Методика поверки «ГСОЕИ. Диафрагмы Rosemount 1595, Rosemount 1195, Rosemount 405» (МИ 3445-2014)
ФЕДЕРАЛЬНОЕ АГЕНТСТВО
ПО ТЕХНИЧЕСКОМУ РЕГУЛИРОВАНИЮ И МЕТРОЛОГИИ
ФЕДЕРАЛЬНОЕ ГОСУДАРСТВЕННОЕ УНИТАРНОЕ ПРЕДПРИЯТИЕ «ВСЕРОССИЙСКИЙ НАУЧНО-ИССЛЕДОВАТЕЛЬСКИЙ ИНСТИТУТ РАСХОДОМЕТРИИ» (ФГУП «ВНИИР») ГОСУДАРСТВЕННЫЙ НАУЧНЫЙ МЕТРОЛОГИЧЕСКИЙ ЦЕНТР

директора
«ВНИИР»
.А. Фафурин
2014 г.
РЕКОМЕНДАЦИЯ
Государственная система обеспечения единства измерений
Диафрагмы «Rosemount 1595», «Rosemount 1195», «Rosemount 405»
МЕТОДИКА КОНТРОЛЯ
миг. Казань, 2014
|
РАЗРАБОТАНА |
Обществом с ограниченной ответственностью «Метрологический центр СТП» (ООО «Метрологический центр СТП»), г. Казань |
|
ИСПОЛНИТЕЛИ |
Ганиев Р.И., к.т.н. |
|
РАЗРАБОТАНА |
Закрытое акционерное общество «Промышленная группа «Метран» (ЗАО «ПГ «Метран»), г. Челябинск |
|
ИСПОЛНИТЕЛИ |
Гизатуллин Д. Б. |
ЗАРЕГИСТРИРОВАНА ФГУП «ВНИИМС» « 23 » 10_____2014 г.
ВВЕДЕНА ВПЕРВЫЕНастоящая инструкция не может быть полностью или частично воспроизведена, тиражирована и (или) распространена без разрешения ООО «Метрологический центр СТП» и ЗАО «ПГ «Метран».
СОДЕРЖАНИЕУТВЕРЖДЕНА ФГУП «ВНИИР»
« 29 » 09________2014 г.
Настоящая методика контроля распространяется на сужающие устройства -диафрагмы «Rosemount 1595», «Rosemount 1195», «Rosemount 405С» и «Rosemount 405Р» (далее - диафрагмы) фирмы Emerson Process Management и устанавливает методику периодического контроля. Настоящая методика не распространяется на диафрагмы входящие в состав расходомеров утвержденного типа (например, Rosemount 3051SFC и ДР-)-
Диафрагма - тонкий диск с одним («Rosemount 1195» и «Rosemount 405Р») или четырьмя («Rosemount 1595» и «Rosemount 405С») сквозными отверстиями, устанавливаемый в измерительный трубопровод для создания перепада давления среды путем уменьшения площади сечения трубопровода (сужения потока).
Рекомендуемый интервал между контролями - 1 год.
Корректировка интервалов между контролями проводится метрологической службой или другим уполномоченным подразделением юридического лица на основании анализа и обработки результатов периодических контролей.
1 ОПЕРАЦИИ КОНТРОЛЯПри проведении контроля диафрагм должны быть выполнены операции, указанные в таблице 1.1.
Таблица 1.1 - Операции контроля
|
Наименование операции |
Номер пункта |
|
Проверка технической документации |
6.1 |
|
Внешний осмотр |
6.2 |
|
Определение геометрических характеристик: | |
|
- определение внутреннего диаметра и цилиндричности отверстия |
6 3 1 |
|
диафрагмы; | |
|
- определение толщины диафрагмы; |
6.3.2 |
|
- определение параллельности торцов; |
6.3.3 |
|
- определение угла наклона выходного конуса отверстия; |
6.3.4 |
|
- определение неплоскостности торцевых поверхностей; |
6.3.5 |
|
- определение шероховатости поверхностей входного и выходного |
6 3 6 |
|
торцов и отверстия диафрагмы; | |
|
- определение внутреннего диаметра и цилиндричности кольцевой |
6 3 7 |
|
секции отборов | |
|
Оформление результатов контроля |
7 |
Примечание - только для диафрагм 405Р и 405С.
