Методика поверки «ГСОЕИ. Система автоматизированная информационно-измерительная коммерческого учета электрической энергии ЕНЭС ПС 500 кВ Невинномысск» (МП 527-2021)


Государственная система обеспечения единства измерений
Система автоматизированная информационно-измерительная коммерческого учета электрической энергии ЕНЭС ПС 500 кВ Невинномысск
(ВЛ 330 кВ Невинномысск-Барсуки I, II цепь)
МЕТОДИКА ПОВЕРКИ
МП 527-2021

2021
|
ФБУ «Пензенский ЦСМ» |
АИИС КУЭ ЕНЭС ПС 500 кВ Невинномысск (ВЛ 330 кВ Невинномысск-Барсуки I, II цепь) |
Методика поверки |
Страница 2 из 9 |
Настоящая методика поверки распространяется на Систему автоматизированную информационно-измерительной коммерческого учета электрической энергии ЕНЭС ПС 500 кВ Невинномысск (ВЛ 330 кВ Невинномысск-Барсуки I, II цепь) (далее по тексту - АНИС КУЭ) и устанавливает порядок проведения первичной и периодической поверок АНИС КУЭ.
1 ОБЩИЕ ПОЛОЖЕНИЯ-
1.1 Поверке подлежит АНИС КУЭ в соответствии с перечнем измерительноинформационных комплексов (ИИК), приведенном в Паспорте-формуляре Э2021-1ПС-ОК-024-ФО.
-
1.2 Первичную поверку АНИС КУЭ проводят после утверждения типа АНИС КУЭ.
-
1.3 Периодическую поверку АНИС КУЭ выполняют в процессе эксплуатации через установленный интервал между поверками.
-
1.4 Периодичность поверки АНИС КУЭ - 4 года.

-
1.5 Внеочередную поверку АИИС КУЭ проводят после ремонта системы, замены ее измерительных компонентов на однотипные, аварий в энергосистеме, если эти события могли повлиять на метрологические характеристики ПК. Допускается проводить поверку только этих ИК.
-
1.6 Средства измерений, входящие в состав АИИС КУЭ, поверяют в соответствии с интервалом между поверками и нормативными документами, установленными при утверждении их типа. Если очередной срок поверки какого-либо измерительного компонента наступает до очередного срока поверки АИИС КУЭ, поверяется только этот измерительный компонент. При этом поверка АИИС КУЭ не проводится.
-
1.7 Допускается проведение поверки отдельных измерительных каналов из состава АИИС КУЭ в соответствии с заявлением ее владельца.
-
1.8 При проведении поверки должна быть обеспечена прослеживаемость поверяемой АИИС КУЭ к государственному первичному эталону ГЭТ 1-2018. Государственный первичный эталон единиц времени, частоты и национальной шкалы времени.

При проведении поверки выполняют операции, указанные в таблице 1. Таблица 1 - Операции поверки
|
Наименование операции |
Номер пункта методики поверки |
Обязательность проведения операции при | |
|
первичной поверке |
периодической поверке | ||
|
1. Внешний осмотр средства измерений |
7 |
Да |
Да |
|
2. Подготовка к поверке и опробование средства измерений |
8 |
Да |
Да |
|
3. Проверка программного обеспечения средства измерений |
9 |
Да |
Да |
|
4. Определение погрешности ИК при измерении электрической энергии |
10.1 |
Да |
Нет |
|
5. Определение погрешности смещения шкалы времени компонентов АИИС КУЭ, входящих в состав СОЕВ, относительно шкалы времени UTC (SU) |
10.2 |
Да |
Да |
Влияющие величины, определяющие условия поверки АИИС КУЭ, должны находиться в пределах, указанных в технической документации на АИИС КУЭ, на средства измерения, входящие в ее состав и средства поверки.
|
АИИС КУЭ ЕНЭС ПС 500 кВ Невинно- | |||
|
ФБУ «Пензенский ЦСМ» |
мысск (ВЛ 330 кВ Невинномысск-Барсуки 1, II цепь) |
Методика поверки |
Страница 3 из 9 |
К проведению поверки допускается персонал, соответствующий требованиям пунктов 44, 45 Приказа Министерства экономического развития РФ от 30 мая 2014 г. № 326 «Об утверждении критериев аккредитации, перечня документов, подтверждающих соответствие заявителя, аккредитованного лица критериям аккредитации, и перечня документов в области стандартизации, соблюдение требований которых заявителями, аккредитованными лицами обеспечивает их соответствие критериям аккредитации», изучивший настоящую методику поверки и эксплуатационную документацию АИИС КУЭ, а также прошедшие инструктаж по технике безопасности на рабочем месте и имеющие группу по электробезопасности не ниже III.
