Методика поверки «ЛЮКСМЕТРИ ФОТОЕЛЕКТРИЧНІ» (ДСТУ 7267:2012)
НАЦЮНАЛЬНИЙ СТАНДАРТ У КРАЙНИ
БЗ № 7-12-2012/31
Метролопя
ЛЮКСМЕТРЫ ФОТОЕЛЕКТРИЧН1 Методика пов'|рки (кал1брування) ДСТУ 7267:2012Видання офщшне

КиТв М1НЕКОНОМРОЗВИТКУ УКРА1НИ 2013
ДСТУ 7267:2012
ПЕРЕДМОВА
-
1 ВНЕСЕНО: Нацюнальний науковий центр «1нститут метрологи» (ННЦ «1нститут метрологи») Мшекономрозвитку УкраТни сгпльно з Техн|'чним ком1тетом стандартизацп «Загальж норми i правила державноТ системи забезпечення едност‘| вим’фювань» (ТК 63)
РОЗРОБНИКИ: Л. Бондаренко; О. Купко, канд. техн, наук (науковий кер1вник)
-
2 ПРИЙНЯТО ТА НАДАНО ЧИННОСТИ наказ МЫекономрозвитку УкраТни вщ 28 листопада 2012 р. № 1354
-
3 УВЕДЕНО ВПЕРШЕ (3i скасуванням в УкраТн ГОСТ 8.014-72)
Право власносл на цей документ належить держав!. Вщтворювати, тиражувати та розповсюджувати його повыстю чи частково на будь-яких Hocinx 1нформацп без офщ’|йного дозволу заборонено. Стосовно врегулювання прав власност! треба звертатися до МПнекономрозвитку УкраТни
М|некономрозвитку УкраТни, 2013
3MICT
с.
Додаток А Протокол пов1рки люксметра або фотометричноТ головки люксметра
ДСТУ 7267:2012НАЦЮНАЛЬНИЙ СТАНДАРТ УКРА1НИ
МЕТРОЛОПЯ
ЛЮКСМЕТРИ ФОТОЕЛЕКТРИЧН1
Методика поЕйрки (кал1брування)
МЕТРОЛОГИЯ
ЛЮКСМЕТРЫ ФОТОЭЛЕКТРИЧЕСКИЕ
Методика поверки (калибровки)
METROLOGY
PHOTOELECTRICAL LUXMETERS
Procedure of verification (calibration)
Чинний вщ 2013-03-01
1 СФЕРА ЗАСТОСУВАННЯ
Цей стандарт поширюеться на люксметри (робоч! засоби вим1рювальноТ техжки (flani — робоч!’ ЗВТ)) та фотометричж головки, призначеж для вим|рювання освкленость та встановлюе методи i засоби Тх пов1рки та кал1брування (flani — пов1рки). Рекомендований м1жпов1рочний 1нтер-вал часу — один раз на pin.
Пщ час noeipKH !мпортних фотоелектричних люксметр1в визнають придатними до застосуван-ня po6o4i ЗВТ, похибки яких вщповщають вимогам ДСТУ 3394.
У стандарт! не розглядають методи noeipKH люксметр1в, призначених для вим1рювання сфе-ричноТ, цилшдричноТ або нап1вцил!ндричноТ осв!тленост1.
2 НОРМАТИВЫ ПОСИЛАННЯ
У цьому стандарт! е посилання на таю' нормативы документи:
ДСТУ 2708:2006 Метролопя. Пов1рка 3aco6iB вим1рювальноТ техжки. Оргажзащя та порядок проведения
ДСТУ 3394-96 Метролопя. Державна пов1рочна схема для засоб’|в вим1рювання свилових величин
ДСТУ 3989:2000 Метролопя. Кал1брування засоб1в вим1рювально1’ техжки. Основы положения, орган1зац1я, порядок проведения та оформления результат!в
ДСТУ 4179:2003 Рулетки вим1рювальж металевг Техычж умови
ДСТУ 7237:2011 Система стандартов* безпеки пращ. Електробезпека. Загальж вимоги та номенклатура BHflie захисту
ГОСТ 12.1.030-81 ССБТ. Электробезопасность. Защитное заземление, зануление (ССБП. Електробезпека. Захисне заземления, зануления)
ГОСТ 12.2.007.0-75 ССБТ. Изделия электротехнические. Общие требования безопасности (ССБП. Вироби електротехжчн. Загальж вимоги щодо безпеки)
Видання офщшне
ГОСТ 6709-72 Вода дистиллированная. Технические условия (Вода дистильована. Техжчн умови)
ГОСТ 10771-82 Лампы накаливания светоизмерительные рабочие. Технические условия (Лампи розжарювання свппови!Упрювальж робочь Техжчж умови).