2 СРЕДСТВА КОНТРОЛЯ-
2.1 При проведении контроля диафрагм применяют следующие средства измерений (далее - СИ):
-
- термогигрометр ИВА-6А-П-Д, диапазон измерений относительной влажности от О до 98 %, пределы допускаемой основной абсолютной погрешности ±3 %; диапазон измерений температуры от минус 20 до плюс 60 °C, пределы допускаемой абсолютной погрешности ±0,3 °C; диапазон измерений атмосферного давления от 70 до 110 кПа, пределы допускаемой абсолютной погрешности ±0,25 кПа.
-
- оптические и поверочные линейки и плиты, щупы;
-
- образцы шероховатости поверхности, контактные профилографы-профилометры, растровый измерительный микроскоп.
-
2.2 Допускается использование других СИ по своим характеристикам не уступающим, указанным в п.2.1.
-
2.3 Линейно-угловые параметры диафрагм измеряют как контактными, так и бесконтактными методами. При этом погрешность СИ не должны превышать 1/3 допуска на измеряемый параметр.
-
2.4 Все применяемые СИ должны иметь действующие свидетельства о поверке.
При проведении контроля должны соблюдаться следующие требования:
-
- обеспечивающие безопасность труда, производственную санитарию и охрану окружающей среды;
-
- предусмотренные эксплуатационной документацией применяемых средств измерений;
-
- ко всем используемым СИ должен быть обеспечен свободный доступ для заземления, настройки и измерений;
-
- корпуса применяемых СИ должны быть заземлены в соответствии с их эксплуатационной документацией;
-
- работы по соединению вспомогательных устройств должны выполняться до подключения к сети питания;
-
- монтаж и демонтаж диафрагм должен быть выполнен в соответствии с руководством по эксплуатации.
К работе по контролю диафрагм должны допускаться лица:
-
- достигшие 18-летнего возраста;
-
- прошедшие инструктаж по технике безопасности в установленном порядке;
-
- изучившие эксплуатационную документацию на диафрагмы и СИ.
-
4.1 При проведении контроля должны соблюдаться следующие условия:
-
- температура окружающего воздуха (20±5) °C;
-
- относительная влажность от 30 до 80 %;
-
- атмосферное давление от 84 до 106 кПа;
-
- изменение температуры окружающей среды за время контроля не более ±2 °C.
Примечание - При температуре окружающего воздуха, отличной от (20±5) °C, результаты измерений корректируют на разность температур, по п.6.3.1.3 и 6.3.7.2.
-
4.2 Температура окружающего воздуха, относительная влажность и атмосферное давление должны соответствовать требованиям технической документации на применяемые СИ.
-
4.3 Вибрация, тряска, удары, наклоны, электрические и магнитные поля, кроме Земного, влияющие на работу СИ, должны отсутствовать.
-
4.4 Параметры электропитания СИ должны соответствовать условиям применения, указанным в эксплуатационной документации СИ.
Перед проведением контроля диафрагм выполняют следующие подготовительные операции:
-
- диафрагму демонтируют с измерительного трубопровода, очищают от грязи, накипи и других отложений, в необходимых случаях промывают нейтральным растворителем и/или продувают сжатым воздухом;
-
- СИ устанавливают в рабочее положение с соблюдением указаний эксплуатационной документации;
-СИ и диафрагму выдерживают при температуре, указанной в п. 4.1, не менее 2 часов.
6 ПРОВЕДЕНИЕ КОНТРОЛЯ 6.1 Проверка технической документации-
6.1.1 Проверяют наличие следующей технической документации на диафрагму:
-
- эксплуатационной документации;
-
- паспорта;
-
- методики контроля.
-
6.1.2 Результаты проверки считают положительными при наличии технической документации по п. 6.1.1.
-
6.2.1 Результаты проверки считают положительными, если:
-
- нанесенная маркировка на диафрагме соответствует данным паспорта;
-
- комплектность и внешний вид диафрагмы соответствует требованиям эксплуатационной документации;
-
- на входной кромке, в проточной части и на торцевой входной поверхности диафрагмы отсутствуют вмятины, забоины, раковины, коррозия и другие механические повреждения;
-
- отсутствует блокировка отверстий и щелей для отбора давления;
-
- при 10 кратном оптическом увеличении от входной кромки не отражается свет;
-
- маркировочные надписи (знаки) на входном торце диафрагмы находятся вне пределов круга диаметром, равным внутреннему диаметру измерительного трубопровода.
