Методика поверки «ГСОЕИ. Тахеометры электронные Trimble SPS» (МП АПМ 18-20)
СОГЛАСОВАНО
Генеральный директор топрогресс - М»
i\\A. С. Никитин
«017/ апреля 2021 г.
Государственная система обеспечения единства измерений
Тахеометры электронные Trimble SPS
МЕТОДИКА ПОВЕРКИ МП АПМ 18-20г. Москва
2021 г.
1 Общие положения
Настоящая методика поверки распространяется на тахеометры электронные Trimble SPS, производства «Trimble АВ», Швеция, (далее - тахеометры), и устанавливает методику их первичной и периодической поверки.
Выполнение всех требований настоящей методики обеспечивает прослеживаемость поверяемого средства измерений к следующим государственным первичным эталонам:
ГЭТ 22-2014 - ГПЭ единицы плоского угла в диапазоне от 0 до 360 градусов;
ГЭТ 2-2021 - ГПЭ единицы длины - метра;
ГЭТ 199-2018 - ГПСЭ единицы длины в диапазоне до 4000 км.
Интервал между поверками - 1 год.
2 Перечень операций поверки средств измерений
При проведении поверки средств измерений (далее - поверка) должны выполняться операции, указанные в таблице 1.
Таблица 1 - Операции поверки
|
№ п/п |
Наименование операции |
№ пункта документа по поверке |
Проведение операций при | |
|
первичной поверки |
периодической поверке | |||
|
1 |
Внешний осмотр |
7 |
Да |
Да |
|
2 |
Подготовка к поверке и опробование средства измерений |
8 |
Да |
Да |
|
п 3 |
Проверка программного обеспечения средства измерений |
9 |
Да |
Да |
|
4 |
Определение метрологических характеристик |
10 |
- |
- |
|
4.1 |
Определение абсолютной погрешности измерений углов |
10.1 |
Да |
Да* |
|
4.2 |
Определение абсолютной погрешности измерений расстояний |
10.2 |
Да |
Да* |
* в случае применения средства измерений для работ, не требующих использования всех измерительных каналов при периодической поверке по письменному заявлению владельца СИ допускается поверка по сокращенному числу измерительных каналов с обязательной передачей в Федеральный информационный фонд по обеспечению единства измерений информации об объеме проведенной поверки.
3 Требования к условиям проведения поверки
При проведении поверки должны соблюдаться, следующие условия измерений:
- температура окружающей среды, °C от -20 до +50
4 Требования к специалистам, осуществляющим поверку
К проведению поверки допускаются лица, изучившие эксплуатационную документацию на аппаратуру и средства поверки, и аттестованные в качестве поверителя средств измерений в установленном порядке.
5 Метрологические и технические требованиям к средствам поверки
При проведении поверки должны применяться эталоны и вспомогательные средства поверки, приведенные в таблице 2.
Таблица 2 - Средства поверки
|
№ пункта документа по поверке |
Наименование эталонов, вспомогательных средств поверки и их основные метрологические и технические характеристики |
|
7 |
Эталоны не применяются |
|
8 | |
|
10.1 |
Рабочий эталон 1-го разряда согласно Государственной поверочной схеме для средств измерений плоского угла, утвержденной приказом Федерального агентства по техническому регулированию и метрологии от 26 ноября 2018 г. № 2482 - стенд коллиматорный Вспомогательное оборудование: Термогигрометр ИВА-6Н-Д (per. № 46434-11) |
|
10.2 |
Рулетка измерительная класса точности 2 по ГОСТ 7502-98; Рабочий эталон 2-го разряда согласно Государственной поверочной схеме для координатно-временных средств измерений, утвержденной приказом Федерального агентства по техническому регулированию и метрологии от 29 декабря 2018 г. № 2831 -фазовый светодальномер (электронный тахеометр) Вспомогательное оборудование: Термогигрометр ИВА-6Н-Д (per. № 46434-11) |
Допускается применять другие средства поверки, обеспечивающие определение метрологических характеристик с точностью, удовлетворяющей требованиям настоящей методики поверки.
6 Требования (условия) по обеспечению безопасности проведения поверки
При проведении поверки, меры безопасности должны соответствовать требованиям по технике безопасности согласно эксплуатационной документации на тахеометры, правилам по технике безопасности, действующим на месте проведения поверки и требованиям МЭК-825 «Радиационная безопасность лазерной продукции, классификация оборудования, требования и руководство для потребителей», а также правилам по технике безопасности при производстве топографо-геодезических работ ПТБ-88 (утверждены коллегией ГУГК при СМ СССР 09.02.1989 г., №2/21).
