Методика поверки «ГСОЕИ. Система автоматизированная информационно-измерительная коммерческого учета электроэнергии (АИИС КУЭ) ООО «Лента» ТК-55» (МП ЭПР-390-2021)
Общество с ограниченной ответственностью
«ЭнергоПромРесурс»
Юридический адрес: 143443, МО, г. Красногорск, мкр. Опалиха, ул. Ново-Никольская, д. 57, офис 19 ИНН: 5024145974 КПП: 502401001 ОГРН: 1145024004916
СОГЛАСОВАНО:

Государственная система обеспечения единства измерений
Система автоматизированная информационно-измерительная коммерческого учета электроэнергии (АНИС КУЭ) ООО «Лента» ТК-55
Методика поверки
МП ЭПР-390-2021
Московская область, г. Красногорск 2021 г.
Содержание-
5 МЕТРОЛОГИЧЕСКИЕ И ТЕХНИЧЕСКИЕ ТРЕБОВАНИЯ К СРЕДСТВАМ ПОВЕРКИ
-
6 ТРЕБОВАНИЯ (УСЛОВИЯ) ПО ОБЕСПЕЧЕНИЮ БЕЗОПАСНОСТИ ПРОВЕДЕНИЯ
-
10 ОПРЕДЕЛЕНИЕ МЕТРОЛОГИЧЕСКИХ ХАРАКТЕРИСТИК СРЕДСТВА
-
11 ПОДТВЕРЖДЕНИЕ СООТВЕТСТВИЯ СРЕДСТВА ИЗМЕРЕНИЙ
Настоящая методика распространяется на измерительные каналы (далее - ИК) системы автоматизированной информационно-измерительной коммерческого учета электроэнергии (АИИС КУЭ) ООО «Лента» ТК-55 (далее - АИИС КУЭ), предназначенной для измерения активной и реактивной электроэнергии, потребленной за установленные интервалы времени отдельными технологическими объектами ООО «Лента», г. Набережные Челны, сбора, хранения, обработки и передачи полученной информации. Перечень ИК и их метрологические характеристики приведены в паспорте-формуляре АИИС КУЭ.
Поверке подлежит каждый ИК АИИС КУЭ, реализующий косвенный метод измерений электрической энергии. ИК подвергают поверке покомпонентным (поэлементным) способом с учетом положений раздела 8 ГОСТ Р 8.596-2002.
Допускается проведение поверки отдельных ИК АИИС КУЭ, с обязательным указанием в приложении к свидетельству о поверке информации об объеме проведенной поверки.
Первичную поверку АИИС КУЭ проводят после утверждения типа АИИС КУЭ. Допускается при поверке использовать положительные результаты испытаний по опробованию методики поверки. При этом свидетельство о поверке оформляется только после утверждения типа АИИС КУЭ.
Периодическую поверку АИИС КУЭ проводят в процессе эксплуатации АИИС КУЭ.
Для обеспечения прослеживаемости входящие в состав ИК АИИС КУЭ средства измерений (измерительные компоненты) должны быть утвержденных типов, и поверяться по соответствующим методикам поверки и в соответствии с интервалами между поверками, установленными при утверждении их типа. Если очередной срок поверки средства измерений (измерительного компонента) наступает до очередного срока поверки АИИС КУЭ, поверяется только этот компонент, а поверка всей АИИС КУЭ не проводится. После поверки средства измерений (измерительного компонента) и восстановления ИК выполняется проверка ИК, той его части и в том объеме, который необходим для того, чтобы убедиться, что действия, связанные с поверкой средства измерений (измерительного компонента), не нарушили метрологических характеристик ИК (схема соединения, коррекция времени и т.п.).
Применяемый при поверке АИИС КУЭ рабочий эталон 4-го разряда по Приказу Госстандарта от 31.07.2018 г. № 1621 «Об утверждении государственной поверочной схемы для средств измерений времени и частоты» обеспечивает прослеживаемость к ГЭТ1-2018 «ГПЭ единиц времени, частоты и национальной шкалы времени».
После ремонта АИИС КУЭ, аварий в энергосистеме, если эти события могли повлиять на метрологические характеристики ИК, а также после замены средств измерений (измерительных компонентов), входящих в их состав, проводится внеочередная поверка АИИС КУЭ в объеме первичной поверки. Допускается проводить поверку только тех ИК, которые подверглись указанным выше воздействиям. При этом, в случае если замененные средства измерений (измерительные компоненты) не соответствуют описанию типа АИИС КУЭ, срок действия свидетельства о поверке АИИС КУЭ в части указанных ИК устанавливается до окончания срока действия основного свидетельства о поверке. Во всех указанных случаях оформляется технический акт о внесенных изменениях, который должен быть подписан руководителем или уполномоченным им лицом и руководителем или представителем метрологической службы предприятия-владельца АИИС КУЭ. Технический акт хранится совместно со свидетельством о поверке, как неотъемлемая часть эксплуатационных документов АИИС КУЭ.
2 ПЕРЕЧЕНЬ ОПЕРАЦИЙ ПОВЕРКИПри проведении поверки выполняют операции, указанные в таблице 1.
