Методика поверки «ГСОЕИ. Системы измерительные «КАСКАД-СИСТЕМА»» (МП 201-035-2021)
Федеральное государственное унитарное предприятие Всероссийский научно-исследовательский институт метрологической службы (ФГУП «ВНИИМС»)
СОГЛАСОВАНО
СОГЛАСОВАНО
Главный метролог
ООО «ТМС

Государственная система обеспечен
Заместитель директора по производственной метрологии «ВНИИМС»
А.Е. Коломин гаАТ.
ерений
Системы измерительные «КАСКАД-СИСТЕМА» Методика поверки
МП 201-035-2021
2021 г.
СОДЕРЖАНИЕ
-
4. МЕТРОЛОГИЧЕСКИЕ И ТЕХНИЧЕСКИЕ ТРЕБОВАНИЯ К СРЕДСТВАМ ПО- 4 ВЕРКИ
ДЕНИЯ ПОВЕРКИ
-
-
6.5 ПОДТВЕРЖДЕНИЕ СООТВЕТСВИЯ МЕТРОЛОГИЧЕСКИМ ТРЕБО- 9
ВАНИЯМ
1. ОБЩИЕ ПОЛОЖЕНИЯНастоящая методика поверки (МП) устанавливает порядок проведения и оформления результатов поверки систем измерительных «КАСКАД-СИСТЕМА» (далее - система) и устанавливает методику ее первичной и периодической поверок.
Системы предназначены для измерений виброперемещения, виброскорости, виброускорения абсолютной вибрации, виброперемещения относительной вибрации, частоты вращения, относительного линейного перемещения, угла наклона, а также для регистрации и отображения результатов измерений и расчетных величин.
Производство серийное.
Состав измерительных каналов (ИК) системы приведен в описании типа средства измерений. Перечень ИК приведен в технической документации на систему.
Системы состоят из следующих уровней:
а) первичные измерительные преобразователи (ПИП);
б) вторичной электрической части ИК (ВИК);
Метрологические характеристики (MX) и основные технические характеристики системы и ее измерительных компонентов приведены в описании типа средства измерений.
Системы подлежат покомпонентной (поэлементной) поверке (кроме ИК угла наклона с ПИП ВК-600, ИК измерения относительного линейного перемещения с ПИП ВК-308 и ИК измерения виброперемещения относительной вибрации ВК-306):
-
1) каждый ИК системы условно подразделяют на ПИП и ВИК;
-
2) проверяют наличие действующих сведений о проведенной поверки на ПИП утвержденного типа СИ, входящие в состав ИК системы;
-
3) проводят экспериментальную проверку погрешностей ВИК;
-
4) принимают решение о годности каждого отдельного ИК.
Результаты проверки каждого ИК системы считаются положительными, если:
-
- ПИП утвержденного типа СИ поверены и имеют действующие сведения о результатах поверки;
-
- погрешность ВИК не превышает допускаемых значений в условиях поверки, либо имеют действующую поверку.
Поверку ИК в части ИК угла наклона с ПИП ВК-600, ИК измерения относительного линейного перемещения с ПИП ВК-308 и ИК измерения виброперемещения относительной вибрации ВК-306 проводят сквозным методом.
Допускается проведение поверки отдельных ИК в соответствии с письменным заявлением владельца системы с обязательным указанием информации об объёме проведённой поверки в перечне поверенных ИК.
ИК системы, прошедшие поверку с отрицательным результатом, выводятся из эксплуатации и не включаются в перечень поверенных ИК.
Периодическую поверку системы выполняют в процессе эксплуатации системы.
После ремонта системы, аварий, если эти события могли повлиять на метрологические характеристики ИК, а также после замены ее измерительных компонентов проводят первичную поверку системы. Допускается проводить поверку только тех ИК, которые подверглись указанным выше воздействиям. Нанесение знака поверки на средство измерений не предусмотрено.
Интервал между поверками системы - 2 года.