5 МЕТРОЛОГИЧЕСКИЕ И ТЕХНИЧЕСКИЕ ТРЕБОВАНИЯ К СРЕДСТВАМ ПОВЕРКИ

При проведении поверки применяют средства поверки (эталоны, средства измерений и вспомогательные технические средства), указанные в таблице 2.
3 СРЕДСТВА ПОВЕРКИ
Таблица 2 - Средства поверки и вспомогательные устройства
|
№ |
Номер пункта методики поверки |
Средства поверки |
Требуемые характеристики |
Рекомендуемый тип |
|
1 |
2 |
3 |
4 |
5 |
|
1 |
8.2 |
Термогигрометр |
Диапазон измерений:
Пределы допускаемой абсолютной погрешности: ± 0,3 °C; ±2 % |
ИВА-6 |
|
2 |
8.3 |
Вольтамперфазометр |
Диапазон измерений:
Пределы допускаемой относительной погрешности измерений напряжения: -от 15 до 300 В± 0,2 %;
Пределы допускаемой абсолютной погрешности измерений частоты ± 0,02 Гц. |
Мультиметр «Ресурс-ПЭ» - 2 шт. |
|
3 |
10.2 |
Приемник сигналов точного времени |
Пределы допускаемой абсолютной погрешности ± 0,1 с |
Радиочасы РЧ-011/2 |
|
4 |
8.3, 8.4, 8.6, 10.2 |
Устройство сопряжения оптическое для подключения счетчиков к компьютеру |
- |
УСО-2 |
|
ФБУ «Пензенский ЦСМ» |
АИИС КУЭ ЕНЭС ПС 500 кВ Невинномысск (ВЛ 330 кВ Невинномысск-Барсуки 1,11 цепь) |
Методика поверки |
Страница 4 из 9 |
Окончание таблицы 2
|
1 |
2 |
3 |
4 |
5 |
|
5 |
8.3, 8.4, 8.6, 10.2 |
Переносной компьютер типа «NoteBook» с установленным программным обеспечением для работы со счетчиками |
- |
- |
|
Примечания
| ||||
-
6.1 При проведении поверки должны быть соблюдены требования безопасности, установленные ГОСТ 12.2.007.0, ГОСТ 12.2.007.3, «Правилами технической эксплуатации электроустановок потребителей», «Правилами технической эксплуатации электрических станций и сетей РФ», «Правилами по охране труда при эксплуатации электроустановок», а также требования безопасности на средства поверки, поверяемые счетчики, изложенные в их руководствах по эксплуатации.
-
6.2 При применении эталонов, средств измерений, вспомогательных средств поверки и оборудования должны обеспечиваться требования безопасности согласно ГОСТ 12.2.003, ГОСТ 12.2.007.3, ГОСТ 12.2.007.7.
-
7.1 Проверяют целостность корпусов и отсутствие видимых повреждений средств измерений (измерительных компонентов).
-
7.2 Проверяют отсутствие следов коррозии и нагрева в местах подключения вторичных цепей и цепей питания.
-
7.3 Результат проверки считается положительным, если нет замечаний по пунктам 7.1, 7.2 или выявленные замечания устранены в процессе проведения внешнего осмотра.
В случае выявления несоответствий по пунктам 7.1, 7.2 поверку приостанавливают до устранения выявленных несоответствий. В случае невозможности устранения выявленных несоответствий АПИС КУЭ в части неисправных ИК бракуется.