-
6.3.1 Определение внутреннего диаметра и цилиндричности отверстия диафрагмы.
-
6.3.1.1 В качестве значения внутреннего диаметра отверстия диафрагмы принимают среднее арифметическое значение результатов измерений диаметра не менее чем в шести направлениях, расположенных под приблизительно равными (визуально контролируемыми) углами друг к другу.
-
6.3.1.2 Для диафрагм «Rosemount 1595» и «Rosemount 405С» измерения внутренних диаметров отверстий по п. 6.3.1.1 проводят для каждого отверстия.
-
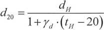
6.3.1.3 В случае не выполнения условия п. 4.1 по температуре окружающего воздуха, значения диаметра отверстия(-ий) диафрагмы d20 корректируют по формуле

-
(1)
где dn - значение внутреннего диаметра отверстия(-ий) диафрагмы при температуре окружающего воздуха, мм;
- значение температурного коэффициента линейного расширения материала диафрагмы, рассчитывают по приложению А;
t - значение температуры окружающего воздуха, при которой проведены измерения диаметра отверстия, °C.
-
6.3.1.4 Рассчитывают отклонение диаметра отверстия(-ий) по формуле

(2)
где d20 - значение диаметра отверстия(-ий) диафрагмы при 20 °C, мм;
_ номинальное значение диаметра отверстия(-ий) диафрагмы, определяют по приложению Б (для диафрагм 1195 по данным завода-изготовителя).
-
6.3.1.5 Результаты контроля диаметра отверстия диафрагмы считают положительными, если отклонение по п.6.3.1.4 Л не превышает допускаемых значений указанных в таблице 1.
Таблица 1. Значения допускаемых отклонений внутреннего диаметра отверстия диафрагмы
|
Модель диафрагмы |
Номинальный внутренний диаметр измерительного трубопровода, мм |
Допускаемое отклонение мм |
|
1595 |
от 50 до 350 |
±0,051 |
|
от 350 до 510 |
± 0,076 | |
|
более 510 |
±0,102 | |
|
1195 |
12,5 (0,5 дюйма) |
± 0,003 при d2o менее 1,6764 мм ± 0,005 при d2o более или равно 1,6764 мм |
|
25,4 (1 дюйм) |
± 0,005 при d2o менее 8,763 мм ±0,010 при d2o более или равно 8,763 мм | |
|
38,1 (1,5 дюйма) |
± 0,005 при d2o менее 7,493 мм ± 0,010 при d2o более или равно 7,493 мм | |
|
405Р |
12,5 (0,5 дюйма) |
±0,025/-0,00 |
|
более 12,5 (0,5 дюйма) |
±0,051 /-0,00 | |
|
405С |
для любых значений |
±0,051 |
-
6.3.1.6 Результат контроля цилиндричности отверстия диафрагмы считают положительным, если результат измерений диаметра в любом из направлений по п.6.3.1.1 отличается от среднего значения диаметра не более чем на ±0,05 %.
-
6.3.2 Определение толщины диафрагмы.
-
6.3.2.1 Толщину диафрагмы определяют как среднее арифметическое значений результатов измерений толщины в четырех равноудаленных друг от друга точках на окружности радиусом 0,75D и на краях отверстия диафрагмы в местах перехода конической части в торцевую поверхность (D - внутренний диаметр измерительного трубопровода или внутренний диаметр кольцевой секции отборов перед диафрагмой).
-
6.3.2.2 Результат контроля считают положительным, если толщина диафрагмы соответствует номинальному значению (Лд"а,/) с учетом допуска (ЛЕД'0'”). Номинальное значение толщины диафрагмы и допуска приведены в приложении В.
-
-
6.3.3 Определение параллельности торцов.
-
6.3.3.1 Результат контроля считают положительным, если разность между значениями толщины диафрагмы, по п.6.3.2, измеренными в любой точке диска диафрагмы, не превышает 0,001D при D > 200 мм и не превышает 0,2 мм при D < 200 мм.