аблица 1 - Операции поверки
Наименование операции |
Номер пункта НД по поверке |
Обязательность проведения операции при | |
первичной поверке |
периодической поверке | ||
1 Внешний осмотр |
7 |
Да |
Да |
2 Подготовка к поверке |
8.1 |
Да |
Да |
3 Проверка соответствия измерительных компонентов АИИС КУЭ |
8.2 |
Да |
Да |
4 Проверка счетчиков электрической энергии |
8.3 |
Да |
Да |
5 Проверка функционирования компьютеров АИИС КУЭ (АРМ или сервера) |
8.4 |
Да |
Да |
6 Проверка функционирования вспомогательных устройств |
8.5 |
Да |
Да |
7 Проверка нагрузки на вторичные цепи измерительных трансформаторов тока |
8.6 |
Да |
Да |
8 Проверка системы обеспечения единого времени |
8.7 |
Да |
Да |
9 Проверка отсутствия ошибок информационного обмена |
8.8 |
Да |
Да |
10 Проверка программного обеспечения |
9 |
Да |
Да |
11 Определение метрологических характеристик средства измерений |
10 |
Да |
Да |
12 Подтверждение соответствия средства измерений метрологическим требованиям |
11 |
Да |
Да |
13 Оформление результатов поверки |
12 |
Да |
Да |
Влияющие величины, определяющие условия поверки АИИС КУЭ, должны находиться в пределах, указанных в описании типа и паспорте-формуляре АИИС КУЭ, описаниях типа и технической документации её измерительных компонентов и средств поверки.
4 ТРЕБОВАНИЯ К СПЕЦИАЛИСТАМ, ОСУЩЕСТВЛЯЮЩИМ ПОВЕРКУ4Л К проведению поверки АИИС КУЭ допускают поверителей, изучивших настоящую методику поверки и руководство по эксплуатации на АИИС КУЭ.
-
4.2 Измерение вторичной нагрузки измерительных трансформаторов тока, входящих в состав АИИС КУЭ, осуществляется персоналом, имеющим стаж работы по данному виду измерений не менее 1 года, изучившим документ МИ 3196-18 «ГСИ. Методика измерений мощности нагрузки трансформаторов тока в условиях эксплуатации». Измерение проводят не менее двух специалистов, имеющих допуск к работам в электроустановках выше 1000 В, один из которых должен иметь группу по электробезопасности не ниже IV.
При проведении поверки применяют эталоны средства измерений и вспомогательные устройства, в соответствии с документами на поверку, указанными в описаниях типа на средства измерений (измерительные компоненты) АИИС КУЭ, а также приведенные в таблице 2.
Все средства измерений, применяемые при поверке, должны быть утвержденного тина, а также иметь действующие свидетельства о поверке. Эталоны единиц величин и средства измерений, применяемые в качестве эталонов единиц величин, должны удовлетворять требованиям по точности государственных поверочных схем, установленным в соответствии с приказом Минпромторга России от 11.02.2020 г. № 456 «Об утверждении требований к содержанию и построению государственных поверочных схем и локальных поверочных схем, в том числе к их разработке, утверждению и изменению, требований к оформлению материалов первичной аттестации и периодической аттестации эталонов единиц величин, используемых в сфере государственного регулирования обеспечения единства измерений, формы свидетельства об аттестации эталона единицы величины, требований к оформлению правил содержания и применения эталона единицы величины, формы извещения о непригодности эталона единицы величины к его применению».
"аблица 2 — Средства поверки и вспомогательные устройства
Наименование средства измерений/ эталона |
Измеряемая величина/ Метрологические характеристики |
Наименование, тип, регистрационный номер в Федеральном информационном фонде рекомендуемого средства измерений/эталона |
Номер пункта методики поверки |
1 |
2 |
3 |
4 |
Термометр |
Температура окружающего воздуха: Диапазон измерений: от -20 до +50 °C; цена деления шкалы: 1 °C; пределы допускаемой абсолютной погрешности: ±1 °C |
Термометр стеклянный жидкостный вибро-стойкий авиационный ТП-6 (per. № 257-49) Термогигрометр электронный CENTER 315 (per. № 22129-09) |
8.1 |
Психрометр |
Относительная влажность воздуха: Диапазон измерений: от 10 до 95 %; пределы допускаемой абсолютной погрешности: ±5 % |
Термогигрометр электронный CENTER 315 (per. № 22129-09) |
8.1 |
Барометр |
Атмосферное давление: Диапазон измерений: от 80 до 106 кПа; пределы допускаемой абсолютной погрешности измерений атмосферного давления: ±1 кПа |
Барометр-анероид метеорологический БАММ-1 (per. № 5738-76) |
8.1 |
Измеритель напряжения с токовыми клещами |
Действующее значение силы тока: Диапазон измерений: от 0,025 до 7,5 А; от 1 до 120 % от 1ном; пределы допускаемой относительной погрешности (51): ±7 % |
Прибор для измерения электроэнергетических величин и показателей качества электрической энергии «Энергомонитор-3. ЗТ» с блоком трансформаторов тока (per. №31953-06) Прибор для измерения электроэнергетических величин и показателей качества электрической энергии «Энергомонитор-3.ЗТ» с токоизмерительными клещами (per. №31953-06) |
8.6 |
Действующее значение напряжения: Диапазон измерений: от 4,2 до 20 В; от 80 до 115 % от Uhom; пределы допускаемой относительной погрешности (6U): ±7 % |
8.6 |
Продолжение таблицы 2
1 |
2 |
3 |
4 |
Приемник сигналов точного времени, принимающий сигналы спутниковой навигационной системы ГЛОНАСС |
Сигналы точного времени: Пределы допускаемой абсолютной погрешности синхронизации фронта выходного импульса 1 Гц относительно шкалы координированного времени UTC(SU): ±0,5 мкс (рабочий эталон 4-го разряда по Приказу Госстандарта от 31.07.2018 г. № 1621 «Об утверждении государственной поверочной схемы для средств измерений времени и частоты») |
Блок коррекции времени ЭНКС-2 (per. № 37328-15) |
8.3.4, 8.7 |
Переносной компьютер с ПО для работы со счетчиками системы и с ПО для работы с приемником сигналов точного времени. Оптический преобразователь для работы со счетчиками системы. Фотоаппарат. |
Примечание: Допускается применение других средств поверки с метрологическими характеристиками, обеспечивающими требуемые точности измерений (согласно таблице 2).