3 ОПЕРАЦП ПОВ1РКИ
Пщ час пов|рки робочих ЗВТ виконують операцп, зазначеж в таблиц! 1.
Таблиця 1 — Операцп пов!рки
|
Назва операцп |
Пцрозд1л цього стандарту |
|
Зовышжй огляд |
8.1 |
|
Випробування |
8.2 |
|
Пов1рка робочих ЗВТ: люксметр|‘в i фотометричних головок люксметр1в |
8.3 |
|
Визначення !нтегрально! чутливосл люксметр1в i фотометричних головок люксметр1в (градуювання) |
8.3.1 |
|
Визначення Д1апазону вим|’рювання люксметр1в i фотометричних головок люксметр1в |
8.3.2 |
|
Визначення похибки вим1рювання осв!тленосл |
8.3.3 |
|
Оформления результате пов1рки |
9 |
4 ЗАСОБИ ВИМ1РЮВАЛЬНО1 TEXHIKH, ЩО ЗАСТОСОВУЮТЬ П1Д ЧАС ПОВ1РКИ
Пщ час noBipKH використовують ЗВТ, наведен! в таблиц! 2.
Таблиця 2 — Засоби вим1рювально‘| техжки
|
Пщроздт цього стандарту |
Назва ЗВТ або допомпжного засобу пов1рки; номер документа, який регламентуе техычы вимоги до засобу абометролопчн! та основы техн in ы характеристики |
|
8.3 |
Фотометрична лава i3 вщстанню Mix лампою розжарювання та фотометром вщ 750 мм до 4000 мм або установка для пов|’рки (УПФ або УПЛ-1М); Д1апазон осв!тленосл вщ 1 лк до 500 лк. Границя допустимо! вщносно! похибки не бтьше Hix 1 % |
|
8.3 |
Лампа розхарювання свпловим1рювальна згщно з ГОСТ 10771 (робочий еталон) типу СИС 40-100 або СИС 107-500, основна вщносна похибка в pexnMi noeipKH люксметр!в не бтьше Hix 2,5 % |
|
8.3 |
Робочий еталон (люксметр або головка фотометрична люксметра) для вим1рювання освпле-носл; основна вщносна похибка не бтьше Hix 2,5 % |
|
8.2, 8.3 |
Блок хивлення лампи Б5-21; допустимий вщхил регулювання та пщтримування напруги не бтьше Hix 0,1 % |
|
8.2, 8.3 ♦ |
Вольтметр унверсальний цифровий типу В7-27. Границ! допустимо! основно! похибки BHMipio-вання сталого струму становлять: [0,4 + 0,2(//г//-1)], %, де 1к — номнальне значения встановленоТ границ вим!рювання, А; / — д|йсне значения вим1рюваноТ величини, А. Границ допустимо! основно! похибки вим!рювання стало! напруги становлять: [0,25 + 0,15 (Uk/U-T)], де Uk— номЫальне значения встановлено! границ вим!рювання, В; U —д|йсне значения вим!рювано! величини, В |
|
8.3 |
Молочне скло МС-23, д!аметр не менше Hix 100 мм, товщина вщ 2 мм до 2,5 мм. Неселективнють коефщ1ента пропускания в дгпянщ спектра вщ 380 нм до 760 нм не бтьше Hix ± 3 % |
|
8.3 |
Д!афрагма; д!аметр отвору вщ 10 мм до 30 мм |
|
8.3 |
Рулетка згщно з ДСТУ 4179 |
5 ВИМОГИ ЩОДО БЕЗПЕКИ
-
5.1 Вим1'рювання, яю виконують пщ час пов1рки, належать до po6iT з електроустановками за напруги вщ 39 В до 1000 В.