2. ПЕРЕЧЕНЬ ОПЕРАЦИЙ ПОВЕРКИПеречень операций, которые выполняют при поверке ИК, приведен в таблице 1.
Т аблица 1
|
Наименование операции |
Обязательность проведения при поверке |
Номер пункта настоящей ре-комендации | |
|
первичной |
периодической | ||
|
Внешний осмотр |
Да |
Да |
6.1 |
|
Подготовка к поверке и опробование |
Да |
Да |
6.2 |
|
Проверка программного обеспечения |
Да |
Да |
6.3 |
|
Определение метрологических характеристик |
Да |
Да |
6.4 |
|
Подтверждение соответствия метрологическим требованиям |
Да |
Да |
6.5 |
3 ТРЕБОВАНИЯ К УСЛОВИЯМ ПРОВЕДЕНИЯ ПОВЕРКИ
-
3.1 Экспериментальные работы по определению метрологических характеристик ИК выполняют в нормальных условиях измерений соответствующих условиям эксплуатации системы:
-
- температура окружающей среды от +15 до +25 °C;
-
- относительная влажность до 80 %;
-
- атмосферное давление от 84,0 до 106,7.
-
3.2 Контроль климатических условий проводится непосредственно перед проведением экспериментальных работ и в процессе их выполнения. Заносят измеренные значения в протокол и проверяют их соответствие условиям, указанным в п.3.1. При обнаружении несоответствий дальнейшие работы приостанавливают до устранения причин, вызвавших несоответствия.
4.1 В таблице 2 приведены рекомендуемые для поверки системы средства поверки. Таблица 2 - Рекомендуемые средства поверки
|
№ п/п |
Наименование средства поверки |
Тип |
Per. № / сведения об аттестации |
Основные характеристики |
|
1 |
2 |
3 |
4 |
5 |
|
1 |
Калибратор многофункциональный |
MC5-R |
18624-99 |
Пределы допускаемой абсолютной погрешности при воспроизведении сигналов силы постоянного тока в диапазоне от 0 до 25 мА : ±(0,02 % от показ. + 1,5 мкА) |
|
2 |
Калибратор универсальный |
Н4-7 |
22125-01 |
Пределы допускаемой абсолютной погрешности при воспроизведении напряжения переменного гока синусоидальной формы ±(0,005 % - 0,275 %) |
|
3 |
Система лазерная измерительная |
XL-80 |
35362-13 |
Пределы допускаемой абсолютной погрешности измерений линейных перемещений в диапазоне от 0 до 80 м; ±(0,5 L) мкм, где L - измеряемое перемещение, м |
|
4 |
Головка оптическая делительная |
ОДГЭ-5 |
7305-79 |
Пределы допускаемой абсолютной погрешности измерений угла в диапазоне 0~360°-п, (где п - 1, 2, 3); ±(5+5-sin(a/2)) ", где a - измеренный угол |
Продолжение таблицы 2
|
1 |
2 |
3 |
4 |
5 |
|
5 |
Поверочная виброустановка |
- |
2 разряд в соответствии с ГПС, утвержденной приказом Госстандарта № 2772 от 27.12.2018 г. | |
|
6 |
Термогигрометр |
ИВА-6 мод. ИВА-6Н- Д |
46434-11 |
Пределы допускаемой абсолютной погрешности в диапазоне от 0 до +60 °C ±0,3 °C Пределы допускаемой абсолютной погрешности в диапазоне от 300 до 1100 гПа ±2,5 гПа Пределы допускаемой абсолютной погрешности в диапазоне от 0 до 90 % ±2 % |
|
Примечание: 1. Средства поверки ПИП указаны в методиках поверки на них. | ||||
-
4.2 Допускается использовать иные средства поверки, не приведенные в таблице 2, с метрологическими и техническими характеристиками, обеспечивающими требуемую точность передачи единиц величин поверяемой системы: погрешность средств поверки, используемых для экспериментальных проверок погрешности, не должна быть более 1/3 (для средств поверки № 3-5 не более 1/2) предела контролируемого значения погрешности в условиях поверки.
