Методика поверки «ГСИ. Дефектоскопы магнитные комбинированные» (МП 055.Д4-20)
СОГЛАСОВАНО
Дефектоскопы магнитные комбинированные
Методика поверки
МП 055.Д4-20
« / /»
Москва 2020 г.
Главный метролог «ВНИИОФИ»
С.Н. Него да
2020 г.
Главный научный сотрудник ФГУП НИИОФИ»
В.Н. Крутиков
2020 г.
-
5 Метрологические и технические требования к средствам поверки
-
6 Требования (условия) по обеспечению безопасности проведения поверки
-
-
7.4 Определение метрологических характеристик средства измерений
-
7.4.1 Определение диапазона и расчет абсолютной погрешности измерений координат
-
-
7.4.2 Определение диапазона и расчет относительной погрешности измерений толщины
стенки трубопровода магнитным методом
1 Общие положения-
1.1 Настоящая методика поверки распространяется на дефектоскопы магнитные комбинированные (далее - дефектоскопы), предназначенные для измерений толщины стенки трубы методом магнитной дефектоскопии и координаты выявленных дефектов вдоль оси трубы при проведении внутритрубного диагностирования магистральных нефтепроводов, нефтепродуктопроводов и газопроводов, и устанавливает методы и средства их первичной и периодических поверок. По итогам проведения поверки должна обеспечиваться прослеживаемость к ГЭТ 2-2010. Поверка выполняется методом прямых измерений.
-
1.2 Интервал между поверками - 1 год.
-
1.3 Метрологические характеристики дефектоскопов указаны в таблице 1.
Таблица 1 - Метрологические характеристики
|
Диапазон измерений координат дефекта (вдоль оси трубы), мм |
от 418 до 18000 |
|
Пределы допускаемой абсолютной погрешности измерений координат дефекта (вдоль оси трубы), мм |
± (34+0,0083-L) мм, где L - измеренная координата дефекта (вдоль оси трубы), мм |
|
Диапазон измерений толщины стенки трубопровода магнитным методом, мм |
от 11 до 29 |
|
Пределы допускаемой относительной погрешности измерений толщины стенки трубопровода магнитным методом, % |
±30 |
-
2.1 При проведении первичной и периодической поверок должны выполняться операции, указанные в таблице 2.
Таблица 2 - Операции первичной и периодической поверок
|
№ п/п |
Наименование операции |
Номер пункта методики поверки |
Проведение операции при | |
|
Первичной поверке |
Периодической поверке | |||
|
1 |
Внешний осмотр средства измерений |
7.1 |
Да |
Да |
|
2 |
Подготовка к поверке и опробование средства измерений |
7.2 |
Да |
Да |
|
3 |
Проверка программного обеспечения средства измерений |
7.3 |
Да |
Да |
|
4 |
Определение метрологических характеристик средства измерений |
7.4 |
Да |
Да |
|
5 |
Определение диапазона и расчет абсолютной погрешности измерений координат дефекта (вдоль оси трубы) |
7.4.1 |
Дд |
Да |
|
6 |
Определение диапазона и расчет относительной погрешности измерений толщины стенки трубопровода магнитным методом |
7.4.2 |
Да |
Да |
-
2.2 Поверку средств измерений осуществляют аккредитованные в установленном порядке в области обеспечения единства измерений юридические лица и индивидуальные предприниматели.
-
2.3 Поверка дефектоскопа прекращается в случае получения отрицательного результата при проведении хотя бы одной из операций, а дефектоскоп признают не прошедшим поверку.
-
3.1 При проведении поверки должны соблюдаться следующие климатические условия:
-
- температура окружающего воздуха, °C (20 ± 5);
-
- относительная влажность воздуха, %, не более 80;
-
- атмосферное давление, кПа (100 ± 4).
