Методика поверки «Система автоматизированная информационно-измерительная коммерческого учёта электроэнергии (АИИС КУЭ) ООО "РУСЭНЕРГОСБЫТ" для снабжения ОАО "РДЖ" в границах Курской области» (МП-312601-0019.21)
ОБЩЕСТВО С ОГРАНИЧЕННОЙ ОТВЕТСТВЕННОСТЬЮ ИНВЕСТИЦИОННО-ИНЖИНИРИНГОВАЯ ГРУППА «КАРНЕОЛ»
Государственная система обеспечения единства измерений
Система автоматизированная информационно-измерительная коммерческого учета электроэнергии (АИИС КУЭ) ООО «РУСЭНЕРГОСБЫТ» для энергоснабжения ОАО «РЖД» в границах Курской области
Методика поверки
МП-312601-0019.21
Магнитогорск
2021
Содержание-
1 ОБЩИЕ ПОЛОЖЕНИЯ........................................................................................................
-
5 МЕТРОЛОГИЧЕСКИЕ И ТЕХНИЧЕСКИЕ ТРЕБОВАНИЯ К СРЕДСТВАМ ПОВЕРКИ
-
6 ТРЕБОВАНИЯ (УСЛОВИЯ) ПО ОБЕСПЕЧЕНИЮ БЕЗОПАСНОСТИ ПРОВЕДЕНИЯ
-
10 ОПРЕДЕЛЕНИЕ МЕТРОЛОГИЧЕСКИХ ХАРАКТЕРИСТИК СРЕДСТВА ИЗМЕРЕНИЙ
-
11 ПОДТВЕРЖДЕНИЕ СООТВЕТСТВИЯ СРЕДСТВА ИЗМЕРЕНИЙ
Настоящая методика распространяется на измерительные каналы (далее - ИК) системы автоматизированной информационно-измерительной коммерческого учета электроэнергии (АНИС КУЭ) ООО «РУСЭНЕРГОСБЫТ» для энергоснабжения ОАО «РЖД» в границах Курской области (далее - АНИС КУЭ), заводской номер 177. предназначенной для измерений активной и реактивной электроэнергии и мощности, потребленной за установленные интервалы времени отдельными технологическими объектами, сбора, хранения и обработки полученной информации. Результаты измерений системы могут быть использованы для коммерческих расчетов.
1 ОБЩИЕ ПОЛОЖЕНИЯПоверке подлежит каждый ИК АИИС КУЭ. реализующий косвенный метод измерений электрической энергии. ИК подвергают поверке покомпонентным (поэлементным) способом с учетом положений раздела 8 ГОСТ Р 8.596-2002.
Допускается проведение поверки АИИС КУЭ в части отдельных ИК. с обязательным указанием в приложении к свидетельству о поверке информации об объеме проведенной поверки.
Допускается проведение поверки АИИС КУЭ с составом ИК. непосредственно применяемых для измерений в сфере государственного регулирования обеспечения единства измерений.
Первичную поверку системы выполняют после проведения испытаний АИИС КУЭ с целью утверждения типа. Допускается совмещение операций первичной поверки и операций, выполняемых при испытаниях типа. Периодическую поверку системы выполняют в процессе эксплуатации АИИС КУЭ. Интервал между поверками АИИС КУЭ - раз в 4 года.
Измерительные компоненты АИИС КУЭ поверяют с интервалами между поверками, установленными при утверждении их типа. Если очередной срок поверки измерительного компонента наступает до очередного срока поверки АИИС КУЭ. поверяется только этот компонент и поверка АИИС КУЭ не проводится. После поверки измерительного компонента и восстановления ИК выполняется проверка ИК в той его части и в том объеме, который необходим для того, чтобы убедиться, что действия, связанные с поверкой измерительного компонента, не нарушили метрологических свойств ИК (схема соединения, коррекция времени и т.п.).
АИИС КУЭ имеет прослеживаемость к ТЭТ 175-2019 «Государственному первичному специальному эталону единиц коэффициента масштабного преобразования и угла фазового сдвига электрического напряжения переменного тока промышленной частоты в диапазоне от 0.1/л/З до 750/л/З кВ и единиц электрической емкости и тангенса угла потерь на напряжении переменного тока промышленной частоты в диапазоне от 1 до 500 кВ», ТЭТ 152-2018 «Государственному первичному эталону единиц коэффициентов преобразования силы электрического тока». ТЭТ 1-2018 «Государственному первичному эталону единиц времени, частоты и национальной шкалы времени», ГЭТ 153-2019 «Государственному первичному эталону единицы электрической мощности в диапазоне частот от 1 до 2500 Гц».
Первичную поверку АИИС КУЭ проводят после ремонта системы, замены её измерительных компонентов, аварий в энергосистеме, если эти события могли повлиять на метрологические характеристики ИК. Допускается подвергать поверке только те ИК. которые подверглись указанным выше воздействиям, при условии, что собственник АИИС КУЭ __3__________________________________________________________ ГСИ. Система автоматизированная информационно-измерительная коммерческого учета электроэнергии (АИИС КУЭ) ООО «РУСЭНЕРГОСБЫТ» для энергоснабжения ОАО «РЖД» в границах Курской области. Методика поверки. МП-312601-0019.21
подтвердит официальным заключением, что остальные ИК этим воздействиям не подвергались. В этом случае оформляется свидетельство о поверке системы с перечнем поверенных ИК.
