Методика поверки «Информационно-измерительные системы ИИС-32М » (652-21-010 МП )
СОГЛАСОВАНО
Первый заместитель генерального директора — заместитель по научной работе
ФГУП «ВНИИФТРИ»
ГОСУДАРСТВЕННАЯ СИСТЕМА ОБЕСПЕЧЕНИЯ ЕДИНСТВА ИЗМЕРЕНИЙ
Информационно-измерительные системы ИИС-32М ЯШИС.467316.004
МЕТОДИКА ПОВЕРКИ
651-21-010 МП р.п. Менделеево
2021 г.
Содержание
-
3 Метрологические и технические требования к средствам поверки
-
10 Определение метрологических характеристик средства измерений
1 Общие положения
-
1.1 Настоящая методика поверки распространяется на информационно-измерительные системы ИИС-32М ЯШИС.467316.004 (далее по тексту— ИИС-32М), изготавливаемые ООО НЛП «ИЗОП ЛИИ», Московская область, г. Жуковский, улица Туполева, корпус 57, помещение 12 и устанавливает методы и средства их первичной и периодической поверок.
-
1.2 При проведении поверки должна быть обеспечена прослеживаемость к первичным эталонам по государственной поверочной схеме для координатно-временных измерений, утверждённой приказом Госстандарта №2831 от 29 декабря 2018 г.
-
1.3 Интервал между поверками — 5 лет.
2 Перечень операций поверки
-
2.1 При поверке выполняют операции, представленные в таблице 1.
Таблица 1 — Перечень операций, выполняемых при поверке
|
Наименование операции |
Номер пункта методики |
Проведение поверки | |
|
после ремонта |
при периодической поверке | ||
|
Внешний осмотр средства измерений |
7 |
да |
да |
|
Подготовка к поверке и опробование средства измерений |
8 |
да |
да |
|
Проверка программного обеспечения средства измерений |
9 |
да |
да |
|
Определение метрологических характеристик средства измерений |
10 | ||
|
Определение абсолютной погрешности (при доверительной вероятности 0,95) определения координат местоположения по каждой координатной оси в абсолютном режиме реального времени |
10.1 |
да |
да |
|
Определение абсолютной погрешности (при доверительной вероятности 0,95) определения составляющих вектора скорости в абсолютном режиме реального времени |
10.2 |
да |
да |
|
Определение абсолютной погрешности (при доверительной вероятности 0,95) определения координат местоположения по каждой координатной оси в дифференциальном режиме реального времени с использованием корректирующей информации SBAS |
10.3 |
да |
да |
|
Наименование операции |
Номер пункта методики |
Проведение поверки | |
|
после ремонта |
при периодической поверке | ||
|
Определение абсолютной погрешности (при доверительной вероятности 0,95) определения составляющих вектора скорости в дифференциальном режиме реального времени с использованием корректирующей информации SBAS |
10.4 |
да |
да |
|
Определение абсолютной погрешности (при доверительной вероятности 0,95) определения относительных координат местоположения по каждой координатной оси в дифференциальном фазовом режиме в постобработке |
10.5 |
да |
да |
|
Определение абсолютной погрешности (при доверительной вероятности 0,95) определения составляющих вектора скорости в дифференциальном фазовом режиме в постобработке |
10.6 |
да |
да |
|
Определение абсолютной погрешности (при доверительной вероятности 0,95) определения относительных координат местоположения в дифференциальном кодовом режиме в постобработке |
10.7 |
да |
да |
|
Определение абсолютной погрешности (при доверительной вероятности 0,95) определения составляющих вектора скорости в дифференциальном кодовом режиме в постобработке |
10.8 |
да |
да |
|
Определение абсолютной погрешности (при доверительной вероятности 0,95) определения координат местоположения по каждой координатной оси в режиме РРР в постобработке с использованием «быстрой» ЭВИ |
10.9 |
да |
да |
|
Определение абсолютной погрешности (при доверительной вероятности 0,95) составляющих вектора скорости в режиме РРР в постобработке с использованием «быстрой» ЭВИ |
10.10 |
да |
да |
|
Определение абсолютной погрешности синхронизации внутренней шкалы времени ИИС-32М к национальной шкале координированного времени UTC(SU) |
10.11 |
да |
да |
-
2.2 При получении отрицательных результатов при выполнении любой из операций, приведенных в таблице 1, поверка прекращается и ИИС-32М бракуется.
