Методика поверки «ГСОЕИ. Система автоматизированная информационно-измерительная коммерческого учета электроэнергии АИИС КУЭ ЕНЭС ПС 220 кВ Районная» (МП-044-2021)

■ i ррт₽f%Т I I Kai II В Еж i.
ООО «ЭнерТест»
141100, Московская обл., Щёлково г„ Пролетарский пр-кт, д.12, кв. 342
ИНН 7716741740, КПП 505001001: ОГРН 1137746275028 ка +7(499)991-19-91
• измерения • испытания • контроль

СОГЛАСОВАНО
Г енеральный директор
ООО «ЭнерТест»

Государственная система обеспечения единства измерений
Система автоматизированная информационно-измерительная коммерческого учета электроэнергии АИИС КУЭ ЕНЭС ПС 220 кВ Районная
Методика поверки
МП-044-2021
Москва
2021
Настоящая методика поверки распространяется на систему автоматизированную информационно-измерительную коммерческого учета электроэнергии АНИС КУЭ ЕНЭС ПС 220 кВ Районная (далее по тексту-АНИС КУЭ) и устанавливает порядок проведения первичной и периодической поверок АНИС КУЭ.
1 ОБЩИЕ ПОЛОЖЕНИЯПоверке подлежит АЛИС КУЭ с перечнем измерительных каналов (ПК), прошедших процедуру утверждения типа, и на которую распространено свидетельство об утверждении типа (состав ИК должен соответствовать описанию типа на АИИС КУЭ).
Допускается проведение поверки АИИС КУЭ в сокращенном объеме (в части отдельных ИК), с обязательным указанием в приложении к свидетельству о поверке информации об объеме проведенной поверки.
Допускается проведение поверки АИИС КУЭ с составом ИК, непосредственно применяемых для измерений в сфере государственного регулирования обеспечения единства измерений.
Прослеживаемость измерений в АИИС КУЭ обеспечивается посредством неразрывной цепи поверок средств измерений (измерительных компонентов), входящих в состав АИИС КУЭ, связывающих их с государственными первичными эталонами: ТТ с ГЭТ 152-2018, TH с ТЭТ 175-2019, Счетчики с ГЭТ 153-2019, УСПД и УССВ с ГЭТ 1-2018.
Для обеспечения прослеживаемости все средства измерений (измерительные компоненты), входящие в состав ИК АИИС КУЭ, должны своевременно поверяться в соответствии с интервалами между поверками и методиками поверки, установленным при утверждении их типа, аккредитованными на их поверку юридическими лицами и индивидуальными предпринимателями с использованием установленных в методиках поверки средств поверки. Если очередной срок поверки средства измерений (измерительного компонента) наступает до очередного срока поверки АИИС КУЭ, поверяется только этот компонент, и поверка АИИС КУЭ не проводится. После поверки средства измерений (измерительного компонента) и восстановления ИК выполняется проверка ИК, той его части и в том объеме, который необходим для того, чтобы убедиться, что действия, связанные с поверкой средства измерений (измерительного компонента), не нарушили метрологических характеристик ИК.
После ремонта АИИС КУЭ, аварий в энергосистеме, если эти события могли повлиять на метрологические характеристики ИК, а также после замены средств измерений (измерительных компонентов), входящих в их состав, проводится внеочередная поверка АИИС КУЭ в объеме первичной поверки. Допускается проводить поверку только тех ИК, которые подверглись указанным выше воздействиям. Во всех указанных случаях оформляется технический акт о внесенных изменениях. Технический акт хранится совместно со свидетельством о поверке, как неотъемлемая часть эксплуатационных документов на АИИС КУЭ.
2 ПЕРЕЧЕНЬ ОПЕРАЦИЙ ПОВЕРКИ СРЕДСТВА ИЗМЕРЕНИЙПри проведении поверки выполняют операции, указанные в таблице 1.
Таблица 1 - Операции поверки
|
Наименование операции |
Номер пункта НДпо поверке |
Необходимость выполнения при | |
|
Первичной поверке |
периодической поверке | ||
|
1. Внешний осмотр средства измерений |
7 |
Да |
Да |
|
2. Подготовка к поверке и опробование средства измерений |
8 |
Да |
Да |
|
3. Проверка программного обеспечения средства измерений |
9 |
Да |
Да |
|
4. Определение погрешности ИК при измерении электрической энергии |
10.1 |
Да |
Да |
Лист 3 Листов 12 Продолжение таблицы 1
|
5. Определение погрешности смещения шкалы времени компонентов АИИС КУЭ, входящих в состав СОЕВ, относительно шкалы времени UTC (SU) |
10.2 |
Да |
Да |
3 ТРЕБОВАНИЯ К УСЛОВИЯМ ПРОВЕДЕНИЯ ПОВЕРКИ
находиться в следующих диапазонах: параметры присоединений ИК:
-
- напряжение, % от UiHOm................................................................................... от 90 до 110
-
- ТОК, % ОТ 11 ном................................................................................................... от 1(5) до 120
-
- коэффициент активной мощности, cos(p........................................................ от 0,5 до 1
-частота, Гц........................................................................................................ от49,6 до 50,4
диапазон температур окружающей среды, °C:
-
- для ТТ и TH..................................................................................................... от -45 до +40
-
- для счетчиков электроэнергии....................................................................... от +10 до +30
-дляУСПД......................................................................................................... от+10 до+30
-
- для сервера, УССВ................................................................... от +18 до +24
параметры вторичных цепей ИК:
-
- вторичная нагрузка ТТ............................................................................... по ГОСТ 7746*
-
- мощность нагрузки TH............................................................................... по ГОСТ 1983
-
- падение напряжения в линиях связи счетчиков с TH, % от U2hom.............. от 0 до 0,25 * - вторичная нагрузка ТТ, изготовленных после 01.01.2016, должна соответствовать ГОСТ 7746-2015, ТТ, изготовленных до 01.01.2016 - ГОСТ 7746-2001.