6 ТРЕБОВАНИЯ (УСЛОВИЯ) ПО ОБЕСПЕЧЕНИЮ БЕЗОПАСНОСТИ ПРОВЕДЕНИЯ ПОВЕРКИ-
6.1 При проведении поверки должны быть соблюдены требования безопасности, установленные ГОСТ 12.2.007.0-75, ГОСТ 12.2.007.3-75, «Правилами техники безопасности при эксплуатации электроустановок потребителей», «Правилами технической эксплуатации электроустановок потребителей», «Правилами по охране труда при эксплуатации электроустановок», а также требования безопасности на средства поверки, поверяемые трансформаторы и счетчики, изложенные в их руководствах по эксплуатации.
-
6.2 При применении эталонов, средств измерений, вспомогательных средств поверки и оборудования должны обеспечиваться требования безопасности согласно ГОСТ 12.2.003-91, ГОСТ 12.2.007.3-75, ГОСТ 12.2.007.7-73.
-
7.1 Проверяют целостность корпусов и отсутствие видимых повреждений средств измерений (измерительных компонентов), наличие пломб энергосбытовых (энергосетевых) организаций и маркировку средств измерений (измерительных компонентов) и технических средств в соответствии с ГОСТ 22261-94.
Результаты проверки считаются положительными, если не выявлено видимых повреждений средств измерений (измерительных компонентов), а также имеются перечисленные выше пломбы на средствах измерений (измерительных компонентах).
При обнаружении отсутствия пломб на средствах измерений (измерительных компонентах) и испытательных коробках дальнейшие операции по поверке ИК, в который входят данные средства измерений (измерительные компоненты) и испытательные коробки, выполняют после соответствующего опломбирования.
Если выявлены видимые повреждения средств измерений (измерительных компонентов) и маркировка технических средств не соответствует требованиям ГОСТ 22261-94, а также если указанные выше замечания не были устранены за время поверки, то результаты проверки ИК, в который входят данные средства измерений (измерительные компоненты), считаются отрицательными.
-
7.2 Проверяют наличие заземления корпусов компонентов АИИС КУЭ и металлических шкафов, в которых они расположены.
Результаты проверки считают положительными, если корпуса компонентов и шкафы, в которых они установлены, имеют защитное заземление.
В противном случае результаты проверки соответствующих ИК считаются отрицательными.
-
7.3 Проверяют наличие напряжения питания на счетчиках, устройстве синхронизации системного времени (УССВ), сервере, вспомогательном оборудовании (модемы, преобразователи интерфейса и пр.).
Результаты проверки считаются положительными, если:
-
- работает жидкокристаллический индикатор каждого счетчика;
-
- светятся соответствующие светодиоды, сигнализирующие о наличии питания, расположенные на УССВ, сервере, вспомогательном оборудовании, и при этом не светятся светодиоды, сигнализирующие о наличии ошибок (если такие светодиоды имеются).
В противном случае дальнейшие операции по поверке ИК, в который входят данные компоненты, выполняют после восстановления питания.
Если отсутствует возможность подачи напряжения питания на компоненты АИИС КУЭ, то результаты проверки ИК, в который входят данные компоненты, считаются отрицательными.
-
7.4 Проверяют отсутствие следов коррозии и нагрева в местах подключения проводных линий.
Результаты проверки считаются положительными, если не выявлено следов коррозии и нагрева.
В противном случае дальнейшие операции по поверке ИК, в составе которых обнаружены проводные линии со следами коррозии и/или нагрева, выполняют после устранения несоответствий.
Если указанные выше замечания не были устранены за время поверки, то результаты проверки соответствующих ИК считаются отрицательными.
-
8 ПОДГОТОВКА К ПОВЕРКЕ И ОПРОБОВАНИЕ СРЕДСТВА ИЗМЕРЕНИЙ
-
8.1.1 Перед проведением поверки выполняют следующие подготовительные работы:
-
- проводят технические и организационные мероприятия по обеспечению безопасности поверочных работ в соответствии с действующими правилами и руководствами по эксплуатации применяемого оборудования;
-
- средства поверки выдерживают в условиях и в течение времени, установленных в их эксплуатационных документах;
-
- все средства измерений, которые подлежат заземлению, должны быть надежно заземлены, подсоединение зажимов защитного заземления к контуру заземления должно производиться ранее других соединений, а отсоединение - после всех отсоединений.
