Методика поверки «ГСОЕИ. Резервуары стальные вертикальные цилиндрические теплоизолированные РВС-400» (МП 0017-2021)
Общество с ограниченной ответственностью «МетроКонТ»
согл

ОВАНО
Директор
рОО «МетроКонТ»
___Е.Ю. Трифонов
«24» сентября 2021 г.
ИНСТРУКЦИЯ
ГОСУДАРСТВЕННАЯ СИСТЕМА ОБЕСПЕЧЕНИЯ ЕДИНСТВА ИЗМЕРЕНИЙ
Резервуары стальные вертикальные цилиндрические теплоизолированные РВС-400
Методика поверки
МП 0017-2021
Казань, 2021 г.
Содержание
Стр.
-
6 Метрологические и технические требования к средствам поверки
-
10 Определение метрологических характеристик резервуара
-
11 Подтверждение соответствия резервуара метрологическим требованиям
ИНСТРУКЦИЯ
Государственная система обеспечения единства измерений
Резервуары стальные вертикальные цилиндрические теплоизолированные РВС-400. Методика поверки
МП 0017-2021
ГОСТ 12.1.005-88
ГОСТ 12.4.087-84
ГОСТ 12.4.137-2001
ГОСТ 7502-98
ГОСТ 12.4.310-2016
3.1 При выполнении измерений геометрических параметров внутренней полости резервуаров выполняют операции указанные в таблице 1.
Таблица 1
Наименование операции |
Первичная поверка |
Периодическая поверка |
Внешний осмотр |
Да |
Да |
Измерение базовой высоты |
Да |
Да |
Определение внутренних диаметров поясов резервуара |
Да |
Да |
Измерения высот поясов резервуара |
Да |
Да |
Определение параметров «мертвой» полости резервуара |
Да |
Да |
Определение объемов внутренних деталей |
Да |
Да |
-
4.1 При поверке соблюдают следующие условия:
-
4.1.1 Измерения параметров резервуара проводят изнутри его.
-
4.1.2 Для проведения измерений параметров резервуара его освобождают от остатков нефти и нефтепродукта, зачищают, пропаривают (при необходимости), промывают и вентилируют.
-
4.1.3 Температура окружающего воздуха и воздуха внутри резервуара от минус 10°С до плюс 35°С.
-
4.1.4 При проведении периодической поверки допускается использовать результаты измерений вместимости «мертвой» полости, полученные ранее, и вносить их в таблицу Б.7 приложения Б, если изменение базовой высоты резервуара по сравнению с результатами её измерений в предыдущей поверке составляет не более 0,1 %.
-
-
5.1 Измерения параметров при поверке резервуара проводит группа лиц (не менее двух человек), включая не менее одного специалиста, прошедшего курсы повышения квалификации, и других лиц (при необходимости).
-
5.2 К поверке резервуара допускают лиц, изучивших настоящую методику, техническую документацию на резервуар и его конструкцию и прошедших инструктаж по безопасности труда в соответствии с ГОСТ 12.0.004-2015.
-
5.3 Лица, проводящие работы, используют спецодежду по ГОСТ 12.4.310-2016, спецобувь по ГОСТ 12.4.137-2001, строительную каску по ГОСТ 12.4.087-84.
-
5.4 Предельно допустимая концентрация (ПДК) вредных паров и газов в воздухе, измеренная газоанализатором вблизи и внутри резервуара на высоте 2000 мм, не должна превышать 300 мг/м3-по ГОСТ 12.1.005-88.
-
5.5 Измерения параметров резервуара во время грозы категорически запрещены.
-
5.6 Перед началом поверки резервуара проверяют исправность:
-
- лестниц с поручнями и подножками;
-
- помостов с ограждениями.
-
5.7 В процессе измерений параметров резервуара обеспечивают двух или трехкратный обмен воздуха внутри резервуара. При этом анализ воздуха на содержание вредных паров и газов проводят через каждый час.
-
5.8 Интервал между поверками - 5 лет.
Применяемые при поверке средства измерений должны быть поверены и обеспечивать пределы допускаемой погрешности измерений параметров резервуара, приведенные в таблице 2.
Таблица 2
Наименование измеряемого параметра |
Пределы допустимой погрешности измерений параметров резервуара |
Диаметр резервуара, мм |
± 3 |
Высота пояса, мм |
±3 |
Измерение расстояний, мм |
± 3 |
Температура стенки резервуара, °C |
± 2 |
Объем внутренних деталей, м3 |
± (0,025-0,25) |
При соблюдении указанных в таблице 2 пределов допускаемой погрешности измерений, относительная погрешность определения вместимости резервуара не превышает: ± 0,20 %.
При проведении поверки резервуаров должны применятся следующие основные и вспомогательные средства поверки, приведенные в таблице 3.
Таблица 3
Наименование средства измерений |
Наименование характеристики |
Значение |
Основные средства поверки | ||
Тахеометр электронный Nikon NPR-332 |
диапазон измерения углов:
|
от 0 до 360 от 1,5 до 300 |
Предел допускаемой средней квадратической погрешности измерений расстояний одним приемом, мм |
3+2 W6D | |
Предел допускаемой средней квадратической погрешности измерений углов (вертикальных и горизонтальных)," |
5" | |
Рулетка измерительная металлическая типа Р30Н2Г |
Номинальная длина шкалы рулетки, м |
30 |
Допускаемое отклонение действительной длины интервалов шкал рулеток от нанесенной на шкале при температуре окружающей среды 20 °C, мм, не более |
± (0,30 + 0,15(1.- 1)) | |
Рулетка измерительная |
Номинальная длина шкалы рулетки, м |
50 |
металлическая типа Р50У2К |
Допускаемое отклонение действительной длины интервалов шкал рулеток от нанесенной на шкале при температуре окружающей среды 20 °C, мм, не более |
± (0,30 + 0,15(L- 1)) |
Вспомогательные средства поверки и оборудование | ||
Анализатор-течеискатель АНТ-ЗМ |
Пределы допускаемой основной относительной погрешности, % |