-
4.1 К проведению поверки АНИС КУЭ допускают поверителей, изучивших настоящую методику поверки и эксплуатационную документацию на АНИС КУЭ.
-
4.2 Измерение вторичной нагрузки измерительных трансформаторов тока, входящих в состав АИИС КУЭ, осуществляется персоналом, имеющим стаж работы по данному виду измерений не менее 1 года, изучившим методику измерений, регламентирующую проведение измерений мощности нагрузки трансформаторов тока. Измерение проводят не менее двух специалистов, один из которых должен иметь удостоверение, подтверждающее право работы на установках свыше 1000 В с группой по электробезопасности не ниже IV, второй - удостоверение, подтверждающее право работы на установках свыше 1000 В с группой по электробезопасности не ниже Ш.
-
4.3 Измерение вторичной нагрузки измерительных трансформаторов напряжения, входящих в состав АИИС КУЭ, осуществляется персоналом, имеющим стаж работы по данному виду измерений не менее 1 года, изучившим методику измерений, регламентирующую проведение измерений мощности нагрузки трансформаторов напряжения. Измерение проводят не менее двух специалистов, один из которых должен иметь удостоверение, подтверждающее право работы на установках свыше 1000 В с группой по электробезопасности не ниже IV, второй - удостоверение, подтверждающее право работы на установках свыше 1000 В с группой по электробезопасности не ниже III.
-
4.4 Измерение потерь напряжения в линии соединения счетчика с измерительным трансформатором напряжения, входящими в состав АИИС КУЭ, осуществляется персоналом, имеющим стаж работы по данному виду измерений не менее 1 года, изучившим методику измерений, регламентирующую проведение измерений падения напряжения в линии соединения счетчика с трансформатором напряжения, и прошедшим обучение по проведению измерений в соответствии с указанным документом. Измерение проводят не менее двух специалистов, один
Лист 4 Листов 12 из которых должен иметь удостоверение, подтверждающее право работы на установках свыше 1000 В с группой по электробезопасности не ниже IV, второй - удостоверение, подтверждающее право работы на установках свыше 1000 В с группой по электробезопасности не ниже III.
5 МЕТРОЛОГИЧЕСКИЕ И ТЕХНИЧЕСКИЕ ТРЕБОВАНИЯ К СРЕДСТВАМ ПОВЕРКИ-
5.1 Средства поверки средств измерений (измерительных компонентов), входящие в состав ИК АИИС КУЭ:
-
- ТТ-по ГОСТ 8.217-2003;
-
- TH-ГОСТ 8.216-2011;
-
- счетчики Альфа А1800 (рег.№31857-06) - в соответствии с документом МП-2203-0042-2006 «Счетчики электрической энергии трехфазные многофункциональные Альфа А1800. Методика поверки», утвержденным ГЦИ СИ «ВНИИМ им. Д.И. Менделеева» 19 мая 2006;
-
- счетчики Альфа А1800 (рег.№31857-11) - по документу ДЯИМ.411152.018 МП «Счетчики электрической энергии трехфазные многофункциональные Альфа А1800. Методика поверки», утвержденному ГЦИ СИ ФГУП «ВНИИМС» в 2011 г. и документу ДЯИМ.411152.018 МП «Счетчики электрической энергии трехфазные многофункциональные Альфа А1800. Дополнение к методике поверки», утвержденному в 2012г.