-
-
6.3.4 Определение угла наклона выходного конуса отверстия.
-
6.3.4.1 Угол наклона образующей выходного конуса отверстия диафрагмы определяют по результатам однократного измерения.
-
6.3.4.2 Результат контроля считают положительным, если угол наклона образующей выходного конуса отверстия диафрагмы находится в пределах от 30° до 60°.
-
-
6.3.5 Определение неплоскостности торцевых поверхностей.
-
6.3.5.1 Неплоскостность (волнистость) торцевых поверхностей диафрагмы характеризуется высотой волны. Неплоскостность торцевых поверхностей диафрагмы определяют с помощью оптических линеек методом световой щели или поверочных линеек и плит, методом “на краску”, а также по значению линейных отклонений зазоров, измеряемых щупами. Для определения неплоскостности диафрагму кладут на стол и ищут положение поверочной линейки на диафрагме, когда будет видна на просвет наибольшая неплоскостность. Щупами определяют величину неплоскостности. Допускается применение индикатора часового типа. Схема измерения неплоскостности представлена на рисунке 1.
-
П11 н |1' [П1',|1>ТТП1ТПТП,ТП,|,Т,Г
Dh~ наружный диаметр диска диафрагмы; Нд - максимальное отклонение поверхности входного торца от плоскостности; L - длина линейки; Ьд - длина проекции на горизонтальную плоскость линии, соединяющей точку касания линейки поверхности диафрагмы и край отверстия диафрагмы Рисунок 1. Схема измерения неплоскостности диафрагмы
-
6.3.5.2 Для диафрагм 1595 и 1195 выбирают L>D. Для диафрагм 405, L выбирают исходя из условия
(£»-4£д)>Л >0,7D. (3)
где Ед - номинальная толщина диафрагмы.
-
6.3.5.3 Результат контроля считают положительным, если максимальный зазор между диафрагмой и поверочной линейкой длиной L, наложенной вдоль любого диаметра диафрагмы, не превышает 0,005 •(£ -<7)/2 или, если выполняется условие Нд < 0,005 .
-
6.3.5.4 Для диафрагм 405Р типоразмером менее 50 мм (2 дюйма) результат контроля считают положительным при отсутствии видимых повреждений.
-
6.3.6 Определение шероховатости поверхностей входного и выходного торцов и отверстия диафрагмы.
-
6.3.6.1 Шероховатость поверхностей входного и выходного торцов и отверстия диафрагмы определяют визуально сравнением с аттестованными образцами или со стандартными образцами шероховатости поверхности, или с помощью СИ, указанных в п.2.
-
6.3.6.2 Результат контроля считают положительным, если шероховатость Ra поверхности входного торца диафрагмы не более 1,27 мкм, а выходного торца не более 0,01 мм. Если диафрагма предназначена для измерений расхода сред текущих в прямом и обратном направлениях, то оба торца диафрагмы должны иметь шероховатость Ra не более 1,27 мкм.
-
6.3.6.3 Результат контроля считаются положительным, если шероховатость Ra внутренней поверхности отверстия диафрагмы не более 1,25 мкм, при диаметре данного
-
отверстия d2o менее 125 мм и не более 1О'? (fao при диаметре данного отверстия более
125 мм.
-
6.3.7 Определение внутреннего диаметра и цилиндричности кольцевой секции
отборов.
-
6.3.7.1 В качестве значения внутреннего диаметра кольцевой секции отборов Мю20 принимают среднее арифметическое значение результатов измерений диаметра с входной по потоку стороны диафрагмы не менее чем в четырех направлениях, расположенных под приблизительно равными (визуально контролируемыми) углами друг к другу.
-
6.3.7.2 В случае не выполнения условия п. 4.1 по температуре окружающего воздуха, значения диаметра кольцевой секции отборов Мю20 корректируют по формуле

(4)
где Мюи - значение внутреннего диаметра кольцевой секции отборов при температуре окружающего воздуха, мм;
yd - значение температурного коэффициента линейного расширения материала кольцевой секции отборов, рассчитывают по приложению А;
tu - значение температуры окружающего воздуха, при которой проведены измерения диаметра кольцевой секции отборов, °C.
