Методика поверки «ГСИ. Резевуары стальные вертикальные цилиндрические теплоизолированные с понтоном РВСП-20000» (МП 008-2020)
Общество с ограниченной ответственностью «МетроКонТ»

Директор
ООСУ <ДЛ етроКонТ » .10. Трифонов «09»/сентября 2020 г.
1 й > tl I 1
ИНСТРУКЦИЯ
ГОСУДАРСТВЕННАЯ СИСТЕМА ОБЕСПЕЧЕНИЯ ЕДИНСТВА ИЗМЕРЕНИЙ
Резервуары стальные вертикальные цилиндрические теплоизолированные с понтоном РВСП-20000
МЕТОДИКА ПОВЕРКИ
МП 0008-2020
Казань 2020 г.
Содержание
Стр.
-
11 Обработка результатов измерений и составление градуировочной таблицы
ИНСТРУКЦИЯ
Государственная система обеспечения единства измерений
Резервуары стальные вертикальные
цилиндрические теплоизолированные с понтоном РВСП-20000. Методика поверки МП 0008-2020
-
1 ОБЛАСТЬ ПРИМЕНЕНИЯ
Настоящая инструкция распространяется на резервуары стальные вертикальные цилиндрические теплоизолированные с понтоном (далее - резервуары) номинальной вместимостью 20000 м3 (РВСП-20000 №№ 1, 2, 3, 4) расположенные по адресу: Красноярский край, Эвенкийский район, п. Куюмба, НПС №2, филиал «Иркутское РНУ» ООО «Транснефть-Восток» и предназначенные для измерения объема нефти и нефтепродуктов, а также для их приема, хранения и отпуска и устанавливает методику геометрическим методом их первичной, периодической поверки.
-
2 НОРМАТИВНЫЕ ССЫЛКИ
В настоящей инструкции использованы ссылки на следующие стандарты:
ГОСТ 12.0.004-2015 |
Система стандартов безопасности труда. Организация обучения безопасности труда. Общие положения |
ГОСТ 12.1.005-88 |
Система стандартов безопасности труда. Общие санитарно-гигиенические требования к воздуху рабочей зоны |
ГОСТ 12.4.087-84 |
Система стандартов безопасности труда. Строительство. Каски строительные. Технические условия |
ГОСТ 12.4.137-2001 |
Обувь специальная с верхом из кожи для защиты от нефти, нефтепродуктов, кислот, щелочей, нетоксичной и взрывоопасной пыли. Технические условия |
ГОСТ 7502-98 |
Рулетки измерительные металлические. Технические условия |
ГОСТ 12.4.310-2016 |
Система стандартов безопасности труда. Одежда специальная для защиты работающих от воздействия нефти, нефтепродуктов. Технические требования |
-
3 ТЕРМИНЫ И ОПРЕДЕЛЕНИЯ
В настоящей инструкции применяют следующие термины с соответствующими определениями:
-
3.1 резервуар стальной вертикальный цилиндрический теплоизолированный с понтоном: вертикально расположенный стальной сосуд, наружная поверхность которого покрыта слоем теплоизоляции, со стационарной крышей и понтоном с индивидуальной градуировочной таблицей.
-
3.2 градуировочная таблица: Зависимость вместимости от уровня наполнения резервуара при нормированном значении температуры, равной 20 'С.
Таблицу прилагают к свидетельству о поверке резервуара и применяют для определения объема нефти и нефтепродукта в нем.
-
3.3 градуировка: Операция поверки по установлению зависимости вместимости резервуара от уровня его наполнения, с целью составления градуировочной таблицы.
-
3.4 вместительность резервуара: Внутренний объем резервуара с учетом объема внутренних деталей, который может быть наполнен нефтью и нефтепродуктом до определенного уровня.
-
3.5 номинальная вместимость резервуара: Вместимость резервуара, соответствующая предельному уровню наполнения его, установленная нормативным документом для конкретного типа резервуара.
-
3.6 действительная (фактическая) полная вместимость резервуара: Вместимость резервуара, соответствующая предельному уровню его наполнения, установленная при его поверке.
-
3.7 посантиметровая вместимость резервуара: Вместимость резервуара, соответствующая уровню налитых в него доз жидкости, приходящихся на 1 см высоты наполнения.
-
3.8 коэффициент вместимости: Вместимость, приходящаяся на 1 мм высоты наполнения.
-
3.9 точка касания днища грузом рулетки: Точка на днище резервуара, которой касается груз измерительной рулетки при измерении базовой высоты резервуара и уровня нефти и нефтепродукта в резервуаре.
-
3.10 базовая высота резервуара: Расстояние по вертикале от точки касания днища грузом рулетки до верхнего края измерительного люка или до риски направляющей планки измерительного люка (при наличии)
-
3.11 предельный уровень: Предельный уровень определения посантиметровой вместимости резервуара при его поверке, соответствующий суммарной высоте нижней части резервуара и стенки резервуара
-
3.12 геометрический метод поверки: Метод поверки, заключающийся в определении вместимости резервуара по результатам измерений его геометрических параметров.
-
4 МЕТОД ПОВЕРКИ
Поверку резервуара проводят геометрическим методом.
-
4.1 При поверке резервуара вместимость первого пояса резервуара определяют по результатам измерений диаметра резервуара с применением метода хорд.
-
4.2 Вместимость вышестоящих поясов определяют по результатам измерений внутренних радиусов и высот поясов.
-
4.3 Поверку резервуара проводят юридические лица и индивидуальные предприниматели (далее - организация) аккредитованные в соответствующем порядке на право проведения поверки.
-
4.4 Устанавливают следующие виды поверок резервуара:
-
- первичную - после завершения строительства резервуара или капитального ремонта и его гидравлических испытаний - перед вводом его в эксплуатацию;
-
