Методика поверки «Датчики горючих и токсичных газов стационарные Sensepoint (Sensepoint, Sensepoint Plus, Sensepoint Pro, Sensepoint RFD, Sensepoint XCD) и Signalpoint (Signalpoint, Signalpoint Pro) "Honeywell Analytics Ltd.", Великобритания» (Код не указан!)
УТВЕРЖДАЮ
Руководитель ГЦИ СИ, Генеральный директор ОАО ФНТЦ «Инверсия»

Б.С. Пункевич
2009 г.
Датчики горючих и токсичных газов стационарные Sensepoint (Sensepoint, Sensepoint Plus, Sensepoint Pro, Sensepoint RFD, Sensepoint XCD) и Signalpoint (Signalpoint, Signalpoint Pro)
«Honeywell Analytics Ltd.», Великобритания
МЕТОДИКА ПОВЕРКИ
2009 г
1 ВВЕДЕНИЕНастоящая методика поверки распространяется на датчики горючих и токсичных газов стационарные Sensepoint (Sensepoint, Sensepoint Plus, Sensepoint Pro, Sensepoint RFD, Sensepoint XCD) и Signalpoint (Signalpoint, Signalpoint Pro) производства фирмы «Honeywell Analytics Ltd.», Великобритания, и устанавливает методы и средства их первичной поверки (при ввозе на территорию РФ и после ремонта) и периодической поверки в процессе эксплуатации.
При эксплуатации датчиков в составе измерительного канала измерительной системы утвержденного типа, при проведении поверки следует руководствоваться утвержденной методикой поверки на систему.
Межповерочный интервал - 1 год.
2 ОПЕРАЦИИ ПОВЕРКИ-
2.1 При проведении поверки должны быть выполнены операции, указанные в таблице 1.
Таблица 1 - Основные операции поверки
Операция поверки |
Номер пункта методики поверки |
Необходимость проведения операции при поверке | |
первичной |
периодической | ||
1 Внешний осмотр |
п.7.1 |
Да |
Да |
2 Опробование |
п.7.2 |
Да |
Да |
3 Определение основной погрешности датчика |
п.7.3 | ||
3.1 Определение основной погрешности датчика по показаниям дисплея |
п.7.3.1 |
Да |
Да |
3.2 Определение погрешности датчика по унифицированному токовому выходу (4-20) мА |
п.7.3.2 |
Да |
Да |
3.3 Определение вариации показаний |
п.7.3.3 |
Да |
Нет |
3.4 Определение времени установления показаний |
п.7.3.4 |
Да |
Нет |
2.2 Если при проведении той или иной операции поверки получен отрицательный резуль
тат, дальнейшая поверка прекращается.
3 СРЕДСТВА ПОВЕРКИ-
3.1 При проведении поверки должны быть применены средства, указанные в таблице 2.
Таблица 2 - Средства поверки
Номер пункта методики поверки |
Наименование эталонного средства измерений или вспомогательного средства поверки, номер документа, регламентирующего технические требования к средству, основные метрологические и технические характеристики |
6,7 |
Термометр лабораторный ТЛ4 по ГОСТ 28498-90, диапазон измерений (0-50) °с, цена деления 0,1 °C Барометр-анероид М-67 по ТУ 2504-1797-75, цена деления 1 мм рт.ст. Психрометр аспирационный М-64-М по ГРПИ 405132.001 ТУ, диапазон измерения относительной влажности (10 - 100) % Секундомер механический соспр-2а-2 30 мин /60 с |
7 |
Азот особой чистоты сорт 1-й по ГОСТ 9293-74 |
Номер пункта методики поверки |
Наименование эталонного средства измерений или вспомогательного средства поверки, номер документа, регламентирующего технические требования к средству, основные метрологические и технические характеристики |
Поверочный нулевой газ - воздух марок А и Б в баллонах под давлением, выпускаемый по ТУ 6-21-5-82 ГСО-ПГС в баллонах под давлением, выпускаемые по ТУ 6-16-2956-92 Генератор газовых смесей ГГС-03-03 по ШДЕК.418313.001 ТУ Генератор термодиффузионный ТДГ-01 по ШДЕК.418319.001 ТУ Источники микропотока газов и паров по ИБЯЛ. 418319.013 ТУ ЭМ ВНИИМ - ПГС в баллонах под давлением, выпускаемые по МИ 2590-2008 ЭС - эталон сравнения, ПГС в баллоне под давлением Поверочные газовые смеси, приготовленные и аттестованные в соответствии с М-МВИ-204-07 "Методика выполнения измерений объемной доли 1,2-дихлорэтана и винилхлорида в газовых смесях с использованием аналитического газового хроматографа "Цвет-500" Поверочные газовые смеси, приготовленные и аттестованные в соответствии с документом Хд 1.456.445 МИ "Методика выполнения измерений массовой концентрации органических компонентов" | |
Примечания:
|
-
4.1 К проведению поверки допускаются лица, ознакомившиеся с руководством по эксплуатации, настоящей методикой поверки, прошедшие инструктаж и проверку знаний работы с электроустановками, ядовитыми газами и сосудами высокого давления.
-
4.2 При поверке должны выполняться "Правила техники безопасности при работе с ядовитыми легколетучими газами" и "Правила устройства и безопасной эксплуатации сосудов, работающих под давлением"(ПБ 03-576-03), утвержденным постановлением № 91 Госгортехнадзора России от 11.06.2003 г.
-
4.3 Помещение, в котором производится поверка, должно иметь приточно-вытяжную вентиляцию и сброс газа за пределы помещения согласно «Правилам безопасности систем газораспределения и газопотребления» (ПБ12-529-03), утвержденным постановлением № 9 ГГТН РФ от 18.03.2003 г.
-
4.4 В помещении запрещается пользоваться открытым огнем и курить.
-
5.1 При проведении поверки соблюдают следующие условия:
-
- температура окружающей среды: (20 ± 5) °C;
-
- атмосферное давление от 84 до 106,7 кПа;
-
- относительная влажность воздуха от 30 до 80 %;
-
- отклонение напряжения питания ± 10 % от номинального значения.
-
5.2 Механические воздействия, электрические и магнитные поля, влияющие на работу датчиков, должны отсутствовать.
-
6.1 Перед проведением поверки выполняют следующие подготовительные работы:
-
- подготавливают датчики к работе в соответствии с технической документацией (далее -ТД) фирмы-изготовителя;
-
- подготавливают к работе средства поверки в соответствии с руководствами по эксплуатации на них;
-
- перед проведением периодической поверки проводят регламентные работы, предусмотренные ТД фирмы-изготовителя.
-
- проверяют наличие и сроки действия паспортов ГСО-ПГС, ЭС, ЭМ ВНИИМ в баллонах под давлением и источников микропотоков (ИМ).
-
7 ПРОВЕДЕНИЕ ПОВЕРКИ
При внешнем осмотре устанавливают соответствие датчиков следующим требованиям:
-
- отсутствие механических повреждений, влияющих на работоспособность датчика;
-
- соответствие комплектности системы технической документации;
-
- исправность органов управления, настройки;
-
- четкость надписей на лицевых панелях.
Датчики считаются выдержавшими внешний осмотр, если они соответствуют указанным выше требованиям.
7.2 Опробование-
7.2.1 Проверка общего функционирования датчиков
Проверку производят при подаче напряжения питания и визуальном контроле работоспособности в соответствии с технической документацией изготовителя.
Результаты проверки считают положительными, если не обнаружено обрыва (замыкания) электрических цепей, что должно подтверждаться отсутствием сигнализации о неисправностях.
-
7.2.2 Проверка нулевых показаний
Проверку проводят при подаче на датчики поверочного нулевого газа (ПИТ, в соответствии с Приложением В) через ротаметр с расходом не более (400 ±100) см3/мин., в течение не менее утроенного номинального времени установления показаний по уровню 0,9 (Тод, приложение Б) для соответствующего определяемого компонента и диапазона измерений. В том случае, если показания датчика отличаются от нулевых более чем на 0,5 основной погрешности, проводят их корректировку в соответствии с документацией изготовителя.
-
7.2.3 Результаты опробования считают положительными, если после включения и прогрева датчиков все технические тесты пройдены успешно и отсутствует информация об отказах и неисправностях.
-
7.3.1 Определение основной погрешности датчика по показаниям дисплея
Определение основной погрешности датчика по показаниям дисплея проводят по схеме, приведенной в приложении Г, при поочередной подаче на датчики ПГС (Приложение В, таблицы В.1 - В.З). в последовательности:
-
- №№ 1—2 — 3—4 — 3 — 2 — 1—4 (при первичной поверке) или №№ 1 - 2 - 3 - 4 (при периодической) - для диапазонов измерений, для которых в таблицах В.1 - В.З указаны 4 точки поверки;
-
- №№ 1—2 — 3—2—1—3 (при первичной поверке) или №№ 1-2-3 (при периодической) -для диапазонов измерений, для которых в таблицах В.1 - В.З указаны 3 точки поверки;
Расход ПГС (400 ± 100) см3/мин, время подачи не менее утроенного номинального времени установления показаний по уровню 0,9 (Тод, приложение Б) для соответствующего определяемого компонента и диапазона измерений.
Подачу ПГС от генераторов ГГС-03-03 и ТДГ-01 осуществлять через тройник, контролируя расход в линии сброса по ротаметру для исключения разбавления ПГС атмосферным воздухом.
При подаче каждой ПГС фиксируют установившиеся показания дисплея поверяемого датчика.
Примечание: поверка датчиков осуществляется по тому определяемому компоненту, по которому соответствующий датчик был отградуирован при поставке на заводе-изготовителе.
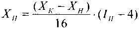
Оценку значения основной приведенной погрешности датчика у, %, рассчитывают по формуле:


•100
(1)
где Хи - результат измерений содержания определяемого компонента в ПГС, объемная доля определяемого компонента, % или млн'1, или довзрывоопасная концентрация, % НКПР;
Хд - действительное значение содержания определяемого компонента в ПГС, объемная доля определяемого компонента, % или млн'1, или довзрывоопасная концентрация, % НКПР;
Хк, Хн - верхняя и нижняя границы диапазона измерений, в котором нормированы пределы основной приведенной погрешности, объемная доля определяемого компонента, % или млн'1, или довзрывоопасная концентрация, % НКПР.
Пересчет значений содержания определяемого компонента, выраженных в объемных долях, %, в % НКПР проводят по формуле:
W/-77/'
(об.д.)