-
5.2 Пщ час ви|упрювання потр1бно дотримувати вимог щодо безпеки зпдно з ГОСТ 12.2.007.0, ГОСТ 12.1.030, ДСТУ 7237, а також вимог щодо безпеки, зазначених в експлуатащйних документах на люксметри та фотометричн! головки люксметр!в, що пов1ряють.
6 УМОВИ ВИМ1РЮВАННЯ
-
6.1 Температура прим!щення, у якому проводять пов|’рку, мае становити (20 ± 5) °C.
-
6.2 Вщносна волопсть пов^ря в примщенн, де проводять пов1рку, мае становити (60 ± 25) %.
-
6.3 Атмосферний тиск у прим1щенн, де проводять пов1рку, мае становити вщ 84 кПа до 106,7 кПа.
-
6.4 Напруга живлення мереж! змшного струму мае становити (220 ± 22) В i частота струму — (50 ± 1) Гц.
-
6.5 Заборонено розм1щувати джерела зовжшнх магытних та електричних nonie, як1 можуть впливати на ЗВТ.
-
6.6 Засоби вим1‘рювальноТ техники, яю використовують пщ час noeipKW, повинн мати паспорти або клейма, що пщтверджують Тхню придатнють, з позначенням дати останньо’1 пов|рки.
7 ПЩГОТУВАННЯ ДО ВИМ1РЮВАННЯ
-
7.1 Перед проведениям noeipKH треба вивчити експлуатащйж документи на люксметр.
-
7.2 Пот!м потр!бно очистити приймальну поверхню фотометра вщ пилу i плям дистильова-ною водою згщно з ГОСТ 6709 та ректифжованим спиртом.
-
7.3 Июля цього треба привести Bci ЗВТ у робочий стан вщповщно до вимог TxHix експлуата-ц|йних документе.
-
8 ВИМ1РЮВАННЯ
-
8.1 Зовшшжй огляд
-
8.1.1 Люксметр, що пов!ряють, мае бути цепком укомплектований вщповщно до експлуата-щйних документе.
-
8.1.2 Для noeipKH надають комплект експлуатащйних документе, а також свщоцтво про по-передню пов(рку.
-
8.1.3 Пщ час зовжшнього оглядання потр!бно впевнитися в тому, що немае мехажчних пошкоджень, подряпин i плям на свптюфшьтрах, насадках i фоточутливих поверхнях фотомет-ричних головок.
-
-
8.2 Випробування
-
8.2.1 Готують люксметр (або фотометричну головку люксметра), що пов1ряють, до роботи вщповщно до вимог експлуатащйних документе. Фотометричну головку, що пов1ряють, з’еднують
-
-
,з електровим1рювальним приладом. Вмикають люксметр вщповщно до вимог експлуатащйних документе.
-
8.2.2 Освплюють люксметр випромшюванням лампи i перев1ряють наявнють ндикацп цифрового люксметра або роботоздатнють аналогового люксметра.
-
8.2.3 Перев1’ряють можливють установления нульових показ1'в за закритого вщ зовн1’шнього засв!чення люксметра.
-
8.3 Пов1рка люксметр1в i фотометричних головок люксметр1в
Якщо люксметр або фотометричну головку можна використовувати без косинусноГ насадки, то пов1рку виконують дв1чп з косинусною насадкою та без неТ.
-
8.3.1 Визначення штегрально'! чутлиеост! люксметр/в / фотометричних головок люксметр/в (градуювання)
-
8.3.1.1 Пов|рку виконують на установку, структурну схему якоТ наведено на рисунку 1, за до-помогою робочих еталожв: свгловим!рювальних ламп, люксметр’1в або фотометричних головок.
-
8.3.1.2 Пом'ицають люксметр або головку люксметра на оптичну Bicb i вмикають установку та люксметр вщповщно до вимог Тхжх експлуатац|’йних документе. Вщстань вщ джерела св1тла до люксметра або головки люксметра мае бути бтьше жж 10 максимальних po3MipiB джерела св1тла в площиж, перпендикулярна до оптичноТ oci, та бтьше жж 70 максимальних po3Mipie джерела св1тла в напрямку оптичноТ oci. Для ламп розжарювання розм1ром джерела свила е розм1р Tina розжарювання.