2 ПЕРЕЧЕНЬ ОПЕРАЦИЙ ПОВЕРКИ АИИС КУЭПри проведении поверки выполняют операции, указанные в таблице I.
Таблица 1 - Операции поверки
|
Наименование операции |
Номер пункта НД по поверке |
Обязательность проведения операции при | |
|
первичной поверке |
периодической поверке | ||
|
1 |
2 |
3 |
4 |
|
1. Подготовка к проведению поверки и опробование средства измерений |
8 |
Да |
Да |
|
2. Внешний осмотр |
7 |
Да |
Да |
|
3. Проверка соответствия измерительных компонентов АИИС КУЭ |
11.1 |
Да |
Да |
|
4. Проверка счетчиков электрической энергии |
11.2 |
Да |
Да |
|
5. Проверка УСПД |
1 1.3 |
Да |
Да |
|
6. Проверка функционирования центральных компьютеров (серверов) АИИС КУЭ |
11.4 |
Да |
Да |
|
7. Проверка функционирования вспомогательных устройств |
11.5 |
Да |
Да |
|
8. Проверка нагрузки на вторичные цепи измерительных трансформаторов тока |
11.6 |
Да |
Да |
|
9. Проверка нагрузки на вторичные цепи измерительных трансформаторов напряжения |
1 1.7 |
Да |
Да |
|
10. Проверка падения напряжения в линии связи между вторичной обмоткой TH и счетчиков |
1 1.8 |
Да |
Да |
|
1 1. Проверка погрешности часов компонентов системы |
11.9 |
Да |
Да |
|
12. Проверка отсутствия ошибок информационного обмена |
11.10 |
Да |
Да |
|
13. Проверка программного обеспечения средства измерений |
9 |
Да |
Да |
|
14. Оформление результатов поверки |
12 |
Да |
Да |
_____ 4
3 ТРЕБОВАНИЯ К УСЛОВИЯМ ПРОВЕДЕНИЯ ПОВЕРКИУсловия проведения поверки должны соответствовать требованиям, установленным ГОСТ 8.395-80 «Государственная система обеспечения единства измерений. Нормальные условия измерений при поверке. Общие требования», а также требованиям общих технических условий, технических условий и эксплуатационной документации поверяемого средства измерений, требованиям правил содержания и применения применяемых для поверки эталонов и требованиям эксплуатационных документов применяемых для поверки средств измерений и вспомогательных технических средств.
4 ТРЕБОВАНИЯ К СПЕЦИАЛИСТАМ, ОСУЩЕСТВЛЯЮЩИМ ПОВЕРКУ-
5.1 К проведению поверки АИИС КУЭ допускают поверителей, аттестованных в соответствии с ПР 50.2.012. изучивших настоящую методику поверки и руководство пользователя на АИИС КУЭ. имеющих стаж работы по данному виду измерений не менее 1 года.
-
5.2 Измерение вторичной нагрузки измерительных трансформаторов тока, входящих в состав АИИС КУЭ. осуществляется персоналом, имеющим стаж работы по данному виду измерений не менее 1 года, изучившим документ МИ 3196-2018 и прошедшим обучение по проведению измерений в соответствии с указанным документом. Измерение проводят не менее двух специалистов, один из которых должен иметь удостоверение, подтверждающее право работы на установках до и свыше 1 000 В с группой по электробезопасности не ниже IV, второй
-
- удостоверение, подтверждающее право работы на установках свыше 1000 В с группой по электробезопасности не ниже 111.
-
5.3 Измерение вторичной нагрузки измерительных трансформаторов напряжения, входящих в состав АИИС КУЭ. осуществляется персоналом, имеющим стаж работы по данному виду измерений не менее 1 года, изучившим документ МИ 3195-2018 и прошедшим обучение по проведению измерений в соответствии с указанным документом. Измерение проводят не менее двух специалистов, один из которых должен иметь удостоверение, подтверждающее право работы на установках до и свыше 1000 В с группой по электробезопасности не ниже IV. второй
-
- удостоверение, подтверждающее право работы на установках свыше 1000 В с группой по электробезопасности не ниже III.
-
5.4 Измерение потерь напряжения в линии соединения счетчика с измерительным трансформатором напряжения, входящими в состав АИИС КУЭ. осуществляется персоналом, имеющим стаж работы по данному виду измерений не менее 1 года, изучившим документ МИ 3598-2018 «ГСИ. Методика измерения потерь напряжения в линиях соединения счетчика с трансформатором напряжения в условиях эксплуатации» и прошедшим обучение по проведению измерений в соответствии с указанным документом. Измерение проводят не менее двух специалистов, один из которых должен иметь удостоверение, подтверждающее право работы на установках до и свыше 1000 В с группой по электробезопасности не ниже IV. второй -удостоверение, подтверждающее право работы на установках свыше 1000 В с группой по электробезопасности не ниже III.