X НКПР
•100
(2)
где %цкпр ’ нижний концентрационный предел распространения пламени определяемого компонента в соответствии с ГОСТ Р 511330.19-99, объемная доля, %.
Оценку значения основной относительной погрешности датчиков, 8, %, рассчитывают по формуле:
у _ у
-
8 = -М00
(3)
Оценку значения основной абсолютной погрешности датчиков А, объемная доля определяемого компонента, % или млн'1, или довзрывоопасная концентрация, % НКПР, рассчитывают по формуле:

(4)
Результаты основной погрешности датчика по показаниям дисплея считают положительными, если полученные значения основной погрешности не превышают пределов, указанных в Приложении Б.
-
7.3.2 Определение основной погрешности датчиков по токовому выходу (4-20) мА
Определение основной погрешности датчика по токовому выходу (4-20) мА проводится по схеме приложения Г при поочередной подаче:
- ПГС № 1 и № 4 - для диапазонов измерений, для которых в таблицах В.1 - В.З указаны 4 точки поверки;
- ПГС № 1 и № 3 - для диапазонов измерений, для которых в таблицах В.1 - В.З указаны 3 точки поверки.
Расход ПГС (400 ± 100) см3/мин, время подачи не менее утроенного номинального времени установления показаний по уровню 0,9 (ТодНом, приложение Б) для соответствующего определяемого компонента и диапазона измерений. При подаче каждой ПГС следует фиксировать установившиеся значения выходного токового сигнала поверяемого датчика.
Оценку значения основной приведенной погрешности рассчитывают по формуле (1), оценку значения основной относительной погрешности - по формуле (2), оценку значения основной абсолютной погрешности - по формуле (3), а результат измерений объемной доли определяемого компонента, Хи, , % или млн'1, рассчитывают по измеренному значению выходного токового сигнала датчика по формуле:

(5)
где Хк, Хн - верхняя и нижняя границы диапазона измерений, соответствующие диапазону аналогового выходного токового сигнала (4-20) мА, объемная доля определяемого компонента, % или млн'1, или довзрывоопасная концентрация, % НКПР;
1И - измеренное значение выходного токового сигнала при подаче ПГС, мА;
Результаты определения основной погрешности датчика по токовому выходу (4-20) мА считают положительными, если полученные значения основной погрешности не превышают пределов, указанных в Приложении Б.
-
7.3.3 Определение вариации выходного сигнала датчиков
Определение вариации выходного сигнала датчиков допускается проводить одновременно с определением основной погрешности по п. 7.3.1 при подаче:
-
- ПГС № 3 - для диапазонов измерений, для которых в таблицах В.1 - В.З указаны 4 точки поверки;
-
- ПГС № 2 - для диапазонов измерений, для которых в таблицах В.1 - В.З указаны 4 точки поверки.
Оценку значения приведенной вариации выходного сигнала датчика, в долях от пределов допускаемой основной приведенной погрешности, следует рассчитывать по формуле:
( тл2(3)\
---±W_J..1OO
(6)
(Хк-Хн)-7о
где Х2Б3\ X2<t3’ - результат измерений объемной доли определяемого компонента в точке по
верки 2 (3) при подходе к ней со стороны больших и меньших значений соответственно, объемная доля, % или млн'1, или довзрывоопасная концентрация, % НКПР;
/0 - пределы допускаемой основной приведенной погрешности, %.
Оценку значения относительной вариации выходного сигнала датчика, в долях от пределов допускаемой основной относительной погрешности, следует рассчитывать по формуле:
JX2(3>-X^)
(7)
где Х2(3) - действительное значение содержания определяемого компонента в ПГС № 2(3), объемная доля, % или млн'1, или довзрывоопасная концентрация, % НКПР;
д0 - пределы допускаемой основной приведенной погрешности, %.
Оценку значения абсолютной вариации выходного сигнала датчика, в долях от пределов допускаемой основной абсолютной погрешности, следует рассчитывать по формуле:
У2<3)
До
(8)
где Ао - пределы допускаемой основной абсолютной погрешности, объемная доля, % или млн'1, или довзрывоопасная концентрация, % НКПР.
Результат определения вариации выходного сигнала датчика считают положительным, если она не превышает 0,5 в долях от пределов допускаемой основной погрешности.
-
7.3.4 Определение времени установления показаний датчиков
Проверку проводят путем скачкообразного измерения концентрации определяемого компонента при подаче на датчик ПГС №2. С помощью секундомера измеряют время от момента подачи ПГС до момента установления показаний, равного 90 % от установившегося значения.
Результат поверки считают положительным, если время установления показаний не превышает пределов, приведенных в Приложении Б.
8 ОФОРМЛЕНИЕ РЕЗУЛЬТАТОВ ПОВЕРКИ-
8.1 При проведении поверки датчиков составляют протокол результатов поверки, форма которого приведена в Приложении А.
-
8.2 Датчики, удовлетворяющие требованиям настоящей методики, признают годными к эксплуатации.
-
8.3 Положительные результаты поверки оформляют свидетельством о поверке установленной формы согласно ПР 50.2.006-94.
-
8.4 При отрицательных результатах поверки эксплуатацию датчиков запрещают и выдают извещение о непригодности установленной формы согласно ПР 50.2.006-94 с указанием причин непригодности.
Г лавный метролог

Н.В. Ильина
ОАО ФИТЦ «Инверсия»
ПРИЛОЖЕНИЕ А(рекомендуемое)
Протокол поверки датчика №_________
Тип: _______________________________
Зав.номер: _________________
Диапазон измерений: _______________
ПГ ___________
Принадлежность СИ: ______________________________
ИНН: _________________________
Место проведения поверки: ________________________
Используемая НД:
Условия поверки:
Тв,°С
Атм.давл.,кПа
Отн.влажн.воздуха,%
Средства поверки:
Наименование (эталона) |
Тип |
Зав. № |
Дата поверки |
пг, КТ | |
1. | |||||
2. | |||||
3. | |||||
4. | |||||
5. |
Внешний осмотр: Вывод: ____________
Опробование: Вывод: _____________
Проверка нулевых показаний: Вывод: _____________
Определение метрологических характеристик:
№ п.п. |
Определяемый компонент |
Действительное значение ГСО - ПГСХд, (% (об.д.), % НКПР, млн’1) |
Показания датчика |
Пределы допускаемой основной погрешности |
Значение абсолютной погрешности, полученное при поверке, (% (об.д.), % НКПР, млн’1) | |
1и? (мА) |
хи, (% (об.д.), % НКПР, млн'1) | |||||
1 | ||||||
2 | ||||||
3 | ||||||
4 | ||||||
5 |
Вывод:
Определение времени установления показаний датчика: Вывод:
Общий вывод: _________________
Поверитель: _________________
Дата ПОВерКИ: (фамилия инициалы)
ПРИЛОЖЕНИЕ Б(справочное)
Основные метрологические характеристики датчиков
Таблица Б.1 - Основные метрологические характеристики датчиков Signalpoint с электрохимическими сенсорами
Определяемый компонент |
Диапазон показаний объемной доли определяемого компонента |
Диапазон измерений объ-емной доли определяемого компонента |
Пределы допускаемой основной погрешности |
Время установления показаний ТОД, с, не более | |
приведенной, % |
относительной, % | ||||
Кислород О2 |
0 - 25 % |
0 - 5 % 5-25 % |
±5 |
±5 |
10 |
Оксид углерода СО |
0-100 млн’1 |
0-20 млн’1 20 - 100 млн’1 |
± 15 |
± 15 |
30 |
0 - 200 млн’1 |
0-20 млн’1 20 - 200 млн’1 |
± 15 |
± 15 |
30 | |
0 - 500 млн’1 |
0-20 млн’1 20 - 500 млн’1 |
± 15 |
± 15 |
30 | |
Сероводород H2S |
0-20 млн’1 |
0-10 млн’1 10-20 млн’1 |
±20 |
±20 |
40 |
0-50 млн’1 |
0-10 млн’1 10-50 млн’1 |
±20 |
±20 |
40 | |
0-100 млн’1 |
0-10 млн’1 10 - 100 млн’1 |
±20 |
±20 |
40 | |
Хлор С12 |
0-5 млн’1 |
0-1 млн’1 1-5 млн’1 |
±20 |
±20 |
225 |
0-15 млн’1 |
0-5 млн'1 5-15 млн'1 |
±20 |
±20 |
225 | |
Аммиак NH3 |
0-50 млн’1 |
0-30 млн'1 30 - 50 млн'1 |
±20 |
±20 |
65 |
0 - 1000 млн’1 |
0-30 млн’1 30- 1000 млн'1 |
±20 |
±20 |