-
- RTU-325T -по документуДЯИМ.466215.005 МП «Устройства сбора и передачи данных RTU-325H и RTU-325T. Методика поверки», утвержденному ГЦИ СИ ФГУП «ВНИИМС» в июле 2010 г.;
-
- Устройство синхронизации системного времени УССВ-2 - по документу МП-РТ-1906-2013 (ДЯИМ.468213.001 МП) «Устройства синхронизации системного времени УССВ-2. Методика поверки», утвержденному руководителем ГЦИ СИ ФБУ «Ростест-Москва» 17 мая 2013 г.;
-
- радиосервер точного времени РСТВ-01 - по документу ПЮЯИ.468212.039МП «Радиосерверы точного времени РСТВ-01. Методика поверки», утвержденному ФГУП «ВНИИФТРИ» 30.11.2011 г.;
5.2 Средства поверки АИИС КУЭ в соответствии с таблицей 2. Таблица 2 - Средства поверки АИИС КУЭ и вспомогательные устройства
|
Наименование средства измерений |
Измеряемая величина |
Метрологические характеристики |
Номер пункта методики поверки |
|
Термометр |
Температура окружающего воздуха |
Диапазон измерений: от -45 до +40 °C; цена деления шкалы 1 °C. Пределы допускаемой абсолютной погрешности: ±1 °C |
8.2 |
|
Измеритель электрических величин с токовыми клещами |
Действующее значение силы гока |
Диапазон измерений: от 0,01 до 1,27НОм Пределы допускаемой относительной погрешности (5i) ±7 % |
8.4,8.9-8.11 |
|
Действующее значение напряжения |
Диапазон измерений: от 0 до 120 В Пределы допускаемой относительной погрешности (5ц): ±7 % | ||
|
Частота переменного тока |
Диапазон измерений: от 45 до 55 Гц Пределы допускаемой абсолютной погрешности: ±0,05 Гц | ||
|
Коэффициент мощности |
Диапазон измерений: от 0,5 до +1,0, Пределы допускаемой абсолютной погрешности: ±0,1 | ||
|
Приемник сигналов точного времени, принимающий сигналы спутниковой навигационной системы GPS/ГЛОНАСС |
Сигналы точного времени |
Предел допускаемой абсолютной погрешности привязки фронта выходного импульса 1 Гц к шкале координированного времени UTC ±1 мкс |
10.2 |
|
Переносной компьютер с ПО и оптический преобразователь для работы со счетчиками системы | |||
Лист 5 Листов 12
-
5.3 Перечень рекомендуемых средств поверки АИИС КУЭ:
-
- Для проведения измерений электрических величин (действующих значений силы тока и напряжения, частоты, коэффициента мощности, вторичной нагрузки ТТ, мощности нагрузки TH, потерь напряжения в линии ТН-счетчик) и проверки последовательности чередования фаз - Прибор для измерения электроэнергетических величин и показателей качества электрической энергии Энергомонитор-3.ЗТ1 (регистрационный номер в Федеральном информационном фонде 39952-08);
-
- Для проведения измерений температуры окружающего воздуха -Измеритель влажности и температуры ИВТМ-7 (регистрационный номер в Федеральном информационном фонде 71394-18);
-
- Для проведения измерений смещения шкалы времени компонентов АИИС КУЭ относительно шкалы времени UTC - Радиочасы МИР РЧ-02 (регистрационный номер в Федеральном информационном фонде 46656-11).
-
5.4 Допускается применение других средств поверки с метрологическими характеристиками, обеспечивающими требуемые точности измерений (согласно таблице 2).
-
5.5 Все средства измерений, применяемые при поверке, должны быть утвержденного типа, а также иметь действующие свидетельства о поверке.
-
6.1 При проведении поверки должны быть соблюдены требования безопасности, установленные ГОСТ 12.2.007.0, ГОСТ 12.2.007.3, «Правилами технической эксплуатации электроустановок потребителей», «Правилами технической эксплуатации электрических станций и сетей РФ», «Правилами по охране труда при эксплуатации электроустановок», а также требования безопасности на средства поверки, поверяемые трансформаторы и счетчики, изложенные в их руководствах по эксплуатации.
-
6.2 При применении эталонов, средств измерений, вспомогательных средств поверки и оборудования должны обеспечиваться требования безопасности согласно ГОСТ 12.2.003, ГОСТ 12.2.007.3, ГОСТ 12.2.007.7.
-
7.1 Проверяют целостность корпусов и отсутствие видимых повреждений средств измерений (измерительных компонентов).
-
7.2 Проверяют отсутствие следов коррозии и нагрева в местах подключения проводных линий связи.
-
7.3 Проверяют наличия защитных устройств от несанкционированного вмешательства на всех компонентах АИИС КУЭ, предусматривающих защиту согласно технической документации на АИИС КУЭ и измерительные компоненты.
-
7.3 Результат проверки считается положительным, если нет замечаний по пунктам 7.1-7.3 или выявленные замечания устранены в процессе проведения внешнего осмотра.
В случае выявления несоответствий по пунктам 7.1-7.3 поверку приостанавливают до устранения выявленных несоответствий. В случае невозможности устранения несоответствий, ИК с выявленными несоответствиями признаются непригодными к дальнейшему применению.
8 ПОДГОТОВКА К ПОВЕРКЕ И ОПРОБОВАНИЕ СРЕДСТВА ИЗМЕРЕНИЙ-
8.1 Для проведения поверки представляют следующую документацию:
-
- описание типа АИИС КУЭ;
-
- формуляр АИИС КУЭ;
-
- свидетельства о поверке средств измерений (измерительных компонентов), входящих в ИК, и свидетельство о предыдущей поверке системы (при периодической и внеочередной поверке);
-
- паспорта-протоколы на измерительные комплексы (при наличии);
Лист 6 Листов 12
-
- рабочие журналы АИИС КУЭ с данными по климатическим и иным условиям эксплуатации за интервал между поверками (только при периодической поверке).