При проведении поверочных и измерительных работ должны присутствовать работники объекта, на котором размещены компоненты АИИС КУЭ. имеющие опыт работы и право на
___________ 5
подключение и отключение эталонных и поверяемых средств измерении в соответствии со схемой поверки или с методикой выполнения измерений.
5 МЕТРОЛОГИЧЕСКИЕ И ТЕХНИЧЕСКИЕ ТРЕБОВАНИЯ К СРЕДСТВАМ ПОВЕРКИОбязательные метрологические и технические требования к средствам поверки АИИС КУЭ отсутствуют.
При проведении поверки применяют основные средства измерений и вспомогательные устройства, в соответствии с методиками поверки, указанными в описаниях типа на измерительные компоненты АИИС КУЭ, а также средства поверки приведенные в таблице 2.
Таблица 2 - Основные метрологические характеристики эталонов и испытательного
оборудования
|
Наименование эталонов и испытательного оборудования |
Основные метрологические характеристики эталонов и испытательного оборудования | |
|
Диапазон измерений |
Предел допускаемой погрешности измерений | |
|
Энергомонитор-3.ЗТ1. (per. № 39952-08) |
Действующее значение напряжения от 0,01-Uh до 1.5-Uh |
относительная погрешность ±[0,1+0,01((Uh/U) - 1)] % |
|
Действующее значение тока от 0,005-1н до 1,5-1н Действующее значение тока от 0.054н до 1,5-1н |
относительная погрешность ±[0,1+0,01((1н/1)- 1)]% относительная погрешность ±[0.5+0,05((1н/1) - 1)| % | |
|
частота переменного тока от 45 до 75 Гц |
абсолютная погрешность ±0.01 Гц | |
|
Вольтамперфазометр ПАРМА ВАФ-А. (per. № 22029-10) |
Действующее значение напряжения от 0 до 460 В |
относительная погрешность ±[l+0.1((UH/U)- 1)] % |
|
действующее значение силы переменного тока от 0 до 10 А |
относительная погрешность ±[1+0.1((1н/1)- 1)]% | |
|
частота переменного тока от 45 до 65 Гц |
относительная погрешность ±0.1 % | |
|
угол сдвига фаз от -180 до +180 градусов |
абсолютная приведенная погрешность ±3.6 % | |
|
Измеритель влажности и температуры ИВТМ-7 (per. № 71394-18) |
температуры от -45 °C до +60 °C |
±0.2 °C |
|
относительной влажности от 0 % до 99 % |
±2 %, | |
|
атмосферного давления от 840 до 1060 гПа |
±3 гПа; | |
|
Радиочасы «МИР РЧ-02-00» (per. № 46656-11) |
Абсолютная погрешность привязки к шкале UTC ±35 мкс | |
|
Переносной компьютер с ПО и оптический преобразователь для работы с счетчиками |
- | |
__6
ГС И. Система автоматизированная информационно-измерительная коммерческого учета электроэнергии (АИИС КУЭ) ООО «РУСЭНЕРГОСБЫТ» для энергоснабжения ОАО «РЖД» в границах Курской области. Методика поверки. МП-312601-0019.21
Примечания:
-
1. Допускается применение других основных и вспомогательных средств поверки с метрологическими характеристиками, обеспечивающими требуемые точности измерений.
-
2. Все средства измерений, применяемые при поверке, должны быть внесены в Федеральный информационный фонд по обеспечению единства измерений и иметь действующие свидетельства о поверке.
-
6.1 При проведении поверки должны быть соблюдены требования безопасности, установленные ГОСТ 12.2.007.0-75. ГОСТ 12.2.007.3-75. Приказом Минтруда РФ от 15.12.2020 г. № 903н «Об утверждении правил по охране труда при эксплуатации электроустановок», а также требования безопасности на средства поверки, поверяемые трансформаторы и счетчики, изложенные в их руководствах по эксплуатации.
-
6.2 Эталонные средства измерений и вспомогательные средства поверки должны соответствовать требованиям ГОСТ 12.2.003-91. ГОСТ 12.2.007.3-75. ГОСТ 12.2.007.0-75.
-
6.3 Все оперативные отключения и включения должны проводиться в соответствии с программой проведения работ, утвержденной в установленном порядке.
-
7.1.1 Проверяют целостность корпусов и отсутствие видимых повреждений компонентов АИИС КУЭ. наличие поверительных пломб и клейм на измерительных компонентах.
-
7.1.2 Проверяют размещение измерительных компонентов, наличие шильдиков и маркировку компонентов, правильность схем подключения трансформаторов к счетчикам электрической энергии; правильность прокладки проводных линий по проектной документации на АИИС КУЭ.
-
7.1.3 Проверяют соответствие типов и заводских номеров фактически использованных измерительных компонентов типам и заводским номерам, указанным в формуляре АИИС КУЭ.
-
7.1.4 Проверяют отсутствие следов коррозии и нагрева в местах подключения проводных линий.
При обнаружении несоответствий по п. 7.1 дальнейшие операции по поверке ИК приостанавливают до устранения выявленных несоответствий. В случае невозможности устранения выявленных несоответствий АИИС КУЭ в части неисправных ИК бракуется и выписывается извещение о непригодности.