-
3.2 Поверку по пунктам 7.4.2.4 - 7.4.2.5 методики поверки допускается проводить при следующих климатических условиях:
-
- температура окружающего воздуха, °C от - 10 до + 50;
-
- атмосферное давление, кПа (100 ± 4).
-
4.1 При проведении поверки применяются средства, указанные в таблице 3.
Таблица 3 - Средства поверки
|
Номер пункта (раздела) методики поверки |
Наименование средства измерения или вспомогательного оборудования, номер документа, регламентирующего технические требования к средству, разряд по государственной поверочной схеме и (или) метрологические и основные технические характеристики |
|
7.4.1 |
Штангенциркуль ШЩД-1 (далее - штангенциркуль). Per. №52058-12. Диапазон измерений от 0 до 250 мм; Шаг дискретности цифрового отсчетного устройства 0,01 мм; Пределы допускаемой абсолютной погрешности измерений ± 0,04 мм. |
|
7.4.2 |
Комплект мер моделей дефектов КМ0001. Per. №68765-17. Меры моделей дефектов: ФВ 1220-8.2-44 - мера моделей дефектов - фланцевая вставка. Диапазон воспроизведения толщины стенки меры от 11,0 до 26,8 мм; Пределы допускаемой абсолютной погрешности воспроизведения толщины стенки меры ± 0,3 мм. |
|
7.4.2 |
Толщиномер ультразвуковой 45MG (далее - толщиномер). Per. № 54886-13. Диапазон измерений толщины для раздельно-совмещенных преобразователей от 0,5 до 300,0 мм; Пределы допускаемой абсолютной погрешности измерений толщины ± 0,1 мм. |
|
Вспомогательное оборудование | |
|
7.4.2 |
Полигон АО «Транснефть-Диаскан»: ФВ 1220-8.2-44- фланцевая вставка, секция Р0142-толщина стенки 17,3 мм; ФВ 1220-8.2-44-фланцевая вставка, секция Р0144- толщина стенки 11,0 мм; Секция С1220-632-толщина стенки 28,5 мм. |
-
4.2 Допускается применение аналогичных средств поверки, обеспечивающих определение метрологических характеристик поверяемых дефектоскопов с требуемой точностью.
-
4.3 Средства поверки должны быть аттестованы (поверены) в установленном порядке.
-
5.1 К проведению поверки допускаются лица:
-
- изучившие настоящую методику поверки и руководство по эксплуатации дефектоскопов;
прошедшие обучение на право проведения поверки по требуемому виду измерений.
6 Требования (условия) по обеспечению безопасности проведения поверки-
6.1 Работа с дефектоскопом и средствами поверки должна проводиться согласно требованиям безопасности, указанным в нормативно-технической и эксплуатационной документации на дефектоскоп и средства поверки.
-
7 Проведение поверки
-
7.1.1 Внешним осмотром дефектоскопа должно быть установлено:
-
- наличие маркировки, подтверждающей тип и заводской номер;
-
- соответствие дефектоскопа требованиям эксплуатационной документации;
-
- отсутствие на наружных поверхностях дефектоскопа повреждений, влияющих на его работоспособность, и загрязнений, препятствующих проведению поверки.
-
7.1.2 Дефектоскоп считается прошедшим операцию поверки с положительным результатом, если дефектоскоп соответствует требованиям, приведенным в пункте 7.1.1.
-
7.2.1 Если дефектоскоп и средства поверки до начала измерений находились в климатических условиях, отличающихся от указанных в пункте 6.1, то их выдерживают при этих условиях не менее часа, или времени, указанного в эксплуатационной документации.
-
7.2.2 Перед проведением поверки средства поверки и дефектоскоп подготовить к работе в соответствии с их руководствами по эксплуатации (далее - РЭ).
-
7.2.3 Включить дефектоскоп согласно РЭ.
-
7.2.4 Проверить возможность вывода на экран терминала дефектоскопа всех предусмотренных экранных форм представления информации, а также их соответствие указанным в РЭ дефектоскопа.