±25 |
Допускается применение аналогичных средств поверки, обеспечивающих определение метрологических характеристик поверяемых средств измерений с требуемой точностью.
7 ТРЕБОВАНИЯ ПО ОБЕСПЕЧЕНИЮ БЕЗОПАСНОСТИ ПРОВЕДЕНИЯ ПОВЕРКИК работе по проведению поверки резервуара стального вертикального цилиндрического теплоизолированного допускаются лица, прошедшие обучение и аттестованные по безопасности труда в соответствии с ГОСТ 12.0.004.
Поверитель перед началом проведения работ должен изучить порядок работы с применяемым при поверке оборудованием.
При проведении поверки с целью сохранения жизни и здоровья поверителей, предельно допустимая концентрация (ПДК) вредных паров и газов в воздухе, измеренная газоанализатором вблизи или внутри резервуара на высоте 2000 мм, не должна превышать ПДК, определенной по ГОСТ 12.1.005-88 и соответствовать санитарным правилам СанПиН 1.2.3685-21.
8 ВНЕШНИЙ ОСМОТР-
8.1.1 При внешнем осмотре резервуара проверяют:
-
- состояние конструкции и внутренних деталей резервуара технической документации на него (паспорту, технологической карте на резервуар);
-
- исправность лестниц и перил;
-
- состояние днища резервуара (отсутствие бугров, ям);
-
- чистоту внутренней поверхности резервуара;
-
- отсутствие деформации стенок резервуара, препятствующих проведению измерений параметров резервуара.
-
8.1.2 По результатам внешнего осмотра устанавливают возможность применения геометрического метода поверки резервуара.
-
9.1 При подготовке к поверке проводят следующие работы:
-
9.1.1 Изучают техническую документацию на резервуар, рабочие эталоны и вспомогательные средства поверки.
-
9.1.2 Подготавливают их согласно технической документации на них, утвержденной в установленном порядке.
-
9.1.3 Штатив тахеометра приводят в рабочее положение, устанавливают на него тахеометр, проводят необходимые операции к подготовки к работе, в соответствии с руководством по эксплуатации. Для удобства выполнения измерений рекомендуемая высота установки: 1650 - 1750 мм от днища резервуара до визирной линии тахеометра.
-
9.1.4 Проводят высотную привязку установки тахеометра, для этого:
-
а) опускают измерительную рулетку с грузом через измерительный люк до точки касания днища грузом рулетки и фиксируют её мелом;
б) устанавливают тахеометр в области центра резервуара, при этом место установки выбирают с учетом стабильного позиционирования прибора (отсутствие хлопуна);
в) тахеометр горизонтируют, с помощью триггеров в соответствии с его технической документацией. Выбирают режим измерений тахеометра HD-h-HZ. Величину горизонтального угла устанавливают Hz = 0°00 00 ;
г) направляют визир оптической трубы тахеометра (далее - визир тахеометра) по нормали к цилиндрической стенке резервуара в место пересечения днища и стенки (точка А рисунок А.З);
д) измеряют расстояние hA и вводят с обратным знаком в меню настроек тахеометра как высоту установки инструмента (рисунок А.З);
е) повторно снимая показания hA , проверяем правильность ввода данных. На меню дисплея отображения данных должны быть координаты: Hz — 0°00 00 ; Л = 0.
-
9.1.5 В программном обеспечении тахеометра формируют файл записи данных измерений.
-
10 ОПРЕДЕЛЕНИЕ МЕТРОЛОГИЧЕСКИХ ХАРАКТЕРИСТИК РЕЗЕРВУАРА
-
10.1.1 Базовую высоту резервуара Нб измеряют измерительной рулеткой с грузом не менее двух раз. Расхождение между результатами двух измерений не должно превышать 2 мм (рисунок А.2, Приложение А).
В точке касания днища грузом рулетки проводят мелом отметку на днище резервуара.
-
10.1.2 Результаты измерений базовой высоты /7б с указанием места отсчета вносят в протокол, форма которого приведена в приложении Б (таблица Б.З).
-
10.1.3 Базовую высоту измеряют ежегодно. Ежегодные измерения базовой высоты резервуара проводит комиссия, назначенная приказом руководителя предприятия -владельца резервуара, в состав которой должен быть включен специалист, прошедший курсы повышения квалификации по поверке и калибровке резервуаров.
При ежегодных измерениях базовой высоты резервуара резервуар может быть наполнен до произвольного уровня.
Результат измерений базовой высоты резервуара не должен отличаться от ее значения, указанного в протоколе поверки резервуара, более чем на 0,1 %.
Если это условие не выполняется, то проводят повторное измерение базовой высоты при уровне наполнения резервуара, отличающимся от его уровня наполнения, указанного в протоколе поверки резервуара, не более чем на 500 мм.
Результаты измерений базовой высоты оформляют актом, форма которого приведена в приложении В.
При изменении базовой высоты по сравнению с ее значением, установленным при поверке резервуара, более чем на 0,1 % устанавливают причину и устраняют ее. При отсутствии возможности устранения причины проводят внеочередную поверку резервуара.
10.2 Определение внутренних диаметров поясов резервуара-
10.2.1 Определение внутренних диаметров поясов проводят с применением тахеометра. Внутренне диаметры поясов резервуара Ц определяют по результатам измерений радиусов на 12 образующих в каждом поясе резервуара.
Тахеометр устанавливают в режим измерений «.SD-Hz-Vz».
Измерение резервуара проводят:
а) для первого пояса - в верхнем сечении;