65 |
Таблица Б.2 - Основные метрологические характеристики датчиков Signalpoint Pro с электрохимическими сенсорами
Определяемый компонент |
Диапазон показаний объемной доли определяемого компонента |
Диапазон измерений объ-емной доли определяемого компонента |
Пределы допускаемой основной погрешности |
Время установления показаний ТОД, с, не более | |
приведенной, % |
относительной, % | ||||
Кислород О2 |
0 - 25 % |
0 - 5 % 5-25 % |
±5 |
±5 |
15 |
Оксид углерода СО |
0-100 млн’1 |
0-20 млн'1 20 - 100 млн'1 |
± 15 |
± 15 |
45 |
0 - 200 млн'1 |
0-20 млн'1 20 - 200 млн'1 |
± 15 |
± 15 |
45 | |
0 - 300 млн’1 |
0-20 млн'1 20-300 млн'1 |
± 15 |
± 15 |
45 |
Определяемый компонент |
Диапазон показаний объемной доли определяемого компонента |
Диапазон измерений объ-емной доли определяемого компонента |
Пределы допускаемой основной погрешности |
Время установления показаний ТОД, с, не более | |
приведенной, % |
относительной, % | ||||
0 - 500 млн'1 |
0-20 млн'1 20 - 500 млн'1 |
± 15 |
± 15 |
45 | |
0 - 1000 млн'1 |
0 - 1000 млн'1 |
± 15 |
- |
45 | |
Сероводород H2S |
0-15 млн'1 |
0-10 млн'1 10-15 млн'1 |
±20 |
±20 |
30 |
0-20 млн'1 |
0-10 млн'1 10-20 млн'1 |
±20 |
±20 |
30 | |
0-50 млн'1 |
0-10 млн'1 10-50 млн'1 |
±20 |
±20 |
30 | |
0-100 млн'1 |
0-10 млн'1 10 - 100 млн'1 |
±20 |
±20 |
30 | |
0 - 200 млн'1 |
0-10 млн'1 10 - 200 млн'1 |
±20 |
±20 |
30 | |
0 - 500 млн'1 |
0-10 млн'1 10 - 500 млн'1 |
±20 |
±20 |
30 | |
Аммиак NH3 |
0-50 млн'1 |
0-30 млн'1 30 - 50 млн'1 |
±20 |
±20 |
180 |
0-100 млн'1 |
0-30 млн'1 30- 100 млн'1 |
±20 |
±20 |
180 | |
0 - 200 млн'1 |
0-30 млн'1 30 - 200 млн-1 |
±20 |
±20 |
180 | |
0 - 500 млн’1 |
0-30 млн'1 30 - 500 млн'1 |
±20 |
±20 |
180 | |
0 - 1000 млн'1 |
0-100 млн'1 100-1000 млн'1 |
±20 |
±20 |
210 | |
Диоксид серы SO2 |
0-15 млн'1 |
0-5 млн'1 5-15 млн'1 |
±20 |
±20 |
90 |
Диоксид азота NO2 |
0-10 млн'1 |
0-1 млн'1 1-10 млн'1 |
±20 |
±20 |
60 |
0-20 млн'1 |
0-1 млн' 1 -20 млн'1 |
±20 |
±20 |
60 | |
0-50 млн'1 |
0-5 млн' 5 -50 млн'1 |
±20 |
±20 |
60 | |
Водород Н2 |
0 - 1000 млн'1 |
0 - 1000 млн'1 |
± 10 |
- |
90 |
Таблица Б.З - Основные метрологические характеристики датчиков Sensepoint с электрохимическими сенсорами
Определяемый компонент |
Диапазон показаний объемной доли определяемого компонента |
Диапазон измерений объ-емной доли определяемого компонента |
Пределы допускаемой основной погрешности |
Время установления показаний ТОД, с, не более | |
приведенной, % |
относительной, % | ||||
Кислород О2 |
0 - 25 % |
0 - 5 % 5-25 % |
±5 |
±5 |
10 |
Определяемый компонент |
Диапазон показаний объемной доли определяемого компонента |
Диапазон измерений объ-емной доли определяемого компонента |
Пределы допускаемой основной погрешности |
Время установления показаний ТОД, с, не более | |
приведенной, % |
относительной, % | ||||
Оксид углерода СО |
0-100 млн'1 |
0-20 млн'1 20 - 100 млн'1 |
± 15 |
± 15 |
30 |
0 - 200 млн'1 |
0-20 млн'1 20 - 200 млн'1 |
± 15 |
± 15 |
30 | |
0 - 500 млн'1 |
0-20 млн'1 20 - 500 млн'1 |
± 15 |
± 15 |
30 | |
Сероводород H2S |
0-20 млн'1 |
0-10 млн'1 10 - 20 млн'1 |
±20 |
±20 |
40 |
0-50 млн'1 |
0-10 млн'1 10-50 млн'1 |
±20 |
±20 |
40 | |
0-100 млн'1 |
0-10 млн'1 10 - 100 млн'1 |
±20 |
±20 |
40 | |
Хлор С12 |
0-5 млн'1 |
0-1 млн'1 1-5 млн'1 |
±20 |
±20 |
105 |
0-15 млн'1 |
0-5 млн'1 5-15 млн'1 |
±20 |
±20 |
105 | |
Аммиак NH3 |
0-50 млн'1 |
0-30 млн'1 30 - 50 млн'1 |
±20 |
±20 |
65 |
0-100 млн'1 |
0-30 млн'1 30- 100 млн'1 |
±20 |
±20 |
65 | |
0 - 1000 млн'1 |
0-100 млн'1 100 - 1000 млн' 1 |
±20 |
±20 |
65 | |
Диоксид серы SO2 |
0-15 млн'1 |
0-5 млн'1 5-15 млн'1 |
±20 |
±20 |
90 |
0-50 млн'1 |
0-5 млн'1 5 -50 млн'1 |
±20 |
±20 |
90 | |
Диоксид азота no2 |
0-10 млн'1 |
0-1 млн'1 1-10 млн'1 |
±20 |
±20 |
60 |
Водород Н2 |
0 - 1000 млн'1 |
0 - 1000 млн'1 |
± 10 |
- |
45 |
0 - 10000 млн'1 |
0 - 10000 млн'1 |
± 10 |
- |
45 | |
Оксид азота NO |
0-100 млн'1 |
0-20 млн'1 20-100 млн'1 |
±20 |
±20 |
30 |
Таблица Б.4 - Основные метрологические характеристики датчиков Sensepoint Plus с электрохимическими сенсорами
Определяемый компонент |
Диапазон показаний объемной доли определяемого компонента |
Диапазон измерений объ-емной доли определяемого компонента |
Пределы допускаемой основной погрешности |
Время установления показаний ТОД, с, не более | |
приведенной, % |
относительной, % | ||||
Кислород О2 |
0 - 25 % |
0 - 5 % 5-25 % |
±5 |
±5 |
15 |
Оксид углерода СО |
0 - 200 млн’1 |
0-20 млн'1 20 - 200 млн'1 |
± 15 |
± 15 |
20 |
Определяемый компонент |
Диапазон показаний объемной доли определяемого компонента |
Диапазон измерений объ-емной доли определяемого компонента |
Пределы доп} НОЙ ПОГ1 |
'скаемой основ-решности |
Время установления показаний ТОД, с, не более |
приведенной, % |
относительной, % | ||||
0 - 500 млн'1 |
0-20 млн'1 20 - 500 млн'1 |
± 15 |
± 15 |
30 | |
Сероводород H2S |
0-20 млн'1 |
0-10 млн'1 10-20 млн'1 |
±20 |
±20 |
20 |
0-50 млн'1 |
0-10 млн'1 10-50 млн'1 |
±20 |
±20 |
20 | |
0-100 млн'1 |
0-10 млн'1 10 - 100 млн'1 |
±20 |
±20 |
30 | |
Водород Н2 |
0 - 1000 млн'1 |
0 - 1000 млн'1 |
± 10 |
- |
90 |
Таблица Б.5 - Основные метрологические характеристики датчиков Sensepoint Pro с электрохимическими сенсорами
Определяемый компонент |
Диапазон показаний объемной доли определяемого компонента |
Диапазон измерений объем-ной доли определяемого компонента |
Пределы доп} ной пог |
'скаемой основ-решности |
Время установления показаний ТОД, с, не более |
приведенной, % |
относительной, % | ||||
Кислород О2 |
0 - 25 % |
0 - 5 % 5-25 % |
±5 |
±5 |
60 |
Оксид углерода СО |
0 - 200 млн'1 |
0-20 млн'1 20 - 200 млн'1 |
± 15 |
± 15 |
24 |
0 - 500 млн'1 |
0-20 млн'1 20 - 500 млн'1 |
± 15 |
± 15 |
24 | |
Сероводород H2S |
0-20 млн'1 |
0-10 млн'1 10-20 млн'1 |
±20 |
±20 |
20 |
0-50 млн'1 |
0-10 млн'1 10-50 млн'1 |
±20 |
±20 |
30 | |
0-100 млн'1 |
0-10 млн'1 10 - 100 млн'1 |
±20 |
±20 |
30 |
Таблица Б.6 - Основные метрологические характеристики датчиков Sensepoint XCD с электрохимическими сенсорами и инфракрасным сенсором на СО2
Определяемый компонент |
Диапазон показаний объемной доли определяемого компонента |
Диапазон измерений объемной доли определяемого компонента |
Пределы доп} ной пог |
гскаемой основ- решности |
Время установления показаний ТОД, с, не более |
приведенной, % |
относительной, % | ||||
Кислород О2 |
0 - 25 % |
0 - 5 % 5-25 % |
±5 |
±5 |
30 |
Оксид углерода СО |
0-100 млн'1 |
0-20 млн'1 20 - 100 млн'1 |
± 15 |
± 15 |
30 |
0 - 200 млн'1 |
0-20 млн'1 20 - 200 млн'1 |
± 15 |
± 15 |
30 | |
0 - 300 млн'1 |
0-20 млн'1 20 - 300 млн'1 |
± 15 |
±15 |
30 |
Определяемый компонент |
Диапазон показаний объемной доли определяемого компонента |
Диапазон измерений объем-ной доли определяемого компонента |
Пределы доп> ной пог |
гскаемой основ- решности |
Время установления показаний ТОД, с, не более |
приведенной, % |
относительной, % | ||||
0 - 500 млн'1 |
0-20 млн'1 20- 500 млн'1 |
± 15 |
± 15 |
30 | |
0 - 1000 млн'1 |
0 - 1000 млн'1 |
± 15 |
- |
30 | |
Сероводород H2S |
0-10 млн'1 |
0-10 млн'1 |
±20 |
50 | |
0-20 млн'1 |
0-10 млн'1 10 - 20 млн'1 |
±20 |
±20 |
50 | |
0-50 млн'1 |
0-10 млн'1 10-50 млн'1 |
±20 |
±20 |
50 | |
0-100 млн'1 |
0-10 млн'1 10 - 100 млн'1 |
±20 |
±20 |
50 | |
Водород Н2 |
0 - 1000 млн'1 |
0 - 1000 млн'1 |
± 10 |
- |
65 |
Диоксид углерода СО2 |
0 - 2 % |
0-2% |
±2 |
- |
30 |
Таблица Б.7 - Основные метрологические характеристики датчиков Signalpoint, Senese-point, Sensepoint Plus, Sensepoint Pro, Sensepoint RFD, Sensepoint XCD - для контроля горючих газов с использованием термокаталитических сенсоров