-
8.2 Перед проведением поверки выполняют следующие подготовительные работы:
-
- проводят организационно-технические мероприятия по доступу поверителей и персонала энергообъекгов к местам установки измерительных трансформаторов, счетчиков электроэнергии, УСПД, УССВ; по размещению эталонов, отключению в необходимых случаях проверяемых средств измерений от штатной схемы;
-
- проводят организационно-технические мероприятия по обеспечению безопасности поверочных работ в соответствии с действующими правилами и руководствами по эксплуатации применяемого оборудования;
-
- средства поверки выдерживают в условиях и в течение времени, установленных в нормативных документах на средства поверки;
-
- все средства измерений, которые подлежат заземлению, должны быть надежно заземлены, подсоединение зажимов защитного заземления к контуру заземления должно производиться ранее других соединений, а отсоединение - после всех отсоединений.
-
8.3 Проверяют соответствие измерительных компонентов АИИС КУЭ.
-
8.3.1 Проверяют правильность расположения и монтажа средств измерений (измерительных компонентов), правильность схем подключения измерительных трансформаторов тока (ТТ) и измерительных трансформаторов напряжения (TH) к счетчикам электрической энергии, правильность прокладки проводных линий связи.
-
8.3.2 Проверяют соответствие типов, классов точности и заводских номеров фактически используемых средств измерений (измерительных компонентов), указанным в описании типа АИИС КУЭ, а также в технических актах о внесенных изменениях, если были замены средств измерений (измерительных компонентов), входящих в состав ИК.
-
8.3.3 Проверяют наличие свидетельств о поверке и срок их действия для всех средств измерений (измерительных компонентов): ТТ и TH, счетчиков электрической энергии, УСПД, УССВ. При обнаружении просроченных свидетельств о поверке средств измерений (измерительных компонентов), дальнейшие операции по поверке ИК, в который они входят, выполняют после поверки этих измерительных компонентов.
-
8.3.4 Результат проверки считается положительным, если нет замечаний по пунктам 8.3.1-8.3.3.
-
В случае выявления несоответствий по пунктам 8.3.1 - 8.3.3 поверку приостанавливают до устранения выявленных несоответствий. В случае невозможности устранения несоответствий, ИК с выявленными несоответствиями признаются непригодными к дальнейшему применению.
-
8.4 Проверяют счетчики электрической энергии.
-
8.4.1 Проверяют наличие и сохранность пломб на счетчике и испытательной коробке. Проверяют наличие документов энергосбытовых организаций, подтверждающих правильность подключения счетчика к цепям тока и напряжения, в частности, правильность чередования фаз. При отсутствии таких документов или нарушении (отсутствии) пломб проверяют правильность подключения счетчиков к цепям тока и напряжения (соответствие схем подключения - схемам, приведенным в паспорте на счетчик). Проверяют последовательность чередования фаз с помощью прибора «Энергомонитор З.ЗТ1». При проверке последовательности чередования фаз действуют в соответствии с указаниями, изложенными в руководстве по его эксплуатации.
-
8.4.2 Проверяют работу всех сегментов индикаторов счетчиков, отсутствие кодов ошибок или предупреждений, проводят последовательную проверку визуализации параметров.
-
8.4.3 Проверяют работоспособность оптического порта счетчика с помощью переносного компьютера. Оптический преобразователь подключают к порту переносного компьютера. Опрашивают счетчик по установленному соединению. Опрос счетчика считается успешным, если получен отчет, содержащий данные, зарегистрированные счетчиком.
-
-
8.3.4 Проверяют соответствие индикации даты в счетчике календарной дате (число, месяц, год). Проверку осуществляют визуально или с помощью переносного компьютера через оптический порт.
Лист 7 Листов 12
-
8.4.5 Результат проверки считается положительным, если проверки по пунктам 8.3.1 - 8.3.4 выполнены с положительным результатом.
В случае выявления несоответствий по пунктам 8.3.1- 8.3.4 процедуру проверки приостанавливают до устранения данных несоответствии. В случае невозможности устранения несоответствии, ИК с выявленными несоответствиями признаются непригодными к дальнейшему применению.
-
8.5 Проверяют УСПД.
-
8.5.1 Проверяют наличие и сохранность пломб на УСПД. При отсутствии или нарушении пломб проверяют правильность подсоединения УСПД.
-
8.5.2 Проверяют правильность функционирования УСПД в соответствии с его эксплуатационной документацией с помощью тестового программного обеспечения, поставляемого в комплекте с УСПД. Проверка считается успешной, если все подсоединенные к УСПД счетчики опрошены и сообщения об ошибках отсутствуют.
-
8.5.3 Проверяют программную защиту УСПД от несанкционированного доступа в соответствии с эксплуатационным документом на УСПД.