-
-
1 — блок живлення джерела випромЫювання;
-
2 — джерело випрошпнювання типу А (лампа розжарювання) або св1тловим1рювальна лампа (робочий еталон);
-
3 — електровим1рювальний прилад для контролювання режиму джерела випроммювання;
-
4 — для установок УПФ, УПЛ-1М та нших:
-
4.1 — розс!ювач,
-
4.2 — д!афрагма перемнного po3Mipy (для фотометричноТ лави не обов’язково);
-
-
5 — площина, для якоТ визначено осв|тлен|’сть Ео;
-
6 — люксметр (робочий еталон) (для пов|рок та градуювання за допомогою свФловим1рювальних ламп
на фотометричн1й naei необов'язково);
-
7 — люксметр або фотометрична головка люксметра.
Рисунок 1 — Установка для визначення 1нтегральноТ чутливосл
-
8.3.1.3 У pa3i виконання noeipKH за допомогою люксметра пом1щають на оптичну вюь установки робочий еталон (люксметр) i, змнюючи тип лампи та вщстань (для фотометричноТ лави) або регулюючи д|’афрагму (для установок УПФ, УПЛ), одержують значения осв1тленост! Ео у д1а-пазож вщ 50 лк до 200 лк. Фжсують значения EQ. Позначають площину, в як!й визначено наведен! покази.
Якщо noeipKy виконують за допомогою свптювим!рювальноТ лампи на фотометричжй лав!, то, вибираючи тип лампи та вщстань вщ лампи, визначають площину, де освплежсть вщ лампи Ео становитиме вщ 50 лк до 200 лк. Фжсують Ео. Позначають цю площину.
-
8.3.1.4 Помщають'люксметр або фотометричну головку, що пов’|ряють‘, на оптичну вюь установки i, якщо люксметр прокал!бровано за освпленютю, зжмають покази приладу Е1 в люксах. Якщо фотометричну головку або люксметр прокал!бровано в амперах, зжмають покази приладу /' в амперах.
-
8.3.1.5 Обчислюють значения нтегральноТ чутливост! люксметра або фотометричноТ головки, що пов1ряють, S‘Eq в амперах на люкс за формулою:
^а=1‘/Е0. (1)
Для люксметра або фотометричноТ головки, яку прокал!бровано за осв!тлен1стю, обчислю-ють вщношення:
де Е1— освпленють за /-го вим!рювання, лк.
Вим!рюють нтегральну чутливють ще чотири рази. Обчислюють середне арифметичне значения 1’нтегральноТ чутливосл за формулами:
/=1
/=1
де SE. — середне значения жтегральноТ чутливосл;
NEq— середне значения вщношення значень освптеносл.
-
8.3.1.6 Люксметр або фотометричну головку з косинусною насадкою пов!ряють як pi3Hi при-лади — з насадкою та без неТ.
-
8.3.1.7 Пщ час пов1рки одержане значения нтегральноТ чутливосл люксметра або фотометричноТ головки SEq в амперах на люкс не повинно вщр!знятися вщ вщповщного значения в екс-плуатащйних документах бшьше жж на 12 %. Для проградуйованого за освилежстю люксметра похибка 3£, обчислена у вщсотках за формулою 3£ = (/V£q -1)-100, не повинна перевищувати 12 %.
-
8.3.1.8 Пщ час градуювання виконують операцп згщно з 8.3.1.2—8.3.1.6. Результатами гра-дуювання в fliana3OHi вщ 50 лк до 200 лк вважають значения Ё£оабо Л/£о.
-
8.3.2 Визначення д/апазону вим/рювання люксметров / фотометричних головок люксметров
-
8.3.2.1 Якщо устатковання, яке використовують пщ час noeipKH, дае змогу одержувати освпле-HicTb у межах, зазначених у документах на ЗВТ (люксметр або фотометричну головку), що пови ряють, то виконують пов1рку в ycix д!апазонах Bifl EMiHflo ЕмаксЗВТ згщно з 8.3.1 (визначення Ыте-гральноТ чутливосл), а похибку нелшмносл не вим!рюють.