№ п/п |
Наименование (англ.) |
Наименование (рус.) |
Диапазон измерений объемной доли определяемого компонента, % |
Пределы допускаемой основной абсолютной погрешности, объемная доля определяемого компонента, % |
1 |
acetaldehyde |
ацетальдегид |
от 0 до 2 |
0,20 |
2 |
acetic acid |
уксусная кислота |
от 0 до 2 |
0,20 |
3 |
acetic anhydride |
уксусный ангидрид |
от 0 до 1 |
0,10 |
4 |
acetone |
ацетон |
от 0 до 1,25 |
0,13 |
5 |
acetylene |
ацетилен |
от 0 до 1,15 |
0,12 |
6 |
ammonia |
аммиак |
от 0 до 7,5 |
0,75 |
7 |
aniline |
анилин |
от 0 до 0,6 |
0,06 |
8 |
benzene |
бензол |
от 0 до 0,6 |
0,06 |
9 |
1,3-butadiene |
1,3-бутадиен |
от 0 до 0,7 |
0,07 |
10 |
iso-butane |
изобутан |
от 0 до 0,65 |
0,07 |
11 |
n-butane |
н-бутан |
от 0 до 0,7 |
0,07 |
12 |
1-butene |
1-бутен (СдНк) |
от 0 до 0,8 |
0,08 |
13 |
cis-butene-2 |
цис-бутен-2 (СдНя) |
от 0 до 0,85 |
0,09 |
14 |
trans-butene-2 |
транс-бутен-2 (СдЩ) |
от 0 до 0,85 |
0,09 |
15 |
iso-butyl alcohol |
изобутиловый спирт (2-бутанол) |
от 0 до 0,95 |
0,10 |
16 |
n-butyl alcohol |
н-бутиловый спирт (1-бутанол) |
от 0 до 0,85 |
0,09 |
17 |
tert-butyl alcohol |
терт-бутиловый спирт (2-метил-2-пропанол) |
от 0 до 0,9 |
0,09 |
№ п/п |
Наименование (англ.) |
Наименование (рус.) |
Диапазон измерений объемной доли определяемого компонента, % |
Пределы допускаемой основной абсолютной погрешности, объемная доля определяемого компонента, % |
18 |
iso-butylene |
изобутилен (2-метил-1-пропен) |
от 0 до 0,8 |
0,08 |
19 |
n-butyric acid |
СдНяСЬ, масляная кислота (1 -бутен-1,4-диол) |
от 0 до 1,1 |
0,11 |
20 |
carbon monoxide |
оксид углерода |
от 0 до 5,45 |
0,55 |
21 |
carbonyl sulfide |
карбонил сульфид (углерод сульфидоксид) |
от 0 до 3,25 |
0,33 |
22 |
chlorobenzene |
хлорбензол |
от 0 до 0,7 |
0,07 |
23 |
cyclohexane |
циклогексан |
от 0 до 0,6 |
0,06 |
24 |
cyclopropane |
циклопропан |
от 0 до 1,2 |
0,12 |
25 |
n-decane |
н-декан |
от 0 до 0,35 |
0,04 |
26 |
diethyl ether |
диэтиловый эфир |
от 0 до 0,85 |
0,09 |
27 |
di(iso-propyl) ether |
диизопропиловый эфир |
от 0 до 0,5 |
0,05 |
28 |
dimethyl butane |
диметилбутан |
от 0 до 0,65 |
0,07 |
29 |
dimethyl ether |
диметиловый эфир |
от 0 до 1,35 |
0,14 |
30 |
dimethyl sulfide |
диметилсульфид |
от 0 до 1,1 |
0,11 |
31 |
1,4-dioxane |
1,4-диоксан |
от 0 до 0,95 |
0,10 |
32 |
ethane |
этан |
от 0 до 1,25 |
0,13 |
33 |
ethyl acetate |
этилацетат |
от 0 до 1,1 |
0,11 |
34 |
ethyl alcohol |
этиловый спирт |
от 0 до 1,55 |
0,16 |
35 |
ethyl amine |
этил амин |
от 0 до 1,34 |
0,13 |
36 |
ethyl benzene |
этилбензол |
от 0 до 1 |
0,05 |
37 |
ethyl bromide |
этилбромид |
от 0 до 3,35 |
0,34 |
38 |
ethyl chloride |
этилхлорид |
от 0 до 1,8 |
0,18 |
39 |
ethyl formate |
этилформиат |
от 0 до 1,35 |
0,14 |
40 |
ethyl mercaptan |
этилмеркаптан (этантиол) |
от 0 до 1,4 |
0,14 |
41 |
ethyl methyl ether |
метилэтиловый эфир |
от 0 до 1 |
0,10 |
42 |
methyl ethyl ketone |
метилэтилкетон (2-бутанон) |
от 0 до 0,95 |
0,10 |
43 |
ethylene |
этилен |
от 0 до 1,15 |
0,12 |
44 |
ethylene dichloride |
Этилен дихлорид (1,2-дихлорэтан) |
от 0 до 3,1 |
0,31 |
45 |
ethylene oxide |
этиленоксид |
от 0 до 1,3 |
0,13 |
46 |
iso-heptane |
изогептан (2-метилгексан) |
от 0 до 0,55 |
0,06 |
47 |
n-heptane |
н-гептан |
от 0 до 0,55 |
0,06 |
48 |
iso-hexane |
изо-гексан |
от 0 до 0,58 |
0,06 |
49 |
n-hexane |
н-гексан |
от 0 до 0,5 |
0,05 |
50 |
hydrazine |
гидразин N2H4 |
от 0 до 2,35 |
0,24 |
51 |
hydrogen |
водород |
от 0 до 2 |
0,20 |
52 |
hydrogen sulfide |
сероводород |
от 0 до 2 |
0,20 |
№ п/п |
Наименование (англ.) |
Наименование (рус.) |
Диапазон измерений объемной доли определяемого компонента, % |
Пределы допускаемой основной абсолютной погрешности, объемная доля определяемого компонента, % |
53 |
methane |
метан |
от 0 до 2,2 |
0,22 |
54 |
methyl acetate |
метилацетат |
от 0 до 1,6 |
0,16 |
55 |
methyl alcohol |
метанол |
от 0 до 2,75 |
0,28 |
56 |
methyl amine |
метиламин |
от 0 до 2,1 |
0,21 |
57 |
methyl bromide |
метилбромид (бромме-тан) |
от 0 до 5 |
0,50 |
58 |
methyl chloride |
метилхлорид (хлорметан) |
от 0 до 3,8 |
0,38 |
59 |
methyl cyclohexane |
метилциклогексан |
от 0 до 0,55 |
0,06 |
60 |
methyl formate |
метилформиат |
от 0 до 2,5 |
0,25 |
61 |
methyl mercaptan |
метилмеркаптан (метан-тиол) |
от 0 до 2,05 |
0,21 |
62 |
methyl propionate |
метил пропионат, метиловый эфир пропионовой кислоты |
от 0 до 1,1 |
0,11 |
63 |
methyl propyl ketone |
метилпропилкетон, 2-пентанон |
от 0 до 0,78 |
0,08 |
64 |
methylene chloride |
метиленхлорид(дихлор-метан) |
от 0 до 7 |
0,70 |
65 |
nitromethane |
нитрометан |
от 0 до 3,65 |
0,37 |
66 |
n-nonane |
н-нонан |
от 0 до 0,35 |
0,04 |
67 |
n-octane |
н-октан |
от 0 до 0,4 |
0,04 |
68 |
iso-pentane |
изопентан (2-метилбутан) |
от 0 до 0,68 |
0,07 |
69 |
n-pentane |
н-пентан |
от 0 до 0,7 |
0,07 |
70 |
neo-pentane |
неопентан (2,2- диметилпропан, тетраме-тилметан, 2-метилизобутан) |
от 0 до 0,69 |
0,07 |
71 |
1-pentene |
1-пентен (амилен, пропи-лэтилен) |
от 0 до 0,7 |
0,07 |
72 |
propane |
пропан |
от 0 до 0,85 |
0,09 |
73 |
propene |
пропен(пропилен) |
от 0 до 2 |
0,10 |
74 |
iso-propyl alcohol |
изопропиловый спирт (2-пропанол) |
от 0 до 1 |
0,10 |
75 |
n-propyl alcohol |
пропиловый спирт (1-пропанол) |
от 0 да 1,1 |
0,11 |
76 |
n-propyl amine |
пропиламин |
от 0 до 1 |
0,10 |
77 |
n-propyl chloride |
1 -хлорпропан |
от 0 до 1,2 |
0,12 |
78 |
1,2-propylene oxide |
1,2-пропиленоксид (эпоксипропен) |
от 0 до 0,95 |
0,10 |
79 |
propyne |
пропин (метилацетилен) |
от 0 до 0,85 |
0,09 |
80 |
toluene |
толуол |
от 0 до 0,55 |
0,06 |
81 |
triethyl amine |
триэтиламин |
от 0 до 0,6 |
0,06 |
№ п/п |
Наименование (англ.) |
Наименование (рус.) |
Диапазон измерений объемной доли определяемого компонента, % |
Пределы допускаемой основной абсолютной погрешности, объемная доля определяемого компонента, % |
82 |
trimethyl amine |
триметиламин |
от 0 до 1 |
0,10 |
83 |
vinyl chloride |
винилхлорид |
от 0 до 0,9 |
0,09 |
84 |
m-xylene |
м-ксилол (1,3-диметилбензол) |
от 0 до 0,55 |
0,06 |
85 |
o-xylene |
о-ксилол (1,2-диметилбензол) |
от 0 до 0,5 |
0,05 |
86 |
p-xylene |
п-ксилол (1,4-диметилбензол) |
от 0 до 0,55 |
0,06 |
87 |
3-ethoxy-1-propanol |
3 -этокси-1 -пропанол |
от 0 до 1,15 |
0,12 |
88 |
4-Methyl-2-pentanone |
4-метил-2-пентанон |
от 0 до 0,6 |
0,06 |
89 |
Buthylacetate lit) |
Бутилацетат |
от 0 до 0,65 |
0,07 |
90 |
Cyclohexanon |
Циклогексанон |
от 0 до 0,5 |
0,05 |
91 |
Propyleneoxide |
Пропиленоксид |
от 0 до 0,95 |
0,10 |
92 |
Styrene (styrol) |
Стирол |
от 0 до 0,55 |
0,06 |
93 |
T etr ahydrofur an |
Т етрогидрофуран |
от 0 до 0,75 |
0,08 |
Примечание: номинальное время установления показаний Тод:
а) с пластиковым наконечником для защиты от атмосферных воздействий и с водоотталкивающим барьером - не более 13,5 с; б) с пластиковым наконечником для защиты от атмосферных воздействий и без водоотталкивающего барьера - не более 11,0 с; в) с металлическим наконечником для защиты от атмосферных воздействий и с водоотталкивающим барьером - не более 19,5 с; г) с металлическим наконечником для защиты от атмосферных воздействий и без водоотталкивающего барьера - не более 16,0 с; д) без наконечника для защиты от атмосферных воздействий и без водоотталкивающего барьера - не более 8,5 с;
|
Таблица Б.9 - Основные метрологические характеристики датчиков Sensepoint XCD для контроля горючих газов с использованием инфракрасных сенсоров.