-
8.5.4 Проверяют правильность значений коэффициентов трансформации измерительных трансформаторов, если предусмотрено их хранение в памяти УСПД.
-
8.5.5 Результат проверки считается положительным, если проверки по пунктам 8.5.1 - 8.5.4 выполнены с положительным результатом.
-
В случае выявления несоответствий по пунктам 8.5.1-8.5.4 процедуру проверки приостанавливают до устранения данных несоответствий. В случае невозможности устранения несоответствий, ИК с выявленными несоответствиями признаются непригодными к дальнейшему применению.
-
8.6 Проверяют функционирования компьютеров АИИС КУЭ (АРМ или сервера).
-
8.6.1 Проводят опрос текущих показаний всех счетчиков электроэнергии.
-
Результат проверки считается положительным, если опрашиваются все счетчики, входящие в ИК, подвергающиеся поверке.
-
8.6.2 Проверяют глубину хранения измерительной информации в сервере АИИС КУЭ.
Результат проверки считается положительным, если глубина хранения информации соответствует указанной в описании типа.
-
8.6.3 Проверяют защиту программного обеспечения на сервере АИИС КУЭ от несанкционированного доступа. Для этого запускают на выполнение программу сбора данных и в поле «пароль» вводят неправильный код.
Результат проверки считается положительным, если при вводе неправильного пароля программа не разрешает продолжать работу.
-
8.6.4 Проверяют работу аппаратных ключей (при наличии). Выключают сервер и снимают аппаратную защиту (отсоединяют ключ от порта сервера). Включают сервер, загружают операционную систему и запускают программу.
Результат проверки считается положительным, если получено сообщение об отсутствии «ключа защиты».
-
8.6.5 Проверяют правильность значений коэффициентов трансформации измерительных трансформаторов, если предусмотрено их хранение на сервере АИИС КУЭ.
Результат проверки считается положительным, если значения коэффициентов трансформации соответствуют коэффициентам трансформации ТТ, TH, счетчиков.
-
8.6.6 В случае выявления несоответствий по пунктам 8.6.1- 8.6.5 процедуру проверки приостанавливают до устранения данных несоответствий. В случае невозможности устранения несоответствий, ИК с выявленными несоответствиями признаются непригодными к дальнейшему применению.
-
8.7 Проверяют отсутствие ошибок информационного обмена.
Операция проверки отсутствия ошибок информационного обмена предусматривает экспериментальное подтверждение идентичности числовой измерительной информации в счетчиках
Лист 8 Листов 12 электрической энергии (исходная информация), и памяти центрального сервера.
В момент проверки все технические средства, входящие в проверяемый ИК, должны быть включены.
-
8.7.1 На сервере системы отображают или распечатывают значения активной и реактивной электрической энергии, зарегистрированные с 30-ти минутным интервалом за полные предшествующие дню проверки сутки по всем ИК. Проверяют наличие данных, соответствующих каждому 30-ти минутному интервалу времени. Пропуск данных не допускается за исключением случаев, когда этот пропуск был обусловлен отключением ИК или устраненным отказом какого-либо компонента системы.
-
8.7.2 Отображают на экране АРМ или распечатывают журнал событий счетчика и УСПД и отмечают моменты нарушения связи между измерительными компонентами системы. Проверяют сохранность измерительной информации в памяти УСПД и сервере системы на тех интервалах времени, в течение которого была нарушена связь.
-
8.7.3 Отображают на экране АРМ или распечатывают на сервере профиль нагрузки за полные сутки, предшествующие дню поверки. Используя переносной компьютер, считывают через оптопорт профиль нагрузки за те же сутки, хранящийся в памяти счетчика. Различие значений активной (реактивной) мощности, хранящейся в памяти счетчика (с учетом коэффициентов трансформации измерительных трансформаторов) и базе данных центрального сервера не должно превышать одной единицы младшего разряда учтенного значения.
-
8.7.4 Рекомендуется вместе с проверкой по п. 8.7.3 сличать показания счетчика по активной и реактивной электрической энергии строго в конце получаса (часа) и сравнивать с данными, зарегистрированными в сервере системы для того же момента времени. Для этого визуально или с помощью переносного компьютера через оптопорт считывают показания счетчика по активной и реактивной электрической энергии и сравнивают эти данные (с учетом коэффициентов трансформации измерительных трансформаторов), с показаниями, зарегистрированными в сервере системы. Расхождение не должно превышать две единицы младшего разряда учтенного значения.
-
8.7.5 Результат проверки считается положительным, если отсутствуют пропуски данных во всех компонентах АИИС КУЭ и показания счетчиков по активной и реактивной электрической энергии совпадают с показаниями, зарегистрированными на сервере. В случае невозможности устранения несоответствий, ИК с выявленными несоответствиями признаются непригодными к дальнейшему применению.
-
8.8 Проверяют синхронизацию системного времени АИИС КУЭ
-
8.8.1 Выключить синхронизацию, изменить время часов счетчиков и УСПД на 1 мин, установить произвольное время на сервере. Включить синхронизацию. Через 1 час проверить совпадение времени всех указанных устройств.