-
2.3 Не допускается проведение поверки отдельных измерительных каналов или отдельных автономных блоков или меньшего числа измеряемых величин или на меньшем числе поддиапазонов измерений.
3 Метрологические и технические требования к средствам поверки
-
3.1 Рекомендуемые средства поверки ИИС-32М приведены в таблице 2.
Таблица 2 — Средства измерений, используемые при поверке
|
Номер пункта методики |
Наименование рабочих эталонов или вспомогательных средств поверки. Номер документа, регламентирующего технические требования к рабочим эталонам или вспомогательным средствам. Разряд по государственной поверочной схеме и (или) метрологические и основные технические характеристики |
|
10.1-10.11 |
Рабочий эталон координат местоположения 1 разряда согласно государственной поверочной схеме для координатно-временных измерений, утвержденной приказом № 2831 Федерального агентства по техническому регулированию и метрологии от 29 декабря 2018 г., предел допускаемой погрешности воспроизведения беззапросной дальности по фазе дальномерного кода 0,05 м, предел допускаемой погрешности воспроизведения беззапросной дальности по фазе несущей частоты 0,002 м, предел допускаемой погрешности воспроизведения скорости изменения беззапросной дальности 0,01 м/с |
|
10.11 |
Измеритель временных интервалов, пределы допускаемой абсолютной погрешности измерения интервалов времени ±0,62 нс для интервалов времени не более 100 мкс; ±200 нс для интервалов времени не более 1 с |
-
3.2 Все средства поверки, применяемые при поверке ИИС-32М, должны быть исправны, аттестованы или поверены.
-
3.3 При поверке используются пульт управления (блок управления), кабель БЭ ИИС-32М - СНС-1 РИЦА.685622.013, БЭ ИИС-32М - ПОИ, ПЭВМ РИЦА.685623.012, кабель БЭ-ИИС-32М - блок питания РИЦА.685621.029, кабель СНС-1 - блок питания РИЦА.685622.020, которые предоставляются Заказчиком.
-
3.4 Вместо указанных в таблице 2 средств поверки допускается применять другие аналогичные, обеспечивающие определение метрологических характеристик ИИС-32М с требуемой точностью.
4 Требования к специалистам, осуществляющим поверку
-
4.1 Поверка должна осуществляться лицами с высшим или средним техническим образованием, квалифицированными в качестве поверителей в области координатно-временных средств измерений.
5 Требования по обеспечению безопасности проведения поверки
-
5.1 При проведении поверки должны быть соблюдены все требования безопасности в соответствии с ГОСТ 12.3.019.
6 Требования к условиям проведения поверки
-
6.1 При проведении поверки ИИС-32М должны соблюдаться следующие условия:
-
- температура окружающего воздуха, °C......................................от 15 до 25;
-
- напряжение питания от сети постоянного тока, В..............от 23,8 до 29,4;
-
- сила тока в сети постоянного тока, не менее, А.......................................10.
Примечание — Допускается проведение поверки в реально существующих условиях, кроме особо оговоренных в данной методике поверки, если они не выходят за пределы рабочих условий, установленных в инструкциях по эксплуатации оборудования, применяемых при поверке.
7 Внешний осмотр средства измерений
-
7.1 При проведении внешнего осмотра проверить отсутствие механических повреждений и ослабления элементов, четкость фиксации их положения, чёткость обозначений, чистоту и исправность разъёмов и гнёзд.
-
7.2 Результаты поверки считать положительными, если отсутствуют механические повреждения и ослабления элементов, фиксация их положения чёткая, разъёмы и гнёзда чистые и исправные.
8 Подготовка к поверке и опробование средства измерений
-
8.1 Подготовка к поверке
-
8.1.1 Поверитель должен изучить техническую документацию изготовителя, руководство по эксплуатации ЯШИС.467316.004 РЭ и руководства по эксплуатации применяемых средств поверки.
-
8.1.2 Перед проведением операций поверки необходимо:
-
-
- проверить комплектность ИИС-32М согласно паспорту ЯШИС.467316.004 ПС;
-
- проверить комплектность рекомендованных (или аналогичных им) средств поверки;
-
- заземлить рабочие эталоны и средства измерений (если это необходимо), включить питание заблаговременно перед очередной операцией поверки с учётом времени установления рабочего режима, указанного в РЭ.