б) для вышестоящих поясов - в нижнем и верхнем сечениях.
Нижнее и верхнее сечения находятся в плоскости отходящих от сварного шва на величину равную 1/5 высоты пояса (рисунок А.4, Приложение А).
-
10.2.2 Измерение радиусов поясов резервуара проводят в следующей последовательности (рисунок А.5, Приложение А).
-
10.2.2.1 Направляют сетку нитей визира тахеометра на стенку резервуара в верхнем сечении 1-го пояса и измеряют: наклонное расстояние /дв , мм; вертикальный угол Vq1b , угл. сек.
-
10.2.2.2 Направляют сетку нитей визира тахеометра на стенку резервуара в нижнем сечении 2-го пояса и измеряют: наклонное расстояние /дн , мм; вертикальный угол \/02н , угл. сек.
-
10.2.2.3 Направляют сетку нитей визира тахеометра на стенку резервуара в верхнем сечении 2-го пояса и измеряют: наклонное расстояние /qb , мм; вертикальный угол V02B , угл. сек.
-
10.2.2.4 Проводят аналогичные операции по 10.2.2.2, 10.2.2.3 и измеряют : наклонные расстояние 1'0в , мм; вертикальны! углы \/qb , угл. сек.
-
Примечание - В обозначениях Iqb и \/qb верхний индекс указывает номер текущего пояса, в нижнем индексе - цифра соответствует номеру образующей (0, 1....N) , буква «н» и «в» соответствует плоскости (сечению) измерений (нижнее и верхнее соответственно).
-
10.2.2.5 Поворачивают алидаду тахеометра в горизонтальной плоскости против часовой стрелке на угол 30° (рисунок А.6, Приложение А). Фиксируют значение
1
горизонтального угла ф1н , угл. сек. первой образующей.
-
10.2.2.6 Проведя аналогичные операции по 10.2.2.1 - 10.2.2.4 измеряют , мм;
вертикальные углы .
-
10.2.2.7 Поворачивают алидаду тахеометра на угол 60°. Фиксируют значение
-1
горизонтального угла <р2н ■ Угл- сек- вт°Р°й образующей и проводят операции по 10.2.2.1 - 10.2.2.6.
-
10.2.2.8 Проводят аналогичные операции на остальных образующих.
-
10.2.2.9 Результаты измерений вносят в протокол, форма которого приведена в приложении Б (таблицы Б.4, Б.4.1).
Высоту i-ro пояса резервуара /?, измеряют на нулевой и противоположной N/2 образующей резервуара (рисунок А.7, Приложение А), при помощи тахеометра, в следующей последовательности.
-
10.3.1 Устанавливают на тахеометра режим измерений «.HD-h-Hz».
10.32 Направляют сетку нитей визира тахеометра на середину сварного шва соединения верхней границы 1-го пояса и нижней границы 2-го пояса. Измеряют расстояние высоту превышения, как расстояние по вертикали th^, мм.
-
10.3.3 Проводя аналогичные процедуры по 10.3.3 измеряют расстояния th2-..thk, мм, вышестоящих поясов.
-
10.3.4 Результаты измерений вносят в протокол, форма которого приведена в приложении Б (таблица Б.5).
При определении параметров «мертвой» полости резервуара проводят измерения:
-
1) объема неровностей днища;
-
2) высоты «мертвой» полости;
-
3) координаты точки касания днища грузом рулетки.
-
10.4.1 Измерение объема неровностей днища тахеометра, вехи с призменным отражателем и измерительной рулетки путем измерения высот превышения рейки в точках пересечения концентрических окружностей днища (I, II,...VIII) и 8 радиусов днища (рисунок А.9, Приложение А).
Определение объема неровностей днища
Измерения проводят в следующей последовательности.
-
10.4.1.1 Проводят высотную привязку тахеометра к точке касания днища грузом рулетки днища грузом рулетки.
Тахеометр приводят в отражательный режим измерений «HD-h-Hz».
Устанавливают веху с призменным отражателем в точку касания днища грузом рулетки, контролируя вертикальное положение по круговому уровню вехи.
Наводят сетку нитей визира в центр призменного отражателя и измеряют высоту превышения hQ, мм, (рисунок А.8, Приложение А) и вводят с обратным знаком в меню настроек тахеометра как высоту установки инструмента.
Повторно снимая показания hQ, проверяем правильность ввода данных. На меню дисплея отображения данных должны быть координаты: Hz = 0°00 00 ; /7 = О.
-
10.4.1.2 Формируют координаты отсчета (места установки вехи) на первом радиусе, для чего укладывают рулетку на днище резервуара, при этом начало отсчета совмещают с точкой установки станции, а второй конец совмещают с отметкой 1-ой образующей на стенке резервуара (рисунок А.9, Приложение А).
-
10.4.1.3 Устанавливают веху в точку 1 (пересечение 1-й окружности на 1-й образующей), координаты отсчета приведены в таблице 3, контролируя вертикальное положение по круговому уровню вехи. Наводят сетку нитей визира в центр призменного отражателя и измеряют высоту превышения 1( мм, (рисунок А. 10, Приложение А). Последовательно устанавливая в остальных точках отсчета измеряют высоты превышения Ь2 Ь8 11, мм.
Таблица 3
Тип |
Отсчет по шкале ленты |
оулетки, мм, на ра |
диусе | |||||
I |
II |
III |
IV |
V |
VI |
VII |
VIII | |
РВС-400 |
0.35R |
0,5R |
0,61 R |
0,71R |
0.79R |
0.86R |
0.93R |
стенка |
-
10.4.1.4 Поворачивают алидаду тахеометра на 45° против часовой стрелки и укладывают ленту рулетки на 2-й радиус днища, совмещая начало отсчета (точка Ь2 -,), э второй конец совмещают с отметкой 2-ой образующей на стенке резервуара (рисунок А.9). Проводят измерения высот превышения Ь22,--->Ь82 на ВТ0Р0М радиусе аналогично.
-
10.4.1.5 Проводя аналогичные процедуры по 10.4.1.2-10.4.1.4 измеряют высоты превышений точек отсчета на остальных образующих.