- периодическую - по истечении срока интервала между поверками;
-
- внеочередную поверку - проводят при изменении значений базовой высоты резервуара более чем на 0,1 % по результатам ежегодных её измерений.
-
4.5 Интервал между поверками 5 лет.
-
5 ОПЕРАЦИИ ПОВЕРКИ
-
5.1 При проведении поверки резервуара должны быть выполнены операции,
-
указанные в таблице 1
Таблица 1
№ п/п |
Наименование операции |
Номер пункта Инструкции |
1 |
Внешний осмотр |
10.1 |
2 |
Измерение базовой высоты |
10.2 |
3 |
Определение внутреннего диаметра резервуара методом хорд |
10.3 |
4 |
Определение внутренних диаметров поясов резервуара |
10.4 |
5 |
Измерения высот поясов резервуара |
10.5 |
6 |
Определение параметров «мертвой» полости резервуара |
10.6 |
7 |
Определение объемов внутренних деталей |
10.7 |
8 |
Определение параметров плавающего покрытия |
10.8 |
-
6 СРЕДСТВА ПОВЕРКИ
-
6.1.1 При поверке резервуара применяют следующие основные и вспомогательные средства поверки:
-
6.1.1.1 Рулетку измерительную 2-го класса точности с диапазоном измерений от О до 50 м по ГОСТ 7502-98.
-
6.1.1.2 Рулетку измерительную 2-го класса точности с грузом диапазоном измерений от 0 до 30 м по ГОСТ 7502-98.
-
6.1.1.3 Тахеометр электронный Nikon NPR-332 по [1].
-
6.1.2 Вспомогательные средства поверки:
-
- Анализатор-течеискатель типа АНТ-ЗМ по [2].
-
- Мел, шпатель, щетки (металлические), микрокалькулятор, веха телескопическая с призменным отражателем.
-
6.1.3 Рабочие эталоны должны быть аттестованы в установленном порядке, средства измерений поверены в установленном порядке.
-
6.1.4 Допускается применение других, вновь разработанных или находящихся в эксплуатации эталонов и средств измерений, удовлетворяющих по точности и пределам измерений требованиям настоящей инструкции.
-
6.2.1 Пределы допускаемой погрешности измерений параметров резервуара приведены в таблице 2.
Таблица 2
Наименование измеряемого параметра |
Пределы допустимой погрешности измерений параметров резервуара |
Диаметр резервуара, мм |
±2 |
Высота пояса, мм |
± 3 |
Измерение расстояний, мм |
+ 2 |
Температура стенки резервуара, "С |
± 3 |
Объем внутренних деталей, м3 |
± (0,025-0,25) |
-
6.2.2 При соблюдении указанных в таблице 2 пределов допускаемой погрешности измерений, относительная погрешность определения вместимости резервуара не превышает: ±0,10 %.
-
7 ТРЕБОВАНИЯ БЕЗОПАСНОСТИ
-
7.1 Измерения параметров при поверке резервуара проводит группа лиц (не менее двух человек), включая не менее одного специалиста, прошедшего курсы повышения квалификации, и других лиц (при необходимости).
-
7.2 К поверке резервуара допускают лиц, изучивших настоящую инструкцию, техническую документацию на резервуар и его конструкцию и прошедших инструктаж по безопасности труда в соответствии с ГОСТ 12.0.004-2015.
-
7.3 Лица, проводящие работы, используют спецодежду по ГОСТ 12.4.310-2016, спецобувь по ГОСТ 12.4.137-2001, строительную каску по ГОСТ 12.4.087-84.
-
7.4 Предельно допустимая концентрация (ПДК) вредных паров и газов в воздухе, измеренная газоанализатором вблизи и внутри резервуара на высоте 2000 мм, не должна превышать 300 мг/м3 - по ГОСТ 12.1.005-88.
-
7.5 Измерения параметров резервуара во время грозы категорически запрещены.
-
7.6 Перед началом поверки резервуара проверяют исправность:
-
-
- лестниц с поручнями и подножками;
-
- помостов с ограждениями.
-
7.7 В процессе измерений параметров резервуара обеспечивают двух или трехкратный обмен воздуха внутри резервуара. При этом анализ воздуха на содержание вредных паров и газов проводят через каждый час.
-
7.8 Продолжительность работы внутри резервуара не более 4-х часов, после каждой четырехчасовой работы - перерыв на один час.
-
8 УСЛОВИЯ ПОВЕРКИ
-
8.1 При поверке соблюдают следующие условия:
-
8.1.1 Измерения параметров резервуара проводят изнутри его.
-
8.1.2 Для проведения измерений параметров резервуара его освобождают от остатков нефти и нефтепродукта, зачищают, пропаривают (при необходимости), промывают и вентилируют.
-
8.1.3 Температура окружающего воздуха и воздуха внутри резервуара от плюс 5°С до плюс 35°С.
-
8.1.4 При проведении периодической поверки допускается использовать результаты измерений вместимости «мертвой» полости, полученные ранее, и вносить их в таблицу Б.7 приложения Б, если изменение базовой высоты резервуара по сравнению с результатами её измерений в предыдущей поверке составляет не более 0,1 %.
-
-
-
9 ПОДГОТОВКА К ПОВЕРКЕ
-
9.1 При подготовке к поверке проводят следующие работы:
-
9.1.1 Изучают техническую документацию на резервуар, рабочие эталоны и вспомогательные средства поверки.
-
9.1.2 Подготавливают их согласно технической документации на них, утвержденной в установленном порядке.
-
9.1.3 Штатив тахеометра приводят в рабочее положение, устанавливают на него тахеометр, проводят необходимые операции к подготовки к работе, в соответствии с руководством по эксплуатации. Для удобства выполнения измерений рекомендуемая высота установки: 1650 - 1750 мм от днища резервуара до визирной линии тахеометра.
-
9.1.4 Проводят высотную привязку установки тахеометра, для этого:
-
-
а) опускают измерительную рулетку с грузом через измерительный люк до точки касания днища грузом рулетки и фиксируют её мелом;
