНИИМ - филиал ФГУП «ВНИИМ им. Д.И. Менделеева»)
СОГЛАСОВАНО
ае'Р0 .
Е.П. Собина
2021 г.
f/J^o директора УНИИМ - филиала
” «ВНИИМ им. Д.И. Менделеева»
ГОСУДАРСТВЕННАЯ СИСТЕМА ОБЕСПЕЧЕНИЯ ЕДИНСТВА ИЗМЕРЕНИИ
СКАНЕРЫ МАГНИТНОГО ПОЛЯ MMS-1A-RSМЕТОДИКА ПОВЕРКИ
МП 36-261-2021 г. Екатеринбург 2021
ПРЕДИСЛОВИЕ
-
1 РАЗРАБОТАНА:
Уральским научно-исследовательским институтом метрологии - филиалом Федерального государственного унитарного предприятия «Всероссийский научно-исследовательский институт метрологии им. Д.И. Менделеева» (УНИИМ - филиалом ФГУП «ВНИИМ им. Д.И. Менделеева»).
|
2 ИСПОЛНИТЕЛИ И.о. зав. лабораторией 261 Старший научный сотрудник лаб. 261, эксперт-метролог в области испытаний средств измерений электрических и магнитных величин Младший научный сотрудник лаб.261 |
Цай И.С. Маслова Т.И. Волегова Е.А. |
-
3 СОГЛАСОВАНО УНИИМ - филиалом ФГУП «ВНИИМ им. Д.И. Менделеева»
-
4 ВВЕДЕНА ВПЕРВЫЕ
СОДЕРЖАНИЕ
-
6 Метрологические и технические требования к средствам поверки
-
7 Требования (условия) по обеспечению безопасности проведения поверки
-
11 Определение метрологических характеристик средства измерений
-
12 Подтверждение соответствия средства измерений метрологическим требованиям
Государственная система обеспечения единства измерений. Сканеры магнитного поля MMS-1A-RS.
МП 36-261 -2021
Методика поверки
Дата введения в действие «___»__________2021 г.
1 Общие положения-
1.1 Настоящая методика поверки (далее - МП) распространяется на сканеры магнитного поля MMS-1A-RS (далее - сканеры), предназначенные для измерений магнитной индукции постоянного магнитного поля для построения 2D и 3D распределения магнитной индукции, создаваемого постоянными магнитами, магнитными системами, электронными компонентами.
Настоящая МП устанавливает процедуру первичной и периодической поверки сканеров. Поверка сканеров должна производиться в соответствии с требованиями настоящей методики.
-
1.2 При проведении поверки должна обеспечиваться прослеживаемость сканеров к ГЭТ 12-2021 «Государственному первичному эталону единиц магнитной индукции, магнитного потока, магнитного момента и градиента магнитной индукции» согласно части 1 ГОСТ 8.030-2013 «ГСП. Государственная поверочная схема для средств измерений магнитной индукции, магнитного потока, магнитного момента и градиента магнитной индукции».
-
1.3 Интервал между поверками - один год.
-
2.1 В настоящей МП использованы ссылки на документы, указанные в таблице 1.
Таблица 1 - Перечень документов
|
Обозначение документа, на которые дана ссылка |
Наименование документа |
|
Приказ Минтруда РФ от 15.12.2020 г. № 903н |
Об утверждении правил по охране труда при эксплуатации электроустановок |
|
Приказ Минпромторга России №2510 от 31.07.2020 г. |
Об утверждении порядка проведения поверки средств измерений, требования к знаку поверки и содержанию свидетельства о поверке |
|
Приказ Минпромторга России от 28.08.2020 г. №2906 |
«Об утверждении порядка создания и ведения Федерального информационного фонда по обеспечению единства измерений, передачи сведений в него и внесения изменений в данные сведения, предоставления содержащихся в нем документов и сведений» |
|
ГОСТ 8.030-2013 |
ГСП. Государственная поверочная схема для средств измерений магнитной индукции, магнитного потока, магнитного момента и градиента магнитной индукции |
Примечание - При пользовании настоящим документом целесообразно проверить действие ссылочных документов по соответствующему указателю стандартов, составленному по состоянию на 1 января текущего года, и по соответствующим информационным указателям, опубликованным в текущем году. Если ссылочный документ заменен (изменен), то при пользовании настоящим документом следует руководствоваться замененным (измененным) стандартом. Если ссылочный документ отменен без замены, то положение, в котором дана ссылка на него, применяется в части, не затрагивающей эту ссылку.