-
8.2 Опробование
-
8.2.1 Опробование наземной части ИИС-32М
-
8.2.1.1 Собрать измерительную схему в соответствии с рисунком 1, подключив к блоку СНС-1 из состава наземной части ИИС-32М антенну НКС и вычислитель НКС.
Вычислитель НКС
«"
Адаптер USB - RS-232
«---»
Блок CHC-1
-220 В | USB
USB ] ( RS-232
X2 |
XI | 27 В
-
Антенна НКС
Рисунок 1 — Схема подключения наземной части ИИС-32М для проверки работоспособности
-
8.2.1.2 Установить антенну наземной части ИИС-32М под открытым небом без объектов, препятствующих приему навигационного сигнала.
-
8.2.1.3 Включить вычислитель НКС нажатием на кнопку включения.
-
8.2.1.4 Установить тумблер на лицевой панели блока СНС-1 в положение «вкл».
-
8.2.1.5 Убедиться, что на лицевой панели блока СНС-1 загорается индикатор «ПИТ».
-
8.2.1.6 На вычислителе НКС запустить программу «NetView&Modem».
-
8.2.1.7 В открывшемся окне программы выбрать соединение с приемником СНС-1 через COM-порт, предварительно отключить флаг (checkbutton) «Включить Rst/Cts» справа от окошка скорости обмена данными.
-
8.2.1.8 Удостовериться в штатном режиме работы по трехцветному индикатору состояния, который должен отображать видимость НКА (количество миганий зеленого цвета соответствует числу наблюдаемых спутников системы GPS, количество миганий оранжевого цвета соответствует числу наблюдаемых спутников системы ГЛОНАСС, мигание красного цвета означает отсутствие наблюдаемых спутников с соотношением «сигнал/шум > 48 дБ/Гц» или отсутствие решения).
-
8.2.1.9 Развернуть окно «Real-Time Log», выбрать папку для сохранения файлов и нажать на кнопку регистрации .
-
8.2.1.10 Убедиться в накоплении данных в файле формата «*.jps», расположенном в папке выбранной в п. 8.2.1.9.
-
-
8.2.2 Опробование бортовой части ИИС-32М
-
8.2.2.1 Собрать измерительную схему в соответствии с рисунком 2, подключив к блоку СНС-1 из состава бортовой части ИИС-32М антенну СНС и блок электронный (БЭ-ИИС-32М).
-
8.2.2.2 Подключить мобильную ПЭВМ и блок управления к электронному блоку.

Рисунок 2 — Схема подключения бортовой части ИИС-32М для проверки работоспособности
-
8.2.2.3 Установить антенну бортовой части ИИС-32 М под открытым небом без объектов, препятствующих приему навигационного сигнала.
-
8.2.2.4 Запустить мобильную ПЭВМ нажатием на кнопку включения.
-
8.2.2.5 Выполнить операции пп. 8.2.1.4 -8.2.1.5.
-
8.2.2.6 Установить тумблер на блоке управления в положение «ВКЛ».
-
8.2.2.7 Выполнить операции п. 8.2.1.8.
-
8.2.2.8 На ПЭВМ запустить исполняемый файл «PoiN2.exe», который находится на рабочем столе, и убедиться в отображении координат СНС-1 в виде синих точек на карте в рабочем окне ПОИ.
-
8.2.2.9 Перейти в рабочую директорию БЭ-ИИС-32М и удостовериться в накоплении данных в файле с расширением «*.iis» текущей даты.
8.2.3 Результаты поверки считать положительными, если выполняются пп. 8.2.1.10 и 8.2.2.9.
9 Проверка программного обеспечения средства измерений
-
9.1 Определить идентификационные данные ПО ИИС-32М в соответствии с ЯШИС.467316.004 РЭ.
-
9.2 Идентификационные данные ПО представлены в таблице 3.