б) устанавливают тахеометр в области центра резервуара, при этом место установки выбирают с учетом стабильного позиционирования прибора (отсутствие хлопуна);
в) тахеометр горизонтируют, с помощью триггеров в соответствии с его технической документацией. Выбирают режим измерений тахеометра HD-h-HZ. Величину горизонтального угла устанавливают Hz - 0°00 00 ;
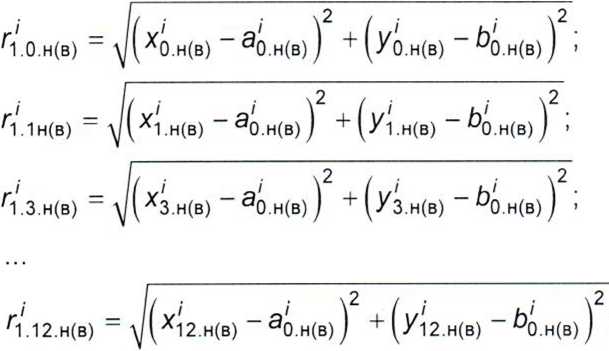
г) направляют визир оптической трубы тахеометра (далее - визир тахеометра) по нормали к цилиндрической стенке резервуара в место пересечения днища и стенки (точка А рисунок А.З, Приложение А);
д) измеряют расстояние hA и вводят с обратным знаком в меню настроек тахеометра как высоту установки инструмента (рисунок А.З, Приложение А);
е) повторно снимая показания hA, проверяем правильность ввода данных. На меню дисплея отображения данных должны быть координаты: Hz = 0°00 00 ; h = 0.
-
9.1.5 В программном обеспечении тахеометра формируют файл записи данных измерений.
-
10 ПРОВЕДЕНИЕ ПОВЕРКИ РЕЗЕРВУАРА
-
- состояние конструкции и внутренних деталей резервуара технической документации на него (паспорту, технологической карте на резервуар);
-
- наличие необходимой арматуры и оборудования;
-
- исправность лестниц и перил;
-
- состояние днища резервуара (отсутствие бугров, ям);
-
- чистоту внутренней поверхности резервуара;
-
- отсутствие деформации стенок резервуара, препятствующих проведению измерений параметров резервуара.
-
10.1.2 По результатам внешнего осмотра устанавливают возможность применения геометрического метода поверки резервуара.
-
10.2 Измерения базовой высоты резервуара
-
10.2.1 Базовую высоту резервуара Л/б измеряют измерительной рулеткой с грузом не менее двух раз. Расхождение между результатами двух измерений не должно превышать 2 мм (рисунок А.2, Приложение А).
-
В точке касания днища грузом рулетки проводят мелом отметку на днище резервуара.
-
10.2.2 Результаты измерений базовой высоты Нб с указанием места отсчета вносят в протокол, форма которого приведена в приложении Б (таблица Б.З).
-
10.2.3 Базовую высоту измеряют ежегодно, условия выполнения измерений должны соответствовать требованиям п. 8.1.3 данной методики. Ежегодные измерения базовой высоты резервуара проводит комиссия, назначенная приказом руководителя предприятия - владельца резервуара, в состав которой должен быть включен специалист, прошедший курсы повышения квалификации по поверке и калибровке резервуаров.
При ежегодных измерениях базовой высоты резервуара резервуар может быть наполнен до произвольного уровня.
Результат измерений базовой высоты резервуара не должен отличаться от ее значения, указанного в протоколе поверки резервуара, более чем на 0,1 %.
Если это условие не выполняется, то проводят повторное измерение базовой высоты при уровне наполнения резервуара, отличающимся от его уровня наполнения, указанного в протоколе поверки резервуара, не более чем на 500 мм.
Результаты измерений базовой высоты оформляют актом, форма которого приведена в приложении В.
При изменении базовой высоты по сравнению с ее значением, установленным при поверке резервуара, более чем на 0,1 % устанавливают причину и устраняют ее. При отсутствии возможности устранения причины проводят внеочередную поверку резервуара.
-
10.3 Определение внутреннего диаметра резервуара методом хорд
-
10.3.1 Метод хорд заключается в последовательном измерении хорды и высоты сегмента по всей внутренней окружности стенки резервуара. Перед проведением измерений с помощью измерительной рулетки на высоте 1 м от днища через каждые 1000 мм наносят чертилкой горизонтальные отметки длиной 10-20 мм по стенке резервуара.
-
10.3.2 Отметки, нанесенные по стенке резервуара, соединяют между собой, применяя гибкую стальную рулетку. При этом горизонтальную линию проводят толщиной не более 5 мм. Горизонтальность проводимой линии устанавливают тахеометром.
-
10.3.3 На проведенной горизонтальной линии чертилкой наносят отметку 1 (рисунок А. 1, приложение А), которая является началом отсчета.
-
10.3.4 Ленту рулетки натягивают вдоль линии на стенке, при этом нулевой штрих ленты совмещают с отметкой 1, а у последующего штриха ленты наносят отметку 2. Отметки наносятся с точностью до 1 мм.
-
10.3.5 В середине полученной хорды а линейкой измеряют расстояние от линии на стенке резервуара до ленты Ь1 (высота сегмента). Показание линейки отсчитывают с точностью до 1 мм.
-
10.3.6 Затем ленту рулетки переносят так, чтобы нулевой штрих ленты совпал с отметкой 2, у последующего штриха наносят отметку 3 и измеряют высоту сегмента .
-
10.3.7 Выполняя последовательно процедуры, изложенные в 10.3.4, 10.3.5, 10.3.6, проводят измерения вдоль горизонтальной линии.
-
10.3.8 Длину последней (остаточной) хорды а„ измеряют рулеткой. Высоту остаточной хорды Ьп измеряют линейкой. Показания рулетки и линейки отсчитывают с точностью до 1 мм.
-
10.3.9 Длину окружности резервуара измеряют не менее двух раз. При этом начало отсчета повторного измерения смещают от начала предыдущего на расстояние 0,5 м.
-
10.3.10 Длину окружности каждого измерения , мм, вычисляют по формуле
-
(1)
где lj - длина у - й дуги, мм;
п - число дуг.
Длину у'-йдуги lj, мм, вычисляют по формуле где а - хорда; bj - высота у-го сегмента, мм;