-
10.4.1.6 Результаты измерений вносят в протокол поверки форма которого приведена в приложении Б (таблица Б.6).
10.4.2 Измерение высоты «мертвой» полости
Измерение высоты «мертвой» полости резервуара проводят с применением тахеометра в следующей последовательности.
Устанавливают веху с призменным отражателем на плоскость среза приемнораздаточного устройства. Направляют сетку нитей визира на центр призмы и измеряют расстояние thMn, мм, как высоту превышения (рисунок А.11, Приложение А). Измерения проводят 2 раза, расхождение между результатами измерений должно быть не более 1 мм.
Результаты измерений вносят в протокол поверки форма которого приведена в приложении Б (таблица Б.7).
-
10.4.3 Измерение координаты точки касания днища грузом рулетки
Координату точки касания днища грузом рулетки измеряют тахеометром в следующей последовательности.
Устанавливают веху в точку касания днища грузом рулетки, контролируя вертикальное положение по круговому уровню вехи. Наводят сетку нитей визира в центр призменного отражателя и измеряют горизонтальный угол ф0 ,0, и контролируют высоту /70, мм. В соответствии с пунктом 10.5.1.1 её значение должно быть равно нулю.
Результаты измерений вносят в протокол поверки форма которого приведена в приложении Б (таблица Б.8).
10.5 Определение объемов внутренних деталейОбъемы внутренних деталей, находящихся в резервуаре, определяют по данным проектной документации на резервуар.
Внутренняя деталь, которая влияет на вместимость резервуара является люк-лаз и центральная труба.
Данные объемов и расположения внутренних деталей носят в протокол поверки форма которого приведена в приложении Б (таблица Б.9).
11 ПОДТВЕРЖДЕНИЕ СООТВЕТСТВИЯ РЕЗЕРВУАРА МЕТРОЛОГИЧЕСКИМ ТРЕБОВАНИЯМРезервуар соответствует метрологическим требованиям, если значения относительной погрешности вместимости резервуара, определенные по настоящей методике, не превышают значения предела допускаемой относительной погрешности вместимости резервуара, указанного в паспорте.
11.1 Обработка результатов измерений-
11.1.1 Обработку результатов измерений при поверке проводят в соответствии с приложением В.
-
11.2.1 Градуировочную таблицу составляют начиная с уровня Нмп, соответствующего высоте «мертвой» полости hMn, до предельного уровня /7пр, вычисляя посантиметровую вместимость резервуара /-го пояса У (/7)., м3, по формуле
^(Н\=У(Н)^+^(Н-Н^, (1)
где
- посантиметровая вместимость резервуара, соответствующая уровню
Н,_1, м3;
Н - уровень жидкости, соответствующий, отсчитываемый от точки касания днища грузом рулетки, см;
//;_1 - уровень жидкости, соответствующий суммарной высоте поясов, см;
D/ - внутренний диаметр /-го пояса, вычисляемый по формуле (Д.1), мм.
-
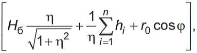
11.2.2 Предельный уровень Нпр, см, до которого составляют градуировочную таблицу, вычисляют по формуле где п - номер пояса, выбираемый из ряда: 2, 3,..., п;
(2)
hj - высота i-ro пояса, мм;
Го - радиус расположения точки касания днища грузом рулетки, мм;
<р - угол направления наклона резервуара, °.
-
11.2.3 Посантиметровую вместимость 1-го пояса V м3, вычисляют по
формуле (Д.8).
-
11.2.4 В пределах каждого пояса вычисляют коэффициент вместимости, равный вместимости, приходящейся на 1 мм высоты наполнения.
-
11.2.5 Градуировочную таблицу «мертвой» полости составляют, начиная от исходной точки до уровня //мп , соответствующий высоте «мертвой» полости.
-
11.2.6 При составлении градуировочной таблицы значения вместимости округляют ДО 1 дм3.
-
11.2.7 Значения посантиметровой вместимости, указанные в градуировочной таблице, соответствуют температуре 20 °C.
-
11.2.8 Результаты расчетов вносят в журнал, форма которого приведена в приложении Г.
-
11.2.9 Обработка результатов измерений может быть проведена ручным способом или с использованием разработанного и аттестованного в установленном порядке программного обеспечения.
-
11.2.10 Результаты измерений должны быть оформлены протоколом поверки, форма которого приведена в приложении Б, который является исходным документом для расчета градуировочной таблицы.
12.1 Сведения о результатах поверки средств измерений в целях подтверждения поверки передаются в Федеральный информационный фонд по обеспечению единства измерений. По заявлению владельца средств измерений или лица, представившего их на поверку, с учетом требований методик поверки аккредитованное на поверку лицо, проводившее поверку, в случае положительных результатов поверки выдает свидетельства о поверке.
При отрицательных результатах поверки оформляют извещение о непригодности
-
12.2 К свидетельству о поверке прикладывают:
а) градуировочную таблицу;
б) протокол поверки.
-
12.3 Форма титульного листа градуировочной таблицы и форма градуировочной таблицы приведены в приложении Г. Форма акта ежегодных измерений базовой высоты резервуара приведена в приложении В.
Протокол поверки подписывает поверитель.
Титульный лист и последнюю страницу градуировочной таблицы подписывает поверитель.
-
12.4 Знак поверки наносится в свидетельство о поверке.
-
12.5 Градуировочную таблицу утверждает руководитель или уполномоченное лицо организации, аккредитованной на право проведения поверки.
ПРИЛОЖЕНИЕ А