Таблица 3 — Идентификационные данные (признаки) метрологически значимой части программного обеспечения ИИС-32М
|
Идентификационные данные (признаки) |
Значение | |||||
|
Идентификационное наименование |
Main (БЭ ИИС-32) |
TRE 3N (СНС-1) |
SetupNav |
NetView& Modem |
PoiN2 |
JpsCon-vert |
|
Номер версии (идентификационный номер), не ниже |
4.1.4 (М4) |
3.7.10 Oct^2^020 |
8.90.2428 |
2.2.41 |
1.0 |
1.0 |
-
9.2.1 Результаты поверки ИИС-32М считать положительными, если идентификационные данные ПО соответствуют данным, указанным в таблице 3.
10 Определение метрологических характеристик средства измерений
-
10.1 Определение абсолютной погрешности (при доверительной вероятности 0,95) определения координат местоположения по каждой координатной оси в абсолютном режиме реального времени
-
10.1.1 Для проведения измерений собрать схему, приведенную на рисунке 3.
Ethernet
Мобильная ПЭВМ
Имитатор
RFOut Q-

Блок управления! кх,
X12
27 В
X2
5лок CHC-1
XI X3 27 В
-
Рисунок 3 — Схема подключения ИИС-32М для определения координат местоположения в абсолютном режиме
-
10.1.2 Запустить мобильную ПЭВМ нажатием на кнопку включения.
-
10.1.3 Запустить имитатор из состава государственного рабочего эталона единиц координат местоположения 1 разряда, согласно РЭ.
-
10.1.4 Установить тумблеры на блоке управления и на лицевой панели СНС-1 в положение «ВКЛ».
-
10.1.5 Выждать время прогрева составных частей схемы измерений 1 ч.
-
10.1.6 Запустить на имитаторе сценарий согласно таблице 4.
Таблице 4 — Параметры сценария
|
Наименование характеристики |
Значение |
|
Формируемые спутниковые навигационные сигналы |
ГЛОНАСС в частотном диапазоне L1, L2 и GPS в частотном диапазоне L1 и L2 |
|
Количество НКА GPS/ГЛОНАСС |
текущая группировка |
|
Продолжительность, ч |
2 |
|
Дискретность записи, с |
1 |
|
Параметры среды распространения навигационных сигналов |
тропосфера отсутствует ионосфера отсутствует |
|
Формируемые сигналы функциональных дополнений |
нет |
|
Модель движения |
по окружности с параметрами центра:
и радиусом 5000 м |
|
Скорость движения, м/с |
500 |
-
10.1.7 По окончанию сценария обработать полученные результаты измерений блока СНС-1 из бортовой части ИИС-32М с помощью ПО «JpsConvert».
-
10.1.8 В главном меню программы нажать кнопку «Исходный файл» и в появившемся диалоговом окне выбрать файл формата «*.iis».
-
10.1.9 Нажать кнопку «Таблица» в директории исходного файла для появления текстового файла с результатами измерений.
-
10.1.10 Выбрать измерения координат местоположения по каждой координатной оси на общем интервале времени.
-
10.1.11 Рассчитать абсолютную погрешность определения широты по формуле:
AS =В-В ,
(1)
/ i ref ’
где Bi — широта, измеренная блоком СНС-1, °; Sref—широта из сценария имитатора, °.
-
10.1.12 Рассчитать абсолютную погрешность определения долготы по формуле:


где Ц — долгота, измеренная блоком СНС-1, °;
Lref—долгота из сценария имитатора, °.
-
10.1.13 Перевести полученные значения абсолютной погрешности определения широты и долготы в метры по формулам (3) и (4) соответственно:



AL 'Л
180

гдеЛВ,, AL,— абсолютная погрешность определения широты и долготы на z эпоху, °;
а — большая полуось общеземного эллипсоида, м;
е — эксцентриситет общеземного эллипсоида.
-
10.1.14 Рассчитать математическое ожидание абсолютной погрешности определения широты по формуле (5) и долготы по формуле (6):




где У— количество измерений.
-
10.1.15 Рассчитать СКО абсолютной погрешности определения широты по формуле (7) и долготы по формуле (8):





10.1.16 Рассчитать погрешность (при доверительной вероятности 0,95) определения широты по формуле (9) и долготы по формуле (10):
(9)
(Ю)
(И)
где hi — высота, измеренная блоком СНС-1, м;
/zref— высота из сценария имитатора, м.
10.1.18 Рассчитать математическое ожидание абсолютной погрешности определения высоты по формуле (12):
1 N
Л/А= —«УАЙ.