-
6.3.7.3 Отклонение диаметра кольцевой секции отборов рассчитывают по формуле
л-м -Мнол' (5)
где MID2Q ~ значение внутреннего диаметра кольцевой секции отборов при 20 °C, мм;
4/^20 _ номинальное значение внутреннего диаметра кольцевой секции отборов,
определяют по приложению Б.
-
6.3.7.4 Результаты контроля считают положительными, если отклонение по п. 6.3.7.3 не превышает ±0,25 мм.
-
6.3.7.5 Результат контроля цилиндричности кольцевой секции отборов считают положительным, если результат измерений диаметра кольцевой секции отборов в любом из направлений по и.6.3.7.1 отличается от среднего значения диаметра не более чем на ±0,3 %.
-
7.1 Результаты контроля заносят в протокол. Форма протокола приведена в приложении Г.
-
7.2 При положительных результатах контроля ставится соответствующая отметка в эксплуатационной документации на диафрагму.
-
7.2.1 К эксплуатационной документации прилагают протокол с результатами контроля диафрагмы.
-
-
7.3 При отрицательных результатах контроля диафрагму к эксплуатации не допускают.
Температурный коэффициент линейного расширения
Значения температурного коэффициента линейного расширения материала диафрагмы и кольцевой секции отборов рассчитывают по формуле
/^—10 ' CIq + 1 0 • tpj • 67] +10 • t и • 012 J
где aQ,civci2 - постоянные коэффициенты, определяемые по таблице А. 1
Таблица А.1 - Значения постоянных коэффициентов aQ,ava2 и границы их применимости
|
Марка материала |
6/0 |
ц |
Диапазон температур, °C | |
|
Нержавеющая сталь 316 (S31600/ CF8M) |
15,2 |
7,0 |
-1,1 |
от минус 184 до плюс 871 |
|
Нержавеющая сталь 316 (S31600/ CF8M) |
15,6 |
7,1 |
-3,9 |
от минус 73 до плюс 538 |
|
Hastelloy С-276 |
11,0 |
4,3 |
1,2 |
от плюс 21 до плюс 927 |
|
Hastelloy С-276 |
10,5 |
8,0 |
-4,2 |
от плюс 21 до плюс 649 |
|
Monel 400 |
13,0 |
9,1 |
-4,0 |
от минус 184 до плюс 1093 |
|
Monel 400 |
13,1 |
12,7 |
-12,5 |
от минус 73 до плюс 538 |
|
Нержавеющая сталь 304 |
15,1 |
5,1 |
2,1 |
от минус 73 до плюс 427 |
|
Нержавеющая сталь 304 |
14,8 |
10,2 |
-8,0 |
от минус 268 до плюс 538 |
И из 17
Номинальный диаметр отверстия и внутреннего диаметра кольцевой секции диафрагм 405
|
Тип диафрагмы |
405Р |
405С |
405 | ||||
|
₽■’ |
0,4 |
0,5 |
0,65 |
0,4 |
0,5 |
0,65 |
Л/"ол/ ™,мм |
|
Типоразмер трубопровода, мм (дюйм) |
Номинальный диаметр отверстия диафрагмы d'^', мм | ||||||
|
12,7 (%) |
6,3246 |
7,899 |
10,2616 |
- |
- |
- |
15,7988 |
|
25,4(1) |
10,6680 |
13,335 |
17,3228 |
- |
- |
- |
26,6446 |
|
38,1 (1 /2) |
16,3576 |
20,447 |
26,5938 |
- |
- |
- |
40,8940 |
|
50,8 (2) |
21,0058 |
26,264 |
34,1376 |
10,4902 |
13,13 |
15,748*0 |
52,5018 |
|
76,2 (3) |
31,1658 |
38,963 |
50,6476 |
15,5956 |
19,48 |
25,3238 |
77,9272 |
|
101,6 (4) |
40,8940 |
51,130 |
66,4718 |
20,4470 |
25,58 |
33,2486 |
102,2604 |
|
127,0 (5) |
51,2826 |
- |
83,3374 |
25,6286 |
- |
41,6560 |
128,1938 |
|
152,4 (6) |
61,6204 |
77,038 |
100,1268 |
30,8102 |
38,52 |
50,0634 |
154,0510 |
|
203,2 (8) |
81,0768 |
101,371 |
131,7752 |
40,5384 |
50,68 |
65,8876 |
202,7174 |
|
254,0 (10) |
101,8032 |
- |
165,4302 |
50,9016 |
63,62 |
82,7278 |
254,5080 |
|
304,8 (12) |
121,9200 |
- |
198,1200 |
60,9600 |
76,20 |
99,0600 |
304,8000 |
Примечание Р -относительный диаметр отверстия диафрагмы;
- для диафрагм 405С с типоразмером трубопровода 50,8 мм (2 дюйма), р = 0,6.