Наименование определяемого компонента (англ.) |
Наименование определяемого компонента (рус.) |
Диапазон измерений объемной доли определяемого компонента, % |
Пределы допускаемой основной абсолютной погрешности |
Methane |
Метан |
от 0 до 100 * |
± 3 % (об.д.) в диапазоне от 0 до 60 % (об.д.), ± 5 % отн. в диапазоне свыше 60 до |
Наименование определяемого компонента (англ.) |
Наименование определяемого компонента (рус.) |
Диапазон измерений объемной доли определяемого компонента, % |
Пределы допускаемой основной абсолютной погрешности |
100 % (об.д.) | |||
Methane |
Метан |
от 0 до 5 * |
± 0,2 % (об.д.) в диапазоне от 0 до 2 % (об.д.), ±10% отн. в диапазоне свыше 2 до 5 % (об.д.) |
Methane |
Метан |
от 0 до 100% НКПР |
± 0,22 % (об.д.) |
Ethane |
Этан |
от 0 до 1,25 |
±0,13 %(об.д.) |
Propane |
Пропан |
от 0 до 1,7 * |
± 0,085 % (об.д.) в диапазоне от 0 до 0,85 % (об.д.), ± 10 % отн. в диапазоне свыше 0,85 до 1,7 % (об.д.) |
Butane |
Бутан |
от 0 до 0,7 |
± 0,07 % (об.д.) |
Acetone |
Ацетон |
от 0 до 1,25 |
±0,13 %(об.д.) |
Butan-l-ol |
Бутиловый спирт |
от 0 до 0,85 |
± 0,09 % (об.д.) |
Butyl acetate |
Бутилацетат |
от 0 до 0,65 |
± 0,07 % (об.д.) |
Butanone |
2-бутанон (метилэ-тил кетон) |
от 0 до 0,95 |
±0,10% (об.д.) |
Cyclohexane |
Циклогексан |
от 0 до 0,6 |
± 0,06 % (об.д.) |
Cyclohexanone |
Циклогексанон |
от 0 до 0,5 |
± 0,05 % (об.д.) |
Ethanol |
Этанол |
от 0 до 1,55 |
±0,16 % (об.д.) |
Ethyl acetate |
Этилацетат |
от 0 до 1,1 |
±0,11 %(об.д.) |
Heptane |
Гептан |
от 0 до 0,55 |
± 0,06 % (об.д.) |
Hexane |
Гексан |
от 0 до 0,5 |
± 0,05 % (об.д.) |
Propan-2-ol |
Изопропиловый спирт |
от 0 до 1 |
± 0,10 % (об.д.) |
Methanol |
Метанол |
от 0 до 2,75 |
± 0,28 % (об.д.) |
Toluene |
Толуол |
от 0 до 0,55 |
± 0,06 % (об.д.) |
o-Xylene |
О-ксилол |
от 0 до 0,5 |
± 0,05 % (об.д.) |
Diethyl ether |
Диэтиловый эфир |
от 0 до 0,85 |
± 0,09 % (об.д.) |
p-Xylene |
П-ксилол |
от 0 до 0,55 |
± 0,06 % (об.д.) |
Pentanes |
Пентан (смесь изомеров) |
от 0 до 0,7 |
± 0,07 % (об.д.) |
Octane |
Октан |
от 0 до 0,4 |
± 0,04 % (об.д.) |
Isobutane |
Изобутан |
от 0 до 0,65 |
± 0,07 % (об.д.) |
Наименование определяемого компонента (англ.) |
Наименование определяемого компонента (рус.) |
Диапазон измерений объемной доли определяемого компонента, % |
Пределы допускаемой основной абсолютной погрешности |
Chloroethane |
Хлорэтан (этилхло-рид) |
от 0 до 1,8 |
±0,18 % (об.д.) |
Propan- l-ol |
1-пропанол (пропиловый спирт) |
от 0 да 1,1 |
±0,11 %(об.д.) |
1,2-Dichloroethane |
1,2-дихлорэтан (этиленхлорид) |
от 0 до 3,1 |
±0,31 %(об.д.) |
Dimethylether |
Диметиловый эфир |
от 0 до 1,35 |
±0,14 % (об.д.) |
Propene |
Пропен (пропилен) |
от 0 до 2 |
± 0,10 % (об.д.) |
Примечания
-
1) Время установления показаний ТО,9 не более 40с;
-
2) Диапазоны измерений объемной доли определяемого компонента, приведенные в таблице за исключением отмеченных знаком «*», соответствуют диапазону измерений довзрывоопасных концентраций от 0 до 50 % НКПР, пределы допускаемой основной абсолютной погрешности ± 5 % НКПР.
(справочное)
Технические характеристики ПГС, используемых для поверки датчиков
Таблица В.1 - Технические характеристики ПГС, используемых для поверки датчиков с электрохимическими сенсорами
Определяемый компонент |
Диапазон показаний объемной доли определяемого компонента |
Диапазон измерений объемной доли определяемого компонента |
Номинальное значение объемной доля определяемого компонента в ПГС |
Источник получения ПГС (см. примечания к таблице) | |||
ПГС №1 |
ПГС №2 |
ПГС №3 |
ПГС №4 | ||||
Кислород О2 |
0 - 25 % |
0 - 5 % 5-25 % |
пнг* |
4,0 |
13 |
24 |
ГСО О2/азот № 3726-87 по ТУ-6- 16-2956-92 |
Оксид углерода СО |
0 - 100 млн"1 |
0-20 млн"1 20 - 100 млн"1 |
пнг |
18 |
60 |
92 |
ГСО СО/азот № 3798-87, 3804-87 по ТУ-6-16-2956-92 |
0 - 200 млн"1 |
0-20 млн"1 20 - 200 млн"1 |
пнг |
18 |
110 |
182 |
ГСО СО/азот № 3798-87, 3806-87 по ТУ-6-16-2956-92 | |
0 - 300 млн"1 |
0-20 млн"1 20 - 300 млн"1 |
пнг |
18 |
160 |
282 |
ГСО СО/азот № 3798-87, 3806-87 по ТУ-6-16-2956-92 | |
0 - 500 млн"1 |
0-20 млн’1 20 - 500 млн"1 |
пнг |
18 |
260 |
452 |
ГСО СО/азот № 3798-87, 3808-87 по ТУ-6-16-2956-92 | |
0 - 1000 млн"1 |
0 - 1000 млн"1 |
пнг |
475 |
950 |
ГСО СО/азот № 3808-87, 3810-87 по ТУ-6-16-2956-92 | ||
Сероводород H2S |
0-10 млн"1 |
0-10 млн"1 |
пнг |
5 |
9 |
ГСО H2S/a3OT № 8368-2003 по ТУ-6-16-2956-92 | |
0-15 млн"1 |
0-10 млн"1 10 - 15 млн"1 |
пнг |
9 |
15 |
ГСО H2S/a3OT № 8368-2003 по ТУ-6-16-2956-92 | ||
0-20 млн"1 |
0-10 млн"1 10-20 млн"1 |
пнг |
9 |
18 |
ГСО H2S/a3OT № 8368-2003 по ТУ-6-16-2956-92 | ||
0-50 млн"1 |
0-10 млн"1 10-50 млн’1 |
пнг |
9 |
25 |
45 |
ГСО H2S/a3OT № 8368-2003, 8369- 2003 по ТУ-6-16-2956-92 | |
0-100 млн"1 |
0-10 млн’1 10 - 100 млн’1 |
пнг |
9 |
55 |
90 |
ГСО H2S/a3OT № 8368-2003, 8369- |
Определяемый компонент |
Диапазон показаний объемной доли определяемого компонента |
Диапазон измерений объемной доли определяемого компонента |
Номинальное значение объемной доля определяемого компонента в пгс |
Источник получения ПГС (см. примечания к таблице) | |||
пгс №1 |
пгс №2 |
ПГС №3 |
ПГС №4 | ||||
2003 по ТУ-6-16-2956-92 | |||||||
0 - 200 млн'1 |
0-10 млн'1 10 - 200 млн'1 |
пнг |
9 |
110 |
190 |
ГСО Н2Б/азот № 8368-2003, 4281-88 по ТУ-6-16-2956-92 | |
0 - 500 млн'1 |
0-10 млн'1 10 - 500 млн'1 |
пнг |
9 |
260 |
490 |
ГСО Н2Б/азот №8368-2003, 4282-88 по ТУ-6-16-2956-92 | |
Хлор С12 |
0-5 млн'1 |
0-1 млн'1 1-5 млн'1 |
пнг |
0,9 |
3,0 |
4,5 |
Генератор ТДГ-01 с ИМ хлора по ИБЯЛ.418319.013 ТУ |
0-15 млн'1 |
0-5 млн'1 5-15 млн'1 |
пнг |
5 |
8 |
14 |
-/- | |
Аммиак NH3 |
0-50 млн'1 |
0-30 млн'1 30 - 50 млн'1 |
пнг |
25 |
45 |
Генератор ГГС-03-03 с ГСО NH3/a3OT № 4277-88 по ТУ 6-16-2956-92 | |
0-100 млн'1 |
0-30 млн'1 30- 100 млн'1 |
пнг |
27 |
65 |
93 |
-/- | |
0 - 200 млн'1 |
0-30 млн'1 30 - 200 млн'1 |
пнг |
27 |
93 |
180 |
-/- | |
0 - 500 млн'1 |
0-30 млн'1 30 - 500 млн'1 |
пнг |
27 |
210 |
460 |
Генератор ГГС-03-03 с ГСО NH3/a3OT № 4279-88 по ТУ-6-16-2956-92 | |
0 - 1000 млн'1 |
0-100 млн'1 100 - 1000 млн'1 |
пнг |
90 |
500 |
900 |
Генератор ГГС-03-03 с ГСО NH3/a3OT №4921-2001 по ТУ-6-16-2956-92 | |
Диоксид серы SO2 |
0-15 млн'1 |
0-5 млн'1 5-15 млн'1 |
пнг |
4,5 |
15 |
ГСО БО2/азот № 8372-2003 по ТУ-6-16-2956-92 | |
0-50 млн'1 |
0-5 млн'1 5-50 млн'1 |
пнг |
4,5 |
25 |
45 |
ГСО БО2/азот № 8372-2003, 8373- 2003 | |