3 Перечень операций поверки средств измерений3.1 При проведении поверки сканеров должны выполняться операции согласно таблице 2.
Таблица 2 - Операции поверки
|
Наименование операции |
Номер пункта МП |
Проведение операций при | |
|
первичной поверке |
периодической поверке | ||
|
Внешний осмотр средства измерений |
8 |
Да |
Да |
|
Подготовка к поверке и опробование средства измерений |
9 |
Да |
Да |
|
Проверка программного обеспечения средства измерений |
10 |
Да |
Да |
|
Определение метрологических характеристик средства измерений |
11 |
Да |
Да |
|
Подтверждение соответствия средства измерений метрологическим требованиям |
12 |
Да |
Да |
-
3.2 Если при выполнении той или иной операции выявлено несоответствие установленным требованиям, поверка приостанавливается, выясняются и устраняются причины несоответствия, после этого повторяется поверка по операции, по которой выявлено несоответствие. В случае повторного выявления несоответствия установленным требованиям поверку прекращают, выдается извещение о непригодности.
-
3.3 При периодической поверке в соответствии с письменным заявлением владельца средства измерений допускается проведение поверки для меньшего числа измеряемых величин и (или) на меньшем числе поддиапазонов измерений. В свидетельстве о поверке (в сведениях о поверке, передаваемых в федеральный информационный фонд по обеспечению единства измерений) обязательно указывается информация об объеме проведенной поверки.
Поверка сканера в полном объеме возможна только при наличии дополнительного кабеля для поверки в комплектности сканера.
4 Требования к условиям проведения поверки-
4.1 При проведении поверки должны соблюдаться следующие условия:
-
- температура окружающего воздуха, °C от плюс 15 до плюс 25;
-
- относительная влажность, %, не более 80.
Параметры электрического питания от трехфазной сети переменного тока:
-
- напряжение, В 220 ± 22;
-частота, Гц 50±1.
-
4.2 Если до проведения поверки средства поверки находились в климатических условиях, отличных от описанных в 4.1, то перед началом поверки они должны быть выдержаны в условиях по пункту 4.1 не менее 24 ч, а после воздействия повышенной влажности - не менее 48 ч.
-
4.3 Вибрация и тряска должны отсутствовать.
-
5.1 К проведению поверки допускаются лица из числа специалистов, допущенных к поверке, работающих в организации, аккредитованной на право поверки средств измерений в соответствующей области, и ознакомившиеся с руководством по эксплуатации (далее -РЭ) на сканеры и настоящей МП.
-
6.1 При проведении поверки применяют оборудование согласно таблице 3.
Таблица 3 - Средства поверки
Наименование
Метрологические и технические требования
Измеритель магнитной индукции Ш1-9
Диапазон измерений магнитной индукции постоянного магнитного поля от 25 до 2500 мТл, 6= ±0,02 % (рабочий эталон 2-го разряда по ГОСТ 8.030)
Измеритель напряженности магнитного поля Gauss-/Teslameter FH 54
Диапазон измерений магнитной индукции постоянного магнитного поля от 0,003 до 2 Тл, 8=±1,5 %.
Меры длины концевые плоскопараллельные образцовые
Диапазон значений (0,5-100) мм, 3 разряд
Электромагнит
Обеспечивающий в рабочем зазоре высотой 15 мм индукцию магнитного поля не менее 2,0 Тл.
Источник напряжения и тока
Выходное напряжение (0 - 125) В, выходной ток (0 - 120) А.