8 ПОДГОТОВКА К ПОВЕРКЕ И ОПРОБОВАНИЕ СРЕДСТВА ИЗМЕРЕНИЙ-
8.1 Для проведения поверки представляют следующие копии документов:
-
- руководство пользователя АИИС КУЭ;
-
- описание типа АИИС КУЭ;
-
- свидетельства о поверке измерительных компонентов, входящих в ИК. и свидетельство о предыдущей поверке системы (при периодической и внеочередной поверке);
-
- паспорта-протоколы на ИК;
___ 7
-
- формуляр АИИС КУЭ;
-
8.2 Перед проведением поверки на месте эксплуатации АИИС КУЭ выполняют следующие подготовительные работы:
-
- проводят организационно-технические мероприятия по обеспечению безопасности поверочных работ в соответствии с действующими правилами и ПУЭ;
-
- проводят организационно-технические мероприятия по доступу поверителей и персонала энергообъектов к местам установки измерительных трансформаторов, счетчиков электроэнергии. УСПД. серверам АИИС КУЭ для проведения работ по п.п. 7.1. 11.2, 11.3. 11.4. 11.5;
-
- организуют рабочее место для поверителя, для проведения работ по п.п. 11.1. 11.5. 11.6. 11.7. 11.8. 11.9;
-
- средства поверки выдерживают в условиях и в течение времени, установленных в их эксплуатационных документах.
-
8.3 Процедуры по опробованию средства измерений предусмотрены в эксплуатационной документации.
-
9.1 Проводится проверка соответствия заявленных идентификационных данных программного обеспечения, указанных в описании типа:
-
- идентификационное наименование программного обеспечения;
-
- номер версии (идентификационный номер) программного обеспечения;
-
- цифровой идентификатор метрологически значимой части программного обеспечения (контрольная сумма исполняемого кода);
-
- алгоритм вычисления цифрового идентификатора программного обеспечения.
-
9.2 Проверка выполняется в соответствии с требованиями ГОСТ Р 8.654-2015 «ГСП. Требования к программному обеспечению средств измерений. Основные положения» и Р 50.2.077-2014 «ГСП. Испытания средств измерений в целях утверждения типа. Проверка защиты программного обеспечения».
-
9.2.3 Проверка документации в части программного обеспечения.
-
На проверку представляется документация на программное обеспечение (далее - ПО): Руководство пользователя.
-
9.2.4 Проверка идентификации ПО АИИС КУЭ
На сервере сбора АИИС КУЭ запустить (восстановить из области уведомлений Windows) программу «Консоль АИИС «АльфаЦЕНТР», «Консоль АИИС «Энергия АЛЬФА 2». Убедиться, что идентификационное наименование и номер версии ПО соответствуют заявленным.
Результат проверки считать положительным, если идентификационное наименование и номер версии ПО соответствует заявленному.
-
9.2.5 Проверка цифрового идентификатора программного обеспечения
На выделенных модулях ПО проверить цифровые идентификаторы и алгоритм вычисления цифрового идентификатора.
Проверка цифрового идентификатора ПО происходит на сервере сбора АИИС КУЭ. Запустить программу «Контроль модулей» (файл ModulesControl.exe в каталоге установленного ПО «АльфаЦЕНТР. Сервер». «Энергия АЛЬФА 2. Сервер», на вкладке «Список модулей» в поле __ 8
ГСИ. Система автоматизированная информационно-измерительная коммерческого учета электроэнергии (АИИС КУЭ) ООО «РУСЭНЕРГОСБЫТ» Оля энергоснабжения ОАО «РЖД» в границах Курской области. Методика поверки. МП-312601-0019.21
«Список модулей» указать полный путь к метрологическому модулю: «C:\P2kServer\Metrology.dl. нажать кнопку «Старт» и проверить результат: алгоритм вычисления цифрового идентификатора и контрольную сумму файла. Убедиться, что алгоритм вычисления цифрового идентификатора ПО и цифровой идентификатор ПО (контрольная сумма) соответствуют заявленным.
-
9.2.6 ПО считается подтвержденным, если идентификационное наименование ПО, номер версии (идентификационный номер) ПО. цифровой идентификатор ПО соответствуют приведенным в описании типа на АИИС КУЭ.
В противном случае АИИС КУЭ считается не прошедшей поверку и признается непригодной к применению.
Идентификационные данные ПО «АльфаЦЕНТР», ПО «Энергия АЛЬФА 2» приведены в таблицах 3-4.
Таблица 3 - Идентификационные данные ПО «Энергия АЛЬФА 2»
|
Идентификационные данные (признаки) |
Значение |
|
Идентификационное наименование ПО |
Энергия АЛЬФА 2 |
|
Номер версии (идентификационный номер) ПО |
не ниже 2.0.0.2 |
|
Цифровой идентификатор ПО (MD 5. enalpha.exe) |
17e63d59939159ef304b8ff63121 df60 |
Таблица 4 - Идентификационные данные ПО «АльфаЦЕНТР»
|
Идентификационные данные (признаки) |
Значение |
|
Идентификационное наименование ПО |
АльфаЦЕНТР |
|
Номер версии (идентификационный номер) ПО |
не ниже 12.01 |
|
Цифровой идентификатор ПО (MD 5. ас metrology.dll ) |
3E736B7F380863F44CC8E6F7BD211С54 |
-
10.1 Границы интервала основной погрешности измерительно-информационного комплекса электроэнергии рассчитывают для вероятности Р=0,95 для нормальных условий.