-
7.2.5 Дефектоскоп считается прошедшим операцию поверки с положительным результатом, если на экране дефектоскопа выводятся все предусмотренные экранные формы представления информации.
-
7.3.1 Подключить компьютер к дефектоскопу согласно РЭ.
-
7.3.2 Включить дефектоскоп согласно РЭ.
-
7.3.3 На компьютере загрузить программу «Терминал внутритрубного дефектоскопа универсальный» с помощью соответствующего ярлыка.
-
7.3.4 В появившемся окне программы прочитать идентификационные данные ПО.
-
7.3.5 На компьютере загрузить программу «UniScan» с помощью соответствующего ярлыка.
-
7.3.6 В меню «Помощь» выбрать «О программе».
-
7.3.7 В отрывшемся окне прочитать название и номер версии ПО.
-
7.3.8 Дефектоскоп считается прошедшим операцию поверки с положительным результатом, если идентификационные данные ПО соответствуют значениям, приведенным в таблице 4.
Таблица 4 - Идентификационные данные программного обеспечения
|
Идентификационные данные (признаки) |
Значение | |
|
Идентификационное наименование ПО |
Терминал внутритрубного дефектоскопа универсальный |
UniScan |
|
Номер версии (идентификационный номер) ПО |
22.0592.19 и выше |
6.6.8261.1 и выше |
|
Цифровой идентификатор ПО |
- | |
-
7.4 Определение метрологических характеристик средства измерений
-
7.4.1.1 Определение диапазона измерений координат дефекта (вдоль оси трубы) выполнить при помощи колеса одометра, входящего в состав дефектоскопа. Координата дефекта (вдоль оси трубы) эквивалентна пройденному пути колесом одометра. Диаметр колеса предварительно измерить штангенциркулем в десяти равноудаленных друг от друга точках окружности.
-
7.4.1.2 На подключенном к дефектоскопу компьютере запустить программу «Терминал внутритрубного дефектоскопа универсальный». Открыть вкладки «Нефтепровод», «Дефектоскоп», «Параметры пропуска» и проверить правильность значений внесенных диаметров колес одометров, при необходимости произвести корректировку, согласно измеренным значениям в пункте 7.4.1.1. Открыть вкладку «Тест» (рисунок 1).
В Тгрмнши «HyipwipyfeHtMO деречоокми ywsepanwuii. Н>Лп5реЙ>сйЛ1.5таГ

1Ъспак«м IWTTT**’* Пврвмггпш Dock»
я



Рисунок 1 - Показание значений пройденной дистанции
-
7.4.1.3 В открывшемся окне в области «Одометры» прочитать текущее показание пройденной дистанции.
-
7.4.1.4 В качестве нижней границы диапазона измерений координат дефекта (вдоль оси трубы) принимается значение длины окружности колеса одометра, которое соответствует одному полному обороту колеса одометра. Для этого соединить риску, нанесенную на колесе, с риской, нанесенной на держателе диаметра колеса одометра. Совершить один полный оборот до момента, когда риски снова сойдутся на одном уровне. Зафиксировать полученное значение 10крпк, мм.
-
7.4.1.5 Повторить измерения согласно пунктам 7.4.1.3 - 7.4.1.4 для количества оборотов (ик) 2, 3, 4, 5, 10, 20, и т.д. до количества оборотов, указанных в таблице 5.
Таблица 5 - Количество оборотов для контроля верхней границы диапазона измерений координат дефекта (вдоль оси трубы)
|
Обозначение дефектоскопов |
Типоразмеры дефектоскопов |
Количество оборотов (пк) для контроля верхней границы диапазона измерений координат дефекта (вдоль оси трубы) | |
|
мм |
дюйм | ||
|
48-МСК.02-00.000 |
1220,0 |
48 |
42 |
|
1219,2 |
48 API | ||
|
48-МСК. 10-00.000 |
1220,0 |
48 | |
|
1219,2 |
48 API | ||
-
7.4.1.6 Провести измерения по пунктам 7.4.1.2 - 7.4.1.5 еще 2 раза.
