Методика поверки «ГСОЕИ. АНАЛИЗАТОРЫ РЕНТГЕНОСПЕКТРАЛЬНЫЕ ПОТОЧНЫЕ ЦИФРОВЫЕ АРП-2Ц» (РТ-МП-627-448-2021 )

ФЕДЕРАЛЬНОЕ АГЕНТСТВО ПО ТЕХНИЧЕСКОМУ РЕГУЛИРОВАНИЮ И МЕТРОЛОГИИ
ФЕДЕРАЛЬНОЕ БЮДЖЕТНОЕ УЧРЕЖДЕНИЕ «ГОСУДАРСТВЕННЫЙ РЕГИОНАЛЬНЫЙ ЦЕНТР СТАНДАРТИЗАЦИИ, МЕТРОЛОГИИ И ИСПЫТАНИЙ В Г. МОСКВЕ И МОСКОВСКОЙ ОБЛАСТИ» (ФБУ «РОСТЕСТ-МОСКВА»)
СОГЛАСОВАНО
Первый заместитель генерального директора
''эсква»
Е.В. Морин
«23» сентября 2021 г.
Государственная система обеспечения единства измерений
АНАЛИЗАТОРЫ РЕНТГЕНОСПЕКТРАЛЬНЫЕ ПОТОЧНЫЕ ЦИФРОВЫЕ АРП-2Ц
Методика поверки
РТ-МП-627-448-2021 г.Москва 2021 г.
1 Общие положенияНастоящая методика распространяется на анализаторы рентгеноспектральные поточные цифровые АРП-2Ц (далее - анализаторы), изготовленные обществом с ограниченной ответственностью «Техноаналитприбор» (ООО «Техноаналитприбор»), г. Москва, и устанавливает методы и средства его первичной и периодической поверки.
При проведении поверки должна обеспечиваться прослеживаемость поверяемого средства измерений к ГЭТ 196-2015 Государственному первичному эталону единиц массовой (молярной) доли и массовой (молярной) концентрации компонентов в жидких и твердых веществах и материалах на основе спектральных методов.
В данной методике применен метод прямых измерений для передачи размера единицы.
2 Перечень операций поверки средства измерений2.1 При проведении поверки выполняют операции, указанные в таблице 1. Таблица 1 - Операции поверки
|
Наименование операции |
№ пункта документ а по поверке |
Обязательность проведения операции при поверке | |
|
первичной |
периодической | ||
|
Внешний осмотр средства измерений |
6.1 |
да |
да |
|
Подготовка к поверке и опробование средства измерений |
6.2 |
да |
да |
|
Проверка программного обеспечения средства измерений |
6.3 |
да |
Да |
|
Определение метрологических характеристик средства измерений |
6.4 |
да |
Да |
|
Определение относительной погрешности и относительного среднеквадратического отклонения (ОСКО) при измерении массовой доли элементов |
6.4.1 |
да |
Да |
|
Определение порога обнаружения |
6.4.2 |
да |
Да |
|
Подтверждение соответствия средства измерений метрологическим требованиям |
7 |
да |
Да |
-
2.2 По заявлению владельца анализатора допускается проведение поверки на меньшем числе поддиапазонов измерений с отметкой об объеме проведенной поверки в свидетельстве о поверке.
-
3.1 Поверка анализатора должна проводиться при следующих внешних условиях:
-
- температура окружающего воздуха, °C 20±5
-
- относительная влажность воздуха, % от 20 до 80
-
3.2 Не допускается попадание на анализатор прямых солнечных лучей.
-
4.1 К поверке допускаются лица, имеющие опыт поверки оптико-физических средств измерений, изучившие руководство по эксплуатации на поверяемые анализаторы.
-
5.1 При проведении поверки анализатора применяются средства поверки, указанные в таблице 2.
Таблица 2 - Перечень средств поверки
|
Номер пункта документа по поверке |
Наименование и тип (условное обозначение) основного или вспомогательного средства поверки; обозначение нормативного документа, регламентирующего технические требования, и (или) метрологические и основные технические характеристики средства поверки |
|
7 |
прибор комбинированный Testo-622 (регистрационный номер в Федеральном информационном фонде 44744-10), диапазон измерений относительной влажности воздуха от 10 до 98 %, предел допускаемой абсолютной погрешности измерений относительной влажности воздуха ±3 %, диапазон измерений температуры воздуха от -10 до 60 °C, пределы допускаемой абсолютной погрешности измерений температуры воздуха ±0,4 °C |
-
5.2 Допускается применение других средств поверки, обеспечивающих определение метрологических характеристик поверяемого анализатора с требуемой точностью.
-
6.1 При проведении поверки анализаторов должны соблюдаться требования безопасности согласно эксплуатационной документации, а также правила техники безопасности, принятые на предприятии, эксплуатирующем анализатор.
-
6.2 Для получения данных, необходимых для поверки, допускается участие операторов, обслуживающих анализаторы (под контролем поверителя).
-
7.1 Внешний осмотр средства измерений
При внешнем осмотре должно быть установлено:
отсутствие механических повреждений корпуса и соединительных проводов;
наличие маркировки (наименование или товарный знак завода-изготовителя, тип и заводской номер прибора).
-
7.2 Подготовка к поверке и опробование средства измерений
-
7.2.1 Подготовить образец ГСО. Зачистить поверхность анализируемых образцов сплавов (рекомендуется сухая шлифовка соответствующей шлифовальной бумагой) и протереть спиртом. Подготовку проб к анализу проводят непосредственно перед измерениями.
-
7.2.2 Включить анализатор в соответствии с Разделом 2.2 руководства по эксплуатации (РЭ). На экране монитора ПК отобразится наименование программного обеспечения и номер его версии, записать его.
-
7.2.3 Провести пробное измерение стандартного образца в соответствии с руководством по эксплуатации.
При опробовании должно быть установлено:
-
- работоспособность;
-
- правильность отработки аварийных сообщений при проведении измерений (при попытке проведения измерения без образца, прибор должен выдавать сообщение о невозможности проведения анализа без образца и выключить рентгеновское излучение).
Результат опробования считается положительным, если заданная программа измерения выполняется без сбоев.
-
7.3 Проверка программного обеспечения средства измерений
-
7.3.1 Использовать данные ПО, полученные в п. 7.2.2., результат считается положительным, если наименование программного обеспечения и номер версии соответствуют данным, приведенным в описании типа.
-
7.4 Определение метрологических характеристик средства измерений
-
7.4.1 Определение относительной погрешности и относительного среднеквадратического отклонения (ОСКО) при измерении массовой доли элементов
-
7.4.1.1 В соответствии с руководством по эксплуатации провести по 5 определений массовой доли (Ci) элементов в стандартных образцах (аттестованное значение массовой доли элементов находится в диапазоне измерений анализатора от 0,05 % до 75,0 %).
7.4.2 Определение порога обнаружения
-
7.4.2.1 Для определения порога обнаружения элементов провести измерения стандартного образца состава сплавов металлов, указанного в таблице 1, с содержанием элементов ниже 0,008 % массовой доли.
-
7.4.2.2 Провести 10 измерений интенсивности (имп/с) для каждого из выбранных элементов.
-
8.1 Расчет относительной погрешности и относительного среднеквадратического отклонения (ОСКО) при измерении массовой доли элементов
-
8.1.1 Рассчитать результат измерений С (% массовой доли), полученных в п. 7.4.1.1 каждого из определяемых элементов как среднее арифметическое из пяти измерений по формуле (1)
(1)
п
где п - число измерений, п = 5.
-
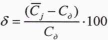
8.1.2 Рассчитать относительную погрешность измерений S (% массовой доли) каждого элемента по формуле (2)