Рисунок АЛ - Веха телескопическая с призменным отражателем

измерительная рулетка а грузам
----------- |
1 | ||
л | |||
_ | |||
1 |
1 | ||
тачка касания днища грузом рулетки
Рисунок А. 2 - Схема измерений базовой высоты


Рисунок А.4 - Схема расположений плоскостей измерений (сечений) внутренних радиусов резервуара

Рисунок А.5 - Схема измерений радиусов поясов резервуара

Рисунок А.7 - Схема измерений высоты поясов

7

Рисунок А.9 - Координаты отсчета (место установки вехи) неровностей днища


Рисунок А. 10 - Схема измерений высот превышения неровностей днища


ПРИЛОЖЕНИЕ Б
(обязательное)
Форма протокола поверки резервуара
ПРОТОКОЛ
поверки резервуара геометрическим методом
Таблица Б.1- Общие данные
Дата |
Основание для проведения поверки | ||
число |
месяц |
ГОД | |
1 |
2 |
3 |
4 |
Первичная, периодическая, внеочередная |
Продолжение таблицы Б.1
Место проведения поверки |
Рабочие эталоны и вспомогательные средства |
5 |
6 |
Окончание таблицы Б.1
Резервуар | ||
Тип |
Номер |
Погрешность определения вместимости резервуара, % |
7 |
8 |
9 |
Таблица Б.2 - Условия проведения измерений
Температура воздуха внутри резервуара, °C |
Загазованность, мг/м3 |
Таблица Б.З - Базовая высота резервуара В миллиметрах
Точка измерения базовой высоты Нб |
Номер измерения | |
1 |
2 | |
Риска измерительного люка | ||
Верхний срез измерительного люка |
В миллиметрах
Таблица Б.4 - Измерение внутренних радиусов поясов резервуара
Номер пояса |
/' Значение N на образующей | ||||||||||||
1 |
2 |
3 |
4 |
5 |
6 |
7 |
8 |
9 |
10 |
11 |
12 | ||
I |
в | ||||||||||||
II |
н | ||||||||||||
в | |||||||||||||
III |
н | ||||||||||||
в | |||||||||||||
IV |
н | ||||||||||||
в | |||||||||||||
V |
н | ||||||||||||
в |
Таблица Б.4.1 - Параметры образующих
Параметр |
Номер образующей | |||||||
1 |
2 |
3 |
4 |
5 |
6 |
7 | ||
, угл. сек. |
о°оо'оо" | |||||||
Цу, |
н | |||||||
угл. сек |
в |
продолжение таблицы 4.1
Параметр |
Номер образующей | |||||
8 |
9 |
10 |
11 |
12 | ||
, угл. сек. |
н | |||||
t угл. сек |
в |
а б л и ц а Б.5 - Высота превышения поясов
Номер образующей |
Q th: Высота превышения поясов 1, мм | ||||
1 |
II |
III |
IV |
V | |
0 | |||||
N/2-1 |
Таблица Б.6 - Измерение неровностей днища В миллиметрах
№ радиуса (образую щей) |
Высота превышения в точке Ь,- у отсчет на концентрической окружности | |||||||
I |
II |
III |
IV |
V |
VI |
VII |
VIII | |
1 | ||||||||
2 | ||||||||
3 | ||||||||
4 | ||||||||
5 | ||||||||
6 | ||||||||
7 | ||||||||
8 |
Таблица Б.7- Параметры «мертвой» полости
№ измерения |
Высота (превышения) «мертвой» полости thMn, мм |
Вместимость \/мп, м3 |
1 |
2 |
3 |
1 | ||
2 | ||
Примечание - Графу 3 заполняют только при принятии вместимости «мертвой» полости по 4.1.4 |
Таблица Б.8 - Координата точки измерений уровня жидкости и базовой высоты резервуара
Параметр |
Номер измерения | |
1 |
2 | |
Угол ^0 (градус, минута, секунда) | ||
Л Высота превышения 0 , мм |
Таблица Б.9 - Внутренние детали цилиндрической формы
Диаметр, мм |
Высота от днища, мм |
Расстояние от стенки первого пояса /д, мм | |
Нижняя граница hBR |
Верхняя граница hBR | ||
Должности Подписи Инициалы, фамилии
ПРИЛОЖЕНИЕ В
(рекомендуемое)
Форма акта измерений базовой высоты резервуара
УТВЕРЖДАЮ
Руководитель предприятия - владельца
резервуара (директор, гл. инженер)
АКТизмерений базовой высоты резервуара от «____»_____________20__г.
Составлен в том, что комиссия, назначенная приказом по_________________________
наименование