Номинальный диаметр отверстия диафрагм 1595
|
Тип диафрагмы |
1595 | |||
|
₽•’ |
0,2 |
0,4 |
0,5 |
0,65 |
|
Типоразмер трубопровода, мм (дюйм) |
Номинальный диаметр отверстия диафрагмы, d'^', мм | |||
|
50,8 (2) |
5,2578 |
10,4902 |
13,13 |
15,748 } |
|
76,2 (3) |
7,7978 |
15,5956 |
19,48 |
25,3238 |
|
101,6 (4) |
10,2362 |
20,4470 |
25,58 |
33,2232 |
|
152,4 (6) |
15,4178 |
30,8102 |
38,52 |
50,0634 |
|
203,2 (8) |
20,2692 |
40,5384 |
50,68 |
65,8876 |
|
254,0 (10) |
25,4508 |
50,9016 |
63,62 |
82,7278 |
|
304,8 (12) |
30,4800 |
60,9600 |
76,20 |
99,0600 |
|
355,6 (14) |
33,3248 |
66,6750 |
83,34 |
108,3310 |
|
406,4(16) |
38,1000 |
76,2000 |
95,25 |
123,8250 |
|
457,2 (18) |
42,8752 |
85,7250 |
107,16 |
139,3190 |
|
508,0 (20) |
47,7774 |
95,5548 |
119,46 |
155,2956 |
|
609,6 (24) |
57,4548 |
114,9350 |
143,66 |
186,7662 |
Примечание 0 - относительный диаметр отверстия диафрагмы;
**) - для диафрагм 1 595 с типоразмером трубопровода 50,8 мм (2 дюйма), 0 = 0,6.
Номинальная толщина диафрагм
|
Типоразмер трубопровода, мм (дюйм) |
Тип диафрагмы | |||
|
1195 |
405Р/405С |
1595 | ||
|
ANSI |
DIN | |||
|
Толщина диафрагмы (Еда") и допуск (ДЕдно"), мм | ||||
|
12,7 (0,5) |
4,115 ±0,25 |
q и гуг + 0,00 э,1/э _0дз |
- |
- |
|
25,4(1) |
4,115 ±0,25 |
□ 1 73 +0'00 э'х'3 -одз |
- |
- |
|
38,1(1,5) |
4,115 ±0,25 |
о -I 7с + 0,00 э,1/э -одз |
- |
- |
|
50,8 (2) |
- |
□ i 7С + 0,0 0 эД/Э -одз |
э i 7C + 0,38 эД/э _Од5 |
6,350 ±0,76 |
|
76,2 (3) |
- |
э 'i 7С + 0,0 0 эД/Э _одз |
э i 7^ +0,38 6Д/Э _0Д5 |
6,350 ±0,76 |
|
101,6 (4) |
- |
э 1 0,00 аД / 3 _одз |
о л 7Г +0,38 ЭД / Э -0Д5 |
6,350 ±0,76 |
|
127 (5) |
- |
6>350 -0ДЗ |
- |
- |
|
152,4 (6) |
- |
6,350 |
6,350 ±0,76 |
9,525 ±0,76 |
|
203,2 (8) |
- |
6,3501°:;° |
6,350 ±0,76 |
9,525 ±0,76 |
|
254,0 (10) |
- |
6,350 |
6,350 ±0,76 |
9,525 ±0,76 |
|
304,8 (12) |
- |
6,350 _0jl3 |
6,350 ±0,76 |
9,525 ±0,76 |
|
355,6 (14) |
- |
- |
9,525 ±0,76 |
9,525 ±0,76 |
|
406,4(16) |
- |
- |
9,525 ±0,76 |
9,525 ±0,76 |
|
457,2 (18) |
- |
- |
9,525 ±0,76 |
9,525 ±0,76 |
|
508,0 (20) |
- |
- |
9,525 ±0,76 |
9,525 ±0,76 |
|
609,6 (24) |
- |
- |
12,700 ±0,76 |
12,700 ±0,76 |
Форма протокола контроля сужающих устройств
ПРОТОКОЛ контроля диафрагмы«______»_________________20____г.