В качестве нормальных условий используют данные, предусмотренные технической документацией на АИИС КУЭ.
-
10.2 Границы интервала основной относительной погрешности ИК активной электроэнергии вычисляют по формуле (1):
А ~ ' ^1Т +^7Н +^f)A + ^ос ( ] (
где ^Ж0/| - границы интервала основной относительной погрешности ИК активной электроэнергии в % для вероятности 0.95;
^'п - предел допускаемой относительной погрешности по амплитуде трансформатора
тока (ТТ) в %;
- предел допускаемой относительной погрешности по амплитуде трансформатора напряжения (TH) в %;
_________ 9
О
°в А - границы интервала относительной погрешности измерения активной электроэнергии, обусловленной угловыми погрешностями измерительных трансформаторов в%;
5л - предел допускаемой относительной погрешности, обусловленной потерями напряжения в линии связи между TH и счетчиком в %;
бос - предел допускаемой основной относительной погрешности счетчика электроэнергии в %.
Границы интервала суммарной абсолютной угловой погрешности & в минутах и границы интервала относительной погрешности вА в % определяются по формулам:
(2)
ЗвА = 0.029 ■ 0 ■ tgcp
(3)
где и - пределы допускаемых угловых погрешностей ТТ и TH в минутах, соответственно;
- угол сдвига между векторами первичных тока и напряжения в градусах.
-
10.3 Границы интервала погрешности НК в рабочих условиях эксплуатации рассчитывают для вероятности 0.95. В качестве рабочих условий используют данные, предусмотренные технической документацией на АИИС КУЭ.
-
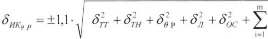
10.4 Границы интервала относительной погрешности ИК активной электроэнергии в рабочих условиях вычисляют по формуле (4):
in
/ . доп, i=l
(4)
где ИКр А - границы интервала относительной погрешности ИК активной электроэнергии в % для вероятности 0.95;
TH
• $th ,двА. дл • ^ос . те же величины, что и в формуле 1;
$
. предел относительной допускаемой дополнительной погрешности счетчика электроэнергии в рабочих условиях от i - ой влияющей величины;
m - общие число влияющих величин.
реактивной
-
10.5 Границы интервала основной относительной погрешности ИК электроэнергии вычисляют по формуле (5):
+ <^Р +<5/7 + <^ОС
(5)
реактивной
(6)
где ИК,,р - границы интервала основной относительной погрешности ИК электроэнергии в % для вероятности 0.95;
двр
реактивной электроэнергии, обусловленной угловыми погрешностями измерительных трансформаторов в %;
-границы интервала относительной погрешности измерения
ёвр = 0.029 ■ 9 ■ ctg9
Остальные величины в формулах (5) и (6) те же, что в формулах (1) и (3). 10
-
10.6 Границы интервала относительной погрешности ИК реактивной электроэнергии в рабочих условиях вычисляют по формуле (7)


(7)
Где все величины те же. что в формулах (1). (3). (4) и (6).
Примечание - Формулы (1), (4), (5) и (7) даны для случая, когда отклонение внешних влияющих величин от нормальных значений вызывает дополнительные погрешности только у счетчика электроэнергии, а составляющими погрешности измерения электроэнергии обусловленными погрешностью задания интервала времени интегрирования электрической мощности, погрешностью передачи информации по ГОСТ 4.199, погрешностью обработки данных можно пренебречь.
-
11 ПОДТВЕРЖДЕНИЕ СООТВЕТСТВИЯ СРЕДСТВА ИЗМЕРЕНИЙ МЕТРОЛОГИЧЕСКИМ ТРЕБОВАНИЯМ
-
11.1 Проверка соответствия измерительных компонентов АИИС КУЭ
-
-
11.1.1 Проверяют правильность расположения и монтажа средств измерений (измерительных компонентов), правильность схем подключения ТТ и TH к счетчикам электрической энергии, правильность прокладки проводных линий связи по проектной документации на АИИС КУЭ.
-
11.1.2 Проверяют соответствие типов и заводских номеров фактически используемых средств измерений (измерительных компонентов) типам, заводским номерам, указанным в формуляре АИИС КУЭ.
-
11.1.3 Проверяют наличие свидетельств о поверке и срок их действия для всех средств измерений (измерительных компонентов): измерительных трансформаторов тока и напряжения, счетчиков электрической энергии. СОЕВ. При выявлении просроченных свидетельств о поверке средств измерений (измерительных компонентов) дальнейшие операции по поверке АИИС КУЭ. в части ИК, в которые они входят, приостанавливаются и выполняют после поверки этих средств измерений (измерительных компонентов).
Допускается при обнаружении просроченных свидетельств о поверке средств измерений (измерительных компонентов) ИК проводить их поверку на месте эксплуатации в процессе поверки АИИС КУЭ.