-
Проверка считается успешной если выполняется автоматическая синхронизация даты и времени внутренних часов счетчиков, УСПД и сервера, при этом текущая дата и время соответствует времени, синхронизированному со шкалой времени UTC (SU).
-
8.8.2 Проверить правильность работы системы синхронизации времени, определяя по журналу событий расхождение времени синхронизируемого и синхронизирующего компонентов в момент, непосредственно предшествующий коррекции времени.
Проверка считается успешной если расхождение времени синхронизируемого и синхронизирующего компонентов не превышает указанных в проекте описания типа.
-
8.9 Проверяют вторичные нагрузки измерительных трансформаторов тока.
-
8.9.1 Проверяют наличие документов, подтверждающих правильность подключения вторичных обмоток ТТ. При отсутствии таких документов проверяют правильность подключения вторичных обмоток ТТ.
-
8.9.2 Измеряют вторичные нагрузки ТТ, которые должны находиться в диапазоне, указанном в ГОСТ 7746 и/или в описании типа средств измерений на конкретный тип ТТ.
-
Измерение тока и вторичной нагрузки ТТ проводят в соответствии с документом «Методика выполнения измерений параметров нагрузки и вторичных цепей измерительных трансформаторов тока и напряжения прибором «Энергомонитор З.ЗТ» в условиях
Лист 9 Листов 12 эксплуатации», зарегистрированном в Федеральном информационном фонде по обеспечению единства измерений под № ФР. 1.34.2009.05522.
Примечания
-
1 Допускается измерение мощности нагрузки вторичных цепей ТТ не проводить, если такие измерения проводились при составлении паспорта-протокола на данный измерительный комплекс в течение истекающего межповерочного интервала АИИС КУЭ. Результаты проверки считают положительными, если паспорт-протокол подтверждает выполнение указанного выше условия для ТТ.
-
2 Допускается мощность нагрузки определять расчетным путем, если известны входные (проходные) импедансы всех устройств, подключенных ко вторичным обмоткам ТТ.
-
3 Допускается проведение измерений в соответствии с другими аттестованными методиками измерений.
-
8.9.3 Результат проверки считается положительным, если вторичные нагрузки ТТ находится в диапазоне, указанном в ГОСТ 7746 и/или в описании типа средств измерений на конкретный тип ТТ.
Примечание: ТТ, изготовленные после 01.01.2016, должны соответствовать ГОСТ 7746-2015, ТТ, изготовленные до 01.01.2016-ГОСТ 7746-2001.
При отклонении вторичной нагрузки ТТ от допустимого диапазона, процедуру проверки приостанавливают до устранения данных несоответствий. В случае невозможности устранения несоответствий, ИК с выявленными несоответствиями признаются непригодными к дальнейшему применению
-
8.10 Проверяют мощность нагрузки измерительных трансформаторов напряжения.
-
8.10.1 Проверяют наличие документов, подтверждающих правильность подключения первичных и вторичных обмоток TH. При отсутствии таких документов или нарушении (отсутствии) пломб проверяют правильность подключения первичных и вторичных обмоток TH.
-
8.10.2 При проверке мощности нагрузки TH необходимо убедиться, что отклонение вторичного напряжения при нагруженной вторичной обмотке составляет не более ±10 % от UH0M.
-
Измеряют мощность нагрузки TH, которая должна находиться в диапазоне, указанном в ГОСТ 1983 и/или в описании типа средств измерений на конкретный тип TH.
Измерение мощности нагрузки вторичных цепей TH проводят в соответствии с документом «Методика выполнения измерений параметров нагрузки и вторичных цепей измерительных трансформаторов тока и напряжения прибором «Энергомонитор З.ЗТ» в условиях эксплуатации», зарегистрированном в Федеральном информационном фонде по обеспечению единства измерений под № ФР. 1.34.2009.05522.
Примечания
-
1 Допускается измерение мощности нагрузки вторичных цепей TH не проводить, если такие измерения проводились при составлении паспорта-протокола на данный измерительный комплекс в течение истекающего межповерочного интервала АИИС КУЭ. Результаты проверки считают положительными, если паспорт-протокол подтверждает выполнение указанного выше условия для TH.
-
2 Допускается мощность нагрузки определять расчетным путем, если известны входные (проходные) импедансы всех устройств, подключенных ко вторичным обмоткам измерительных трансформаторов.
-
3 Допускается проведение измерений в соответствии с другими аттестованными методиками измерений.
-
8.10.3 Результат проверки считается положительным, если мощность нагрузки вторичных цепей TH находится в диапазоне, указанном в ГОСТ 1983 и/или в описании типа средств измерений на конкретный тип TH.
При отклонении мощности нагрузки TH от допустимого диапазона, процедуру проверки приостанавливают до устранения данных несоответствий. В случае невозможности устранения несоответствий, ИК с выявленными несоответствиями признаются непригодными к дальнейшему применению.