(2)
у - номер сегмента.
Длина дуги I/, мм, может быть определена по формуле
где а - длина хорды, мм;
Л/, - разница между длиной дуги и хорды в зависимости от высоты сегмента.
-
10.3.11 Относительное расхождение между результатами двух измерений длины окружности SLH, %, рассчитываемое по формуле
^1 + 1~н2
должно находиться в пределах ± 0,01 %.
-
10.3.12 При расхождении, превышающем указанным в 10.3.11 измерения следует повторять до получения двух последовательных измерений, удовлетворяющих условию 10.3.11.
-
10.3.13 Результаты двух измерений величины LH, удовлетворяющих условию 10.3.13, вносят в протокол.
-
10.4 Определение внутренних диаметров поясов резервуара
-
10.4.1 Определение внутренних диаметров поясов проводят с применением тахеометра по 6.1.1.3 Внутренне диаметры поясов резервуара D- определяют по результатам измерений радиусов на 12 образующих в каждом поясе резервуара. Для резервуаров с понтоном определяют внутренние диаметры начиная со второго пояса (рисунок А.5, Приложение А)
-
Тахеометр устанавливают в режим измерений «HD-/?-/-/z».
Измерение резервуара проводят в нижнем и верхнем сечениях.
Нижнее и верхнее сечения находятся в плоскости отходящих от сварного шва на величину равную 1/5 высоты пояса (рисунок А.4, Приложение А).
-
10.4.2 Измерение радиусов поясов резервуара проводят в следующей последовательности (рисунок А.5, Приложение А).
-
10.4.2.2 Направляют сетку нитей визира тахеометра на стенку резервуара в нижнем сечении 2-го пояса и измеряют: наклонное расстояние /дн , мм; вертикальный угол Vg2H - Угл- сек-
-
10.4.2.3 Направляют сетку нитей визира тахеометра на стенку резервуара в верхнем сечении 2-го пояса и измеряют: наклонное расстояние /qb , мм; вертикальный угол Vq2b , угл. сек.
-
10.4.2.4 Проводят аналогичные операции по 10.4.2.2, 10.4.2.3 и измеряют : наклонные расстояние /qb , мм; вертикальнь^ углы Vq , угл. сек.
-
Примечание - В обозначениях /qb и Vqb верхний индекс указывает номер текущего пояса, в нижнем индексе - цифра соответствует номеру образующей
(0, , буква «н» и «в» соответствует плоскости (сечению) измерений (нижнее и
верхнее соответственно).
-
10.4.2.5 Поворачивают алидаду тахеометра в горизонтальной плоскости против часовой стрелке на угол 30° (рисунок А.6, Приложение А). Фиксируют значение
1
горизонтального угла <р1н , угл. сек. первой образующей.
-
10.4.2.6 Проведя аналогичные операции по 10.4.2.1 - 10.4.2.4 измеряют , мм;
вертикальные углы .
-
10.4.2.7 Поворачивают алидаду тахеометра на угол 60°. Фиксируют значение
j
горизонтального угла ф2н - Угл- сек- вт°Р°й образующей и проводят операции по 10.4.2.1 - 10.4.2.6.
-
10.4.2.8 Проводят аналогичные операции на остальных образующих.
-
10.4.2.9 Результаты измерений вносят в протокол, форма которого приведена в приложении Б (таблицы Б.4, Б.4.1).
Высоту i-ro пояса резервуара h, измеряют на нулевой и противоположной N/2 образующей резервуара (рисунок А.7, Приложение А), при помощи тахеометра, в следующей последовательности.
-
10.5.1 Устанавливают на тахеометра режим измерений «HD-h-Hz».
-
10.5.2 Высоту первого пояса измеряют с применением рулетки измерительной с
грузом, как расстояние по вертикали вдоль стенки резервуара от точки касания днища грузом рулетки до середины сварного шва первого и второго пояса.
Измерение проводят не менее двух раз. Расхождение между результатами измерений должно быть не менее 2 мм. Вычисляют среднее арифметическое значение и округляют его до целого миллиметра по правилам округления
-
10.5.3 Направляют сетку нитей визира тахеометра на середину сварного шва соединения верхней границы 1-го пояса и нижней границы 2-го пояса. Измеряют расстояние высоту превышения, как расстояние по вертикали th^, мм.
-
10.5.4 Проводя аналогичные процедуры по 10.5.3 измеряют расстояния th2-..thk , мм, вышестоящих поясов.
-
10.5.5 Результаты измерений вносят в протокол, форма которого приведена в приложении Б (таблица Б.5).
При определении параметров «мертвой» полости резервуара проводят измерения:
-
1) объема неровностей днища;
-
2) высоты «мертвой» полости;
-
3) координаты точки касания днища грузом рулетки.
-
10.6.1 Измерение объема неровностей днища
Определение объема неровностей днища (Д\/дн) проводят с применением тахеометра, вехи с призменным отражателем или нивелирной рейки и измерительной рулетки путем измерения высот превышения рейки в точках пересечения концентрических окружностей днища (I, II,...VIII) и 8 радиусов днища (рисунок А.9, Приложение А).
Измерения проводят в следующей последовательности.
-
10.6.1.1 Проводят высотную привязку тахеометра к точке касания днища грузом рулетки днища грузом рулетки.
Тахеометр приводят в отражательный режим измерений «HD-h-Hz».
Устанавливают веху с призменным отражателем в точку касания днища грузом рулетки, контролируя вертикальное положение по круговому уровню вехи.
Наводят сетку нитей визира в центр призменного отражателя и измеряют высоту превышения hQ , мм, (рисунок А.8, Приложение А) и вводят с обратным знаком в меню настроек тахеометра как высоту установки инструмента.
Повторно снимая показания hQ , проверяем правильность ввода данных. На меню дисплея отображения данных должны быть координаты: Hz = 0°00 00 , h = 0.
-
10.6.1.2 Формируют координаты отсчета (места установки вехи) на первом радиусе, для чего укладывают рулетку на днище резервуара, при этом начало отсчета совмещают с точкой установки станции, а второй конец совмещают с отметкой 1-ой образующей на стенке резервуара (рисунок А.9, Приложение А).
-
10.6.1.3 Устанавливают веху в точку 1 (пересечение 1-й окружности на 1-й
образующей), координаты отсчета приведены в таблице 3, контролируя вертикальное положение по круговому уровню вехи. Наводят сетку нитей визира в центр призменного отражателя и измеряют высоту превышения 1( мм, (рисунок А. 10, Приложение А). Последовательно устанавливая в остальных точках отсчета измеряют высоты превышения Ь2 -j1, мм.
Таблица 3
Тип |
Отсчет по шкале ленты |
эулетки, мм, на ра |
диусе | |||||
I |
II |
III |
IV |
V |
VI |
VII |
VIII | |
РВСП-20000 |
0.35R |
0,5R |
0,61R |
0,71R |
0.79R |
0,86R |
0,93R |
стенка |
-
10.6.1.4 Поворачивают алидаду тахеометра на 45° против часовой стрелки и укладывают ленту рулетки на 2-й радиус днища, совмещая начало отсчета (точка Ь2 1), а второй конец совмещают с отметкой 2-ой образующей на стенке резервуара (рисунок А.9). Проводят измерения высот превышения Ь22,...,Ь82 на втором радиусе аналогично.
-
10.6.1.5 Проводя аналогичные процедуры по 10.6.1.2-10.6.1.4 измеряют высоты превышений точек отсчета на остальных образующих.
В обозначении точки отсчета Ь^...Ь8 1 - первый индекс указывает номер радиуса концентрической окружности днища, второй - номер радиуса днища (образующей)
Страница 12 из 38
-
10.6.1.6 Результаты измерений вносят в протокол поверки форма которого приведена в приложении Б (таблица Б.6).
-
10.6.2 Измерение высоты «мертвой» полости
Измерение высоты «мертвой» полости резервуара проводят с применением тахеометра в следующей последовательности.
Устанавливают веху с призменным отражателем на плоскость среза приемнораздаточного устройства. Направляют сетку нитей визира на центр призмы и измеряют расстояние thMn, мм, как высоту превышения (рисунок А.11, Приложение А). Измерения проводят 2 раза, расхождение между результатами измерений должно быть не более 1 мм.
Результаты измерений вносят в протокол поверки форма которого приведена в приложении Б (таблица Б.7).
При применении нивелирной рейки
-
10.6.2.1 Тахеометр приводят в отражательный режим измерений. Выставляют значение вертикального угла равное 0° (чтобы вращение тахеометра происходило в горизонтальной плоскости).
Поворачивают тахеометр до значения горизонтального угла равного 0°, что будет соответствовать первому радиусу на днище (рисунок А.9, Приложение А) и включают лазерный луч на тахеометре. Затем нивелирную рейку последовательно устанавливают вертикально по сферическому уровню в точках пересечения концентрических окружностей днища с первым радиусом днища и в точке касания днища грузом рулетки и смотрят значение превышения на миллиметровой шкале рейки в точке подсветки лазерным лучом. Аналогично производятся измерения на других радиусах при повороте тахеометра на 30° по горизонтальному углу.
-
10.6.3 Измерение координаты точки касания днища грузом рулетки
Координату точки касания днища грузом рулетки измеряют тахеометром в следующей последовательности.
Устанавливают веху в точку касания днища грузом рулетки, контролируя вертикальное положение по круговому уровню вехи. Наводят сетку нитей визира в центр призменного отражателя и измеряют горизонтальный угол ср0 , 0 , и контролируют высоту /?0 , мм. В соответствии с пунктом 10.5.1.1 её значение должно быть равно нулю.
Результаты измерений вносят в протокол поверки форма которого приведена в приложении Б (таблица Б.8).
10.7 Определение объемов внутренних деталей
Объемы внутренних деталей, находящихся в резервуаре, определяют по данным проектной документации на резервуар.
Внутренняя деталь, которая влияет на вместимость резервуара является люк-лаз и центральная труба.
Данные объемов и расположения внутренних деталей носят в протокол поверки форма которого приведена в приложении Б (таблица Б.9).
10.8 Определение параметров плавающего покрытия
-
10.8.1 Массу тп, диаметр плавающего покрытия Оп, отверстий в плавающем покрытии Ц, D2,...,Dn, нижнее и верхнее положение плавающего покрытия h^,h^, параметры опор плавающего покрытия принимают по исполнительной документации.
-
10.8.2 Значения величин плавающего покрытия вносят в протокол, форма которого приведена в приложении Б (таблица Б. 11).
-
11 ОБРАБОТКА РЕЗУЛЬТАТОВ ИЗМЕРЕНИЙ И СОСТАВЛЕНИЕ
ГРАДУИРОВОЧНОЙ ТАБЛИЦЫ
-
11.1 Обработка результатов измерений
-
11.1.1 Обработку результатов измерений при поверке проводят в соответствии с приложением В.
-
-
11.2 Составление градуировочной таблицы резервуара
-
11.2.1 Градуировочную таблицу составляют начиная с уровня Нмп, соответствующего высоте «мертвой» полости hMn, до предельного уровня Нпр, вычисляя посантиметровую вместимость резервуара /-го пояса V (Н) м3, по формуле
(2)
-
где