При обнаружении несоответствий по п. 11.1 дальнейшие операции по поверке ИК приостанавливают до устранения выявленных несоответствий. В случае невозможности устранения выявленных несоответствий АИИС КУЭ в части неисправных ИК бракуется и выписывается извещение о непригодности.
11.2 Проверка счетчиков электрической энергии
-
11.2.1 Проверяют наличие и сохранность пломб поверительных и энергосбытовых организаций на счетчике и испытательной коробке. Проверяют правильность подключения счетчиков к цепям тока и напряжения. При отсутствии паспортов-протоколов на ИК или нарушении (отсутствии) пломб проверяют правильность подключения счетчиков к цепям тока и
__________________ 11
ГС И. Система автоматизированная информационно-измерительная коммерческого учета электроэнергии (АИИС КУЭ) ООО «РУСЭНЕРГОСБЫТ» для энергоснабжения ОАО «РЖД» в границах Курской области. Методика поверки. МП-312601-0019.21
напряжения (соответствие схем подключения - схемам, приведенным в паспорте на счетчик). Проверяют последовательность чередования фаз с помощью измерителя напряжения с токовыми клещами.
-
11.2.2 Проверяют работу всех сегментов индикаторов, отсутствие предупреждений, прокрутку параметров в заданной последовательности.
-
11.2.3 Проверяют работоспособность оптического порта счетчика с помощью переносного компьютера. Преобразователь подключают к любому последовательному порту переносного компьютера. Опрашивают счетчик по установленному соединению. Опрос счетчика считается успешным, если получен отчет, содержащий данные, зарегистрированные счетчиком.
-
11.2.4 Проверяют соответствие индикации даты в счетчике календарной дате (число, месяц, год). Проверку осуществляют визуально или с помощью переносного компьютера через оптопорт.
При обнаружении несоответствий по п. 11.2 дальнейшие операции по поверке ПК приостанавливают до устранения выявленных несоответствий. В случае невозможности устранения выявленных несоответствий АИИС КУЭ в части неисправных ИК бракуется и выписывается извещение о непригодности.
11.3 Проверка УСПД-
11.3.1 Проверяют наличие и сохранность пломб поверительных и энергосбытовых организаций на УСПД. При отсутствии или нарушении пломб проверяют правильность подсоединения УСПД.
-
11.3.2 Проверяют правильность функционирования УСПД в соответствии с его эксплуатационной документацией с помощью тестового программного обеспечения. Проверка считается успешной, если все подсоединенные к УСПД счетчики опрошены и нет сообщений об ошибках.
-
11.3.3 Проверяют программную защиту УСПД от несанкционированного доступа.
При наличии несоответствий по п. 11.3 дальнейшие операции по поверке ИК прекращаются. АИИС КУЭ бракуется и выписывается извещение о непригодности.
11.4 Проверка функционирования центральных компьютеров (серверов) АИИС КУЭ-
11.4.1 Проверяют защиту программного обеспечения на серверах сбора АИИС КУЭ от несанкционированного доступа. Для этого запускают на выполнение программу «Конфигуратор ИКМ» и в поле “пароль” вводят неправильный код. после чего пытаются открыть программные модули в разделе «Управление». Проверку считают успешной, если при вводе неправильного пароля программа не разрешает продолжать работу.
-
11.4.2 Проверяют функционирование сбора данных со счетчиков электроэнергии на сервере сбора АИИС КУЭ. Для этого запускают на выполнение программу «Конфигуратор ИКМ» и открывают программный модуль «Анализ данных». Проводят опрос сбора данных по параметру «12 - Мощность за предыдущие 30 минут» для всех счетчиков электроэнергии коммерческого учета. Проверку считают успешной, если по всем присоединениям точек коммерческого учета в наличии полный сбор данных за все время работы присоединения за предыдущие сутки.
_________ 12
1 1.4.3 Проверяют глубину хранения измерительной информации и журналов событий на сервере БД АИИС КУ9. Для этого запускают на выполнение программу «Энергия Альфа 2. АРМ». «АльфаЦЕНТР. АРМ». АРМ», открывают инструмент «Анализ сбора за день» и проверяют наличие данных получасовых интегрированных профилей активной мощности по точкам коммерческого учета за прошедшие 3.5 года. Открывают инструмент «Контроль событий», переключаются во вкладку «Журнал» и проверяют наличие информации о событиях за прошедшие 3,5 года. Проверку считают успешной, если на сервере БД АИИС КУЗ в наличии измерительная информация и журналы событий за прошедшие 3.5 года.
-
11.4.4 Проверяют правильность значений коэффициентов трансформации измерительных трансформаторов в конфигурации сервера сбора АИИС КУЭ. Для этого запускают на выполнение программу «Конфигуратор ИКМ» и открывают приложение «Студия НСИ» в разделе «Управление». Для всех устройств коммерческого учета во вкладки «Атрибуты» проверяют атрибуты «Коэффициент трансформации по напряжению» и «Коэффициент трансформации по току». Проверку считают успешной, если значения коэффициентов измерительных трансформаторов соответствуют Описанию типа средства измерения Система автоматизированная информационно-измерительная коммерческого учета электроэнергии (АИИС КУЭ) ООО «РУСЭНЕРГОСБЫТ» для энергоснабжения ОАО «РЖД» в границах Курской области.