-
7.4.1.7 Повторить пункты 7.4.1.1 - 7.4.1.6 для всех колес одометров, входящих в комплект поставки дефектоскопа.
-
7.4.1.8 Обработку результатов и расчет абсолютной погрешности измерений координат дефекта (вдоль оси трубы) проводить в соответствии с пунктом 8.1.
-
7.4.2.1 Для определения диапазона и расчета относительной погрешности измерений толщины стенки трубопровода магнитным методом необходимо установить меру из комплекта мер моделей дефектов КМ0001 или стенд, или фланцевую вставку из состава полигона АО «Транснефть-Диаскан» на полигоне АО «Транснефть-Диаскан» в соответствии с приложением А.
-
7.4.2.2 При использовании стенда или фланцевой вставки из состава полигона АО «Транснефть-Диаскан» произвести измерение толщины стенки секций, указанных в приложении А с помощью толщиномера согласно его РЭ.
-
7.4.2.3 Измерения выполнить пять раз в пяти произвольных точках секции. При наличии защитного покрытия с помощью наждачной бумаги или других аналогичных средств, произвести зачистку точек перед проведением измерений толщины стенки трубы толщиномером.
-
7.4.2.4 Все работы по установке меры из комплекта мер моделей дефектов КМ0001 или стенда или фланцевой вставки на полигоне АО «Транснефть-Диаскан», запасовке, запуску, сопровождению, приему, извлечению и обслуживанию дефектоскопа производятся сотрудниками АО «Транснефть-Диаскан» согласно должностным инструкциям и руководящим документам по выполняемым видам работ.
-
7.4.2.5 Провести не менее трех измерений толщины стенки секции при помощи дефектоскопа в соответствии с его РЭ.
-
7.4.2.6 Обработку результатов измерений производить в программе «UniScan».
-
7.4.2.7 Запустить программу «UniScan».
-
7.4.2.8 В программе «UniScan» открыть данные, полученные при прогоне дефектоскопа по полигону. Для этого необходимо в пункте «Файл» главного меню выбрать пункт «Открыть основной прогон по коду».
* ■ • ч к
»Чг vj СгртгКЛ
и v V ! t»
RU.ie024?22.00«0 (547356.11
■ и а н к .» и
мииииииииииииивииииии
Псжж iw мпькру стхг». «чижфдап Е «MiXv 28 «г*ка »Ur v Сгр««г НД vuW-<ldprc*4 • *.
И * ■ 5fr- Т
Рисунок 2 - Открытие прогона


-
7.4.2.9 Для установки маркеров «сварных швов» необходимо включить режим редактирования «сварных швов» (Рисунок 3).
Рисунок 3 - Маркеры «сварных швов»
7.4.2.10 Расставить маркеры «сварных швов» или использовать ранее установленные, согласно рисунку 4.

Рисунок 4 - Расстановка маркеров «сварных швов»
7.4.2.11 Подключить xml-файл с входными параметрами расчета, согласно рисунку 5.
Рисунок 5 - Меню для подключения файла с входными параметрами расчета
-
7.4.2.12 Указать путь к xml-файлу, согласно рисунку 6.
Рисунок 6 - Путь к файлу с входными параметрами расчета
-
7.4.2.13 Расчет толщины стенки трубы выполняется утилитой «Расчет толщины стенки трубы». Вызов данной утилиты производится из пункта «Сервис» главного меню, пункт «Расчет стенки трубы» (рисунок 7).
♦♦
'Заемное небо'
/
Маркер сити роиизации
*
Параметры
о
Шкала дистанцию'арема
t2>
Снимок экрана
а
Снимок экрана - текст
Тип шкалы дистанции
+
Центровка данных
*
Пропорциональное увеличение выбранной области дани» *
Сброс масштабирования
Л
.г
Насчет с грубы
4
Г'“‘'“Р"‘'-*»Лхо₽и|Огкрвт»л1а.х<расиегаСте~ип»'«идл<1 1
раскладки труб
>/
Включить мовигзцию из Expert?