8 ПОДГОТОВКА К ПОВЕРКЕ И ОПРОБОВАНИЕ СРЕДСТВА ИЗМЕРЕНИЙ-
8.1 Для проведения поверки представляют следующую документацию:
-
- описание типа АИИС КУЭ;
-
- паспорт-формуляр АИИС КУЭ;
-
- паспорта (формуляры) с отметкой о поверке и/или свидетельства о поверке средств измерений (измерительных компонентов), входящих в состав ИК, и/или ссылки на записи сведений о поверке средств измерений (измерительных компонентов), входящих в состав ИК, в Федеральном информационном фонде по обеспечению единства измерений;
-
- паспорта-протоколы на измерительные комплексы (при наличии);
-
- рабочие журналы АИИС КУЭ с данными по климатическим и иным условиям эксплуатации за интервал между поверками (только при периодической поверке);
-
- технические акты о внесенных в АИИС КУЭ изменениях (при наличии).
ФБУ «Пензенский ЦСМ»
АИИС КУЭ ЕНЭС ПС 500 кВ Невинномысск (ВЛ 330 кВ Невинномысск-Барсуки 1,11 цепь)
Методика поверки
Страница 5 из 9
-
8.2 Перед проведением поверки выполняют следующие подготовительные работы:
-
- проводят организационно-технические мероприятия по обеспечению безопасности поверочных работ в соответствии с действующими правилами и руководствами по эксплуатации применяемого оборудования;
-
- проводят организационно-технические мероприятия по доступу поверителей и эксплуатирующего персонала к местам установки измерительных компонентов (многофункциональных счетчиков электрической энергии, устройств сбора и обработки данных (УСПД), устройств синхронизации системного времени (УССВ)); по размещению эталонов, отключению в необходимых случаях проверяемых средств измерений от штатной схемы;
-
- средства поверки выдерживают в условиях и в течение времени, установленных в нормативных документах на средства поверки;
-
- все средства измерений, которые подлежат заземлению, должны быть надежно
заземлены, подсоединение зажимов защитного заземления к контуру заземления должно производиться ранее других соединений, а отсоединение - после всех отсоединений.
-
8.3 Проверяют соответствие измерительных компонентов АИИС КУЭ.


-
8.3.1 Проверяют правильность расположения и подключения средств измерений.
-
8.3.2 Проверяют соответствие типов, классов точности и заводских номеров фактически используемых средств измерений (измерительных компонентов), указанным в описании типа АИИС КУЭ, а также в технических актах о внесенных изменениях, в случае замены средств измерений (измерительных компонентов), входящих в состав ИК.
-
8.3.3 Проверяют наличие действующих результатов поверки на все средства измерений, входящие в состав АИИС КУЭ: счетчики электрической энергии, УСПД, УССВ. При обнаружении просроченных или отсутствующих результатов поверки средств измерений (измерительных компонентов), дальнейшие операции по поверке ИК, в который они входят, выполняют после поверки этих измерительных компонентов.
-
8.3.4 Результат проверки считается положительным, если нет замечаний по пунктам
-
-
8.3.1 -8.3.3.
В случае выявления несоответствий по пунктам 8.3.1 — 8.3.3 поверку приостанавливают до устранения выявленных несоответствий. В случае невозможности устранения выявленных несоответствий АИИС КУЭ в части неисправных ИК бракуется.
-
8.4 Проверяют счетчики электрической энергии.
-
8.4.1 Проверяют наличие и сохранность пломб на счетчике и испытательной коробке. Проверяют наличие документов энергосбытовых и/или электросетевых организаций, подтверждающих правильность подключения счетчика. При отсутствии таких документов или нарушении (отсутствии) пломб проверяют правильность подключения счетчиков (соответствие схем подключения - схемам, приведенным в паспорте на счетчик).
-
8.4.2 Проверяют работу всех сегментов индикаторов счетчиков, отсутствие кодов ошибок или предупреждений, проводят последовательную проверку визуализации параметров.
-
8.4.3 Проверяют работоспособность оптического порта счетчика с помощью переносного компьютера. Оптический преобразователь подключают к порту переносного компьютера. Опрашивают счетчик по установленному соединению. Опрос счетчика считается успешным, если получен отчет, содержащий данные, зарегистрированные счетчиком.
-
-
8.3.4 Проверяют соответствие индикации даты в счетчике календарной дате (число, месяц, год). Проверку осуществляют визуально или с помощью переносного компьютера через оптический порт.
-
8.4.5 Результат проверки считается положительным, если проверки по пунктам 8.3.1 -
-
8.3.4 выполнены с положительным результатом.