-
4.3 Средства измерений, применяемые при поверке, должны быть поверены и иметь действующие сведения о поверке. Средства измерений, применяемые в качестве эталонов единиц величин, должны быть поверены в качестве эталонов единиц величин, иметь действующие сведения о поверке и удовлетворять требованиям точности государственных поверочных схем.
-
5.1 При проведении поверки системы соблюдают требования безопасности, указанные в технической документации на систему, ее компоненты, применяемые средства поверки и вспомогательное оборудование.
-
6.1 Внешний осмотр
При проведении внешнего осмотра должно быть установлено:
комплектность системы,
отсутствие механических повреждений, коррозии, нарушения покрытий, надписей, отсутствие других дефектов.
-
6.2 Подготовка к поверке и опробование
-
6.2.1 Перед началом поверки поверитель должен изучить руководство по эксплуатации поверяемой системы, эталонов и других технических средств, используемых при поверке, настоящую методику поверки, правила техники безопасности и строго их соблюдать.
-
6.2.2 Перед экспериментальной проверкой погрешности ИК все измерительные компоненты, используемые эталоны и вспомогательные технические средства должны быть подготовлены к работе в соответствии с указаниями эксплуатационной документации на эти средства измерений.
-
6.2.3 Проверяют наличие следующих документов:
- перечня ИК, входящих в состав системы, подлежащих поверке, с указанием заводских номеров комплектующих их измерительных компонентов;
-
- эксплуатационной документация на измерительные компоненты в составе ИК и на систему в целом;
-
- протоколов предыдущей поверки (при периодической поверке);
-
- протоколов измерений фактических значений, и границ их изменения, температуры, влажности воздуха, напряжения питания в помещениях, в которых размещены измерительные компоненты каналов;
-
- сведений о результатах поверки ПИП утвержденного типа.
-
6.2.4 При опробовании ИК системы проверяется:
-
- работоспособность ПИП в соответствии с технической документацией на ПИП;
-
- работоспособность ВИК в соответствии с технической документацией на ВИК;
-
- работоспособность каналов связи;
-
- работоспособность программного обеспечения.
Результаты опробования считаются положительными, если ИК системы функционируют в соответствии с эксплуатационной документацией.
6.3 Проверка программного обеспечения
Проводят проверку идентификационных данных программного обеспечения на соответ
ствие таблице 2.
Таблица 2 - Идентификационные данные ПО АСДКУ
|
Идентификационные данные (признаки) |
Значение |
|
Идентификационное наименование ПО |
ВиКонт Сфера Клиент |
|
Номер версии (идентификационный номер) ПО |
Не ниже 1.0.42.4 |
|
Цифровой идентификатор ПО |
отсутствует |
-
6.4 Определение метрологических характеристик
-
6.4.1 Проверка MX ВИК преобразования сигналов силы постоянного тока в диапазоне от 4 до 20 мА.
Проверку MX ВИК преобразования силы постоянного тока от 4 до 20 мА проводят в изложенной ниже последовательности:
-
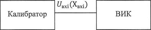
- собирают схему измерений согласно рисунку 1;
-
- выбирают 5 поверяемых точек Xi, равномерно распределенных по диапазону измерений (0-10, 25, 50, 75, 90-100 % диапазона измерений);
-
- на вход ВИК подают от калибратора значение сигнала силы тока IBx.i, соответствующее проверяемой точке XBX.i;
-
- считывают значение результата измерений Хвыхл ВИК в единицах измеряемого физического параметра на АРМ;
-
- для каждой проверяемой точки рассчитывают значение абсолютной погрешности Аь
Ai = Хвых. i — Xex.i (1)
-
- заносят в протокол значения Xehlxi, Xexi,
-
- повторяют измерения для каждого Xt пять раз, определяют набольшее значение приведенной погрешности Af;
-
- если для каждой проверяемой точки выполняется неравенство Aj < 20 мкА, то ИК считают прошедшим поверку.