(2)
где Са - аттестованное значение массовой доли элемента в стандартном образце, % массовой доли
-
8.1.3 Рассчитать среднеквадратическое отклонение случайной составляющей погрешности измерений (%) для каждого элемента по формуле (3)
8.2 Расчет порога обнаружения
-
8.2.1 Рассчитать среднее значение интенсивности по данным п. 7.4.2.2 для каждого элемента, с содержанием массовой доли ниже 0,008 %, по формуле (4)


где 1сред - среднее значение интенсивности для каждого элемента;
Ii - измеренные значения интенсивности для каждого элемента;
п - количество измерений (10)
8.2.2 Рассчитать СКО измерений S
S =

по формуле (5)
(5)
8.2.3. Для каждого элемента рассчитать порог обнаружения ПД (% масслоли) по формуле (6)
/7Д = ^хС_ , (6)
1 сред
где Спасп - значение содержания элемента, указанное в паспорте на стандартный образец, % массовой доли.
8.3. Результаты поверки считаются положительными, если относительная погрешность измерений массовой доли каждого элемента не превышают значений, указанных в таблице 3.
Таблица 3
|
Наименование характеристики |
Значение |
|
Пределы допускаемой относительной погрешности | |
|
измерений массовой доли элементов, %, | |
|
в поддиапазоне измерений: | |
|
- от 0,05 % до 0,2 % включ. |
±30,0 |
|
- св. 0,2 % до 1,0 % включ. |
± 15,0 |
|
- св. 1,0 % до 10,0 % включ. |
±10,0 |
|
- св. 10,0 % до 50,0 % включ. |
±8,0 |
|
- св. 50,0 % до 75,0 % включ. |
±4,0 |
|
Предел допускаемого ОСКО случайной составляющей | |
|
относительной погрешности измерений массовой доли | |
|
элементов, %, в поддиапазоне измерений: | |
|
- от 0,05 % до 0,2 % включ. |
10,0 |
|
- св. 0,2 % до 1,0 % включ. |
8,0 |
|
- св. 1,0 % до 10,0 % включ. |
5,0 |
|
- св. 10,0 % до 50,0 % включ. |
3,0 |
|
- св. 50,0 % до 75,0 % включ. |
1,0 |
|
Порог обнаружения химических элементов, %, не более |
0,01 |
Средства измерений, прошедшие поверку с положительным результатом, признаются годными и допускаются к применению.
Сведения о результатах поверки средств измерений передаются в Федеральный информационный фонд по обеспечению единства измерений.
При положительных результатах поверки по заявлению владельца средства измерений или лица, представившего его в поверку, выдается свидетельство о поверке средства измерений, оформленное в соответствии с действующими нормативно-правовыми документами. Знак поверки наносится на свидетельство о поверке.
При отрицательных результатах поверки по заявлению владельца средства измерений или лица, представившего его в поверку, выдается извещение о непригодности к применению средства измерений, оформленное в соответствии с действующими нормативно-правовыми документами.
Требования к оформлению протокола поверки не предъявляются.
Начальник лаборатории № 448 ФБУ «Ростест - Москва»
Инженер по метрологии II категории лаборатории №448
Дубинчик
М.С. Петрунин