Модель и тип:_____________________Зав.№____________________
Относительный диаметр (0)_____________
Материал:_________________________Внутренний диаметр трубопровода_________мм
Владелец:____________________________________________________________________________
Применяемые для контроля средства измерений:
Наименование, модель, зав. №, пределы измерений,
метрологические характеристики, срок поверки
Условия проведения контроля:
температура окружающего воздуха ______°C
относительная влажность ______%
атмосферное давление ______кПа
1. Проверка технической документацииНа контроль представлена следующая техническая документация:
Результат проверки: положительный / отрицательный
2. Внешний осмотркомплектность и нанесенная маркировка соответствует / не соответствует
внешний вид соответствует / не соответствует
острота входной кромки соответствует / не соответствует
Результат проверки: положительный / отрицательный
3. Определение геометрических характеристик
3.1 Определение внутреннего диаметра и цилиндричности отверстия диафрагмы
|
II |
мм |
II пт |
мм |
|
w/z/2 |
мм |
dH5 |
мм |
|
II СП |
мм |
&И6 ~ |
мм |
Среднее значение dM =_______мм.
|
dH, мм |
t °C |
% |
6^2 q 9 ММ |
d"0'1, мм |
А, мм |
Ддоп^> ММ |
Отклонение от цилиндричности 8^ = (с/Я;. - Ди }/dM -100%.
|
% |
^//4 |
% | |
|
У,,= |
% |
= |
% |
|
= |
% |
У,» = |
% |
Допустимое отклонение ±0,05%.
Результат проверки: положительный / отрицательный
3.2 Определение толщины диафрагмы
|
F = |
ММ |
II |
ММ |
F = |
ММ |
II о |
ММ |
|
Е,п = |
мм |
F = |
ММ |
F = |
ММ |
F = |
ММ |
Среднее значение Ед =_______мм.
Номинальное значение Ед"“=_____ __ мм, допуск ДЕд =_____мм.
Результат проверки: положительный / отрицательный
-
3.3 Определение параллельности торцов 3Е - (ЕДтах - ЕДпип}
Зг = мм.
Допустимое отклонение =________мм
Результат проверки: положительный / отрицательный
3.4 Определение угла наклона выходного конусаа =___________°.
Допускаемые значения а: от 30° до 60°. Результат проверки: положительный / отрицательный
3.5 Определение неплоскостности торцевых поверхностей Нд =________мм.Допускаемое значение_________мм.
Результат проверки: положительный / отрицательный
3.6 Определение шероховатости поверхностей входного и выходного торцов и отверстия диафрагмыRaex = _____________мкм.
Raebix = ______________мкм (мм).
Допускаемые значения:
Rad™ =__________мкм.
^#2" =__________мкм (мм).
п „доп _
Ra,-_________МКМ-
Результат проверки: положительный / отрицательный
3.7 Определение внутреннего диаметра и цилиндричности кольцевой секции отборов (только для диафрагм 405Р и 405С).
|
ММ |
Мцжз |
ММ | |
|
Мц)И2 ~ |
ММ |
ММ |
Среднее значение Мюи =______мм.
|
Мюи, мм |
t °C |
Д/ |
Мюиго •> ММ |
M'Z, мм |
мм |
Лдогъ ММ |
Отклонение от цилиндричности - Мюи )/Мюи -100%.
|
£д/ = MlDH\ |
% |
= Ю1П |
% |
|
II |
% |
1V1IDIIA |
% |
Допустимое отклонение ±0,3%.
Результат проверки: положительный / отрицательный
Вывод: диафрагма________________к эксплуатации.допускается / не допускается
Контролер_______________________/__________________
Пиз 17