-
8.1.2 Для проведения поверки подготавливают следующую документацию:
-
- паспорт-формуляр АИИС КУЭ;
-
- описание типа АИИС КУЭ;
-
- паспорта заводов-изготовителей средств измерений (измерительных компонентов) с оттисками клейма поверителя или свидетельства о поверке средств измерений (измерительных компонентов), входящих в ИК, и свидетельство о предыдущей поверке АИИС КУЭ (при периодической и внеочередной поверке);
-
- паспорта-протоколы на ИК, оформленные в соответствии с требованиями пп. 3-6 настоящей методики поверки и/или требованиями документов: МИ 3196-18 «ГСИ. Методика измерений мощности нагрузки трансформаторов тока в условиях эксплуатации»;
-
- рабочие журналы АИИС КУЭ с данными по климатическим и иным условиям эксплуатации за межповерочный интервал (только при периодической поверке);
-
- акты допуска приборов учета в эксплуатацию в электроустановках напряжением до и выше 1 000 В (при наличии) или аналогичные документы.
-
8.2.1 Проверяют правильность расположения и монтажа средств измерений (измерительных компонентов), правильность схем подключения ТТ к счетчикам электрической энергии; правильность прокладки проводных линий связи по проектной документации на АИИС КУЭ.
-
8.2.2 Проверяют соответствие типов, классов точности и заводских номеров фактически использованных средств измерений (измерительных компонентов), а также коэффициентов трансформации измерительных трансформаторов указанным в описании типа АИИС КУЭ и/или паспорте-формуляре. При необходимости производят отключение электроустановки.
-
8.2.3 Проверяют результаты поверки всех средств измерений (измерительных компонентов), входящих в состав АИИС КУЭ: измерительных трансформаторов тока, счетчиков электрической энергии, УССВ (свидетельства о поверке данных средств измерений (измерительных компонентов) или паспорта заводов-изготовителей средств измерений (измерительных компонентов) с оттисками клейма поверителя) и срок их действия.
Допускается при обнаружении просроченных свидетельств о поверке средств измерений (измерительных компонентов) проводить их поверку на месте эксплуатации в процессе поверки АИИС КУЭ. Средства измерений (измерительные компоненты) поверяются по методикам поверки, утвержденным при утверждении их типа.
-
8.2.4 Результаты проверки считаются положительными, если:
-
- не выявлено несоответствий по пп. 8.2.1-8.2.2;
-
- срок действия результатов поверки средств измерений (измерительных компонентов), входящих в состав АИИС КУЭ, не истек.
В противном случае:
-
- дальнейшие операции по поверке ИК, в который входят указанные средства измерений (измерительные компоненты), выполняют после поверки этих средств измерений (измерительных компонентов);
-
- в случае невозможности поверки указанных средств измерений (измерительных компонентов), а также при выявлении несоответствий по пп. 8.2.1-8.2.2, результаты проверки считаются отрицательными.
-
8.3.1 Проверяют наличие документов энергосбытовых организаций, подтверждающих правильность подключения счетчика к цепям тока и напряжения, в частности, правильность чередования фаз. При отсутствии таких документов или нарушении (отсутствии) пломб проверяют правильность подключения счетчиков к цепям тока и напряжения (соответствие схем подключения - схемам, приведенным в паспорте на счетчик). Проверяют последовательность чередования фаз с помощью измерителя напряжения с токовыми клещами. При проверке последовательности чередования фаз действуют в соответствии с указаниями, изложенными в руководстве по его эксплуатации.
-
8.3.2 Проверяют работу всех сегментов индикаторов счетчиков, отсутствие кодов ошибок или предупреждений, прокрутку параметров в заданной последовательности.
-
8.3.3 Проверяют работоспособность оптического порта счетчика с помощью переносного компьютера. Оптический преобразователь подключают к последовательному порту переносного компьютера. Опрашивают счетчик по установленному соединению.
-
8.3.4 Проверяют соответствие индикации даты в счетчике календарной дате (число, месяц, год). Проверку осуществляют визуально или с помощью переносного компьютера через оптический порт. Включают приемник сигналов точного времени (ПСТВ) согласно руководству по эксплуатации. Убедившись в наличии связи со спутниками ГЛОНАСС, сверяют дату, отображаемую на дисплее ПСТВ, с датой в счетчике.
В случае использования ПСТВ без встроенного дисплея, подключают ПСТВ к переносному компьютеру согласно руководству по эксплуатации и, убедившись в наличии связи со спутниками ГЛОНАСС, синхронизируют часы переносного компьютера. Далее дату, отображаемую на экране переносного компьютера, сверяют с датой в счетчике.
-
8.3.5 Проверяют программную защиту счетчиков от несанкционированного доступа. Подключают оптический порт к инфракрасному порту счетчика и порту USB переносного компьютера, запускают на переносном компьютере ПО для работы со счетчиком. Или с помощью специализированного ПО конфигурирования счетчиков, установленного на сервере, посредством удаленного доступа в соответствии с описанием ПО устанавливают связь со счетчиком. В поле «пароль» вводят неправильный код.
-
8.3.6 Результаты проверки считаются положительными, если:
-
- подтверждена правильность подключения счетчиков к цепям тока и напряжения, а также последовательность чередования фаз;
-
- все сегменты индикаторов счетчиков работают, отсутствуют коды ошибок или предупреждений;
при опросе счетчика по оптическому порту с помощью переносного компьютера получен отчет, содержащий данные, зарегистрированные счетчиком;
-
- календарная дата в счетчике соответствует текущей календарной дате;
-
- при вводе неправильного пароля программа опроса счетчика выдает сообщение об ошибке и не разрешает продолжить работу.