ведущий UniVan
Вывод пмскаэки
-
й с семе -ей чего просо* >
Конвертер данных ручных дефектоскопов ФАР
Рисунок 7 - Расчет толщины стенки меры
-
7.4.2.14 В открывшемся окне нажать кнопку «Рассчитать» (Рисунок 8).
Рисунок 8 - Окно для расчета толщины стенки меры
7.4.2.15 После расчета зайти в редактор шва двойным нажатием на маркер шва (Рисунок 9).
значений толщины стенки меры
7.4.2.16 При наведении курсора мыши на маркер шва появляется подсказка, в которой выводится значение средней толщины стенки.
Рисунок 10 - Средняя толщина трубной секции.
-
7.4.2.17 На основании данных, полученных в результате выполнения пунктов 7.4.2.1 -
7.4.2.16 записать в протокол (Приложение А) результаты измерений толщины Hh мм, стенки секции меры.
-
7.4.2.18 Повторить пункты 7.4.2.1 - 7.4.2.17 для всех секций меры, указанных в приложении А для данного дефектоскопа.
-
7.4.2.19 Обработку результатов и расчет абсолютной погрешности измерений толщины стенки трубопровода магнитным методом проводить в соответствии с пунктом 8.2.
-
8 Подтверждение соответствия средств измерений метрологическим требованиям
-
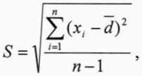
8.1.1 Вычислить и занести в протокол поверки (Приложение Б) среднее арифметическое значение диаметра колеса одометра d , мм, по десяти измерениям:

(1)
где X, - значение i-ro измерения, мм; п - количество измерений.
-
8.1.2 Рассчитать и занести в протокол поверки среднее квадратическое отклонение (далее - СКО) измерений диаметра колеса одометра S, мм, по формуле (2):


где xt - значение i-ro измерения, мм;
d - среднее арифметическое значение диаметра колеса одометра, мм; п - количество измерений.
-
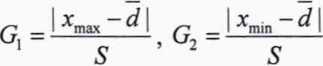
8.1.3 Проверить наличие грубых погрешностей и, при необходимости, исключить их. Для этого вычислить и занести в протокол поверки критерии Граббса Gi, G2:

(3)
где хтах- максимальное значение результата измерений диаметра колеса одометра, мм; хтт- минимальное значение результата измерений диаметра колеса одометра, мм.
Если G\>Gj, то хтах, мм, исключают, как маловероятное значение, если Gi>Gx, то xmin, мм, исключают, как маловероятное значение (здесь критическое значение критерия Граббса при десяти измерениях GT = 2,482).
Если количество оставшихся результатов измерений диаметра колеса одометра стало меньше десяти, повторить пункты 7.4.1.1 - 7.4.1.4, чтобы количество измерений без грубых погрешностей оставалось равным десяти.
-
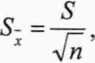
8.1.4 Вычислить и занести в протокол поверки СКО среднего арифметического диаметра колеса одометра S-, мм, по формуле (4):

(4)
где 5 - СКО результата десяти измерений диаметра колеса одометра, мм; п - количество измерений диаметра колеса одометра.
-
8.1.5 Вычислить и занести в протокол поверки доверительные границы е, мм, случайной погрешности оценки диаметра колеса одометра при Р=0,95:
£ = t-S-,
(5)
X
где t - 2,262 - значение коэффициента Стьюдента для доверительной вероятности Р = 0,95 и числа результатов измерений, равным десяти;
5- - СКО среднего арифметического диаметра колеса одометра, мм.