При обнаружении несоответствий по п. 11.4 дальнейшие операции по поверке ИК приостанавливают до устранения выявленных несоответствий. В случае невозможности устранения выявленных несоответствий АИИС КУЭ в части неисправных ИК бракуется и выписывается извещение о непригодности.
11.5 Проверка функционирования вспомогательных устройств-
11.5.1 Проверка функционирования модемов и сетевого оборудования ЛВС
Проверяют функционирование модемов и сетевого оборудования ЛВС. используя коммуникационные возможности ПО серверов сбора данных АИИС КУЭ. Модемы и сетевое оборудование ЛВС считаются исправными в составе комплекса, если были установлены коммутируемые соединения и по установленным соединениям успешно прошел опрос счетчиков при проверке по п. 11.4.2.
При обнаружении несоответствий по п. 11.5 дальнейшие операции по поверке ИК приостанавливают до устранения выявленных несоответствий. В случае невозможности устранения выявленных несоответствий АИИС КУЭ в части неисправных ИК бракуется и выписывается извещение о непригодности.
11.6 Проверка нагрузки вторичных цепей измерительных трансформаторов тока1 1.6.1 Проверяют наличие и сохранность пломб поверительных и энергосбытовых организаций на клеммных соединениях, имеющихся на линии связи ТТ со счетчиком. Проверяют наличие паспортов-протоколов, подтверждающих правильность подключения вторичных обмоток ГТ. При отсутствии таких документов проверяют правильность подключения вторичных обмоток ТТ.
-
11.6.2 Проверяют наличие данных измерений мощности нагрузки вторичных цепей ТТ по МИ 3196-2018 с оформлением паспортов-протоколов по форме Приложения 11.5 АО «АТС». Срок проведения ревизии ИК. а также утверждения паспортов-протоколов должен быть не более _________ 13
1 года до момента проведения поверки.
-
11.6.3 При отсутствии паспортов-протоколов измеряют мощность нагрузки вторичных цепей ТТ. которая должна находиться в диапазоне, указанном в ГОСТ 7746 и/или в описании типа средств измерений на конкретный тип ТТ.
Измерение мощности вторичной нагрузки ТТ проводят в соответствии с МИ 3196-2018.
Допускается измерение мощности нагрузки вторичных цепей ТТ не проводить, если такое измерение проводилось при составлении паспорта-протокола на данный ИК в течении истекающего межповерочного интервала системы. Результаты проверки считают положительными, если паспорт-протокол подтверждает выполнение указанного выше условия для ТТ.
Допускается мощность нагрузки определять расчетным путем.
Допускается проведение измерений в соответствии с другими аттестованными методиками измерений.
При обнаружении несоответствий по п. 11.6 дальнейшие операции по поверке ИК приостанавливают до устранения выявленных несоответствий. В случае невозможности устранения выявленных несоответствий АИИС КУЭ в части неисправных ИК бракуется и выписывается извещение о непригодности.
11.7 Проверка нагрузки вторичных цепей измерительных трансформаторов напряжения-
11.7.1 Проверяют наличие и сохранность пломб поверительных и энергосбытовых организаций на клеммных соединениях, имеющихся на линии связи TH со счетчиком. Проверяют наличие паспортов-протоколов, подтверждающих правильность подключения первичных и вторичных обмоток TH. При отсутствии таких документов или нарушении (отсутствии) пломб проверяют правильность подключения первичных и вторичных обмоток TH.
-
11.7.2 Проверяют наличие данных измерений мощности нагрузки вторичных цепей TH по МИ 3195-2018 с оформлением паспортов-протоколов по форме Приложения 11.5 АО «АТС». Срок проведения ревизии ИК. а также утверждения паспортов-протоколов должен быть не более 1 года до момента проведения поверки.
Допускается измерение мощности нагрузки вторичных цепей TH не проводить, если такое измерение проводилось при составлении паспорта-протокола на данный ИК в течении истекающего межповерочного интервала системы. Результаты проверки считают положительными, если паспорт-протокол подтверждает выполнение указанного выше условия для TH.
Допускается мощность нагрузки определять расчетным путем.
Допускается проведение измерений в соответствии с другими аттестованными методиками измерений.
При обнаружении несоответствий по п. 11.7 дальнейшие операции по поверке ИК приостанавливают до устранения выявленных несоответствий. В случае невозможности устранения выявленных несоответствий АИИС КУЭ в части неисправных ИК бракуется и выписывается извещение о непригодности.
-
11.8 Проверка падения напряжения в линии связи между вторичной обмоткой TH и счетчиков
Проверяют наличие данных измерений падения напряжения ил в проводной линии связи для каждой фазы по утвержденному документу МИ 3598-2018 «ГСИ. Методика измерения потерь напряжения в линиях соединения счетчика с трансформатором напряжения в условиях эксплуатации» с оформлением паспортов-протоколов по форме Приложения 11.5 АО «АТС». Паспорта-протоколы должны быть оформлены не ранее, чем за 1 год до проведения поверки ИК. Падение напряжения не должно превышать 0.25 % от номинального значения на вторичной обмотке TH.