-
8.3.2.2 Обчислюють середж значения SE та N'E та похибки нел|’жйносл (у вщсотках) для кожного д!апазону вим!рювання:
-
A£;=(^-S£o)/S£o-1OO; (5)
=(Wg-W£o j//V£o-100. (6)
Похибкою нелшмносл ДЕ або Дм вважають максимальну з цих величин. Якщо &Е. або Дд/у у будь-якому fliana3OHi перевищують 12 %, Д1апазон вважають не придатним для використання.
-
8.3.2.3 Якщо за допомогою устатковання, використовуваного пщ час noeipKH, не можна одер
жала освплежсть у межах, зазначених у документах на люксметр або фотометричну головку, то для визначення д'|апазону вим1рювання використовують метод визначення нелМйносл складан-ням довтьних сигнал1в. Для цього потр|бно мати установку, структурна схема якоТ вщповщае на-ведежй на рисунку 2. ♦
-
8.3.2.4 За допомогою фокусування об’ектива та вибирання режиму лампи за вщкритих затвор!в отримують покази люксметра або фотометричноТ головки 1°2у д|’апазож вим1рювання вщ 50 лк до 200 лк. За вщкритого затвора 5 та закритого затвора 6 отримують покази люксметра або фотометричноТ головки /°. За вщкритого затвора 6 та закритого затвора 5 отримують покази при-ладу 12. Покази прилад!в /°та 12 мають вщр!знятися не бтьше жж в 1,5 разу. Обчислюють нел'|жйнють NL[i°2!2) У вщсотках за формулою:
NL(l°2l2) = (/°2 -/?-/”)/(/,°2/2)-100. (7)
-
1 — блок живлення джерела випром1нювання;
-
2 — джерело випромпнювання типу А (лампа розжарювання);
-
3 — електровим1рювальний прилад для контролювання режиму джерела випромшювання;
-
4 — об’ектив, який фокусуе св!тловий потж вщ лампи на люксметр або фотометричну головку,
який формуе паралельний св|тловий пучок;
5, 6 — затвори;
7 — люксметр, який пов!'ряють.
Рисунок 2 — Установка для визначення Д!апазону вим(рювання
-
8.3.2.5 Вим1рюють зпдно з 8.3.2.4 ще чотири рази. Отримують п’ять значень NL^2/2). Об-числюють середне арифметичне значения за формулою:
N^p(/1°2/2) = 1/nf/VL,(/,02/2),
(8)
/=1
де п — юльюсть незалежних вим1рювань.
-
8.3.2.6 Виконують вим|’рювання зпдно з 8.3.2.4—8.3.2.5 для максимального д!апазону вимь рювання приладу. Зменшують покази люксметра або фотометричноТ головки приблизно удBi4i та повторюють вим!рювання. Повторюють процедуру зменшення показ1в приладу та розраховують нел1нйнють до найменшого Д1апазону. Отримують Ha6ip A/Lf /2) для Bcix дослщжених показ!в ycix Д1апазон1в. Похибкою нелмйност! Ае (для приладу, який проградуйовано за освпленютю) або AN (для приладу, який проградуйовано в довИьних одиницях) вважають максимальне з цих значень. Якщо значения NL для р1вня, який бтьше (менше) за 1°2/2, перевищуе 12 %, то цей piBeHb, а також yci piBHi, яю бтьш1 (менш1), нж цей р!вень, вважають не придатними для використання.
8.3.3 Визначення похибки вим1рювання oceimneHocmi
-
8.3.3.1 3 документов на люксметр або фотометричну головку отримують наведен! нижче параметри:
-
1) AV\ — похибка, зумовлена якютю коригування спектрально'!’ чутливост’1 люксметра або фотометричноТ головки. Якщо похибку надано зпдно з [1], похибкою вважають максимальну з А(р/, А|Ч, Ауф. Якщо похибку надано зпдно з [2], похибкою вважають результати обчислення
♦ ♦
-
2) АТ — похибка, зумовлена змшюванням температури довктля. Якщо документ мютить
1
т т~’ МС°, де I(Tq), /(Т2) — покази люксметра або '1 ~ '2
температурний коеф1щент а--7(1^)
фотометричноТ головки для однакового р1вня освппеносл за температури Tj < То <Т2, то похибкою вважають АТ = а • 5Т, де 5Т — температурний д'1апазон роботи приладу.