v
/VBMX1
Рисунок 1 - Схема подключения при определении MX ВИК преобразования сигналов силы постоянного тока в диапазоне от 4 до 20 мА
-
6.4.2 Проверка MX ВИК преобразования сигналов напряжения переменного тока Проверку MX ВИК преобразования напряжения переменного тока проводят в изложенной ниже последовательности:
-
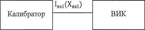
- собирают схему измерений согласно рисунку 2;
-
- выбирают 5 поверяемых точек Xi, равномерно распределенных по диапазону измерений (0-10, 25, 50, 75, 90-100 % диапазона измерений);
-
- на вход ВИК подают от калибратора значение амплитуды напряжения переменного тока Uex.i, соответствующее проверяемой точке XBX.i;
-
- считывают значение результата измерений XBwx.i ВИК в единицах измеряемого физического параметра на АРМ;
-
- для каждой проверяемой точки рассчитывают значение абсолютной погрешности Лк
Ai = Хвых. i — Хвх. i (2)
-
- заносят в протокол значения XehlYi,Xej(i,
-
- повторяют измерения для каждого Xt пять раз, определяют набольшее значение абсолютной погрешности А,.;
-
- если для каждой проверяемой точки выполняется неравенство Af < 5 мкВ, то ИК считают прошедшим поверку.

Рисунок 2 - Схема подключения при определении MX ВИК преобразования сигналов напряжения переменного тока
-
6.4.3 Проверка ИК измерений линейных перемещений с ПИП ВК-308
Проверку ИК измерений линейных перемещений проводят методом непосредственного сличения с системой лазерной измерительной XL-80 (далее - интерферометр) в изложенной ниже последовательности:
-
- подключают ПИП согласно руководству по эксплуатации;
-
- корпус ПИП устанавливают неподвижно;
-
- подвижную часть преобразователя крепят к каретке с отражателем интерферометра на горизонтальной направляющей, расположенной параллельно направлению измерений;
-
- преобразователь устанавливают в нулевое положение, показания интерферометра обнуляют;
-
- выбирают 5 поверяемых точек Li, равномерно распределенных по диапазону измерений (0-10, 25, 50, 75, 90-100 % диапазона измерений);
-
- значения перемещений Lt, задают с отклонением, не превышающим ±2% от верхнего предела измерений канала последовательно от меньших к большим, и фиксируют измеренные значения перемещения по показаниям канала Хиз.м t и интерферометра Хэт t.
-
- для каналов с преобразователями ВК-318.20 дополнительно проводятся измерения перемещений при обратном ходе;
-
- для каждой проверяемой точки i вычисляют значения приведенной погрешности измерений по формуле:
Yi =
■^изм i ^эт i
L
■ 100%
(3)
где L - верхний предел измерений канала;
-
- заносят в протокол значения Хизм i;X3T t, уу
-
- если для каждой проверяемой точки выполняется неравенство yt < 2,5%, то ИК считают прошедшим поверку.
Для каналов с преобразователями ВК-318.20 вычисляют значение вариации по формуле:
где у- - значение приведенной погрешности измерений на обратном ходе.
-
- если для каждой проверяемой точки выполняются неравенства yt < 2,5%, уг < 1%, то ИК считают прошедшим поверку.
-
6.4.4 Проверка ИК измерений угла наклона с ПИП ВК-600
Проверку ИК измерений угла наклона проводят методом прямых измерений с помощью головки оптической делительной ОДГЭ-5 (далее - делительная головка) в изложенной ниже последовательности:
-
- ПИП подключают согласно руководству по эксплуатации и закрепляют на установочной платформе перпендикулярно оси вращения делительной головки;
-
- при помощи регулировочных винтов ПИП устанавливается в нулевое положение;
-
- выбирают 10 поверяемых точек Хэт i, равномерно распределенных по диапазону измерений;
-
- делительной головкой последовательно устанавливают значения Хэт i, и фиксируют измеренные системой значения угла наклона Xw/;
-
- для каждой проверяемой точки i вычисляют значения приведенной погрешности измерений по формуле (3);
-
- заносят в протокол значения Хизм j, Хэт f, у у
-
- если для каждой проверяемой точки выполняется неравенство yt < 3%, то ИК считают прошедшим поверку.