Допускается измерение падения напряжения в линии связи счетчика с TH не проводить, если такое измерение проводилось при составлении паспорта-протокола на данный ИК в течении истекающего межповерочного интервала системы. Результаты проверки считают положительными, если паспорт-протокол подтверждает выполнение указанного выше требования.
Допускается падение напряжения в линии связи счетчика с TH определять расчетным путем.
Допускается проведение измерений в соответствии с другими аттестованными методиками измерений.
При обнаружении несоответствий по п. 11.8 дальнейшие операции по поверке ИК приостанавливают до устранения выявленных несоответствий. В случае невозможности устранения выявленных несоответствий АИИС КУЭ в части неисправных ИК бракуется и выписывается извещение о непригодности.
11.9 Проверка системы обеспечения единого времени-
11.9.1 Проверка СОЕВ
Подключают радиочасы «МИР РЧ-02.00» к переносному компьютеру с ПО. Сверяют показания радиочасов с показаниями часов сервера, получающего сигналы точного времени от устройства синхронизации системного времени, путём сравнения времени переносного компьютера с ПО и сервера. Расхождение показаний радиочасов с часами сервера не должно превышать ±1 с.
-
11.9.2 Распечатывают журнал событий УСПД. выделив события, соответствующие сличению часов УСПД и часов сервера. Расхождение времени часов УСПД и часов сервера в момент, предшествующий коррекции не должно превышать ±2 с.
-
11.9.3 Распечатывают журнал событий счетчиков, выделив события, соответствующие сличению часов счетчиков и часов УСПД. Расхождение времени часов счетчика и часов УСПД в момент, предшествующий коррекции не должно превышать ±2 с.
-
11.9.4 Допускаемая погрешность СОЕВ не превышает ±5 с.
При обнаружении несоответствий по п. 11.9 дальнейшие операции по поверке ИК прекращаются. АИИС КУЭ в части неисправных ИК бракуется и выписывается извещение о непригодности.
11.10 Проверка отсутствия ошибок информационного обменаОперация проверки отсутствия ошибок информационного обмена предусматривает экспериментальное подтверждение идентичности числовой измерительной информации в счетчиках электрической энергии (исходная информация) и в памяти сервера БД АИИС КУЭ.
В момент проверки все технические средства, входящие в проверяемый ИК. должны быть ______________ 15
ГСИ. Система автоматизированная информационно-измерительная коммерческого учета электроэнергии (АИИС КУЭ) ООО «РУСЭНЕРГОСБЫТ» Оля энергоснабжения ОАО «РЖД» в границах Курской области. Методика поверки. МП-312601-0019.21
включены.
-
11.10.1 На сервере БД АНИС КУЭ запускают на выполнение программу «АльфаЦЕНТР. АРМ». «Энергия АЛЬФА 2. АРМ», открывают инструмент «Анализ данных» и для каждой точки коммерческого учета выводят данные за предыдущие сутки по параметру «12 - Мощность за предыдущие 30 минут».
-
11.10.2 Используя программу «Metercat» и Конфигуратор СЭТ-4ТМ, считывают из счетчиков электроэнергии всех точек коммерческого учета присоединений, находящихся в работе, профиль нагрузки за полные предшествующие дню проверки сутки, хранящийся в памяти счетчика. Различие значений активной (реактивной) мощности, хранящейся в памяти счетчика (с учетом коэффициентов трансформации измерительных трансформаторов) и базе данных сервера БД АИИС КУЭ полученные по п. 11.10.1 не должно превышать двух единиц младшего разряда учтенного значения.
При обнаружении несоответствий по п. 11.10 дальнейшие операции по поверке ИК прекращаются. АИИС КУЭ в части неисправных ИК бракуется и выписывается извещение о непригодности.
12 ОФОРМЛЕНИЕ РЕЗУЛЬТАТОВ ПОВЕРКИ-
11.1 На основании положительных результатов по пунктам разделов 7-11 оформляют свидетельство о поверке АИИС КУЭ в соответствии с Приказом Минпромторга России №2510 от 31 июля 2020 г. «Об утверждении Порядка проведения поверки средств измерений, требования к знаку поверки и содержанию свидетельства о поверке».
-
11.2 В случае, если отдельные ИК были забракованы по пунктам разделов 7-11. АИИС КУЭ признается непригодной к дальнейшей эксплуатации, в части ИК не прошедших с положительным результатом поверку и на нее выдают извещение о непригодности по форме и содержанию удовлетворяющее требованиям Приказа Минпромторга России №2510 от 31 июля 2020 г. «Об утверждении Порядка проведения поверки средств измерений, требования к знаку поверки и содержанию свидетельства о поверке», с указанием причин непригодности.
В. Тимошенко
М.А. Шошин
Инженер-метролог
ООО ИИГ «КАРНЕОЛ»
Инженер-метролог
ООО ИИГ «КАРНЕОЛ»
__ 16
ГСИ. Система автоматизированная информационно-измерительная коммерческого учета
электроэнергии (АИИС КУЭ) ООО «РУСЭНЕРГОСБЫТ» для энергоснабжения ОАО «РЖД» в границах
Курской области. Методика поверки. МП-312601-0019.21