-
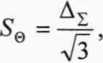
8.1.6 Рассчитать и занести в протокол поверки значение СКО неисключенной систематической погрешности (НСП) S©, мм, серии измерений диаметра колеса одометра по формуле (6):

(6)
где 1 - абсолютная погрешность штангенциркуля, мм, указанная в свидетельстве о поверке.
-
8.1.7 Рассчитать и занести в протокол поверки суммарное среднее квадратическое отклонение оценки диаметра колеса одометра , мм, по формуле (7):

где Sq- среднее квадратическое отклонение НСП серии измерений диаметра колеса одометра, мм;
5- - СКО среднего арифметического диаметра колеса одометра, мм.
-
8.1.8 Рассчитать и занести в протокол поверки значение абсолютной погрешности Д, мм, серии измерений диаметра колеса одометра по формуле (8):
(8)
где К - коэффициент, зависящий от соотношения случайной составляющей погрешности и НСП, который рассчитывается по формуле:
(9)
где е - доверительные границы случайной погрешности оценки диаметра колеса одометра, мм;
Д2 - абсолютная погрешность штангенциркуля, мм, указанная в свидетельстве о поверке;
5- - СКО среднего арифметического диаметра колеса одометра, мм;
SQ- среднее квадратическое отклонение НСП серии измерений диаметра колеса
одометра, мм.
-
8.1.9 Рассчитать и занести в протокол поверки длину окружности 1окр, мм, по формуле (Ю):
l„P=n-d, (Ю)
где d - среднее арифметическое значение результата измерений диаметра колеса одометра, мм.
-
8.1.10 Рассчитать и занести в протокол поверки отклонение от номинального значения Д/лк, мм, для каждого измерения по формуле (11):
ПК ^окр ^окрпк
(11)
-
8.1.11 Рассчитать и занести в протокол поверки абсолютную погрешность измерений координат дефекта (вдоль оси трубы) Ыпк. мм. для каждого измерения по формуле (12):
ДАт.=М+Д: (12)
-
8.1.12 Выбрать максимальное из трех значение абсолютной погрешности измерений координат дефекта (вдоль оси трубы).
-
8.1.13 Дефектоскоп считается прошедшим операцию поверки по п. 7.4.1 с положительным результатом, если результаты измерений соответствуют таблице 6.
Таблица 6 - Метрологические характеристики
|
Обозначение дефектоскопов |
Типоразмеры |
Диапазон измерений координат дефекта (вдоль оси трубы), мм |
Пределы допускаемой абсолютной погрешности измерений координат дефекта (вдоль оси трубы), мм | |
|
мм |
дюйм | |||
|
48-МСК.02-00. 000 |
1220.0 |
48 |
от 418 до 18000 |
± (34+0.0083-L) мм, где L - измеренная координата дефекта (вдоль оси трубы), мм |
|
1219.2 |
48 API | |||
|
48-МСК. 10-00.000 |
1220,0 |
48 | ||
|
1219,2 |
48 API | |||
-
8.2.1 Вычислить и занести в протокол поверки среднее арифметическое значение толщины стенки стенда или фланцевой вставки во всех измеренных толщиномером точках:
Миом
<=|
п
(13)
где х, - значение i-ro измерения, мм;
п - количество измерений.
-
8.2.2 Рассчитать и занести в протокол поверки среднее арифметическое значение результатов измерений толщины стенки трубопровода магнитным методом Нм. мм. по формуле (1).
-
8.2.3 Рассчитать и занести в протокол поверки относительную погрешность измерений толщины стенки трубопровода магнитным методом д', %. по формуле (14):
(14)
^И-100’ Н Мном.
где Нм - среднее арифметическое значение измеренной толщины стенда или фланцевой вставки, мм;
Нмноы. - номинальное (действительное) значение толщины стенки секции меры, взятое из свидетельства о поверке, или среднее значение толщины стенки стенда или фланцевой вставки измеренное толщиномером, мм.