-
6.4.5 Проверка ИК измерений виброперемещения относительной вибрации ВК-306
Проверку ИК измерений виброперемещения относительной вибрации ВК-306 проводят методом прямых измерений при помощи поверочной виброустановки в изложенной ниже последовательности :
-
- закрепляют на вибростоле виброустановки образец металла, относительную вибрацию которого ИК должен измерять. Плоскость образца металла должна быть перпендикулярна к направлению колебаний вибростола. ПИП с помощью специального кронштейна устанавливают над образцом металла на расстоянии, указанном в паспорте, таким образом, чтобы направление оси чувствительности ПИП совпадало с направлением колебаний вибростола;
-
- в соответствии с эксплуатационной документацией подключают ПИП. Выбирают 5 проверяемых точек значений виброперемещений S, равномерно распределенных в диапазоне измерений (10, 25, 50, 75, 90 % диапазона измерений). Считывают измеренные значения виброперемещения при помощи ВИК и определяют относительную погрешность 8 по формуле:
$зад
где 5ИЗМ - значение виброперемещения, измеренное системой, мкм;
^зад- значение виброперемещения, заданное эталонной виброустановкой, мкм.
Заносят полученные значения 5зад, 5ИЗМ и 3 в протокол;
-
- неравномерность частотной характеристики определяют не менее чем на десяти значе-
ниях рабочего диапазона частот ИК, включая нижний и верхний пределы диапазона при значениях виброперемещения не менее нижнего предела измерений. Последовательно задают значения виброперемещения на частотах рабочего диапазона. Для каждого значения частоты считывают измеренные значения виброперемещения и вычисляют неравномерность частотной характеристики у по формулам:
$i ^баз
•^баз

■100,%
(6)
(7)
где S[ - значение виброперемещения, измеренное системой на i-той частоте, мкм; 5баз_ значение виброперемещения, измеренное системой на базовой частоте, мкм. Заносят полученные значения 5баз, S[, /о/ии удБ в протокол;
- ИК считают прошедшим поверку, если полученные значения относительной погрешности 5 не превышают ±1,5 %, неравномерность частотной характеристики уп/о в диапазоне частот от 2,5 • Fh до 0,75 • Fb не превышает ±7 % и неравномерность частотной характеристики удБ в диапазоне рабочих частот не превышает ±3 дБ.
-
6.5 Подтверждение соответствия метрологическим требованиям
Результаты поверки ИК системы считают положительными: если сведения о результатах поверки преобразователей (датчиков), включены в Федеральный информационный фонд по обеспечению единства измерений, а результаты экспериментальных проверок MX ВИК по п.6.4.1 - 6.4.2 положительные; либо ИК прошел поверку по п 6.4.3 - 6.4.5 с положительным результатом.
Если в процессе проверки документации по п. 6.2 обнаруживают преобразователь (датчик) с истекшим сроком действия сведений о результатах поверки, то ИК, в состав которого входит такой компонент, признают прошедшим поверку с отрицательным результатом до устранения выявленного несоответствия.
7 ОФОРМЛЕНИЕ РЕЗУЛЬТАТОВ ПОВЕРКИ-
7.1 Результаты поверки оформляются в соответствии с приказом № 2510
от 31.07.2020 г. «Об утверждении порядка проведения поверки средств измерений, требований к знаку поверки и содержанию свидетельства о поверке».

Н.В. Лункин
А.А. Борисенко
Зам. начальника отдела 201 ФГУП «ВНИИМС»
Инженер 3 кат. отдела 201 ФГУП «ВНИИМС»
Инженер 1 кат. отдела 204 ФГУП «ВНИИМС»
Руководитель направления ООО «ТМС РУС»
9