-
3) Якщо документ не мютить зазначених похибок, але мютить загальну похибку вим1рюван-ня, то замють похибок AV\ та АТ треба використовувати цю похибку. При цьому похибки, отримаж nifl час пов1рки, будуть бтыж, жж зазначеж в документ!. У такому раз! похибки, отримаж пщ час пов!рки, треба пор!внювати з максимальною похибкою, зазначеною в ДСТУ 3394, тобто 12 %.
-
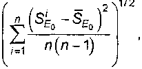
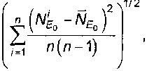
8.3.3.2 Обчислюють середжй квадратичний вщхил результате вим!рювання нтегральноТ чут-ливосл AS£q або &NEq за результатами, отриманими зпдно з 8.3.1.5, за такими формулами:

ДЛ/£
fc0

(9)
(10)
де п — юльюсть незалежних вим1рювань.
-
8.3.3.3 Обчислюють похибку вим!рювання Д для ЗВТ, прокал1брованих за освплежстю, за формулою:
д = (дл£о+дг2+ду2 + д2+д2)1'2, (11)
де Ду —похибка установки для визначення 1нтегральноТ чутливосл (3i свщоцтва про метроло-пчну атестащю);
для ЗВТ, прокал!брованих в жших одиницях, за формулою:
Д = (д8|о +дт2 + д\42 + д| + д2)1/2, (12)
де Д£або Дд/ — похибка нел1жйност! (тшьки для установки для визначення нтегрально! чутли-BocTi, яка не дае змогу одержувати освплежсть у межах, зазначених у документах на ЗВТ).
-
8.3.3.4 Якщо отримана похибка вим1рювання менша за наведену в документах на ЗВТ, люксметр або головка люксметра придатж для використання з похибкою, зазначеною в документ!.
Якщо отримана похибка вим!рювання перевищуе 12 %, прилад вважають не придатним для використання.
9 ОФОРМЛЕНИЯ РЕЗУЛЬТАТА ПОВ1РКИ
-
9.1 У раз'| позитивних результат!в пов'|рки та кал'|брування люксметр‘|в оформляють свщоц-тва за установленою формою зпдно з ДСТУ 2708 (для пов!рки) i ДСТУ 3989 (для кал!брування). Форма мютить таю дан|': дату вим!рювання; щентифжащю ЗВТ; номер протоколу; результати пов!рки; висновок про можпивють використання; документ, зпдно з яким зроблено цей висновок, а також дан! про особу, яка проводила noBipxy, зокрема п посаду. У свщоцтв! або в протокол!, який додають до свщоцтва, мае бути зазначено чутливють та похибку фотометра за д1апазонами.
♦ ♦
-
9.2 Люксметри, що не вщповщають вимогам цього стандарту, експлуатувати заборонено. Щодо них видають повщомлення про непридатжсть i зазначають вщповщну помику в паспорт! або у формуляр!.
-
9.3 Форму протоколу пов!рки робочих ЗВТ (люксметр!в i фотометричних головок люксметр!в) наведено в додатку А.