В случае выявления несоответствий по пунктам 8.3.1 - 8.3.4 процедуру проверки приостанавливают до устранения данных несоответствий. В случае невозможности устранения выявленных несоответствий АИИС КУЭ в части неисправных ИК бракуется.
|
ФБУ «Пензенский ЦСМ» |
АИИС КУЭ ЕНЭС ПС 500 кВ Невинномысск (ВЛ 330 кВ Невинномысск-Барсуки 1, II цепь) |
Методика поверки |
Страница 6 из 9 |
-
8.5 Проверяют УСПД.
-
8.5.1 Проверяют наличие и сохранность пломб на УСПД. При отсутствии или нарушении пломб проверяют правильность подсоединения УСПД.
-
8.5.2 Проверяют правильность функционирования УСПД в соответствии с его эксплуатационной документацией с помощью тестового программного обеспечения, поставляемого в комплекте с УСПД. Проверка считается успешной, если все подсоединенные к УСПД счетчики опрошены и сообщения об ошибках отсутствуют.
-
8.5.3 Проверяют программную защиту УСПД от несанкционированного доступа в соответствии с эксплуатационным документом на УСПД.
-
8.5.4 Результат проверки считается положительным, если проверки по пунктам 8.5.1 -
-
-
8.5.3 выполнены с положительным результатом.
В случае выявления несоответствий по пунктам 8.5.1 - 8.5.3 процедуру проверки приостанавливают до устранения данных несоответствий. В случае невозможности устранения выявленных несоответствий АИИС КУЭ в части неисправных ИК бракуется.
-
8.6 Проверяют функционирования компьютеров АИИС КУЭ (АРМ или сервера).
-
8.6.1 Проводят опрос текущих показаний всех счетчиков электроэнергии.
-
Результат проверки считается положительным, если опрашиваются все счетчики, ч Z входящие в ИК, подвергающиеся поверке.
-
8.6.2 Проверяют глубину хранения измерительной информации в сервере АИИС КУЭ.
Результат проверки считается положительным, если глубина хранения информации соответствует указанной в описании типа.
-
8.6.3 Проверяют защиту программного обеспечения на сервере АИИС КУЭ от несанкционированного доступа. Для этого запускают на выполнение программу сбора данных и в поле «пароль» вводят неправильный код.
Результат проверки считается положительным, если при вводе неправильного пароля программа не разрешает продолжать работу.
-
8.6.4 В случае выявления несоответствий по пунктам 8.6.1 - 8.6.3 процедуру проверки приостанавливают до устранения данных несоответствий. В случае невозможности устранения выявленных несоответствий АИИС КУЭ в части неисправных ИК бракуется.
-
8.7 Проверяют отсутствие ошибок информационного обмена.
Операция проверки отсутствия ошибок информационного обмена предусматривает экспериментальное подтверждение идентичности числовой измерительной информации в счетчиках электрической энергии (исходная информация), и базе данных сервера.
В момент проверки все технические средства, входящие в проверяемый ИК, должны быть включены.
-
8.7.1 На сервере системы отображают или распечатывают значения активной и реактивной электрической энергии, зарегистрированные с 30-ти минутным интервалом за полные предшествующие дню проверки сутки по всем ИК. Проверяют наличие данных, соответствующих каждому 30-ти минутному интервалу времени. Пропуск данных не допускается за исключением случаев, когда этот пропуск был обусловлен отключением ИК или устраненным отказом какого-либо компонента системы.
-
8.7.2 Отображают на экране АРМ или распечатывают журнал событий счетчика и УСПД и отмечают моменты нарушения связи между измерительными компонентами системы. Проверяют сохранность измерительной информации в памяти УСПД и базе данных сервера системы на тех интервалах времени, в течение которого была нарушена связь.
-
8.7.3 Отображают на экране АРМ или распечатывают на сервере профиль нагрузки за полные сутки, предшествующие дню поверки. Удаленно с АРМ, либо используя переносной компьютер и оптопорт, производят считывание профиля нагрузки за те же сутки непосредственно из памяти счетчика. Различие значений активной (реактивной) мощности, хранящей-
ФБУ «Пензенский ЦСМ»
АИИС КУЭ ЕНЭС ПС 500 кВ Невинномысск (ВЛ 330 кВ Невинномысск-Барсуки I, II цепь)
Методика поверки
Страница 7 из 9
ся в памяти счетчика и базе данных сервера не должно превышать одной единицы младшего разряда учтенного значения.