_______________________________________, в составе председателя_________________
предприятия - владельца резервуара
_________________________________________и членов:________________________________
инициалы, фамилия инициалы, фамилии
провела контрольные измерения базовой высоты резервуара стального вертикального цилиндрического теплоизолированного РВС-________№______________
при температуре окружающего воздуха_______________°C.
Измерения проведены рулеткой типа______________№____________со сроком
действия поверки до «___»____________20__г.
Результаты измерений представлены в таблице 1.
Таблица 1 В миллиметрах
Базовая высота резервуара |
Уровень жидкости в резервуаре | |
Среднее арифметическое значение результатов двух измерений (Нб)к |
Значение базовой высоты, установленное при поверке резервуара (Нб)п | |
1 |
2 |
3 |
Относительное изменение базовой высоты резервуара 8б , %, вычисляют по формуле
5б ~ 6 /—с—• 100, где значения величин (/7б)к, (^б)п> приведены в 1-й, 2-й графах.
(Нб)п
Вывод - требуется (не требуется) внеочередная поверки резервуара.
Председатель комиссии
ПОДПИСЬ |
инициалы, фамилия |
Члены комиссии:
подпись |
инициалы, фамилия |
подпись |
инициалы, фамилия |
ПРИЛОЖЕНИЕ Г
Форма титульного листа градуировочной таблицы и форма градуировочной таблицы
Г.1 Форма титульного листа градуировочной таблицы2
УТВЕРЖДАЮ
«____»__________________20___г.
ГРАДУИРОВОЧНАЯ ТАБЛИЦА
на резервуар стальной вертикальный цилиндрический теплоизолированный
РВС_________ №______________
Организация________________________________________________
Погрешность определения вместимости: ± 0,20 %
Срок очередной поверки_________________________
Поверитель
ПОДПИСЬ
должность, инициалы, фамилия
Г.2 Форма градуировочной таблицы резервуара
Организация______________________
Резервуар №______________________
Г.2.1 Форма градуировочной таблицы резервуара
Таблица Г.1- Посантиметровая вместимость нижней части резервуара
Уровень наполнения, см |
Вместимость, м3 |
Уровень наполнения, см |
Вместимость, м3 |
'"'м.п | |||
нмп +1 | |||
нмп + 2 | |||
Таблица Г.2 - Средняя вместимость в пределах вместимости пояса, приходящейся
на 1 см высоты наполнения
Уровень наполнения, мм |
Вместимость, м3 |
Уровень наполнения, мм |
Вместимость, м3 |
Уровень наполнения, мм |
Вместимость, м3 |
1 |
4 |
7 | |||
2 |
5 |
8 | |||
3 |
6 |
9 |
ПРИЛОЖЕНИЕ Д
Обработка результатов измерений
Д.1 Определение внутренних диаметров поясов резервуараД.1.1 Внутренние диаметры в сечении (нижнее, верхнее) /-го пояса резервуара Ц, мм, измеренные по 10.3 вычисляют по формуле
Он(в)=2«'(в), (Д.1)
где - внутренний радиус в нижнем (верхнем) сечении /-го пояса, мм.
Д.1.2 Для вычисления внутреннего радиуса пояса резервуара проводят измерения следующих параметров:
-
- наклонного расстояния /д/н(В) (параметр SD) ;
-
- вертикального угла Уд/Н(В) (параметр Vz) ;
-
- горизонтального угла (pw (параметр Hz).
Д.1.3 Положение точки (например, точка А), лежащей на поверхности стенки пояса, определяется тремя координатами декартовой системы координат (^Н(в)’ Ун(в)’ ^н(в) ) •
Из-за не совпадения начала системы координат измерений (станции съемки) с геометрическим центром резервуара (центром окружности) радиус резервуара определяют с учетом смещения станции съемки от геометрического центра резервуара.
Д.1.4 При направлении визирной линии тахеометра к точке А расстояние от точки (хА/н(в)’ Уд/Н(в)> zA/h(b)) Д° геометрического центра резервуара в плоскости измерений (нижнее/верхнее сечение), в соответствии с [4] вычисляют по формуле