Оксид азота NO |
0 -100 млн'1 |
0-20 млн'1 20-100 млн'1 |
пнг |
20 |
50 |
90 |
ГСО NO/азот № 8374-2003, 8375- 200 по ТУ-6-16-2956-92 |
Диоксид азота NO2 |
0-10 млн'1 |
0-1 млн'1 1-10 млн'1 |
пнг |
1 |
5 |
9 |
ГСО NO2/a3OT № 8370-2003 по ТУ-6-16-2956-92 |
Определяемый компонент |
Диапазон показаний объемной доли определяемого компонента |
Диапазон измерений объемной доли определяемого компонента |
Номинальное значение объемной доля определяемого компонента в ПГС |
Источник получения ПГС (см. примечания к таблице) | |||
ПГС №1 |
ПГС №2 |
ПГС №3 |
ПГС №4 | ||||
0-20 млн'1 |
0 - 1 млн'1 1 -20 млн'1 |
ПНГ |
1 |
10 |
18 |
ГСО ЖУ/азот № 8370-2003, по ТУ-6-16-2956-92 | |
0-50 млн'1 |
0-5 млн'1 5-50 млн'1 |
ПНГ |
5 |
25 |
45 |
ГСО ЖУ/азот № 8370-2003, № 8371-2003 по ТУ-6-16-2956-92 | |
Водород Н2 |
0 - 1000 млн'1 |
0 - 1000 млн'1 |
ПНГ |
500 |
900 |
ГГС-03-03 с ГСО Н2/азот № 9168-2008 по ТУ-6-16-2956-92 | |
0 - 10000 -1 млн |
0 - 10000 млн'1 |
ПНГ |
5000 |
9000 |
ГСО Н2/воздух № 3947-87 по ТУ-6-16-2956-92 | ||
Диоксид углерода СОг |
0-2% |
0 - 2 % |
ПНГ |
1,0 |
1,9 |
- |
ГСО СО2/азот № 3763-87 |
Примечания
1) ПНГ * - азот особой чистоты сорт 1-й по ГОСТ 9293-74;
-
2) ПНГ - поверочный нулевой газ - воздух марки А в баллонах под давлением, выпускаемый по ТУ 6-21-5-82;
-
3) ГСО-ПГС в баллонах под давлением, выпускаемые по ТУ 6-16-2956-92. Пределы допускаемого отклонения от номинального значения и погрешность аттестации содержания определяемого компонента в ГСО-ПГС в соответствии с ТУ 6-16-2956-92;
-
4) Генератор термодиффузионный ТДГ-01 по 1ПДЕК.418319.001 ТУ, допуск на приготовление ПГС± 10%;
-
5) Генератор газовых смесей ГГС-03-03 по ШДЕК.418313.001 ТУ, допуск на приготовление ПГС ± 10%;
-
6) Источники микропотока газов и паров по ИБЯЛ. 418319.013 ТУ;
-
7) Изготовитель и поставщик ГСО-ПГС:
-
- ООО "Мониторинг", 190005, Россия, г. Санкт-Петербург, Московский пр.,19. тел. (812) 315-11-45, факс 327-97-76;
-
- ФГУП "СПО "Аналитприбор", 214031Россия, г. Смоленск, ул. Бабушкина, 3, тел. (4812) 51-32-39;
-
- ОАО "Линде Газ Рус", 143907, Россия, Московская обл., г. Балашиха, ул. Белякова, 1-а; тел: (495) 521-15-65, 521-48-83, 521-30-13; факс: 521-27-68;
-
- ЗАО “Лентехгаз”, 192148, Санкт-Петербург, Большой Смоленский проспект, д. 11, тел. (812) 265-18-29, факс 567-12-26.;
-
- ООО "ПГС - Сервис", 624250, Россия, Свердловская область, г.Заречный ул.Попова 9-А, тел. (34377) 7-29-11, тел./факс (34377) 7-29-44,
Таблица В.2 - Технические характеристики ПГС, используемых для поверки датчиков с термокаталитическими сенсорами
№ п/ п |
Наименование (англ.) |
Наименование (РУС.) |
Диапазон измерений объемной доли определяемого компонен-та, % |
Объемная доля определяемого компонента в ПГС, % (пределы допус каемого отклонения ±10%) |
Источник получения ПГС для поверки | ||
ПГС № 1 |
ПГС №2 |
ПГС №3 | |||||
1 |
acetaldehyde |
ацетальдегид |
от 0 до 2 |
пнг |
1,0 |
1,8 |
ЭС Хд.2.706.136- ЭТ225 |
2 |
acetic acid |
уксусная кислота |
от 0 до 2 |
пнг |
1,0 |
1,8 |
Хд 1.456.445 МИ |
3 |
acetic anhydride |
уксусный ангидрид |
от 0 до 1 |
пнг |
0,5 |
0,9 |
Хд 1.456.445 МИ |
4 |
acetone |
ацетон |
от 0 до 1,25 |
пнг |
0,6 |
1,1 |
Хд 1.456.445 МИ |
5 |
acetylene |
ацетилен |
от 0 до 1,15 |
пнг |
0,6 |
1,0 |
ЭС Хд.2.706.136- ЭТ226 |
6 |
ammonia |
аммиак |
от 0 до 7,5 |
пнг |
3,8 |
6,8 |
ЭМ 06.01.717 |
7 |
aniline |
анилин |
от 0 до 0,6 |
пнг |
0,3 |
0,5 |
Хд 1.456.445 МИ |
8 |
benzene |
бензол |
от 0 до 0,6 |
пнг |
0,3 |
0,5 |
ЭМ 06.01.903 |
9 |
1,3-butadiene |
1,3-бутадиен |
от 0 до 0,7 |
пнг |
0,4 |
0,6 |
ЭС Хд.2.706.136- ЭТ227 |
10 |
iso-butane |
изобутан |
от 0 до 0,65 |
пнг |
0,3 |
0,6 |
ГСО 5905-91 |
И |
n-butane |
н-бутан |
от 0 до 0,7 |
пнг |
0,4 |
0,6 |
ГСО 4293-88, 4294-88 |
12 |
1-butene |
1-бутен (С4Н8) |
от 0 до 0,8 |
пнг |
0,4 |
0,7 |
ЭС Хд.2.706.136- ЭТ228 |
13 |
cis-butene-2 |
цис-бутен-2 (С4Н8) |
от 0 до 0,85 |
пнг |
0,4 |
0,8 |
ЭС Хд.2.706.136- ЭТ229 |
14 |
trans-butene-2 |
транс-бутен-2 (С4Н8) |
от 0 до 0,85 |
пнг |
0,4 |
0,8 |
ЭС Хд.2.706.136- ЭТ230 |
15 |
iso-butyl alcohol |
изобутиловый спирт (2-бутанол) |
от 0 до 0,95 |
пнг |
0,5 |
0,9 |
Хд 1.456.445 МИ |
16 |
n-butyl alcohol |
н-бутиловый спирт (1-бутанол) |
от 0 до 0,85 |
пнг |
0,4 |
0,8 |
Хд 1.456.445 МИ |
17 |
tert-butyl alcohol |
терт-бутиловый спирт (2-метил-2-пропанол) |
от 0 до 0,9 |
пнг |
0,5 |
0,8 |
Хд 1.456.445 МИ |
18 |
iso-butylene |
изобутилен (2-метил-1 -пропен) |
от 0 до 0,8 |
пнг |
0,4 |
0,7 |
ЭС Хд.2.706.136- ЭТ231 |
19 |
n-butyric acid |
С4Н8С>2, масляная кислота (1-бутен- 1,4-диол) |
от 0 до 1,1 |
пнг |
0,6 |
1,0 |
Хд 1.456.445 МИ |
20 |
carbon monoxide |
оксид углерода |
от 0 до 5,45 |
пнг |
2,7 |
4,9 |
ЭМ 06.01.628 |
21 |
carbonyl sulfide |
карбонил сульфид (углерод сульфидоксид) |
от 0 до 3,25 |
пнг |
1,6 |
2,9 |
ЭС Хд.2.706.136- ЭТ232 |
№ п/ п |
Наименование (англ.) |
Наименование (РУС.) |
Диапазон измерений объемной доли определяемого компонен-та, % |
Объемная доля определяемого компонента в ПГС, % (пределы допус каемого отклонения ±10 %) |
Источник получения ПГС для поверки | ||
ПГС № 1 |
ПГС №2 |
ПГС №3 | |||||
22 |
chlorobenzene |
хлорбензол |
от 0 до 0,7 |
пнг |
0,4 |
0,6 |
Хд 1.456.445 МИ |
23 |
cyclohexane |
циклогексан |
от 0 до 0,6 |
пнг |
0,3 |
0,5 |
ЭС Хд.2.706.136- ЭТ233 |
24 |
cyclopropane |
циклопропан |
от 0 до 1,2 |
пнг |
0,6 |
1,1 |
ЭС Хд.2.706.136- ЭТ234 |
25 |
n-decane |
н-декан |
от 0 до 0,35 |
пнг |
0,2 |
0,3 |
Хд 1.456.445 МИ |
26 |
diethyl ether |
диэтиловый эфир |
от 0 до 0,85 |
пнг |
0,4 |
0,8 |
Хд 1.456.445 МИ |
27 |
di(iso-propyl) ether |
диизопропиловый эфир |
от 0 до 0,5 |
пнг |
0,3 |
0,5 |
Хд 1.456.445 МИ |
28 |
dimethyl butane |
диметилбутан |
от 0 до 0,65 |
пнг |
0,3 |
0,6 |
- |
29 |
dimethyl ether |
диметиловый эфир |
от 0 до 1,35 |
пнг |
0,7 |
1,2 |
ЭС Хд.2.706.136- ЭТ235 |
30 |
dimethyl sulfide |
диметилсульфид |
от 0 до 1,1 |
пнг |
0,6 |
1,0 |
ЭС Хд.2.706.136- ЭТ236 |
31 |
1,4-di oxane |
1,4-ДИоксан |
от 0 до 0,95 |
пнг |
0,5 |
0,9 |
Хд 1.456.445 МИ |
32 |
ethane |
этан |
от 0 до 1,25 |
пнг |
0,6 |
1,1 |
ГСО 8971-2008 |
33 |
ethyl acetate |
этилацетат |
от 0 до 1,1 |
пнг |
0,6 |
1,0 |
Хд 1.456.445 МИ |
34 |
ethyl alcohol |
этиловый спирт |
от 0 до 1,55 |
пнг |
0,8 |
1,4 |
Хд 1.456.445 МИ |
35 |
ethyl amine |
этиламин |
от 0 до 1,34 |
пнг |
0,7 |
1,2 |
ЭС Хд.2.706.136- ЭТ237 |
36 |
ethyl benzene |