7 Внешний осмотр средства измерений
При внешнем осмотре должно быть установлено соответствие тахеометра следующим требованиям:
-
- отсутствие коррозии, механических повреждений и других дефектов, влияющих на эксплуатационные и метрологические характеристики тахеометра;
-
- наличие комплектности согласно требованиям эксплуатационной документации, на тахеометр;
-
- оптические системы должны иметь чистое и равномерно освещённое поле зрения.
Если хотя бы одно из перечисленных требований не выполняется, тахеометр признают непригодным к применению, дальнейшие операции поверки не производят.
8 Подготовка к поверке и опробование средства измерений
-
8.1 Перед проведением поверки должны быть выполнены следующие подготовительные работы:
-
- проверить наличие действующих свидетельств о поверке на эталонные средства измерений;
-
- тахеометр и средства поверки привести в рабочее состояние в соответствии с их эксплуатационной документацией.
- тахеометр должен быть установлен на специальных основаниях (фундаментах) или штативах, не подвергающихся механическим (вибрация, деформация, сдвиги) и температурным воздействиям.
-
8.2 При опробовании должно быть установлено соответствие тахеометра следующим требованиям:
-
- отсутствие качки и смещений неподвижно соединенных деталей и элементов;
-
- плавность и равномерность движения подвижных частей;
-
- правильность взаимодействия с комплектом принадлежностей;
-
- работоспособность всех функциональных режимов и узлов;
-
- дискретность отсчета измерений углов и расстояний должны соответствовать эксплуатационной документации.
9 Проверка программного обеспечения средства измерений
Проверку идентификационных данных ПО проводить следующим образом:
Включите прибор. Нажмите для прокрутки к пункту «Версия встроенного ПО», затем нажмите . На экране отобразится версия встроенного МПО инструмента. Программа автоматически возвратится к меню «Настройка».
-Настройка- Д
Выход (куровню: Т веэсия RX.X.X
Настр. радиомолема
Устр-во BluetooT ,
Юстировка...
Ю:■’.■= ет
Рисунок 1 - Сведения о версии встроенного ПО.
Версия ПО Trimble SCS900, установленного на контроллер отображается при запуске программы.
Идентификационные данные программного обеспечения (далее - ПО) должны соответствовать данным, приведённым в таблице 3.
Таблица 3 - Идентификационные данные программного обеспечения
|
Идентификационные данные (признаки) |
Значение | |
|
Идентификационное наименование ПО |
МПО |
Trimble SCS900 |
|
Номер версии (идентификационный номер) ПО, не ниже |
С10.8.16 |
3.75.20200 Build 54 |
-
10 Определение метрологических характеристик средства измерений
-
10.1 Определение диапазона и абсолютной погрешности измерений углов
-
Абсолютная погрешность измерений углов определяется на универсальном коллиматорном стенде путем многократных измерений (не менее четырех циклов измерений, состоящих из измерений в положении «Круг право» (КП) и «Круг лево» (КЛ) горизонтального угла (90±30) ° и вертикального угла (более ±20°).
10.2 Определение диапазона и абсолютной погрешности измерений расстояний
Абсолютная погрешность измерений расстояний в диапазоне от 0,2 м до 1,5 м определяются путём сличения с рулеткой измерительной класса точности 2 по ГОСТ 7502-98, в диапазоне свыше 1,5 м до 2000,0 м путем сличения с электронным тахеометром 2-го разряда по Государственной поверочной схеме для координатно-временных средств измерений утвержденной приказом Федерального агентства по техническому регулированию и метрологии от 29 декабря 2018 г. № 2831 (далее - электронный тахеометр).
Необходимо провести многократно, не менее 10 раз, измерения не менее 3 значений расстояний, действительные длины которых расположены в заявляемом диапазоне измерений расстояний поверяемого тахеометра и определены с помощью электронного тахеометра.
11. Подтверждение соответствия средства измерений метрологическим требованиям
11.1 Определение диапазона и абсолютной погрешности измерений углов
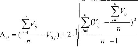
Абсолютная погрешность измерений (при доверительной вероятности 0,95) горизонтального и вертикального углов вычисляется по формуле:

где Аг/ - абсолютная погрешность измерений горизонтального (вертикального) угла,
Noj - значение горизонтального (вертикального) угла по универсальному коллиматорному стенду, взятое из свидетельства о поверке (сертификата о калибровке) на него,
V,; - значение горизонтального (вертикального) угла, по поверяемому тахеометру,
п — число измерений.