(12)
/=1
10.1.19 Рассчитать СКО абсолютной погрешности определения высоты по формуле (13):
(13)
10.1.20 Рассчитать погрешность (при доверительной вероятности 0,95) определения высоты по формуле (14):
±(|Л/А| + 2-сгА).(14)
10.1.21 Результаты поверки считать положительными, если значение абсолютной погрешности (при доверительной вероятности 0,95) определения координат местоположения по каждой координатной оси в абсолютном режиме находится в пределах ±5 м.
-
10.2 Определение абсолютной погрешности (при доверительной вероятности 0,95) определения составляющих вектора скорости в абсолютном режиме реального времени
-
10.2.1 Выполнить операции пп. 10.1.1-10.1.9.
-
10.2.2 Из обработанных измерений п. 10.2.1 выбрать измерения составляющих вектора скорости на общем интервале времени.
-
10.2.3 Рассчитать абсолютную погрешность определения составляющей вектора скорости по каждой координатной оси по формуле:
-
(15)
где V— измеренная составляющая вектора скорости блока СНС-1 из бортовой части, м/с;
Vref— составляющая вектора скорости из сценария имитатора, м/с.
-
10.2.4 Рассчитать математическое ожидание абсолютной погрешности определения составляющей вектора скорости по каждой координатной оси по формуле:
(IQ /=1
гдеМ— количество измерений.
-
10.2.5 Рассчитать СКО абсолютной погрешности определения составляющей вектора скорости по каждой координатной оси по формуле:

-
10.2.6 Рассчитать погрешность (при доверительной вероятности 0,95) определения составляющей вектора скорости по каждой координатной оси по формуле:
Пу =±(|Л/г|+2-стг). (18)
-
10.2.7 Результаты поверки считать положительными, если значение абсолютной погрешности (при доверительной вероятности 0,95) определения составляющих вектора скорости в абсолютном режиме находится в пределах ±0,1 м/с.
-
10.3 Определение абсолютной погрешности (при доверительной вероятности 0,95) определения координат местоположения по каждой координатной оси в дифференциальном режиме реального времени с использованием корректирующей информации SBAS
-
10.3.1 Выполнить операции пп. 10.1.1-10.1.5.
-
10.3.2 Запустить на имитаторе навигационных сигналов сценарий согласно таблице 5, предварительно внеся в формирование навигационного сигнала дополнительные погрешности, компенсируемые корректирующей информацией SBAS.
-
Таблица 5 — Параметры сценария
|
Наименование характеристики |
Значение |
|
Формируемые спутниковые навигационные сигналы |
ГЛОНАСС в частотном диапазоне LI, L2 и GPS в частотном диапазоне L1 и L2 |
|
Количество НКА GPS/ГЛОНАСС |
текущая группировка |
|
Продолжительность, ч |
2 |
|
Дискретность записи, с |
1 |
|
Параметры среды распространения навигационных сигналов |
тропосфера отсутствует ионосфера присутствует |
|
Формируемые сигналы функциональных дополнений |
SBAS в частотном диапазоне L1 |
|
Модель движения |
по окружности с параметрами центра:
|
|
Скорость движения, м/с |
500 |
-
10.3.3 Выполнить операции пп. 10.1.7-10.1.20.
-
10.3.4 Результаты поверки считать положительными, если значение абсолютной погрешности (при доверительной вероятности 0,95) определения координат местоположения по каждой координатной в оси в дифференциальном режиме реального времени с использованием корректирующей информации SBAS находится в пределах ± 2 м.
-
10.4 Определение абсолютной погрешности (при доверительной вероятности 0,95) определения составляющих вектора скорости в дифференциальном режиме реального времени с использованием корректирующей информации SBAS
-
10.4.1 Выполнить операции пп. 10.3.1-10.3.2.
-
10.4.2 Обработать полученные измерения согласно пп. 10.1.7-10.1.9.
-
10.4.3 Выбрать из обработанных измерений составляющие вектора скорости на общем интервале времени.
-
10.4.4 Для каждой составляющей вектора скорости определить погрешность (при доверительной вероятности 0,95) в соответствии с пп. 10.2.3-10.2.6.