-
8.7.4 Рекомендуется вместе с проверкой по п. 8.7.3 сличать показания счетчика по активной и реактивной электрической энергии на начало суток и сравнивать с данными, зарегистрированными в базе данных сервера системы. Для этого удаленно с АРМ. либо используя переносной компьютер и оптопорт, производят считывание показаний счетчика по активной и реактивной электрической энергии и сравнивают эти данные, с показаниями, зарегистрированными в базе данных сервера системы. Расхождение не должно превышать две единицы младшего разряда учтенного значения.
-
8.7.5 Результат проверки считается положительным, если отсутствуют пропуски данных в базе данных сервера и показания счетчиков по активной и реактивной электрической энергии совпадают с показаниями, зарегистрированными на сервере.
В случае выявления несоответствий по пунктам 8.7.1 - 8.7.4 АИИС КУЭ в части неисправных ИК бракуется.
9 ПРОВЕРКА ПРОГРАММНОГО ОБЕСПЕЧЕНИЯ СРЕДСТВА ИЗМЕРЕНИЙ-
9.1 Проводят проверку соответствия заявленных идентификационных данных программного обеспечения (ПО), указанных в описании типа и эксплуатационной документации:
-
- наименование ПО;
-
- идентификационное наименование ПО;
-
- номер версии (идентификационный номер) ПО;
-
- цифровой идентификатор ПО (контрольная сумма исполняемого кода);
-
- алгоритм вычисления цифрового идентификатора ПО.
-
9.2 Проверка идентификации ПО АИИС КУЭ
Убедиться, что идентификационное наименование и номер версии ПО соответствует заявленным (наименование ПО и его версия определяются после загрузки ПО).
-
9.3 Проверка цифрового идентификатора ПО.
На выделенных модулях ПО проверить цифровые идентификаторы и алгоритм вычисления цифрового идентификатора.
Проверка цифрового идентификатора ПО происходит на ИВК (сервере), где установлено ПО. Запустить менеджер файлов, позволяющий производить хэширование файлов или специализированное ПО, предоставляемое разработчиком. В менеджере файлов, необходимо открыть каталог и выделить файлы, указанные в описании типа на АИИС КУЭ. Далее, запустив соответствующую программу просчитать хэш. По результатам формируются файлы, содержащие коды алгоритмов вычисления цифрового идентификатора в текстовом формате. Наименование файла алгоритма вычисления цифрового идентификатора должно соответствовать наименованию файла, для которого проводилось хэширование.
-
9.4 Результат проверки считается положительным, если идентификационное наименование ПО, номер версии (идентификационный номер) ПО, цифровой идентификатор ПО не противоречат приведенным в описании типа на АИИС КУЭ.
В случае выявления несоответствий по пунктам 9.1 - 9.3 АИИС КУЭ считается не прошедшей поверку и признается непригодной к применению.
-
10 ОПРЕДЕЛЕНИЕ МЕТРОЛОГИЧЕСКИХ ХАРАКТЕРИСТИК СРЕДСТВА ИЗМЕРЕНИЙ
-
10.1.1 Рассчитывают границы интервала допускаемой относительной погрешности ИК в рабочих условиях эксплуатации (±6), %, при доверительной вероятности, равной 0,95.
-
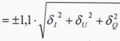
10.1.1.1 Границы интервала допускаемой относительной погрешности ИК в рабочих условиях эксплуатации рассчитывают по формуле:
ФБУ «Пензенский ЦСМ»
АИИС КУЭ ЕНЭС ПС 500 кВ Невинномысск (ВЛ 330 кВ Невинномысск-Барсуки 1,11 цепь)
Методика поверки
Страница 8 из 9
I
+ <$?2 + дс.o.2 + d^,
7=1
-
(1)
где



di - токовая погрешность TT, %;
du - погрешность напряжения TH, %;
dQ - погрешность трансформаторной схемы подключения счетчика за счет угловых погрешностей ТТ и TH, %;
d.i - погрешность из-за потери напряжения в линии соединения счетчика с TH, %;
dc.o ~ основная относительная погрешность счетчика, %;
dCJ - дополнительная погрешность счетчика OTj-й влияющей величины, %;
/ - число влияющих величин;
При отсутствии в ИК каких-либо измерительных компонентов, соответствующие значения погрешностей в формуле 1 не используются.