- посантиметровая вместимость резервуара, соответствующая уровню
Н - уровень жидкости, соответствующий, отсчитываемый от точки касания днища грузом рулетки, см;
Н- уровень жидкости, соответствующий суммарной высоте поясов, см;
Dt - внутренний диаметр /-го пояса, вычисляемый по формуле (Д.1), мм.
11.2.2 Предельный уровень Нпр
см, до которого составляют градуировочную таблицу, вычисляют по формуле
н л nP / 7 |
Т| 1 л Н6 |—!—+ 2>,+r0cos<p |
V1 + T|2 ^/=1 |
где П - номер пояса, выбираемый из ряда: 2, 3,..., л;
hi - высота i-ro пояса, мм;
Го - радиус расположения точки касания днища грузом рулетки, мм;
(р - угол направления наклона резервуара, °.

вычисляют по
-
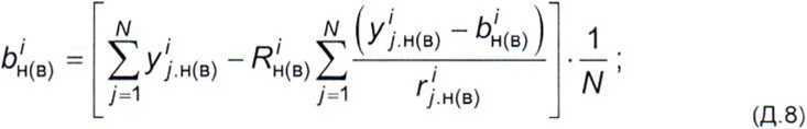
11.2.3 Посантиметровую вместимость 1-го пояса формуле (Д.8).
-
11.2.4 В пределах каждого пояса вычисляют коэффициент вместимости, равный вместимости, приходящейся на 1 мм высоты наполнения.
-
11.2.5 Градуировочную таблицу «мертвой» полости составляют, начиная от исходной точки до уровня Ямп, соответствующий высоте «мертвой» полости.
-
11.2.6 При составлении градуировочной таблицы значения вместимости округляют до 1 дм3.
-
11.2.7 Значения посантиметровой вместимости, указанные в градуировочной таблице, соответствуют температуре 20 °C.
-
11.2.8 Результаты расчетов вносят в журнал, форма которого приведена в приложении Г.
-
11.2.9 Обработка результатов измерений может быть проведена ручным способом или с использованием разработанного программного обеспечения.
-
11.2.10 Результаты измерений должны быть оформлены протоколом поверки, форма которого приведена в приложении Б, который является исходным документом для расчета градуировочной таблицы.
-
12 ОФОРМЛЕНИЕ РЕЗУЛЬТАТОВ ПОВЕРКИ
-
12.1 Результаты поверки резервуара оформляют свидетельством о поверке.
-
12.2 К свидетельству о поверке прикладывают:
-
а) градуировочную таблицу;
б) протокол поверки (оригинал прикладывают к первому экземпляру градуировочной таблицы);
-
12.3 Форма титульного листа градуировочной таблицы и форма градуировочной таблицы приведены в приложении Г. Форма акта ежегодных измерений базовой высоты резервуара приведена в приложении В.
Протокол поверки подписывает поверитель.
Титульный лист и последнюю страницу градуировочной таблицы подписывает поверитель.
-
12.4 Градуировочную таблицу утверждает руководитель организации, аккредитованной в соответствии с законодательством Российской Федерации об аккредитации в национальной системе аккредитации на проведение поверки данного типа средств измерений.
ПРИЛОЖЕНИЕ А