-
10.4.5 Результаты поверки считать положительными, если значение абсолютной погрешности (при доверительной вероятности 0,95) определения составляющих вектора скорости в дифференциальном режиме с использованием корректирующей информации SB AS находится в пределах ± 0,1 м/с.
-
-
10.5 Определение абсолютной погрешности (при доверительной вероятности 0,95) определения относительных координат местоположения по каждой координатной оси в дифференциальном фазовом режиме в постобработке
-
10.5.1 Провести измерения для определения параметров бортовой станции согласно пп. 10.1.1-10.1.5.
-
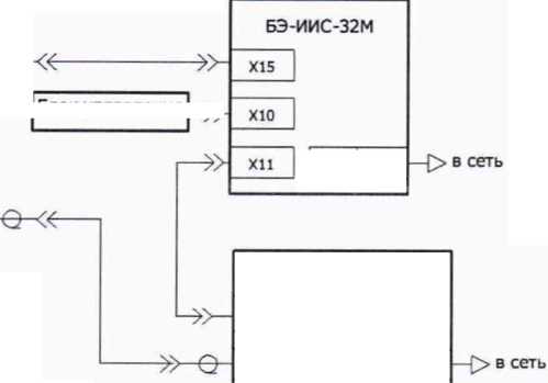
10.5.2 Для проведения измерений собрать схему, приведённую на рисунке 4.

-
Рисунок 4 — Схема подключения наземной части ИИС-32М для определения координат местоположения базовой станции
-
10.5.3 Выждать время прогрева составных частей схемы измерений 1 ч.
-
10.5.4 На имитаторе сигналов запустить сценарий с параметрами, приведёнными в таблице 6, сохранив параметры группировки такими же, как в п. 10.5.1.
Таблица 6 — Параметры сценария
|
Наименование характеристики |
Значение |
|
Формируемые спутниковые навигационные сигналы |
ГЛОНАСС в частотном диапазоне L1, L2 и GPS в частотном диапазоне L1 и L2 |
|
Количество НКА GPS/ГЛОНАСС |
текущая группировка |
|
Продолжительность, ч |
2 |
|
Дискретность записи, с |
1 |
|
Наименование характеристики |
Значение |
|
Параметры среды распространения навигационных сигналов |
тропосфера отсутствует ионосфера отсутствует |
|
Формируемые сигналы функциональных дополнений |
нет |
|
Модель движения |
объект в неподвижном положении с координатами местоположения:
|
-
10.5.5 Полученные в пп. 10.5.1 и 10.5.4 файлы измерений («*.iis» и «*.gps» соответственно) совместно обработать с помощью ПО «GrafNav» в дифференциальном фазовом режиме, получив координаты местоположения по каждой координатной оси.
-
10.5.6 Выполнить операции пп. 10.1.10-10.1.20.
-
10.5.7 Результаты поверки считать положительными, значение абсолютной погрешности (при доверительной вероятности 0,95) определения координат местоположения по каждой координатной оси в дифференциальном фазовом режиме находится в пределах ±0,1 м.
-
10.6 Определение абсолютной погрешности (при доверительной вероятности 0,95) определения составляющих вектора скорости в дифференциальном фазовом режиме в постобработке
-
10.6.1 Провести измерения для определения параметров бортовой станции согласно пп. 10.1.1-10.1.5.
-
10.6.2 Провести измерения для определения параметров базовой станции согласно пп. 10.5.2-10.5.4.
-
10.6.3 Полученные в пп. 10.6.1 и 10.6.2 файлы измерений («*.iis» и «*.gps» соответственно) совместно обработать с помощью ПО «GrafNav» в дифференциальном фазовом режиме, получив составляющие вектора скорости.
-
10.6.4 Выбрать измерения составляющих вектора скорости на общем интервале времени.
-
10.6.5 Для каждой составляющей вектора скорости определить погрешность (при доверительной вероятности 0,95) в соответствии с пп. 10.2.3-10.2.6.
-
10.6.6 Результаты поверки считать положительными, если значение абсолютной погрешности (при доверительной вероятности 0,95) определения составляющих вектора скорости в дифференциальном фазовом режиме находится в пределах ±0,1 м/с.
-
-
10.7 Определение абсолютной погрешности (при доверительной вероятности 0,95) определения относительных координат местоположения в дифференциальном кодовом режиме в постобработке
-
10.7.1 Провести измерения для определения параметров бортовой станции согласно пп. 10.1.1-10.1.5.