-
10.1.1.2 Результат проверки считается положительным, если рассчитанные значения погрешностей не превышают значений, приведенных в описании типа.
-
10.2.1 Рассчитывают абсолютную погрешность смещения шкалы времени счетчиков, УСПД и сервера относительно шкалы времени UTC (SU).
-
10.2.1.1 Включают Радиочасы РЧ-011/2. Сравнивают показания часов РЧ-011/2 с показаниями часов счетчиков электрической энергии, УСПД, сервера в единый момент времени и фиксируют разность показаний по формуле:
-
4 =‘э~‘к, (2)
где
/э - показания часов РЧ-011/2, чч:мм:сс;
iKt - показания часов /-го компонента АИИС КУЭ. чч:мм:сс.
Примечание-В качестве приемника сигналов точного времени могут быть использованы только средства измерений утвержденного типа, прошедшие поверку или аттестованные в качестве эталона.
-
10.2.1.2 Результат проверки считается положительным, если смещение шкалы времени счетчиков. УСПД и сервера относительно шкалы времени UTC (SU) не превышает ±5 с.
-
10.2.2 Проверяют систему коррекции времени.
-
10.2.2.1 Проверяют правильность работы системы коррекции времени, определяя по журналу событий расхождение времени корректируемого и корректирующего компонентов в момент, непосредственно предшествующий коррекции времени.
-
10.2.2.2 Результат проверки считается положительным, если расхождение времени корректируемого и корректирующего компонентов в журнале событий не превышает предела допускаемого расхождения, указанного в описании типа АИИС КУЭ.
-
10.2.3 В случае выявления несоответствий по пунктам 10.2.1, 10.2.2 АИИС КУЭ в части неисправных ИК бракуется.
11 ПОДТВЕРЖДЕНИЕ СООТВЕТСТВИЯ СРЕДСТВА ИЗМЕРЕНИЙ МЕТРОЛОГИЧЕСКИМ ТРЕБОВАНИЯМВ процессе выполнения поверки специалист производит расчет погрешностей, в соответствии с формулами, приведенными в методике поверки. Конечные результаты расчетов должны быть представлены с соблюдением правил округления и обязательным указанием единиц измерений, вычисленной физической величины. Результаты считают удовлетворительными, если полученные (рассчитанные) значения погрешностей не превышают значений, приведенных в описании типа.
|
ФБУ «Пензенский ЦСМ» |
АИИС КУЭ ЕНЭС ПС 500 кВ Невинномысск (ВЛ 330 кВ Невинномысск-Барсуки 1, II цепь) |
Методика поверки |
Страница 9 из 9 |
-
12.1 Результат поверки АИИС КУЭ подтверждается сведениями о результатах поверки средств измерений (СИ), включенными в Федеральный информационный фонд по обеспечению единства измерений (ФИФ по ОЕИ).
-
12.2 На основании положительных результатов проверок по пунктам разделов 7-10, АИИС КУЭ признается пригодной к применению. На АИИС КУЭ оформляется свидетельство о поверке в соответствии с действующими нормативными правовыми документами. В приложении к свидетельству о поверке указывается перечень и состав ИК, прошедших поверку и пригодных к применению. Протокол поверки оформляется в произвольной форме в соответствии с требованиями аккредитованного на поверку юридического лица или индивидуального предпринимателя, проводящего поверку.
Знак поверки наносится на свидетельство о поверке.
-
12.3 В случае, если отдельные ИК были забракованы по пунктам разделов 7, 8, 10, АИИС КУЭ признается непригодной в части ИК, не прошедших с положительным результатом поверку, или АИИС КУЭ была забракована по пунктам раздела 9, на нее выдают извещение о непригодности с указанием причин непригодности. В приложении к извещению о непригодности указывается перечень ИК, не соответствующих требованиям, установленным в описании типа АИИС КУЭ.
Страница 9 из 9