Лист 10 Листов 12
-
8.11 Проверяют падение напряжения в линии связи счетчика с измерительным трансформатором напряжения
-
8.11.1 Измеряют падение напряжения ил в проводной линии связи для каждой фазы в соответствии с документом «Методика выполнения измерений параметров нагрузки и вторичных цепей измерительных трансформаторов тока и напряжения прибором «Энергомонитор З.ЗТ» в условиях эксплуатации», зарегистрированном в Федеральном информационной фонде по обеспечению единства измерений под № ФР. 1.34.2009.05522.
-
8.11.2 Значение падения напряжения в линии связи счетчика с измерительным трансформатором напряжения должно соответствовать требованиям п.1.5 Правил устройства электроустановок
-
(6 издание).
Примечания
-
1 Допускается измерение падения напряжения в линии соединения счетчика с TH не проводить, если такие измерения проводились при составлении паспорта-протокола на данный измерительный комплекс в течение истекающего межповерочного интервала. Результаты проверки считают положительными, если паспорт-протокол подтверждает выполнение указанного выше требования.
-
2 Допускается падение напряжения в линии соединения счетчика с TH определять расчетным путем, если известны параметры проводной линии связи и сила электрического тока, протекающего через линию связи.
-
3 Допускается проведение измерений в соответствии с другими аттестованными методиками измерений.
-
8.11.3 Результат проверки считается положительным, если падение напряжения в линии связи между вторичной обмоткой TH и счетчиком соответствует требованиям п.1.5 Правил устройства электроустановок (6 издание).
При превышении значения падения напряжения в линии связи счетчика с измерительным трансформатором напряжения допустимого значения, процедуру проверки приостанавливают до устранения данных несоответствий. В случае невозможности устранения несоответствий, ИК с выявленными несоответствиями признаются непригодными к дальнейшему применению.
9 ПРОВЕРКА ПРОГРАММНОГО ОБЕСПЕЧЕНИЯ СРЕДСТВА ИЗМЕРЕНИЙ-
9.1 Проводят проверку соответствия заявленных идентификационных данных программного обеспечения (ПО), указанных в описании типа и эксплуатационной документации:
-
- наименование ПО;
-
- идентификационное наименование ПО;
-
- номер версии (идентификационный номер) ПО;
-
- цифровой идентификатор ПО (контрольная сумма исполняемого кода);
-
- алгоритм вычисления цифрового идентификатора ПО.
-
9.2 Проверка идентификации ПО АЛИС КУЭ
Убедиться, что идентификационное наименование и номер версии ПО соответствует заявленным (наименование ПО и его версия определяются после загрузки ПО).
-
9.3 Проверка цифрового идентификатора ПО.
На выделенных модулях ПО проверить цифровые идентификаторы и алгоритм вычисления цифрового идентификатора.
Проверка цифрового идентификатора ПО происходит на ИВК (сервере), где установлено ПО. Запустить менеджер файлов, позволяющий производить хэширование файлов или специализированное ПО, предоставляемое разработчиком. В менеджере файлов, необходимо открыть каталог и выделить файлы, указанные в описании типа на АЛИС КУЭ. Далее, запустив соответствующую программу просчитать хэш. По результатам формируются файлы, содержащие коды алгоритмов вычисления цифрового идентификатора в текстовом формате. Наименование файла алгоритма вычисления цифрового идентификатора должно соответствовать наименованию файла, для которого проводилось хэширование.
-
9.4 Результат проверки считается положительным, если идентификационное наименование
Лист 11
Листов 12 ПО, номер версии (идентификационный номер) ПО, цифровой идентификатор ПО не противоречат приведенным в описании типа на АНИС КУЭ.
В случае выявления несоответствий по пунктам 9Л - 9.3 АПИС КУЭ признается непригодной к дальнейшему применению.
10 ОПРЕДЕЛЕНИЕ МЕТРОЛОГИЧЕСКИХ ХАРАКТЕРИСТИК СРЕДСТВА ИЗМЕРЕНИЙ-
10.1 Определение погрешности ПК при измерении активной и реактивной электрической энергии
-
10.1.1 Для определения метрологических характеристик измерительных каналов АЛИС КУЭ необходимо выполнить расчет (оценку) погрешности измерений активной и реактивной электроэнергии для сравнения с указанной в проекте описания типа.
-
10.1.2 Границы интервала допускаемых относительных погрешностей ИК рассчитываются для рабочих условий при доверительной вероятности Р=0,95.
-
10.1.3 Рабочие условия (с учетом чувствительности измерительных компонентов к влияющим факторам) в соответствии с п. 3.