Образцы магнитотвердых материалов (МТМ)
Изготовленные на основе сплавов NdFeB, AlNiCo и SmCo, диаметром или стороной не менее 7 мм.
Термогигрометр
Диапазоны измерений температуры и относительной влажности не менее требуемых по пункту 4
6.2 Эталоны, применяемые для поверки, должны быть поверены (аттестованы), средства измерений должны быть поверены.
-
6.3 При проведении поверки допускается применение не указанных в п. 6.1 средств измерений, обеспечивающих требуемую точность передачи единиц величин поверяемому средству измерений.
-
7.1 При проведении поверки сканеров к работе допускаются лица, прошедшие инструктаж по технике безопасности при работе с электроустановками напряжением до 1000 В.
-
7.2 При проведении поверки сканеров должны соблюдаться требования приказа Минтруда России от 15.12.2020 г. № 903н «Об утверждении правил по охране труда при эксплуатации электроустановок» и требования 2.2 РЭ на сканеры.
-
8.1 При внешнем осмотре сканеров устанавливают:
-
- соответствие внешнего вида сканеров сведениям, приведенным в описании типа;
-
- отсутствие на поверхности сканеров механических повреждений и следов коррозии и других видимых повреждений, влияющих на эксплуатационные свойства;
-
- все кнопки и разъемы подключений должны быть исправны и хорошо закреплены;
-
- соответствие комплектности, указанной в РЭ;
-
- четкость обозначений и маркировки.
-
9.1 Подготавливают сканеры к работе и проводят функциональную проверку в соответствии с 3.6 РЭ.
-
10.1 В основном окне программы выбирают пункт меню «SystemSetup» (Настройка системы), где отображается наименование и номер версии ПО. Идентификационные данные должны соответствовать указанным в таблице 4.
Таблица 4 - Идентификационные данные программного обеспечения
|
Идентификационные данные (признаки) |
Значение |
|
Идентификационное наименование ПО |
MMS-A |
|
Номер версии (идентификационный номер) ПО |
не ниже V2.2 |
|
Цифровой идентификатор ПО |
— |
-
11.1 Определение диапазона и относительной погрешности измерений магнитной индукции
-
11.1.1 Определение относительной погрешности измерений магнитной индукции в поддиапазоне св. 0,5 до 2,0 Тл включ.
-
11.1.1.1 Установить измерительный зонд измерителя магнитной индукции Ш1-9 (далее - измеритель Ш1-9) в рабочий объем источника постоянного магнитного поля (электромагнита).
-
11.1.1.2 Установить измерительный датчик сканера в рабочем объеме источника постоянного магнитного поля так, чтобы вектор магнитной индукции в рабочем объеме электромагнита совпадал с осью X измерительного датчика.
-
-
11.1.1.ЗУстановить в рабочем объеме электромагнита значение магнитной индукции равное или близкое к 0,5 Тл (записать показание измерителя Ш1-9), записать показания сканера Btotaiv Тл.
-
11.1.1.4 Повторить операции 11.1.1.1-11.1.1.3, изменив полярность магнитного поля, действующего на измерительный датчик сканера (повернуть измерительный датчик сканера на 180°). Записать показания сканера Btotai2, Тл.
-
11.1.1.5 За результат измерений магнитной индукции В„, Тл постоянного магнитного поля сканером принять значение, рассчитанное по формуле
| + |в
total2
’и< “-----------------------
Ви —
(1)
и‘ 2
-
11.1.1.6 Выполнить не менее 5 измерений магнитной индукции и вычислить среднее арифметическое значение результатов измерений и среднее квадратическое отклонение по формулам
f
где Ви - среднее арифметическое значение измеренной магнитной индукции, Тл;
ВИ[ - i-oe измеренное значение магнитной индукции, Тл;
S - оценка среднего квадратического отклонения результата измерений, Тл; п - число измерений, п >5.