ДОДАТОКА
(довщковий)
ПРОТОКОЛ ПОВ1РКИ ЛЮКСМЕТРА АБО ФОТОМЕТРИЧНО1 ГОЛОВКИ ЛЮКСМЕТРА
Дата вим1рювання___________________________________________________________
Умови вим1рювання______________________________________________________________
1дентиф!кафя ЗВТ_________________________________________________________________
Пщстава длявиконання роб и _______
1дентиф1кац1я робочого еталона _____________________________________________________
TepMiH ди свщоцтва про пов!рку робочого еталона_____________________________________
Номер протоколу__________________
Результати вим1рювання за таблицями А.1 — А.З
Висновок про можлив!сть використання_____________________________________________
Документ, зпдно з яким зроблено цей висновок_________________________________________
Пр1звище особи, яка проводила noeipKy, та ТТ посада________________________________________
У таблиц! А.1 подають значения осв!тленост! в кожному fliana3OHi: в основному — Ео, та в шших — ЕмакС1 Еу,
EMiH та покази приладу за зазначених освпленостей (по п'ять вим!рювань) зпдно з 8.3.1.3—8.3.1.4. Для основного 0 та кожного iHuioro Д1апазону j обчислюють чутл и в icTb SEo та NEq (SEoта/VEq) зпдно з 8.3.1.5 та в!дхил чутливост1 у вщсотках де; = (sE-SE(J/SEo -100 або = (ne -NEq^/NEo -100 зпдно з 8.3.2.2, розраховують середню чутливкть та визначають максимальний вщхил.
У таблиц! А.2 подають значения нелЫйносп у д!апазонах вим|рювання вщ Емакс до Емы- Обчислюють похибку не-niHiMHOCTi (ДЕ або Дм) у кожному д1апазож зпдно з 8.3.2.3—8.3.2.6. За даними таблиц! визначають д1апазон приладу та похибку HeniHWHOCTi.
У таблиц! А.З подають складники похибки вим!рювання В1дповщно до 8.3.3.
Таблиця А.1
|
Освпленють Ео |
Е‘ або / |
SE або Ne |
- ((SE ~ SE0 )Z SEa ) '100 або = ((a£-/vEo)//vEq)-ioo |
|
Ео |
1 | ||
|
/ | |||
|
5 | |||
|
Емакс |
1 | ||
|
/ | |||
|
5 | |||
|
Ej | |||
|
Em'IH |
1 | ||
|
/ | |||
|
5 | |||
|
Середне значения 3Е^або NE> |
Де або Дд/— максимальн з ДЕ або Дм с/ 'у/ |
Таблиця А.2
|
Д|апазон вим1рювання |
Нел1н1йн1сть за д!апазонами — NL1 (/12/2) |
|
Е макс |
A/LMaKC (/i2/2) |
|
Ej (0 <j< макс.) |
Л/Д (Л 2/2) |
|
Ео |
Л/Д (/12/2) |
Юнець таблиц! А.2
|
Д1апазон вим1рювання |
НелНйжсть за Д1апазонами — NLJ (/i2/2) |
|
Ej(O <j< MiHj |
NLJ (/12/2) |
|
EmIH |
/VLMiH (/12/2) |
|
Д1апазон приладу: |
Похибка нелЫйносл: Де або Д/у |
Таблиця А.З
|
Де або Дл/ |
ASEq або д/\/£о |
д\д |
ДТ |
д |
ДОДАТОК Б
(довщковий)
Б1БЛ1ОГРАФ1Я
-
1 СОУ МПП 29.200-024:2004 Перетворювач! випромнювання вил/прювальж для св!тлових ви|упрювань. Характеристика вщносноТ спектрально!’ чутливостк Вимоги та класиф|кац1я.
-
2 IEC 69:1987 Methods of Characterizing Illuminance Meters an Luminance Meters (Методи характе-ризування 3aco6iB вим1рювання освиленосл та sacoOie вил/прювання яскравостО.
Код УКНД 17.180.20
Ключов1 слова: люксметр, освпглежсть, приймальна поверхня, спектральна чутлив‘|сть, фотометрична головка.
Редактор О. Н’1колаенко Техжчний редактор О. Марченко Коректор I. Недогарко Верстальник Т. Олексюк
Пщписано до друку 28.05.2013. Формат 60 х 84 1/8. Ум. друк. арк. 1,39. Зам. Ц|на догов|рна.
Виконавець Державне пщприемство «УкраТнський науково-дослщний i навчальний центр проблем стандартизацн, сертифжацп та якосл» (ДП «УкрНДНЦ») вул. Святошинська, 2, м. КиТв, 03115
Свщоцтво про внесения видавця видавничоТ продукцп до Державного реестру видавфв, виголвниюв i розповсюджувач!в видавничоТ продукцп вщ 14.01.2006 cepin ДК № 1647