При обнаружении каких-либо несоответствий по пп. 8.3.1-8.3.5 дальнейшие операции по поверке ПК, в который входит данный счетчик, выполняют после устранения несоответствий.
Если указанные выше замечания не были устранены за время поверки, то результаты проверки считаются отрицательными.
8.4 Проверка функционирования компьютеров АПИС КУЭ (АРМ или сервера)-
8.4.1 Проводят опрос текущих показаний всех счетчиков электроэнергии.
-
8.4.2 Проверяют глубину хранения измерительной информации в центральном сервере АПИС КУЭ.
-
8.4.3 Проверяют защиту программного обеспечения на компьютере АИИС КУЭ от несанкционированного доступа. Для этого запускают на выполнение программу сбора данных и в поле «пароль» вводят неправильный код.
-
8.4.4 Проверяют работу аппаратных ключей. Выключают компьютер и снимают аппаратную защиту (отсоединяют ключ от порта компьютера). Включают компьютер, загружают операционную систему и запускают программу.
-
8.4.5 Проверяют правильность значений коэффициентов трансформации измерительных трансформаторов, хранящихся в памяти сервера.
-
8.4.6 Результаты проверки считаются положительными, если:
-
- все счетчики опрошены и нет сообщений об ошибках, а также получен отчет, содержащий данные, зарегистрированные счетчиком;
-
- глубина хранения измерительной информации соответствует заявленной в описании типа;
при вводе неправильного пароля программа сбора данных выдает сообщение об ошибке и не разрешает продолжить работу;
при отсутствии аппаратного ключа получено сообщение об отсутствии «ключа защиты»;
значения коэффициентов трансформации измерительных трансформаторов, хранящиеся в памяти сервера, соответствуют значениям коэффициентов трансформации измерительных трансформаторов, указанных в паспорте-формуляре и описании типа АИИС КУЭ.
При обнаружении каких-либо несоответствий по пп. 8.4.1-8.4.5 дальнейшие операции по поверке ИК АИИС КУЭ выполняют после устранения несоответствий.
Если указанные выше замечания не были устранены за время поверки, то результаты проверки считаются отрицательными.
8.5 Проверка функционирования вспомогательных устройств-
8.5.1 Проверка функционирования модемов (при их наличии)
Проверяют функционирование модемов, используя коммуникационные возможности специальных программ из состава ПО АИИС КУЭ, определяемых согласно руководству пользователя ПО. По установленным с помощью модемов соединениям проводят опрос всех счетчиков.
Допускается автономная проверка модемов с использованием тестового программного обеспечения.
-
8.5.2 Проверка функционирования адаптеров интерфейса (при их наличии)
Подключают к адаптеру переносной компьютер с ПО. Проводят опрос всех счетчиков, подключенных к данному адаптеру.
-
8.5.3 Результаты проверки считаются положительными, если:
с помощью модемов были установлены коммутируемые соединения и по установленным соединениям успешно прошел опрос счетчиков;
-
- удалось опросить все счетчики, подключенные к адаптеру.
При обнаружении каких-либо несоответствий по пп. 8.5.1-8.5.2 дальнейшие операции по поверке ИК, в который входят данные модемы и/или адаптеры интерфейса, выполняют после устранения несоответствий.
Если указанные выше замечания не были устранены за время поверки, то результаты проверки считаются отрицательными.
8.6 Проверка нагрузки на вторичные цепи измерительных трансформаторов тока-
8.6.1 Проверяют наличие документов энергосбытовых организаций, подтверждающих правильность подключения вторичных обмоток ТТ. При отсутствии таких документов проверяют правильность подключения вторичных обмоток ТТ.
-
8.6.2 Проверяют наличие номинального значения мощности нагрузки на вторичные цепи ТТ Shom, указанного в технической документации на данный ТТ или указанного в паспорте-протоколе на соответствующий измерительный канал. В случае отсутствия этих документов производят отключение электроустановки (при необходимости) и проверяют значение Shom, указанное на табличке ТТ.
-
8.6.3 Измерение вторичной нагрузки ТТ проводят в соответствии с МИ 3196-18 «ГСИ. Методика измерений мощности нагрузки трансформаторов тока в условиях эксплуатации».
Приписанная характеристика погрешности результата измерений мощности нагрузки ТТ - доверительные границы допускаемой относительной погрешности результата измерений мощности нагрузки ТТ при доверительной вероятности 0,95 не превышает ±6 % с учетом условий выполнения измерений, приведенных в документе МИ 3196-18.
Примечания
-
1 Допускается измерение мощности нагрузки на вторичные цепи ТТ не проводить, если такое измерение проводилось при составлении паспорта-протокола на данный измерительный канал в течение истекающего интервала между поверками АИИС КУЭ, и если в измерительный канал не вносились изменения, не зафиксированные в соответствующем паспорте-протоколе.
-
2 Допускается мощность нагрузки определять расчетным путем, если известны входные (проходные) импедансы всех устройств, подключенных ко вторичным обмоткам ТТ.
-
3 Допускается проведение измерений мощности нагрузки на вторичные цепи ТТ в соответствии с другими аттестованными методиками измерений.