-
11.1.1.7 Вычислить отклонение Дв, Тл, полученного результата измерений от показаний измерителя Ш1-9 по формуле
(4)
где Ви - среднее значение магнитной индукции по компоненте X (или Y, или Z), рассчитанное по формуле (2), Тл;
Вэт - значение магнитной индукции, измеренное измерителем Ш1-9, Тл.
-
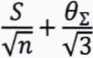
11.1.1.8 Вычислить значение неисключенной систематической составляющей Тл, погрешности результата измерений по формуле
(!)•
(5)
где 5ЭТ - относительная погрешность измерения магнитной индукции измерителем Ш1-9, %; d - цена единицы наименьшего разряда при измерении магнитной индукции, Тл.
-
11.1.1.9 Вычислить значение абсолютной погрешности измерений магнитной индукции по формуле
t • S + +-------

S2
0$
4-
п
+ 3
(6)
где t - коэффициент Стьюдента (при п = 5 и доверительной вероятности Р = 0,95 t = 2,776).
-
11.1.1.10 Значение относительной погрешности измерения магнитной индукции 8, %, вычислить по формуле
ОЭт
-
11.1.1.11 Установить измерительный датчик сканера так, чтобы вектор магнитной индукции в рабочем объеме электромагнита совпадал с осью Y измерительного датчика и повторить операции 11.1.1.3-11.1.1.10.
-
11.1.1.12 Повторить операции 11.1.1.1-11.1.1.11 не менее, чем для пяти значений магнитной индукции, равномерно распределенных в диапазоне измерений.
-
11.1.1.13 Полученные значения относительных погрешностей измерения магнитной индукции должны соответствовать приведенным в таблице 5.
-
11.1.2 Определение диапазона и относительной погрешности измерений магнитной индукции постоянного магнитного поля в поддиапазоне от 0,01 до 0,5 Тл включ.
-
11.1.2.1 Для проверки поддиапазона и определения относительной погрешности измерений магнитной индукции использовать не менее четырех постоянных магнитов со значением магнитной индукции на поверхности полюса магнита из диапазона измерений.
-
11.1.2.2 Закрепить постоянный магнит в держателе для магнита так, чтобы ось Y измерительного датчика совпадала с направлением вектора магнитной индукции на поверхности постоянного магнита.
-
11.1.2.3 Поднять измерительный датчик сканера на высоту Ah, определяемую по формуле
-
АД = hi - h2, (8)
где Дт - расстояние от поверхности измерительного датчика до непосредственно магниточувствительного элемента (датчика Холла), согласно технической документации на измеритель напряженности магнитного поля Gaus- / Teslameter FH54 (далее - измеритель FH 54), мм;
h2 - расстояние от поверхности измерительного датчика сканера до непосредственно магниточувствительного элемента (датчика Холла) вдоль измеряемой оси, согласно технической документации на сканер (0,300 мм), мм.
-
11.1.2.4 Записать показания сканера Btotah Тл.
-
11.1.2.5 Измерить значение магнитной индукции Ви, Тл, на поверхности образца осевым датчиком измерителя FH 54.
-
11.1.2.6 Выполнить не менее 5 измерений магнитной индукции и вычислить среднее арифметическое значение результатов измерений и среднее квадратическое отклонение по формулам (2) и (3) соответственно.
-
11.1.2.7 Вычислить отклонение Дв, Тл, полученного результата измерений от показаний измерителя FH 54 по формуле (4).
-
11.1.2.8 Вычислить значение неисключенной систематической составляющей 0%, Тл, погрешности результата измерений по формуле (5), где 5ЭТ - относительная погрешность измерения магнитной индукции измерителем FH 54, %.
-
11.1.2.9 Вычислить значение абсолютной погрешности измерения магнитной индукции по формуле (6).
-
11.1.2.10 Вычислить относительную погрешность 6, %, полученного результата измерений по формуле (7).
-
11.1.2.11 Повторить операции 11.1.2.2-11.1.2.10 не менее, чем для четырех значений магнитной индукции, равномерно распределенных в диапазоне измерений.