-
10.7.2 Провести измерения для определения параметров базовой станции согласно пп. 10.5.2-10.5.4.
-
10.7.3 Полученные в пп. 10.7.1 и 10.7.2 файлы измерений («*.iis» и «*.gps» соответственно) совместно обработать с помощью ПО «GrafNav» в дифференциальном кодовом режиме, получив координаты местоположения по каждой координатной оси.
-
10.7.4 Выполнить операции пп. 10.1.9-10.1.20.
-
10.7.5 Результаты поверки считать положительными, если значение абсолютной погрешности (при доверительной вероятности 0,95) определения координат местоположения в дифференциальном кодовом режиме по широте и долготе находится в пределах ±1 м, по высоте находится в пределах ±2.2 м.
-
-
10.8 Определение абсолютной погрешности (при доверительной вероятности 0,95) определения составляющих вектора скорости в дифференциальном кодовом режиме в постобработке
-
10.8.1 Провести измерения для определения параметров бортовой станции согласно пп. 10.1.1-10.1.5.
-
10.8.2 Провести измерения для определения параметров базовой станции согласно пп. 10.5.2-10.5.4.
-
10.8.3 Полученные в пп. 10.8.1 и 10.8.2 файлы измерений («*.iis» и «*.gps» соответственно) совместно обработать с помощью ПО «GrafNav» в дифференциальном кодовом режиме, получив составляющие вектора скорости.
-
10.8.4 Для каждой составляющей вектора скорости определить погрешность (при доверительной вероятности 0,95) в соответствии с пп. 10.2.2-10.2.6.
-
10.8.5 Результаты испытаний считать положительными, если значение абсолютной погрешности (при доверительной вероятности 0,95) определения составляющих вектора скорости в дифференциальном кодовом режиме находится в пределах ±0,1 м/с.
-
-
10.9 Определение абсолютной погрешности (при доверительной вероятности 0,95) определения координат местоположения по каждой координатной оси в режиме РРР в постобработке с использованием «быстрой» ЭВИ
-
10.9.1 Выполнить операции пп. 10.1.1-10.1.5.
-
10.9.2 Обработать полученные в п. 10.9.1 измерения с помощью ПО «GrafNav» в режиме РРР, используя эфемериды из сценария имитатора.
-
10.9.3 Выполнить операции пп. 10.1.10-10.1.20.
-
10.9.4 Собрать схему, приведенную на рисунке 5.
в сеть <
Мобильная ПЭВМ
ttnemet
•220 В
Блок управления
Антенна СНС
Блок СНС-1 (бортовой)
RF Out (3—
Q «
1
х2
-в XI хз I
27 В
-> в сеть
-»
- в сеть
-
Рисунок 5— Схема подключения ИИС-32М для определения координат местоположения в режиме РРР
-
10.9.5 Установить антенну СНС наземной части ИИС-32М на геодезическом пункте из состава рабочего эталона единиц координат местоположения 1 разряда.
-
10.9.6 Запустить составные части ИИС-32М для сбора навигационной информации.
-
10.9.7 Обработать полученные результаты измерений блока СНС-1 с помощью ПО «GrafNav», используя «быстрые» эфемериды, соответствующие времени проведения испытания, доступные в открытом доступе.
-
10.9.8 Выполнить операции пп. 10.1.10-10.1.20, используя вместо параметров объекта из сценария имитатора координаты геодезического пункта.
-
10.9.9 Результаты поверки считать положительными, если значение абсолютной погрешности (при доверительной вероятности 0,95) определения координат местоположения по каждой координатной оси в режиме РРР, полученные в пп. 10.9.3 и 10.9.8, находится в пределах ± 1 м.
10.10 Определение абсолютной погрешности (при доверительной вероятности 0,95) составляющих вектора скорости в режиме РРР в постобработке с использованием «быстрой» ЭВИ
-
10.10.1 Выполнить операции пп. 10.1.1-10.1.5.
-
10.10.2 Обработать полученные в п. 10.10.1 измерения с помощью ПО «GrafNav» в режиме РРР, используя эфемериды из сценария имитатора.
-
10.10.3 Выбрать измерения составляющих вектора скорости на общем интервале времени.