а - хорда; ty - высота сегмента; /7 - дуга; 1п - остаточная дуга; Ьп, ап - остаточная хорда; 1, 2, 3- номера отметок
Рисунок А.1 - Схема проведения измерений по методу хорд





Рисунок А.4 - Схема расположений плоскостей измерений (сечений) внутренних радиусов резервуара

Рисунок А.5 - Схема измерений радиусов поясов резервуара


Рисунок А.7 - Схема измерений высоты поясов

7

Рисунок А.9 - Координаты отсчета (место установки вехи или рейки) неровностей днища
с отражателен |
| ) |
ггггггшА! |
4.7 4; 4.7 ^5.1 4.7 ^3.1 ^2.1 ^1.1 № \ |
Рисунок А. 10 - Схема измерений высот превышения неровностей днища

ПРИЛОЖЕНИЕ Б
(обязательное)
Форма протокола поверки резервуара
ПРОТОКОЛ
поверки резервуара геометрическим методом
Таблица Б.1- Общие данные
Дата |
Основание для проведения поверки | ||
число |
месяц |
год | |
1 |
2 |
3 |
4 |
Первичная, периодическая, внеочередная |
Продолжение таблицы Б.1
Место проведения поверки |
Рабочие эталоны и вспомогательные средства |
5 |
6 |
Окончание таблицы Б.1
Резервуар | ||
Тип |
Номер |
Погрешность определения вместимости резервуара, % |
7 |
8 |
9 |
Таблица Б.2- Условия проведения измерений
Температура воздуха внутри резервуара, °C |
Загазованность, мг/м3 |
Таблица Б.З - Базовая высота резервуара В миллиметрах
Точка измерения базовой высоты Нб |
Номер измерения | |
1 |
2 | |
Риска измерительного люка | ||
Верхний срез измерительного люка |
Таблица Б.4 - Измерение внутренних радиусов поясов резервуара
Номер пояса |
Значение параметра на образующей под номером | ||||||||||
2 |
3 |
4 |
5 | ||||||||
/К 'тн(в)' ММ |
Фтн(в)- град |
1к 'тн(в)> ММ |
Фтн(в)’ град |
1к 'тн(в) > мм |
Фтн(в)> град |
1к 'тн(в)’ ММ |
к Фтн(в)- град |
'тн(в)' ММ |
к Фтн(в)> град | ||
II |
н | ||||||||||
в | |||||||||||
III |
н | ||||||||||
в | |||||||||||
IV |
н | ||||||||||
в | |||||||||||
V |
н | ||||||||||
в | |||||||||||
VI |
н | ||||||||||
в |
Продолжение таблицы Б.4
Номер пояса |
Значение параметра на образующей под номером | ||||||||||
6 |
7 |
3 |
9 |
10 | |||||||
1к ‘тн(в)> ММ |
Фтн(в)’ град |
/к 'тн(в)' ММ |
к Флтн(в)’ град |
1к 'тн(в)' ММ |
Фтн(в)1 град |
'тн(в)1 ММ |
ft Фтн(в)' град |
1к 'тн(в)' ММ |
к Фтн(в)’ град | ||
II |
н | ||||||||||
в | |||||||||||
III |
н | ||||||||||
в | |||||||||||
IV |
н | ||||||||||
в | |||||||||||
V |
н | ||||||||||
в | |||||||||||
VI |
н | ||||||||||
в |
Окончание таблицы Б.4
Номер пояса |
Значение параметра на образующей под номером | ||||
11 |
12 | ||||
1к тн(в)’ ММ |
(Ртн(в)> град |
1к тн(в)’ ММ |
к 4>тн(в)< град | ||
1 |
в | ||||
II |
н | ||||
в | |||||
III |
н | ||||
в | |||||
IV |
н | ||||
в | |||||
V |
н | ||||
в | |||||
VI |
н | ||||
в |
а б л и ц а Б.5- Высота превышения поясов
Номер |
о Высота превышения поясов |
', мм | ||||
образующей |
I |
II |
III |
IV |
V |
VI |
0 | ||||||
N/2-1 |
Таблица Б.6- Измерение неровностей днища
В миллиметрах
№ радиуса (образую щей) |
Высота превышения в точке Ь, у отсчет на концентрической окружности | |||||||
I |
II |
III |
IV |
V |
VI |
VII |
VIII | |
1 | ||||||||
2 | ||||||||
3 | ||||||||
4 | ||||||||
5 | ||||||||
6 | ||||||||
7 | ||||||||
8 |
Таблица Б.7- Параметры «мертвой» полости
№ измерения |
Высота (превышения) «мертвой» полости thMn, мм |
Вместимость \/мп, м3 |
1 |
2 |
3 |
1 | ||
2 | ||
Примечание - Графу 3 заполняют только при принятии вместимости «мертвой» полости по 7.1.4 |
Таблица Б.8 - Координата точки измерений уровня жидкости и базовой высоты резервуара
Параметр |
Номер измерения | |
1 |
2 | |
Угол <Ро (градус, минута, секунда) | ||
/, Высота превышения 0 , мм |
Таблица Б.9 - Внутренние детали цилиндрической формы
Диаметр, мм |
Высота от днища, мм |
Расстояние от стенки первого пояса /д, мм | |
Нижняя граница hBa |
Верхняя граница hBa | ||
Таблица Б. 10 - Длина окружности первого пояса
Номер измерения |
Длина окружности /_н , мм |
1 |
2 |
1 | |
2 |
Таблица Б. 11- Параметры понтона
Масса ГПп , кг |
Диаметр поплавка dn , мм |
Суммарная длина поплавков /п, мм |
Диаметр отверстия, мм |
Расстояние от днища при крайнем положении поплавков, мм | |||
Di |
о2 |
нижнем h” |
верхнем hB | ||||
1 |
2 |
3 |
4 |
5 |
6 |
7 |
8 |
Таблица Б. 12 - Параметры хранимой жидкости__
Плотность хранимой жидкости, кг/м3 Г"
Должности
Подписи
Инициалы, фамилии
ПРИЛОЖЕНИЕ В
(рекомендуемое)
Форма акта измерений базовой высоты резервуара
УТВЕРЖДАЮ
Руководитель предприятия - владельца резервуара (директор, гл. инженер)
АКТ
измерений базовой высоты резервуара
от «____»_____________20__г.
Составлен в том, что комиссия, назначенная приказом по_________________________
наименование
_______________________________________, в составе председателя_________________
предприятия - владельца резервуара
_________________________________________и членов:________________________________
инициалы, фамилия инициалы, фамилии
провела контрольные измерения базовой высоты резервуара стального вертикального цилиндрического теплоизолированного с понтоном РВСП-________№______________
при температуре окружающего воздуха_______________°C.
Измерения проведены рулеткой типа______________№____________со сроком
действия поверки до «___»____________20__г.
Результаты измерений представлены в таблице 1.
Таблица 1 В миллиметрах
Базовая высота резервуара |
Уровень жидкости в резервуаре | |
Среднее арифметическое значение результатов двух измерений (Н6)к |
Значение базовой высоты, установленное при поверке резервуара (Нб)п | |
1 |
2 |
3 |
Относительное изменение базовой высоты резервуара 8б, %, вычисляют по формуле
•100, где значения величин (/7б)к, (^б)п ■ приведены в 1-й, 2-й графах
Вывод - требуется (не требуется) внеочередная поверки резервуара.
Председатель комиссии
подпись инициалы, фамилия
Члены комиссии:
подпись инициалы, фамилия
подпись инициалы, фамилия
ПРИЛОЖЕНИЕ Г
Форма титульного листа градуировочной таблицы и форма градуировочной таблицы
Г.1 Форма титульного листа градуировочной таблицы1
УТВЕРЖДАЮ
«____»_________________20___г.
ГРАДУИРОВОЧНАЯ ТАБЛИЦА
на резервуар стальной вертикальный цилиндрический теплоизолированный с понтоном
РВСП_________ №______________
Организация__
Погрешность определения вместимости: ±0,10 %
Срок очередной поверки__________________________
Поверитель
ПОДПИСЬ
должность, инициалы, фамилия
Г.2 Форма градуировочной таблицы резервуара
Организация______________________
Резервуар №______________________
Г.2.1 Форма градуировочной таблицы резервуара
Таблица Г.1 - Посантиметровая вместимость нижней части резервуара
Уровень наполнения, см |
Вместимость, м3 |
Уровень наполнения, см |
Вместимость, м3 |
нмп | |||
Нмп + 1 | |||
Нмп + 2 | |||
Таблица Г.2- Средняя вместимость в пределах вместимости пояса, приходящейся
на 1 см высоты наполнения
Уровень наполнения, мм |
Вместимость, м3 |
Уровень наполнения, мм |
Вместимость, м3 |
Уровень наполнения, мм |
Вместимость, м3 |
1 |
4 |
7 | |||
2 |
5 |
8 | |||
3 |
6 |
9 |
ПРИЛОЖЕНИЕ Д
Обработка результатов измерений
Д.1 Вычисление диаметра первого пояса
Диаметр резервуара при применении метода хорд вычисляют по формуле
Di = 0,31831 •^•[l + as(7'B-20)] (Д.1)
где Lh1, Lh2 - результаты двух измерений длины окружности первого пояса, мм, значение принимают по таблице Б.10;
Тв—температура воздуха в резервуаре; as- коэффициент линейного расширения материала измерительной рулетки.
Д. 2 Определение внутренних диаметров поясов резервуара
Д.2.1 Внутренние диаметры в сечении (нижнее, верхнее) /-го пояса резервуара О, , мм, вычисляют по формуле
^н(в) = 2-(д
где - внутренний радиус в нижнем (верхнем) сечении /-го пояса, мм.
Д.2.2 Для вычисления внутреннего радиуса пояса резервуара проводят измерения следующих параметров:
-
- наклонного расстояния /щВ) (параметр SD);
-
- вертикального угла Уд/н(В) (параметр Vz);
-
- горизонтального угла (pw (параметр Hz).
Д.2.3 Положение точки (например, точка А), лежащей на поверхности стенки пояса, определяется тремя координатами декартовой системы координат (^Н(В)' Ун(в)> Zh(b) ) ■
Из-за не совпадения начала системы координат измерений (станции съемки) с геометрическим центром резервуара (центром окружности) радиус резервуара определяют с учетом смещения станции съемки от геометрического центра резервуара.
Д.2.4 При направлении визирной линии тахеометра к точке А расстояние от точки (хЛ/н(в) ’ Ул/н(в) > zNh(b) ) Д° геометрического центра резервуара в плоскости измерений (нижнее/верхнее сечение), в соответствии с [4] вычисляют по формуле
где
(^Л/н(в) >
^н(в)’