-
11.1.2.12 Закрепить постоянный магнит в держателе для магнита так, чтобы ось X измерительного датчика совпадала с направлением вектора магнитной индукции на поверхности постоянного магнита и повторить операции 11.1.2.2-4. 11.1.2.11.
-
11.1.2.13 Закрепить постоянный магнит в держателе для магнита так, чтобы ось Z измерительного датчика совпадала с направлением вектора магнитной индукции на поверхности постоянного магнита и повторить операции 11.1.2.2-11.1.2.11.
-
11.1.2.14 Полученные значения относительных погрешностей измерения магнитной индукции должны соответствовать приведенным в таблице 5.
-
11.2 Определение диапазона и СКО случайной составляющей погрешности измерений длины по осям X, Y и Z
-
11.2.1 Для проверки диапазона и СКО случайной составляющей погрешности измерений длины по осям X, Y, Z использовать концевые меры длины. Необходимо использовать не менее четырех мер длины от 0,5 до 135 мм. Длину мер определяют при помощи контактного датчика сканера.
-
11.2.2 Концевую меру (блок концевых мер) помещают на стол сканера, используя теплоизолирующие перчатки.
-
11.2.3 Измерение каждой меры производят в положениях: вдоль осей X, Y, Z.
-
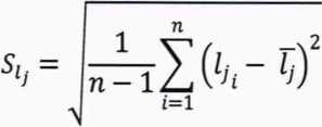
11.2.4 Выполнить не менее 5 измерений длины меры и вычислить среднее арифметическое значение результатов измерений и среднее квадратическое отклонение по формулам (9) и (10) соответственно
i=i
-

где lj - среднее арифметическое значение измеренной длины j-той меры, мм;
Ij. - i-oe измеренное значение длиныj-той меры, мм;
S - оценка среднего квадратического отклонения результата измерений, мм; п - число измерений, п >5.
-
11.2.5 Полученные значения среднего квадратического отклонения случайной составляющей погрешности измерений длины по осям X, Y, Z должны соответствовать приведенным в таблице 5.
Таблица 5 - Метрологические характеристики сканеров
|
Наименование характеристики |
Значение |
|
Диапазон измерений магнитной индукции постоянного магнитного поля, Тл |
от 0,01 до 2,0 |
|
Пределы допускаемой относительной погрешности измерений магнитной индукции постоянного магнитного поля, %
|
±2,0 ±0,5 |
|
Диапазон измерений длины по осям X, Y, Z, мм |
от 0 до 135 |
|
Предел допускаемого среднего квадратическое отклонения случайной составляющей погрешности измерений длины по осям X, Y, Z, мкм |
30 |
-
12.1 Результаты поверки оформляются протоколом произвольной формы.
-
12.2 При положительных результатах поверки сканер признают пригодным к применению и оформляют результаты поверки в соответствии с Приказом Минпромторга России от 31 июля 2020 г. № 2510 или в соответствии с порядком, действующим на момент проведения поверки или действующими на момент проведения поверки нормативными правовыми актами в области обеспечения единства измерений. Нанесение знака поверки на средство измерений не предусмотрено.
-
12.3 При отрицательных результатах поверки сканер признают непригодным к применению в сфере государственного регулирования обеспечения единства измерений и оформляют результаты в соответствии с Приказом Минпромторга России от 31 июля 2020 г. № 2510 или действующими на момент проведения поверки нормативными правовыми актами в области обеспечения единства измерений.
-
13.4 Сведения о результатах и объеме проведенной поверки передают в Федеральный информационный фонд по обеспечению единства измерений в соответствии с Приказом Минпромторга России от 28.08.2020 г. № 2906 «Об утверждении порядка создания и ведения Федерального информационного фонда по обеспечению единства измерений, передачи сведений в него и внесения изменений в данные сведения, предоставления содержащихся в нем документов и сведений».
Разработчики:
И.о. зав. лабораторией 261
И.С. Цай
Т.П. Маслова
Е.А. Волегова
Старший научный сотрудник лаб. 261
Младший научный сотрудник лаб.261
Страница 10 из 10