-
10.10.4 Для каждой составляющей вектора скорости определить погрешность (при доверительной вероятности 0,95) в соответствии с пп. 10.2.2-10.2.6.
-
10.10.5 Результаты поверки считать положительными, если значение абсолютной погрешности (при доверительной вероятности 0,95) определения составляющих вектора скорости в режиме РРР находится в пределах ± 0,1 м/с.
10.11 Определение абсолютной погрешности синхронизации внутренней шкалы времени ИИС-32М к национальной шкале координированного времени UTC(SU)
-
10.11.1 Для проведения измерений собрать схему, приведенную на рисунке 6.

Рисунок 6 — Схема подключения наземной части ИИС-32М для определения координат местоположения базовой станции
-
10.11.2 На вход «А» измерителя временных интервалов подать импульсный сигнал 1 Гц ИИС-32М, на вход «В» частотомера подать импульсный сигнал 1 Гц от имитатора навигационных сигналов.
-
10.11.3 Измеритель временных интервалов установить в режим измерений интервалов времени.
-
10.11.4 Включить составные части бортовой части ИИС-32М и имитатор согласно их РЭ и выждать время прогрева 1 ч.
-
10.11.5 Настроить приемник СНС-1 на выдачу шкалы координированного времени UTC(SU).
-
10.11.6 Настроить входы «А» и «В» частотомера в соответствии с параметрами импульсных сигналов 1 Гц.
-
10.11.7 Запустить на имитаторе навигационных сигналов сценарий из п. 10.1.5 и настроить выход «1PPS OUT» на вывод шкалы координатного времени UTC(SU).
-
10.11.8 Настроить измеритель временных интервалов на вычисление среднего значения интервала времени между шкалами времени ИИС-32М и имитатора навигационных сигналов на числе измерений — 1000.
-
10.11.9 Результаты поверки считать положительными, если значение абсолютной погрешности синхронизации внутренней шкалы времени ИИС-32М к национальной шкале координированного времени UTC(SU) находится в пределах ± 1 мкс.
11 Оформление результатов поверки
-
11.1 Результаты поверки ИИС-32М подтверждаются сведениями о результатах поверки средств измерений, включенными в федеральный информационный фонд по обеспечению единства измерений.
-
11.2 При положительных результатах поверки по заявлению владельца ИИС-32М или лица, представившего его на поверку, на средство измерений выдается свидетельство о поверке ИИС-32М.
-
11.3 Результаты поверки по требованию заказчика записываются на оборотной стороне свидетельства о поверке или оформляются отдельным приложением к свидетельству.
-
11.4 В случае отрицательных результатов поверки поверяемая ИИС-32М к дальнейшему применению не допускается, на неё выдается извещение о непригодности к дальнейшей эксплуатации с указанием причин забракования.
Заместитель начальника НИО-8 по научной работе ФГУП «ВНИИФТРИ»

В.Н. Федотов
Д.С. Печерица
С.Ю. Бурцев
А.С. Мальцев
Начальник 84 отдела
ФГУП «ВНИИФТРИ»
Начальник 841 лаборатории
ФГУП «ВНИИФТРИ»
Инженер 841 лаборатории
ФГУП «ВНИИФТРИ»
GNSS
GPS
PPP
SBAS
UTC(SU)
WGS
ГЛОНАСС
БЭ ГНСС ЗИП ИИС кнс
НАП
НИО НКА
ПО ПЭВМ
РЭ СИ
СК ско снс
Перечень сокращений
global navigation satellite system, глобальная навигационная спутниковая система
global positioning system (United states of America), глобальная навигационная система навигации (Соединенные штаты Америки) precise point positioning — позиционирование высокой точности satellite based augmentation system, спутниковые системы дифференциальной коррекции universal time coordinated (Soviet Union), национальная шкала координированного времени Российской Федерации world geodetic system, всемирная система геодезических параметров Земли глобальная навигационная спутниковая система (Российская Федерация) блок электронный глобальная навигационная спутниковая система запасные части, инструменты, принадлежности система измерительная информационная космическая навигационная система навигационная аппаратура потребителей научное исследовательское отделение навигационный космический аппарат программное обеспечение персональная электронно-вычислительная машина Руководство по эксплуатации средство измерения система координат среднее квадратическое отклонение спутниковая навигационная система