Средняя квадратическая погрешность измерений горизонтального и вертикального углов вычисляется по формуле:
п
i=l

где mvi - средняя квадратическая погрешность измерений горизонтального (вертикального) угла,
Vi - разность между измеренным поверяемым тахеометром значением i-ro горизонтального (вертикального) угла и значением i-ro горизонтального (вертикального) угла по универсальному коллиматорному стенду, взятому из свидетельства о поверке на него,
п - число измерений.
Значения абсолютной погрешности (при доверительной вероятности 0,95) измерений углов не должны превышать значений, указанных в Приложении А к настоящей методике поверки.
Если требования п.11.1 не выполняются, тахеометр признают непригодным к применению, дальнейшие операции поверки не производят.
11.2 Определение абсолютной погрешности измерений расстояний
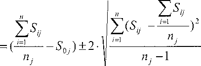
Абсолютная погрешность измерений (при доверительной вероятности 0,95) расстояний определяется по формуле:

и

где Д5 - абсолютная погрешность измерений j-ro расстояния, мм;
Soj - номинальное значение j-ro расстояния, полученное по электронному тахеометру;
S ij- полученное значение j-ro расстояния i-м приёмом по поверяемому тахеометру;
Л7 - - число приёмов измерений j-ro расстояния.
Значения абсолютной погрешности (при доверительной вероятности 0,95) измерений расстояний должны соответствовать значениям, приведённым в Приложении А к настоящей методике поверки.
Средняя квадратическая погрешность измерений каждой линии вычисляется по формуле:
'kSo-Sy1=1 J J
ms,
где ms. - средняя квадратическая погрешность измерения j-ro расстояния.
Если требования п. 11.2 не выполняются, тахеометр признают непригодным к применению.
12 Оформление результатов поверки
-
12.1 Результаты поверки оформляются протоколом, составленным в виде сводной таблицы результатов поверки по каждому пункту разделов 7-10 настоящей методики поверки.
-
12.2 Сведения о результатах поверки средств измерений в целях подтверждения поверки должны быть переданы в Федеральный информационный фонд по обеспечению единства измерений.
-
12.3 При положительных результатах поверки прибор признают пригодным к применению и по заявлению владельца средств измерений или лица, представляющего средства измерений на поверку выдается свидетельство о поверке установленной формы. Нанесение знака поверки на средство измерений не предусмотрено.
-
12.4 При отрицательных результатах поверки прибор признают непригодным к применению и по заявлению владельца средств измерений или лица, представляющего средства измерений на поверку выдаётся извещение о непригодности установленной формы с указанием основных причин.
Руководитель отдела ООО «Автопрогресс - М»
К.А. Ревин
Приложение А
(Обязательное)
Метрологические характеристики
Таблица А.1 - Метрологические характеристики
|
Наименование характеристики |
Значение | |
|
Модификация |
930 |
730 |
|
Диапазон работы компенсатора,не менее |
±5,4 | |
|
Диапазон измерений:
|
от 0 до 360 от 0,2 до 2000 от 1 до 600 от 1 до 1000 | |
|
Границы допускаемой абсолютной погрешности измерений углов (при доверительной вероятности 0,95), "
|
±2 ±2 |
±6 ±4 |
|
Границы допускаемой абсолютной погрешности измерений расстояний (при доверительной вероятности 0,95), мм:
|
±2 ■ (2 + 2,0-10'6-D) ±2 • (2 + 2,0-10~6-D) ±2 ■ (10 + 2,0-10‘6-D) | |
|
Допускаемая средняя квадратическая погрешность измерений углов, "
|
1 1 |
n 2 |
|
Допускаемая средняя квадратическая погрешность измерений расстояний, мм:
|
(2 + 2,0-10‘6-D) (2 + 2,0-10’6-D) (10 + 2,0-10’6-D) | |
|
где D - измеряемое расстояние в мм | ||
1) измерения на поверхность с отражающей способностью, соответствующей пластине Кодак с коэффициентом отражения 90% по ГОСТ 8.557-2007, в условиях хорошей видимости и низкого уровня фоновой засветки.