-
10.1.4 Границы интервала допускаемой относительной погрешности для рабочих условий ИК вычисляют по формуле 1:
-
§ик = > ^тт +STH +^Л +5оС (1)
где
5ик - границы интервала допускаемой относительной погрешности для рабочих условий ИК активной (реактивной) электроэнергии в % для вероятности 0,95;
5тт - границы интервала допускаемой относительной погрешности по амплитуде
трансформатора тока (ТТ) в %;
5тн - границы интервала допускаемой относительной погрешности по амплитуде
трансформатора напряжения (TH) в %;
5е - наибольшая возможная относительная погрешность, обусловленная угловыми погрешностями измерительных трансформаторов в %;
5л - границы интервала допускаемой относительной погрешности, обусловленной потерями напряжения в линии связи между TH и счетчиком в %;
5Cj - дополнительная погрешность счетчика от j-ой влияющей величины, %;
5ос - границы интервала допускаемой основной относительной погрешности счетчика электроэнергии в %.
-
10.1.5 При отсутствии в ИК каких-либо измерительных компонентов, соответствующие значения погрешностей в формуле 1 не используются.
-
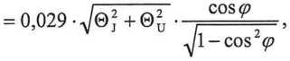
10.1.6 Погрешность трансформаторной схемы подключения счетчика 5©, возникающую за счет угловых погрешностей ТТ и TH, определяют при измерении активной энергии и реактивной энергии с учетом угловых погрешностей ©и и 0j и значения coscp по следующим формулам:
- при измерении активной энергии:
!—---- Jl-cosV
=0,029-7© ------- (2)
COS(p
- при измерении реактивной энергии:
,------- Jl-sin2^

(3)
= 0,029- д/02 + 0 у--;------ или 5
sm^>
где:
0j - угловая погрешность ТТ, мин;
©и - угловая погрешность TH, мин;
cos ср - коэффициент мощности по активной электроэнергии контролируемого присоединения, усредненный за получасовой интервал времени;
Лист 12 Листов 12 sin (p - коэффициент мощности по реактивной электроэнергии контролируемого присоединения, усредненный за получасовой интервал времени.
-
10.1.7 Границы интервала допускаемой относительной погрешности вычисляют раздельно для ИК активной и реактивной электроэнергии.
-
10.1.8 Результат проверки считается положительным, если рассчитанные значения погрешностей не превышают значений, приведенных в описании типа.
10.2 Определение погрешности времени компонентов АИИС КУЭ
-
10.2.1 Включают Радиочасы МИР РЧ-02 и сравнивают показания радиочасов с показаниями часов счетчиков электрической энергии, УСПД, сервера в единый момент времени и фиксируют разность показаний по формуле:
\ =h~ ^Ki (^)
где
ta - показания часов МИР РЧ-02, чч:мм:сс;
tKi - показания часов z-ro компонента АИИС КУЭ, чч:мм:сс.
-
10.2.2 Результат проверки считается положительным, если смещение шкалы времени счетчиков, УСПД и сервера относительно шкалы времени UTC (SU) не превышает ±5 с.
-
11.1 На основании положительных результатов всех проверок по пунктам разделов 7-10 АИИС КУЭ или отдельные ИК признаются пригодными к применению (подтверждено соответствие АИИС КУЭ или отдельных ИК установленным метрологическим требованиям).
-
11.2 На основании отрицательных результатов хотя бы по одной из проверок по пунктам разделов 7-10 АИИС КУЭ или отдельные ИК признаются непригодными к применению (не подтверждено соответствие АИИС КУЭ или отдельных ИК установленным метрологическим требованиям).
-
12.1 Сведения о результатах поверки должны быть переданы в Федеральный информационный фонд по обеспечению единства измерений в соответствии с порядком создания и ведения Федерального информационного фонда по обеспечению единства измерений, передачи сведений в него и внесения изменений в данные сведения, представления содержащихся в нем документов и сведений, предусмотренным частью 3 статьи 20 Федерального закона № 102-ФЗ, аккредитованным на поверку лицом, проводившим поверку, в сроки, не превышающие 40 рабочих дней с даты поверки.
-
12.2 По заявлению владельца АИИС КУЭ или лица, представившего АИИС КУЭ на поверку, аккредитованное на поверку лицо, проводившее поверку, в случае положительных результатов поверки по п. 11.1 (подтверждено соответствие АИИС КУЭ или отдельных ИК метрологическим требованиям) выдает свидетельство о поверке, оформленное в соответствии с требованиями к содержанию свидетельств о поверке, утвержденными приказом Минпромторга России от 31.07.2020 г. № 2510. Знак поверки наносится на свидетельство о поверке. В приложении к свидетельству о поверке указывается перечень, состав и метрологические характеристики ИК, прошедших поверку и пригодных к применению. В случае отрицательных результатов поверки по п. 11.2 (не подтверждено соответствие АИИС КУЭ или отдельных ИК метрологическим требованиям) аккредитованное на поверку лицо, проводившее поверку выдает извещение о непригодности в соответствии с порядком проведения поверки средств измерений, утвержденными приказом Минпромторга России от 31.07.2020 г. № 2510. В приложении к извещению о непригодности указывается перечень и состав ИК, прошедших поверку и признанных непригодными к дальнейшему применению, с указанием причин непригодности.
Д. В. Рыбаков
Главный инженер ООО «ЭнерТест»
3.1
Влияющие величины, определяющие условия поверки АЛИС
КУЭ, должны