-
4 Предоставленные паспорта-протоколы должны быть согласованы территориальными органами Федерального агентства по техническому регулированию и метрологии. Проверяют средства измерений, применяемые при проведении измерений вторичных нагрузок ТТ: средства измерений должны быть утверждённого типа, поверены (проверяют также, что срок действия поверки данных СИ не истек) и соответствовать требованиям МИ 3196-18. Предоставленные паспорта-протоколы должны содержать информацию о результатах измерений вторичных нагрузок ТТ. Для проверки результатов измерений вторичных нагрузок ТТ проводят выборочный контроль путём измерения данных параметров согласно пп. 8.6.2-8.6.3.
-
8.6.4 Результаты проверки считаются положительными, если:
-
- измеренное значение мощности нагрузки на вторичные цепи ТТ соответствует требованиям соответствующего нормативного документа (ГОСТ 7746-2015 или другого нормативного документа, действующего в срок выпуска ТТ);
-
- или подтверждается выполнение указанного выше условия для ТТ в паспорте-протоколе.
При обнаружении каких-либо несоответствий по пп. 8.6.1-8.6.3 дальнейшие операции по поверке ИК, в который входит данный ТТ, выполняют после устранения несоответствий.
Если указанные выше замечания не были устранены за время поверки, то результаты проверки считаются отрицательными.
8.7 Проверка системы обеспечения единого времени-
8.7.1 Включают ПСТВ согласно руководству по эксплуатации. Убедившись в наличии связи со спутниками ГЛОНАСС, сверяют показания часов ПСТВ, отображаемые на дисплее, с показаниями часов сервера, получающего сигналы точного времени от УССВ.
В случае использования ПСТВ без встроенного дисплея, подключают ПСТВ к переносному компьютеру согласно руководству по эксплуатации и, убедившись в наличии связи со спутниками ГЛОНАСС, синхронизируют часы переносного компьютера. Далее показания часов переносного компьютера, отображаемые на экране, сверяют с показаниями часов сервера, получающего сигналы точного времени от УССВ.
Для снятия синхронизированных измерений рекомендуется использовать одновременное фотографирование экранов проверяемого и проверяющего оборудования.
-
8.7.2 Включают ПСТВ аналогично п. 8.7.1 и сверяют показания часов ПСТВ, отображаемые на дисплее, с показаниями часов счетчика, получающего сигналы точного времени от сервера, или сверяют показания часов переносного компьютера, отображаемые на экране, с показаниями часов счетчика, получающего сигналы точного времени от сервера.
При невозможности считать показания часов с дисплея счетчика, подключают оптический порт к инфракрасному порту счетчика и порту USB переносного компьютера, запускают на переносном компьютере ПО для работы со счетчиком, далее считывают показания текущего времени счетчика.
Для снятия синхронизированных измерений рекомендуется использовать одновременное фотографирование экранов проверяемого и проверяющего оборудования.
-
8.7.3 Проверяют правильность работы системы коррекции времени. Распечатывают журнал событий счетчика и сервера, выделив события, соответствующие сличению часов корректируемого и корректирующего компонента. Проверяют расхождение времени часов: счетчик - сервер, сервер - УССВ в момент, предшествующий коррекции.
-
8.7.4 Результаты проверки считаются положительными, если:
-
- расхождение показаний часов сервера с сигналами точного времени не превышает указанного в описании типа АИИС КУЭ значения для порога коррекции часов сервера от УССВ и находится в пределах ±5 с;
-
- расхождение показаний часов счетчика с сигналами точного времени не превышает значения ±5 с;
-
- расхождение времени часов по журналам событий: счетчик - сервер, сервер -УССВ в момент, предшествующий коррекции, соответствует параметрам, указанным в описании типа АИИС КУЭ.
При обнаружении каких-либо несоответствий по пп. 8.7.1-8.7.3 дальнейшие операции по поверке соответствующего ИК выполняют после устранения несоответствий.
Если указанные выше замечания не были устранены за время поверки, то результаты проверки считаются отрицательными.
8.8 Проверка отсутствия ошибок информационного обменаОперация проверки отсутствия ошибок информационного обмена предусматривает экспериментальное подтверждение идентичности числовой измерительной информации в счетчиках электрической энергии (исходная информация), и памяти центрального сервера.
В момент проверки все технические средства, входящие в проверяемый ИК, должны быть включены.
-
8.8.1 На центральном компьютере (сервере) АИИС КУЭ отображают или распечатывают значения активной и реактивной электрической энергии, зарегистрированные с 30 минутным интервалом за полные предшествующие дню проверки сутки, по всем ИК. Проверяют наличие данных, соответствующих каждому 30 минутному интервалу времени. Пропуск данных не допускается за исключением случаев, когда этот пропуск был обусловлен отключением ИК или устраненным отказом какого-либо компонента АИИС КУЭ.
-
8.8.2 Отображают на экране компьютера или распечатывают журнал событий счетчика и сервера и отмечают моменты нарушения связи между измерительными компонентами АИИС КУЭ. Проверяют сохранность измерительной информации в памяти центрального сервера АИИС КУЭ на интервалах времени, в течение которых была нарушена связь.
-
8.8.3 Отображают на экране компьютера или распечатывают на центральном компьютере (сервере) профиль нагрузки за полные сутки, предшествующие дню поверки. Используя переносной компьютер, считывают через оптический порт профиль нагрузки за те же сутки, хранящийся в памяти счетчика. Различие значений активной (реактивной) мощности, хранящейся в памяти счетчика (с учетом коэффициентов трансформации измерительных трансформаторов) и базе данных центрального сервера не должно превышать одной единицы младшего разряда учтенного значения.