где ^Хд/н(В) J Уд/н(в)) - координаты точки А в сечении N, мм;
ан(в)> ^н(в) “ смещение по оси X и Y места установки станции съемки от геометрического центра резервуара, мм.
Величины I Хд/Н(в); Уд/Н(В) I вычисляют по формуле
хл/н(в) - ^л/н(в) ’cos(Рл/' cos^90 j; (Д.з)
Ул/н(в) — ^Л/н(в) ‘ Ф/\/ ' C°S (90 — Ц\/Н(В) j ! (Д-4)
где /д/Н(В) - наклонное расстояние, мм;
^л/н(в) ~ вертикальный угол (зенитный), измеренный в i-ом поясе в нижнем (верхнем) сечении, угл. сек;
(pw - горизонтальный угол /V-образующей, угл. сек.
хЛ/н(в) ; Ул
до геометрического центра
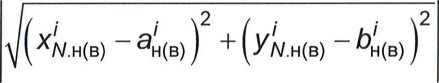
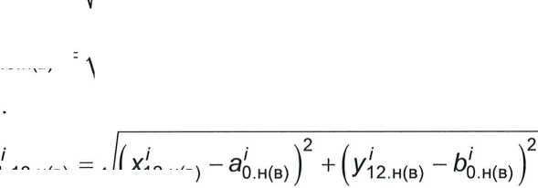
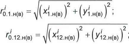
Расстояние Гд/Н(В) от точки
резервуара в нижнем (верхнем) сечении на N-ой образующей i-ro пояса вычисляют по формуле



Рисунок Д.1 - Параметры измерений радиуса /д/Н(в) /_г0 пояса при J-°M измерении в нижнем (верхнем) сечении
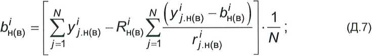
Д.1.5 Смещение станции съемки от геометрического центра резервуара ан(в)> ^н(в) и расстояние от точек на поверхности пояса до центра окружности R^B) в нижнем (верхнем сечении) i-ro пояса вычисляют методом наименьших квадратов.
Параметры а^в), Ь'и^, вычисляют решая систему линейных уравнений

N
22 х;.н(в) ;=о



(Д.6)



где Н(В) - радиус /-го пояса на N-ой образующей в нижнем (верхнем) сечении, мм;
Л/ - номер образующей (число измерений), в соответствии с 10.3.1 принято равным 12;
х;'н(в)’ Уун(в) “ координаты точки внутренней поверхности на N-ой образующей в нижнем (верхнем) сечении i-ro пояса резервуара, мм.
Радиус /-го пояса на N-ой образующей в нижнем (верхнем) сечении /уН(В) вычисляют по формуле

Д 1.6 Вычисление величинЬ'н^, проводят в следующей
последовательности.
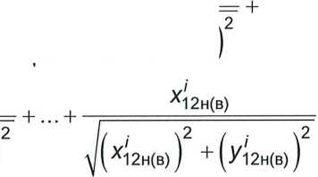
Д. 1.6.1 Вычисление величин д'н^, ЬВ(В), ^н(В)> в нулевом приближении (^О.н(в)’ ^О.н(в)> ^О.н(в))-
-
1) устанавливают значение а'о н^, Ь'о Н(В) в формуле (Д.9) равным нулю.
-
2) вычисляют значения Гу Н(В) в соответствии с формулой (Д.9)
Чо.н(в)
(Х0.н(в))
ч
Ио.н(в)) ’
Г0.3.н(в) =
(Х3.н(в))
ч
Из.н(в)) >
Приме
ч а н и е
- в
обозначении
Го Q Н(В) верхний индекс / соответствует номеру
пояса, в нижнем индексе: первое число указывает номер приближения, второе число - номер образующей, н(в) нижнее (верхнее) сечение.
-
3) значение /?оон(в) вычисляют по формуле (Д.8):
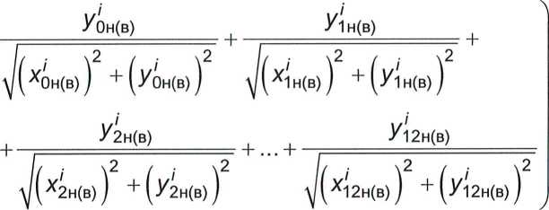
-
4) вычисляют значения ЭоН(В)> Ь'Он^ в соответствии с формулами (Д.6) и (Д.7) соответственно:
/ хОн(в) + Х1 н(в) + •■• + -^12н(в)
аО.Он(в) -
Х1 н(в)

Д.1.6.2

Вычисление величин
'1.0.н(в) -
Ki Уон(в) + У1н(в) + ••• + У12н(в)
°0.0н(в) ~

в первом приближении
^(Х0.н(в) |
— а0.н(в) ) |
2 / |
УО.н(в) — ^О.н(в) j ’ |
+(. | |||
/(Х1.н(в) ■ |
“ а0.н(в)) |
м> |
Vh(b) ~ ^О.н(в) ) ' |
J(X3.h(b) |
~ а0.н(в)) |
М |
Из.н(в) — ^О.н(в) ) > |
12.н(в)
^.^(в) -
г-\.3.н(в) ~

1
Г1.12.н(в)
(^1.0.н(в) + ^1.1.н(в) + ^1.2.н(в) + ■" + ^1.12.н(в)]’
Х0н(в) + Х1н(в) + •■■ + Х12н(в) а1н(в) “ —
Г/ хОн(в) !
ч /1/.0н(в)
Х1 н(в) + Х2н(в) + + Х12н(в)
Г1.1н(в) Г1.2н(в) Г1.12н(в) ,

Урн(в) +У1н(в) +--- + У12н(в)
12
У~12н(в)
/1/.12н(в) ,
Д. 1.6.3 Вычисление величин а„(в), Ь^в), R^, во втором приближении а2.н(в)> ^2.н(в)> ^2.н(в) ) ■