)
- координаты точки А в сечении N, мм;
- смещение по оси X и Y места установки
(Д.3)
станции съемки от
геометрического центра резервуара, мм.
Величины (х^н(в)!

вычисляют по формуле
^Л/н(в)
= 'n„(b)-cos<Pn'cos(9°-'/nH(B))
(Д.4)
Ул/н(в) ^Nh(b) ' ’ cos(90 Ц\/н(в) )
(Д.5)
где /д/н(в) “ накл°нн°е расстояние, мм;
Ч\/н(в) _ вертикальный угол (зенитный), измеренный в i-ом поясе в нижнем (верхнем)
сечении, угл. сек; фд/ - горизонтальный угол Л/-образующей, угл. сек.
Расстояние г//Н(в) от точки
(^A/h(b) ’

до геометрического центра
резервуара в нижнем (верхнем) сечении на N-ой образующей i-ro пояса вычисляют по формуле

(Д.6)

Рисунок Д.2 - Параметры измерений радиуса Гд/Н(в) /-го пояса при у-ом измерении в нижнем (верхнем)сечении
Д.2.5 Смещение станции съемки от геометрического центра резервуара а^, Ь'н^ и расстояние от точек на поверхности пояса до центра окружности /?^(в) в нижнем (верхнем сечении) i-ro пояса вычисляют методом наименьших квадратов.
Параметры Ь'и^, вычисляют решая систему линейных уравнений

N
X х7-н(в)
7=0
о/ V" (Ху.н(в) ан(в)) ^н(в) L ~т~
j=o 'у.н(в)

(Д-7)


(Д-9)
где Г-н(в) ~ Радиус /-го пояса на N-ой образующей в нижнем (верхнем) сечении, мм;
N - номер образующей (число измерений), принято равным 12;
•Х)н(в)> y'j: н(в) ~ координаты точки внутренней поверхности на N-ой образующей в нижнем (верхнем) сечении i-ro пояса резервуара, мм.
Радиус /-го пояса на N-ой образующей в нижнем (верхнем) сечении fyH(B) вычисляют по формуле