-
8.8.4 Рекомендуется вместе с проверкой по п. 8.8.3 сличать показания счетчика по активной и реактивной электрической энергии строго в конце получаса (часа) и сравнивать с данными, зарегистрированными в центральном компьютере (сервере) АИИС КУЭ для того же момента времени. Для этого визуально или с помощью переносного компьютера через оптический порт считывают показания счетчика по активной и реактивной электрической энергии и сравнивают эти данные (с учетом коэффициентов трансформации измерительных трансформаторов), с показаниями, зарегистрированными в центральном компьютере (сервере) АИИС КУЭ. Расхождение не должно превышать две единицы младшего разряда.
-
8.8.5 Результаты проверки считаются положительными, если выполнены требования пп. 8.8.1-8.8.4.
При обнаружении каких-либо несоответствий по пп. 8.8.1-8.8.4 дальнейшие операции по поверке соответствующего ИК выполняют после устранения несоответствий.
Если указанные выше замечания не были устранены за время поверки, то результаты проверки считаются отрицательными.
9 ПРОВЕРКА ПРОГРАММНОГО ОБЕСПЕЧЕНИЯ-
9.1 Проводят проверку соответствия заявленных идентификационных данных программного обеспечения, указанных в описании типа:
-
- наименование программного обеспечения;
-
- идентификационное наименование программного обеспечения;
-
- номер версии (идентификационный номер) программного обеспечения;
-
- цифровой идентификатор программного обеспечения (контрольная сумма исполняемого кода);
-
- алгоритм вычисления цифрового идентификатора программного обеспечения.
-
9.2 Проверку выполняют в соответствии с Р 50.2.077-2014 «ГСП. Испытания средств измерений в целях утверждения типа. Проверка защиты программного обеспечения» и ГОСТ Р 8.654-2015 «ГСП. Требования к программному обеспечению средств измерений. Основные положения».
-
9.2.1 Проверка документации в части программного обеспечения
На проверку представляют документацию на программное обеспечение: Руководство пользователя. Представленная документация должна соответствовать ГОСТ Р 8.654-2015.
-
9.2.2 Проверка идентификации программного обеспечения АИИС КУЭ
Загружают ПО и в разделе «Справка» проверяют идентификационное наименование и номер версии программного обеспечения.
-
9.2.3 Проверка цифрового идентификатора программного обеспечения
На выделенных модулях ПО проверяют цифровые идентификаторы и алгоритм вычисления цифрового идентификатора.
Проверка цифрового идентификатора программного обеспечения производится на ИВК (сервере), где установлено ПО. Запускают менеджер файлов, позволяющий производить хэширование файлов или специализированное ПО, предоставляемое разработчиком. В менеджере файлов открывают каталог и выделяют файлы, указанные в описании типа АПИС КУЭ. Далее, запустив соответствующую программу, из состава ПО АИИС КУЭ, просчитывают хэш. По результатам формируются файлы, содержащие коды алгоритмов вычисления цифровых идентификаторов в текстовом формате. Наименование файлов алгоритмов вычисления цифровых идентификаторов должно соответствовать наименованию файлов, для которых проводилось хэширование.
-
9.3 Результаты проверки считаются положительными, если:
-
- идентификационное наименование и номер версии программного обеспечения соответствуют заявленным;
-
- цифровые идентификаторы ПО соответствуют указанным в описании типа АИИС КУЭ.
В противном случае результаты проверки считаются отрицательными.
10 ОПРЕДЕЛЕНИЕ МЕТРОЛОГИЧЕСКИХ ХАРАКТЕРИСТИК СРЕДСТВА ИЗМЕРЕНИЙ-
10.1 Расчетными методами проверяют правильность значений характеристик погрешности измерительных каналов АИИС КУЭ, указанных в описании типа АИИС КУЭ.
-
10.2 Границы интервала основной погрешности измерительного канала (ИК) электроэнергии рассчитывают для вероятности Р=0,95 для нормальных условий.
-
10.3 Границы интервала основной относительной погрешности ИК активной электроэнергии вычисляют по формуле (1):
= =1.Ц/<Й- + ~ (1)
где дИК0А - границы интервала основной относительной погрешности ИК активной электроэнергии в % для вероятности 0,95;
дгг - предел допускаемой относительной погрешности по амплитуде трансформатора тока (ТТ) в %;
§в А - границы интервала относительной погрешности измерения активной электроэнергии, обусловленной угловыми погрешностями измерительных трансформаторов в %;
бос - предел допускаемой основной относительной погрешности счетчика электроэнергии в %.
Границы интервала суммарной абсолютной угловой погрешности # в минутах и границы интервала относительной погрешности § к % определяются по формулам:
= (2)
5вА = 0,029-0-tg(p (3)
где 0, - пределы допускаемых угловых погрешностей ТТ в минутах, соответственно;
ср - угол сдвига между векторами первичных тока и напряжения в градусах.
-
10.4 Границы интервала погрешности ИК в рабочих условиях эксплуатации рассчитывают для вероятности 0,95. В качестве рабочих условий используют данные, предусмотренные эксплуатационной документацией на систему.
-
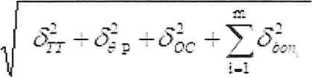
10.5 Границы интервала относительной погрешности ИК активной электроэнергии в рабочих условиях вычисляют по формуле (4):
^ТТ ~ А ~ &ОС “У. (4)
i-1
где - границы интервала относительной погрешности ИК активной электроэнергии в %
для вероятности 0,95;
- те же величины, что и в формуле 1;
8доп - предел относительной допускаемой дополнительной погрешности счетчика электроэнергии в рабочих условиях от i-ой влияющей величины;
m - общее число влияющих величин.