этилбензол |
от 0 до 1 |
пнг |
0,3 |
0,5 |
Хд 1.456.445 МИ |
37 |
ethyl bromide |
этилбромид |
от 0 до 3,35 |
пнг |
3,0 |
Хд 1.456.445 МИ | |
38 |
ethyl chloride |
этилхлорид |
от 0 до 1,8 |
пнг |
0,9 |
1,6 |
ЭС Хд.2.706.136- ЭТ238 |
39 |
ethyl formate |
этилформиат |
от 0 до 1,35 |
пнг |
0,7 |
1,2 |
ЭС Хд.2.706.136- ЭТ239 |
40 |
ethyl mercaptan |
этилмеркаптан (этантиол) |
от 0 до 1,4 |
пнг |
0,7 |
1,3 |
ЭС Хд.2.706.136- ЭТ240 |
41 |
ethyl methyl ether |
метилэтиловый эфир |
от 0 до 1 |
пнг |
0,5 |
0,9 |
- |
42 |
methyl ethyl ketone |
метилэтилкетон (2-бутанон) |
от 0 до 0,95 |
пнг |
0,5 |
0,9 |
Хд 1.456.445 МИ |
43 |
ethylene |
этилен |
от 0 до 1,15 |
пнг |
0,6 |
1,0 |
ГСО 6343-92, 6344-92 |
44 |
ethylene dichloride |
Этилен дихлорид (1,2-дихлорэтан) |
от 0 до 3,1 |
пнг |
1,6 |
2,8 |
Хд 1.456.445 МИ |
45 |
ethylene oxide |
этиленоксид |
от 0 до 1,3 |
пнг |
0,7 |
1,2 |
ЭС Хд.2.706.136- ЭТ241 |
46 |
iso-heptane |
изогептан (2- метилгексан) |
от 0 до 0,55 |
пнг |
о,з |
0,5 |
- |
47 |
n-heptane |
н-гептан |
от 0 до 0,55 |
пнг |
о,з |
0,5 |
Хд 1.456.445 МИ |
48 |
iso-hexane |
изо-гексан |
от 0 до 0,58 |
пнг |
0,3 |
0,5 |
- |
№ п/ п |
Наименование (англ.) |
Наименование (РУС.) |
Диапазон измерений объемной доли определяемого компонен-та, % |
Объемная доля определяемого компонента в ПГС, % (пределы допус каемого отклонения ± 10 %) |
Источник получения ПГС для поверки | ||
ПГС № 1 |
ПГС №2 |
ПГС №3 | |||||
49 |
n-hexane |
н-гексан |
от 0 до 0,5 |
пнг |
0,3 |
0,5 |
ГСО 5322-90 |
50 |
hydrazine |
гидразин N2H4 |
от 0 до 2,35 |
пнг |
1,2 |
2,1 |
Хд 1.456.445 МИ |
51 |
hydrogen |
водород |
от 0 до 2 |
пнг |
1,0 |
1,8 |
ГСО 3947-87, 3950-87 |
52 |
hydrogen sulfide |
сероводород |
от 0 до 2 |
пнг |
1,0 |
1,8 |
ЭС Хд.2.706.138- ЭТ37, Хд.2.706.138- ЭТ38 |
53 |
methane |
метан |
от 0 до 2,2 |
пнг |
1,1 |
2,0 |
ГСО 4272-88 |
54 |
methyl acetate |
метилацетат |
от 0 до 1,6 |
пнг |
0,8 |
1,4 |
Хд 1.456.445 МИ |
55 |
methyl alcohol |
метанол |
от 0 до 2,75 |
пнг |
1,4 |
2,5 |
Хд 1.456.445 МИ |
56 |
methyl amine |
метиламин |
от 0 до 2,1 |
пнг |
1,1 |
1,9 |
ЭС Хд.2.706.136- ЭТ242 |
57 |
methyl bromide |
метилбромид (бромметан) |
от 0 до 5 |
пнг |
2,5 |
4,5 |
ЭС Хд.2.706.136- ЭТ243 |
58 |
methyl chloride |
метилхлорид (хлорметан) |
от 0 до 3,8 |
пнг |
1,9 |
3,4 |
ЭС Хд.2.706.136- ЭТ244 |
59 |
methyl cyclohexane |
метилциклогексан |
от 0 до 0,55 |
пнг |
0,3 |
0,5 |
Хд 1.456.445 МИ |
60 |
methyl formate |
метилформиат |
от 0 до 2,5 |
пнг |
1,3 |
2,3 |
Хд 1.456.445 МИ |
61 |
methyl mercaptan |
метилмеркаптан (метантиол) |
от 0 до 2,05 |
пнг |
1,0 |
1,8 |
ЭС Хд.2.706.136- ЭТ245 |
62 |
methyl propionate |
метил пропионат, метиловый эфир пропионовой кислоты |
от 0 до 1,1 |
пнг |
0,6 |
1,0 |
Хд 1.456.445 МИ |
63 |
methyl propyl ketone |
метилпропилке- тон, 2-пентанон |
от 0 до 0,78 |
пнг |
0,4 |
0,7 |
Хд 1.456.445 МИ |
64 |
methylene chloride |
метиленхлорид (дихлорметан) |
от 0 до 7 |
пнг |
3,5 |
6,3 |
Хд 1.456.445 МИ |
65 |
nitromethane |
нитрометан |
от 0 до 3,65 |
пнг |
1,8 |
3,3 |
Хд 1.456.445 МИ |
66 |
n-nonane |
н-нонан |
от 0 до 0,35 |
пнг |
0,2 |
0,3 |
ЭС Хд.2.706.136- ЭТ246 |
67 |
n-octane |
н-октан |
от 0 до 0,4 |
пнг |
0,2 |
0,4 |
ЭС Хд.2.706.136- ЭТ247 |
68 |
iso-pentane |
изопентан (2- метилбутан) |
от 0 до 0,68 |
пнг |
0,3 |
0,6 |
ЭС Хд.2.706.136- ЭТ248 |
69 |
n-pentane |
н-пентан |
от 0 до 0,7 |
пнг |
0,4 |
0,6 |
ЭМ 06.01.632, 06.01.633 |
70 |
neo-pentane |
неопентан (2,2-диметилпропан, тетраметил-метан, 2-метил- |
от 0 до 0,69 |
пнг |
0,3 |
0,6 |
ЭС Хд.2.706.136- ЭТ249 |
№ п/ п |
Наименование (англ.) |
Наименование (РУС-) |
Диапазон измерений объемной доли определяемого компонен-та, % |
Объемная доля определяемого компонента в ПГС, % (пределы допус каемого отклонения ± 10 %) |
Источник получения ПГС для поверки | ||
ПГС № 1 |
ПГС №2 |
ПГС №3 | |||||
изобутан) | |||||||
71 |
1-pentene |
1 -пентен (амилен, пропилэти-лен) |
от 0 до 0,7 |
пнг |
0,4 |
0,6 |
ЭС Хд.2.706.136- ЭТ250 |
72 |
propane |
пропан |
от 0 до 0,85 |
пнг |
0,4 |
0,8 |
ГСО 5323-90, 3970-87 |
73 |
propene |
пропен (пропилен) |
от 0 до 2 |
пнг |
0,5 |
0,9 |
ЭС |
74 |
iso-propyl alcohol |
изопропиловый спирт (2- пропанол) |
от 0 до 1 |
пнг |
0,5 |
0,9 |
Хд 1.456.445 МИ |
75 |
n-propyl alcohol |
пропиловый спирт (1- пропанол) |
от 0 да 1,1 |
пнг |
0,6 |
1,0 |
Хд 1.456.445 МИ |
76 |
n-propyl amine |
пропил амин |
от 0 до 1 |
пнг |
0,5 |
0,9 |
Хд 1.456.445 МИ |
77 |
n-propyl chloride |
1-хлорпропан |
от 0 до 1,2 |
пнг |
0,6 |
1,1 |
Хд 1.456.445 МИ |
78 |
1,2-propylene oxide |
1,2- пропиленоксид (эпоксипропен) |
от 0 до 0,95 |
пнг |
0,5 |
0,9 |
ЭС Хд.2.706.136- ЭТ252 |
79 |
propyne |
пропин (ме- тилацетилен) |
от 0 до 0,85 |
пнг |
0,4 |
0,8 |
ЭС Хд.2.706.136- ЭТ253 |
80 |
toluene |
толуол |
от 0 до 0,55 |
пнг |
0,3 |
0,5 |
Хд 1.456.445 МИ |
81 |
triethyl amine |
триэтиламин |
от 0 до 0,6 |
пнг |
0,3 |
0,5 |
Хд 1.456.445 МИ |
82 |
trimethyl amine |
триметиламин |
от 0 до 1 |
пнг |
0,5 |
0,9 |
ЭС Хд.2.706.136- ЭТ254 |
83 |
vinyl chloride |
винилхлорид |
от 0 до 0,9 |
пнг |
0,5 |
0,8 |
М-МВИ-204-07 |
84 |
m-xylene |
м-ксилол (1,3- диметилбензол) |
от 0 до 0,55 |
пнг |
0,3 |
0,5 |
Хд 1.456.445 МИ |
85 |
o-xylene |
о-ксилол (1,2- диметилбензол) |
от 0 до 0,5 |
пнг |
0,3 |
0,5 |
Хд 1.456.445 МИ |
86 |
p-xylene |
п-ксилол (1,4- диметилбензол) |
от 0 до 0,55 |
пнг |
0,3 |
0,5 |
Хд 1.456.445 МИ |
87 |
3-ethoxy-1-propanol |
3-этокси-1-пропанол |
от 0 до 1,15 |
пнг |
0,6 |
1,0 |
Хд 1.456.445 МИ |
88 |
4-Methyl-2-pentanone |
4-метил-2- пентанон |
от 0 до 0,6 |
пнг |
0,3 |
0,5 |
Хд 1.456.445 МИ |
89 |
Buthylacetate (П-) |
Бутилацетат |
от 0 до 0,65 |
пнг |
0,3 |
0,6 |
Хд 1.456.445 МИ |
90 |
Cyclohexanon |
Циклогексанон |
от 0 до 0,5 |
пнг |
0,3 |
0,5 |
Хд 1.456.445 МИ |
91 |
Propyleneoxide |
Пропиленоксид |
от 0 до 0,95 |
пнг |
0,5 |
0,9 |
ЭС Хд.2.706.136- ЭТ255 |
92 |
Styrene (styrol) |
Стирол |
от 0 до 0,55 |
пнг |
0,3 |
0,5 |
Хд 1.456.445 МИ |
№ п/ п |
Наименование (англ.) |
Наименование (РУС-) |
Диапазон измерений объемной доли определяемого компонента, % |
Объемная доля определяемого компонента в ПГС, % (пределы допус каемого отклонения ± 10 %) |
Источник получения ПГС для поверки | ||
ПГС № 1 |
ПГС №2 |
ПГС №3 | |||||
93 |
Т etr ahydrofuran |
Т етрогидрофуран |
от 0 до 0,75 |
ПНГ |
0,4 |
0,7 |
ЭС Хд.2.706.136- ЭТ256 |
Примечания:
|