- ^■(/2.0.н(в) + /2.1.н(в) +Г2.2.н(в) + + Г2.12.н(в) )>



/ / /
Х0н(в) + Х1н(в) + Х2н(в) + кГ2.0н(в) Г2.1 н(в) Г2.2н(в)
у' А
х12н(в)
/2.12н(в) ,


Уон(в)
<Г2.0н(в)
У1н(в)
Г2.1н(в)
У2н(в)
Г2.2н(в)
У12н(в)
Г2.12н(в) ,
Г2.0.н(в) - А |
^(Х0.н(в) |
_а1.н(в)) |
м |
2 Ио.н(в) — ^1 .н(в) ) |
Г2.1н(в) = |
^(Х1.н(в) ' |
_а1.н(в)) |
'l1.н(в) ~ ^1 1.н(в) ) > | |
Г2.3.н(в) ~ А |
^(Х3.н(в) |
_а1.н(в)) |
М |
2 Из.н(в) — ^1н(в) ) |
Д.1.6.4 Операции вычисления прекращают в случае выполнения условия


где j - номер приближения (0, 1, ... т).
Д.1.7 Внутренний диаметр D' i-ro пояса вычисляют по формуле
(Д.Ю)где R„, R*- внутренние радиусы в нижнем и верхнем сечении i-ro пояса, мм.
Д.2 Измерения высот поясов резервуараД.2.1 Высоту /-го пояса резервуара (рисунок А.7), как расстояние по вертикали от верхнего края /-го пояса резервуара, Д,-, мм, вычисляют по формуле
(Д.11)
где th-, th" - высота превышения i-ro пояса (рисунок А.4), на образующей и противоположной образующей значение которого принимают из таблицы Б.З, мм;
/Д/+1 - высота превышения вышестоящего i+1-го пояса (рисунок А.7), значение которого принимают из таблицы Б.5, мм.
Д.З Вычисление вместимости «мертвой» полостиД.3.1 Объем неровностей днища

вычисляют по формуле

),

где f|, 4>--->4 “ превышение высот призмы в точке между концентрическими
окружностями неровностей днища, вычисляемые по формуле
(Д13)
где bj - высота превышения призмы, установленной по периметру j-v\ концентрической окружности;
- высота превышения призмы, установленной по периметру (J - 1)-й
вышележащей концентрической окружности.
Д.З.2 Уровень жидкости Нмп, мм, соответствующий высоте «мертвой» полости вычисляют по формуле
^МП ^МП’
(Д.14)
где Нб - базовая высота, измеренная по 10.2, её значение принимают из таблицы Б.З, мм;
^мп - высота превышения среза ПРУ, значение принимают по таблице Б.7 (графа 2), мм.
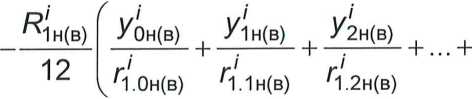
Д.3.3 Вместимость «мертвой» полости Умп вычисляют по формуле
Ц/in — Цлп — (АЦдн )о ’ (Д-15)
где

- объем неровностей днища, вычисляемый по формуле (Д.12), м3;
V^n - вместимость «мертвой» полости в пределах Нмп, вычисляемая по формуле
2£L.„(Д-16)
где - внутренний диаметр 1-го пояса, вычисляемый по формуле (Д.10), мм;
Н - уровень жидкости, отсчитываемый отточки касания днища грузом рулетки, мм;
Д.4 Вычисление посантиметровой вместимости 1-го пояса резервуараД.4.1 Посантиметровую вместимость 1-го пояса от точки касания днища грузом рулетки до уровня Нх, соответствующий высоте 1-го пояса, вычисляют по формуле
ttD2V(H\=V™+-^(H-Hm)+M/Ba, <Д17>
где Умп - вместимость «мертвой» полости, вычисляемая по формуле (Д.15), м3;
- внутренний диаметр 1-го пояса, вычисляемый по формуле (Д.10), мм;
/7 - уровень жидкости, отсчитываемый от точки касания днища грузом рулетки, мм; Нмп - уровень жидкости, соответствующий высоте «мертвой» полости формуле (Д.14), мм.
ДУ - объем внутренней детали, определяемый по 10.6, м3.
Д.5 Вычисление посантиметровой вместимости i-го пояса резервуара Посантиметровую вместимость резервуара /-го пояса У(/7). вычисляют по формуле
где


(Д.18)
- посантиметровая вместимость резервуара, соответствующая уровню
, м3;
Н - уровень жидкости, соответствующий, отсчитываемый от точки касания днища грузом рулетки, см;
Н/_1 - уровень жидкости, соответствующий суммарной высоте поясов, см;
Dj - внутренний диаметр /-го пояса, вычисляемый по формуле (Д.10), мм.
БИБЛИОГРАФИЯ
-
[1] Тахеометр электронный Nikon NPR-332, Регистрационный номер 39639-08
-
[2] ТУ ДКТЦ 41344.1.1.102 Анализатор-течеискатель АНТ-3. Технические условия
ООО «МетроКонТ»
Страница 35 из 35
В обозначении точки отсчета ^...Ьд^ - первый индекс указывает номер радиуса концентрической окружности днища, второй - номер радиуса днища (образующей)
Форма градуировочной таблицы не подлежит изменению
ООО «МетроКонТ»