-
10.6 Границы интервала основной относительной погрешности ИК реактивной электроэнергии вычисляют по формуле (5):
&ИК- - р = — ' V &ТТ ~ ~ &ОС
где 8ИКо р - границы интервала основной относительной погрешности ИК реактивной электроэнергии в % для вероятности 0,95;
бос - предел допускаемой основной относительной погрешности счетчика электроэнергии в %;
в р - границы интервала относительной погрешности измерения реактивной электроэнергии, обусловленной угловыми погрешностями измерительных трансформаторов в %;
8вр =0,029- в-ctgO (6)
Остальные величины в формулах (5) и (6) те же, что в формулах (1) и (3).
-
10.7 Границы интервала относительной погрешности ИК реактивной электроэнергии в рабочих условиях вычисляют по формуле (7):
? = —с>— ~ 4 р ~ ~ У. (7)
где 8доп - предел относительной допускаемой дополнительной погрешности счетчика электроэнергии в рабочих условиях от i-ой влияющей величины;
остальные величины те же, что в формулах (1), (3), (4) и (6).
П р имечание - Формулы (1), (4), (5) и (7) даны для случая, когда отклонение внешних влияющих величин от нормальных значений вызывает дополнительные погрешности только у счетчика электроэнергии, а составляющими погрешности измерения электроэнергии, обусловленными погрешностью задания интервала времени интегрирования электрической мощности, погрешностью передачи информации по ГОСТ 4.199-85, погрешностью обработки данных можно пренебречь.
-
10.8 Результаты проверки считаются положительными, если результаты расчетов по формулам (1), (4), (5), (7) совпадают со значениями характеристик погрешностей ИК АИИС КУЭ, указанными в описании типа.
В противном случае результаты проверки считаются отрицательными.
11 ПОДТВЕРЖДЕНИЕ СООТВЕТСТВИЯ СРЕДСТВА ИЗМЕРЕНИЙ МЕТРОЛОГИЧЕСКИМ ТРЕБОВАНИЯМ-
11.1 При положительных результатах проверок по пунктам разделов 7-10 АИИС КУЭ в составе ИК, прошедших поверку, признаётся пригодной к применению (подтверждено соответствие АИИС КУЭ метрологическим требованиям).
-
11.2 При отрицательных результатах проверок по пунктам разделов 7-10 АИИС КУЭ в части ИК, не прошедших поверку, признается непригодной к применению (не подтверждено соответствие АИИС КУЭ метрологическим требованиям).
-
12.1 Сведения о результатах поверки АИИС КУЭ должны быть переданы в Федеральный информационный фонд по обеспечению единства измерений в соответствии с указаниями части 3 статьи 20 Федерального закона от 26.06.2008 г. № 102-ФЗ, аккредитованным на поверку лицом, проводившим поверку, в сроки, установленные Приказом Минпромторга России от 31.07.2020 г. №2510.
-
12.2 По заявлению владельца АИИС КУЭ или лица, представившего АИИС КУЭ на поверку, в случае положительных результатов поверки по п. 11.1 (подтверждено соответствие средства измерений метрологическим требованиям) выдается свидетельство о поверке, оформленное в соответствии с требованиями Приказа Минпромторга России от 31.07.2020 г. № 2510, или в случае отрицательных результатов поверки по п. 11.2 (не подтверждено соответствие средства измерений метрологическим требованиям) выдается извещение о непригодности к применению, по форме и содержанию удовлетворяющее требованиям Приказа Минпромторга России от 31.07.2020 г. № 2510, с указанием причин непригодности.
-
12.3 В приложении к свидетельству о поверке указывают перечень и состав ИК с указанием их наименований, типов, заводских номеров средств измерений (измерительных компонентов) (для счетчиков электрической энергии также указывается условное обозначение модификации и варианта исполнения), прошедших поверку и пригодных к применению. Знак поверки наносится на свидетельство о поверке.
-
12.4 В приложении к извещению о непригодности указывают перечень и состав ИК с указанием их наименований, типов, заводских номеров средств измерений (измерительных компонентов) (для счетчиков электрической энергии также указывается условное обозначение модификации и варианта исполнения), не соответствующих метрологическим требованиям, установленным в описании типа АИИС КУЭ.
-
12.5 Результаты первичной поверки АИИС КУЭ оформляются только после утверждения типа АИИС КУЭ. Допускается при проведении испытаний в целях утверждения типа и опробования методики поверки одновременно оформлять результаты калибровки ИК и использовать их в дальнейшем при поверке АИИС КУЭ при условии выполнения требований Постановления Правительства Российской Федерации от 02.04.2015 г. № 311.
-
12.6 В ходе поверки оформляется протокол поверки, отражающий выполнение процедур по пунктам разделов 7-10 и их результаты. Протокол поверки оформляют в произвольной форме.
-
12.7 АИИС КУЭ должна быть защищена от несанкционированного доступа на физическом (пломбирование средств измерений, входящих в состав АИИС КУЭ, и вторичных измерительных цепей) и программном (обеспечивается средствами защиты используемого ПО) уровне.
Разработал:

А.С. Косьянова
Ведущий инженер по метрологии ООО «ЭнергоПромРесурс»
15