Таблица В.З - Метрологические характеристики и средства поверки инфракрасных датчиков на горючий газ Sensepoint XCD
Наиме- |
Наиме- |
Диапазон |
Диапазон |
ПГС № 1 |
Объемная |
Объемная Источник | ||
нование |
нование |
показаний, |
измерений |
доля |
опре- |
доля |
опре- получения | |
(англ.) |
(РУС-) |
% НКПР |
объемной |
деляемого |
деляемого ПГС для по- | |||
(LEL) |
доли опреде- |
компонен- |
компонен- верки | |||||
ляемого ком- |
та в |
ПГС |
та в |
ПГС | ||||
понента, % |
№2, |
% |
№ 3, % | |||||
Methane |
Метан |
- |
от 0 до 100 * |
ПНГ |
60 |
92 ГСО 3894-87 | ||
- |
от 0 до 5 * |
ПНГ |
2,0 |
4,75 ГСО 3883-87 | ||||
от 0 до 100 |
от 0 до 4,4 * |
ПНГ |
2,2 |
4,0 ГСО 3883-87 | ||||
Ethane |
Этан |
от 0 до 100 |
от 0 до 1,25 |
ПНГ |
0,6 |
1,1 ГСО 8971- | ||
2008 | ||||||||
Propane |
Пропан |
от 0 до 100 |
от 0 до 1,7 |
ПНГ |
0,85 |
1,60 ГСО 9142- | ||
2008 | ||||||||
Butane |
Бутан |
от 0 до 100 |
от 0 до 0,7 |
ПНГ |
0,4 |
0,6 ГСО 4293- | ||
88, 4294-88 | ||||||||
Acetone |
Ацетон |
от 0 до 100 |
от 0 до 1,25 |
ПНГ |
0,6 |
1,1 Хд 1.456.445 | ||
МИ | ||||||||
Butan-1- |
Бутило- |
от 0 до 100 |
от 0 до 0,85 |
ПНГ |
0,4 |
0,8 Хд 1.456.445 | ||
ol |
вый |
МИ | ||||||
спирт | ||||||||
Butyl |
Бутил- |
от 0 до 100 |
от 0 до 0,65 |
ПНГ |
0,3 |
0,6 Хд 1.456.445 | ||
acetate |
ацетат |
МИ | ||||||
Butanone |
2- |
от 0 до 100 |
от 0 до 0,95 |
ПНГ |
0,5 |
0,9 Хд 1.456.445 | ||
бутанон (мети- |
МИ | |||||||
лэтил | ||||||||
кетон) | ||||||||
Cyclohex |
Цикло- |
от 0 до 100 |
от 0 до 0,6 |
ПНГ |
0,3 |
0,5 ЭС | ||
ane |
гексан |
Хд.2.706.136 -ЭТ2338’ | ||||||
Cyclohex |
Цикло- |
от 0 до 100 |
от 0 до 0,5 |
ПНГ |
0,3 |
0,5 Хд 1.456.445 | ||
anone |
гекса- |
МИ | ||||||
нон | ||||||||
Ethanol |
Этанол |
от 0 до 100 |
от 0 до 1,55 |
ПНГ |
0,8 |
1,4 Хд 1.456.445 | ||
МИ | ||||||||
Ethyl |
Этил- |
от 0 до 100 |
от 0 до 1,1 |
ПНГ |
0,6 |
1,0 Хд 1.456.445 | ||
acetate |
ацетат |
МИ | ||||||
Heptane |
Гептан |
от 0 до 100 |
от 0 до 0,55 |
ПНГ |
0,3 |
0,5 Хд 1.456.445 | ||
МИ | ||||||||
Hexane |
Гексан |
от 0 до 100 |
от 0 до 0,5 |
ПНГ |
0,3 |
0,5 ГСО 5322-90 | ||
Propan-2- |
Изо- |
от 0 до 100 |
от 0 до 1 |
ПНГ |
0,5 |
0,9 Хд 1.456.445 |
Наиме- |
Наиме- |
Диапазон |
Диапазон |
ПГС № |
1 Объемная |
Объемная Источник |
нование |
нование |
показаний, |
измерений |
доля опре- |
доля опре- получения | |
(англ.) |
(РУС.) |
% НКПР |
объемной |
деляемого |
деляемого ПГС для по- | |
(LEL) |
доли опреде- |
компонен- |
компонен- верки | |||
ляемого ком- |
та в ПГС |
та в ПГС | ||||
понента, % |
№ 2, % |
№ 3, % | ||||
о1 |
пропи- |
МИ | ||||
ловый | ||||||
спирт | ||||||
Methanol |
Мета- |
от 0 до 100 |
от 0 до 2,75 |
ИНГ |
1,4 |
2,5 Хд 1.456.445 |
НОЛ |
МИ | |||||
Toluene |
Толуол |
от 0 до 100 |
от 0 до 0,55 |
ИНГ |
0,3 |
0,5 Хд 1.456.445 |
МИ | ||||||
o-Xylene |
О- |
от 0 до 100 |
от 0 до 0,5 |
ИНГ |
0,3 |
0,5 Хд 1.456.445 |
ксилол |
МИ | |||||
Diethyl |
Диэти- |
от 0 до 100 |
от 0 до 0,85 |
ПНГ |
0,4 |
0,8 Хд 1.456.445 |
ether |
ловый |
МИ | ||||
эфир | ||||||
p-Xylene |
и- |
от 0 до 100 |
от 0 до 0,55 |
ИНГ |
0,3 |
0,5 Хд 1.456.445 |
ксилол |
МИ | |||||
Pentanes |
Пентан |
от 0 до 100 |
от 0 до 0,7 |
ПНГ |
0,4 |
0,6 ГСО 9129- |
(смесь |
2008, 9130- | |||||
изоме- |
2008 | |||||
ров) | ||||||
Octane |
Октан |
от 0 до 100 |
от 0 до 0,4 |
ПНГ |
0,2 |
0,4 ЭС |
1 |
Хд.2.706.136 | |||||
-ЭТ247 | ||||||
Isobutane |
Изобу- |
от 0 до 100 |
от 0 до 0,65 |
ПНГ |
0,3 |
0,6 ГСО 5905-91 |
тан
Chloroeth Хлорэ-апе тан (этил-хлорид) |
от 0 до 100 |
от 0 до 1,8 |
ПНГ |
0,9 |
1,6 ЭС Хд.2.706.136 -ЭТ238 |
Propan-1- 1- |
от 0 до 100 |
от 0 да 1,1 |
ПНГ |
0,6 |
1,0 Хд 1.456.445 |
о1 пропа- |
МИ | ||||
нол | |||||
(пропиловый спирт) |
1,2- |
1,2- |
от 0 до |
100 |
от 0 до 3,1 |
ПНГ |
1,6 |
2,8 Хд 1.456.445 |
Dichloroe |
дихлор- |
МИ | |||||
thane |
этан | ||||||
(этилен- | |||||||
хлорид) | |||||||
Dimethyl |
Диме- |
от 0 до |
100 |
от 0 до 1,35 |
ПНГ |
0,7 |
1,2 ЭС |
ether |
ТИЛОВ ый |
Хд.2.706.136 |
Наименование (англ.)
Наименование (РУС.)
Диапазон показаний, % НКПР (LEL)
Диапазон измерений объемной доли определяемого компонента, %
ПГС № 1
Объемная
Объемная
Источник
доля опре- доля опре- получения деляемого деляемого ПГС для по-
компонен- компонен- верки та в ПГС та в ПГС
№ 2, % № 3, %
эфир
-ЭТ235
0,5 0,9 ЭС
Хд.2.706.136
-ЭТ251
Propene Пропен от 0 до 100 от Одо 1,0 ПНГ (пропи
лен)
Примечания:
-
1) Диапазоны измерений объемной доли определяемого компонента, приведенные в таблице, за исключением отмеченных знаком *, соответствуют диапазону измерений довзрывоопасных концентраций от 0 до 50 % НКПР, пределы допускаемой основной абсолютной погрешности ± 5 % НКПР;
-
2) Поверочный нулевой газ (ПНГ) - воздух марки Б в баллонах под давлением, выпускаемый по ТУ 6-21-5-82 или азот особой чистоты сорт 1-й по ГОСТ 9293-87;
-
3) ГСО-ПГС в баллонах под давлением, выпускаемые по ТУ 6-16-2956-92. Пределы допускаемого отклонения от номинального значения и погрешность аттестации содержания определяемого компонента в ГСО-ПГС в соответствии с ТУ 6-16-2956-92;
-
4) ЭМ ВНИИМ - ПГС в баллонах под давлением, выпускаемые по МИ 2590-2008. Пределы допускаемого отклонения от номинального значения и погрешность аттестации содержания определяемого компонента в ГСО-ПГС в соответствии с МИ 2590-2008;
-
5) ЭС - эталон сравнения, ПГС в баллоне под давлением;
-
6) Поверочные газовые смеси, приготовленные и аттестованные в соответствии с документом Хд 1.456.445 МИ "Методика выполнения измерений массовой концентрации органических компонентов";
-
7) Допускается применение других средств поверки, метрологические характеристики которых не хуже указанных.
-
8) Поверка с использованием эталонов сравнения ЭС, эталонных материалов ЭМ и МВИ проводится во ФГУП «ВНИИМ им. Д.И. Менделеева».
(справочное)

А1 - баллон с ГСО-ПГС
А 2 - вентиль точной регулировки
АЗ - ротаметр
А4 - датчик
И - индикатор с местными показаниями
ИП - источник питания постоянного тока
В - вольтметр
R1 - катушка электрического сопротивления (100 Ом)
R2 - магазин сопротивления
Rl + R2 < 600 Ом
Газовые соединения выполнить трубкой ПВХ 4x1,5.
Рисунок Г.1 - Схема поверки датчика по токовому выходу (4-20 mA).

Al - баллон с ГСО-ПГС
А 2 - вентиль точной регулировки
АЗ - ротаметр
А4 - датчик
ИК - измерительный контроллер
Газовые соединения выполнить трубкой ПВХ 4x1,5.
Рисунок Г.2 - Схема поверки датчика с измерительным контроллером.
31