-
8.2.4 Дефектоскоп считается прошедшим операцию поверки по п. 7.4.2 с положительным результатом, если результаты измерений соответствуют таблице 7:
Таблица 7 - Метрологические характеристики
|
Обозначение дефектоскопов |
Типоразмеры |
Диапазон измерений толщины стенки трубопровода магнитным методом, мм |
Пределы допускаемой относительной погрешности измерений толщины стенки трубопровода магнитным методом, % | |
|
мм |
дюйм | |||
|
48-МСК.02-00.000 |
1220,0 |
48 |
от 11 до 29 |
±30 |
|
1219,2 |
48 API | |||
|
48-МСК. 10-00.000 |
1220,0 |
48 | ||
|
1219,2 |
48 API | |||
-
8.3 Дефектоскоп считается прошедшим поверку с положительным результатом и допускается к применению, если все операции поверки пройдены с положительным результатом. В ином случае дефектоскоп считается прошедшим поверку с отрицательным результатом и не допускается к применению.
-
9.1 Результаты поверки оформляются протоколом (Приложение Б). Протокол может храниться на электронных носителях.
-
9.2 При положительных результатах поверки по запросу заказчика может быть оформлено свидетельство о поверке в установленной форме.
-
9.3 При отрицательных результатах поверки по запросу заказчика может быть оформлено извещение о непригодности в установленной форме с указанием причин непригодности.
-
9.4 Сведения о результатах поверки передаются в Федеральный информационный фонд по обеспечению единства измерений.
Исполнители:
Начальник отдела Д-4
ФГУП «ВНИИОФИ»
Инженер-конструктор 1
ФГУП «ВНИИОФИ»

Инженер отдела Д-4
ФГУП «ВНИИОФИ»

И.А. Смирнова
(Обязательное)
Обозначение используемых для поверки дефектоскопов стендов и фланцевых вставок
Таблица А. 1 - Обозначение используемых стендов и фланцевых вставок
|
дефектоскопы |
комплект мер КМ0001, стенды, фланцевые вставки | ||||||||||||
|
Наименование |
типоразмер |
толщ ина стенк и, мм |
Пределы доп. отн. noip-ти,% |
наименование |
толщина мм |
наименование |
толщина мм |
наименование |
толщина, мм | ||||
|
мм |
дюйм |
вставки |
секции |
вставки |
секции |
вставки |
секции | ||||||
|
начало диапазона |
середина диапазона |
конец диапазона | |||||||||||
|
48-МСК.02- 00.000 |
1220,0 |
48 |
от 11 до 29 |
±30 |
ФВ1220- 8.2-44 |
Р0144 |
и |
ФВ1220- 8.2-44 |
Р0142 |
17,3 ±0,3 |
- |
С1220- 632 |
28,5 |
|
1219,2 |
48 API | ||||||||||||
|
48-МСК.10- 00.000 |
1220,0 |
48 |
от 11 до 29 |
±30 |
ФВ1220- 8.2-44 |
Р0144 |
11 |
ФВ1220- 8.2-44 |
Р0142 |
17,3 ±0,3 |
- |
С1220- 632 |
28,5 |
|
1219,2 |
48 API | ||||||||||||
(Рекомендуемое) Форма протокола поверки
ПРОТОКОЛ первичной/периодической поверки № от «___»__________20__годаСредство измерений:
Серия и номер клейма предыдущей поверки:.
Заводской номер:.
Принадлежащее:.
Поверено в соответствии с методикой поверки:.
При следующих значениях влияющих факторов: Температура окружающей среды ;
Атмосферное давление ;
Относительная влажность ;
С применением эталонов:.
Результаты поверки:
-
1 Внешний осмотр.
-
2 Опробование.
-
3 Результаты определения метрологических характеристик:
Метрологические характеристики
Номинальная величина / погрешность
Измеренное значение
Заключением__
Средство измерений признать пригодным (или непригодным) для применения
Поверитель:
//
Подпись
ФИО