Д 2.6 Вычисление величина^, Ь'н^, /?В<В) проводят в следующей
последовательности.
Д.2.6.1 Вычисление величин ав(в), Ь'и^, в нулевом приближении
(а0.н(в)' ^О.н(в)' ^О.н(в) ) •
1) устанавливают значение Эд Н<В), в формуле (Д.7) равным нулю.
2) вычисляют
значения

в соответствии с формулой

Примечание - В обозначении /р о
верхний индекс /' соответствует номеру
пояса, в нижнем индексе: первое число указывает номер приближения, второе число - номер образующей, н(в) нижнее (верхнее) сечение.
-
3) значение R'Q 0 н(в) вычисляют по формуле (Д.9):
^Он(в) = (^О.О.н(в) +^0.1.н(в) + г0.2.н(в) + ••• + ^0.12.н(в) )’
-
4) вычисляют значения адн(в), Ь'о н(в) в соответствии с формулами (Д.7) и (Д.8)

Д.2.6.2 Вычисление величин
ан(в)> Ь'(в), R'h{b), в первом приближении

Д.2.6.3
а2.н(в)> ^2,н(в)>

1.0.н(в) + Г1.1.н(в) + /1.2.н(в) + ■" + Г1.12.н(в) )>
/ ХОн(в) + Х1н(в) +--'+ Х12н(в)
а1н(в) ~

у' х' х'
х1н(в) ( л2н(в) _ , л12н(в)
—/--'—/ Ь ... Н
Г1.1н(в) Г1.2н(в) Г1.12н(в) ;

У1н(в) У2н(в)
г' г'
'1.1 н(в) '1.2н(в)
У12н(в) г'
'1.12н(в) J
Вычисление величин а^В), , во втором
приближении
^2.н(в) ) *
Г2.0.н(в) = |
х' ^Л0.н(в) |
— а1.н(в) ) |
+ (у |
О.н(в) ^1 н(в) ) > |
Г2.1н(в) = |
(х1.н(в) ■ |
“ а1.н(в) ) |
+(И |
-ь1 \2- ,н(в) w1.h(b) ) ’ |
Г2.3.н(в) = |
(Х3.н(в) |
- а1.н(в) ) |
+ (у |
З.н(в) — ^1 ,н(в) ) > |
Г - '2.12.н(в) “ |
х/(Х12.н(в) а1 .н(в) |
х2 |
[У12.н(в) — ^1.н(в) | |
)+| |
^2н(в) - у^(Г2.0.н(в) +Г2.1.н(в) +Г2.2.н(в) + •■• + Г2.12.н(в)

*Он(в) + х1н(в) + + х12н(в)

р' г'2н(в)
12

<л2.0н(в) г2.1н(в) /2.2н(в) г2.12н(в) ?
Уон(в) + XlH(B) + •■■ + У-|2н(в)

Д.2.6.4 Операции вычисления прекращают в случае выполнения условия
^;.н(в) ^/-1 н (в)
где/-номер приближения (0, 1, ...т).
Д.2.7 Внутренний диаметр D1 i-ro пояса вычисляют по формуле
(д.
где R'H, R'B - внутренние радиусы в нижнем и верхнем сечении i-ro пояса, мм.
Д.2 Измерения высот поясов резервуара
Д.2.1 Высоту i-ro пояса резервуара, начиная со второго пояса, как расстояние по вертикали от середины сварного шва /-го и /+1 пояса резервуара, Д,-, мм, вычисляют по формуле
hi = th'i+1 — th'i
(Д.12)
где th-, th" - высота превышения i-ro пояса, на образующей и противоположной образующей значение которого принимают из таблицы Б.З, мм;
thi+^ - высота превышения вышестоящего i+1-го пояса, значение которого принимают из таблицы Б.5, мм.
Д.З Вычисление вместимости «мертвой» полости

вычисляют по формуле
Д.3.1 Объем неровностей днища

4'109
л0,005104/, +0,02281f2 + 0,03863/3 + " +0,05455/4 + 0,07038f5 +0,08513f6 +
4+0,10018f7 +0,11645/8
(Д 15)
где f\,f2,...,f8 - превышение высот призмы в точке между концентрическими
окружностями неровностей днища, вычисляемые по формуле
С S(^(y-1)t ^jt\
'=1 (Д.14)
где bj - высота превышения призмы, установленной по периметру у-й концентрической окружности;
bj_^ - высота превышения призмы, установленной по периметру (/' - 1)-й вышележащей концентрической окружности.
Д.3.2 Уровень жидкости А7МП, мм, соответствующий высоте «мертвой» полости вычисляют по формуле
^мп — ~^мп’ (Д-15)
где Hq - базовая высота, её значение принимают из таблицы Б.З, мм;
thMn - высота превышения среза ПРУ, значение принимают по таблице Б.7 (графа 2), мм.
Д.3.3 Вместимость «мертвой» полости У вычисляют по формуле

(Д16)

- объем неровностей днища, вычисляемый по формуле (Д.13), м3;
У^п - вместимость «мертвой» полости в пределах Нмп, вычисляемая по формуле


(Д17)
где О1 - внутренний диаметр 1-го пояса, вычисляемый по формуле (Д.1), мм;
Н - уровень жидкости, отсчитываемый от точки касания днища грузом рулетки, мм;
Д.4 Вычисление посантиметровой вместимости 1-го пояса резервуара
Д.4.1 Посантиметровую вместимость 1-го пояса от точки касания днища грузом рулетки до уровня Н}, соответствующий высоте 1-го пояса, вычисляют по формуле
лО2
'/(н)1 = К.„+—^-(н-нмп)+д1/вя,
4-10 щ.
где Умп - вместимость «мертвой» полости, вычисляемая по формуле (Д.16), м3;
- внутренний диаметр 1-го пояса, вычисляемый по формуле (Д.1), мм;
Н - уровень жидкости, отсчитываемый от точки касания днища грузом рулетки, мм;
Нмп - уровень жидкости, соответствующий высоте «мертвой» полости формуле (Д.17), мм.
A V - объем внутренней детали, м3.
Д.5 Вычисление посантиметровой вместимости i-го пояса резервуара Посантиметровую вместимость резервуара /-го пояса 1/(Н). вычисляют по формуле

(Д.19)
- посантиметровая вместимость резервуара, соответствующая уровню

Н - уровень жидкости, соответствующий, отсчитываемый от точки касания днища грузом рулетки, см;
/7/_1 - уровень жидкости, соответствующий суммарной высоте поясов, см;
0; - внутренний диаметр /-го пояса, вычисляемый по формуле (Д.11), мм.
БИБЛИОГРАФИЯ
-
[1] Тахеометр электронный Nikon NPR-332, Регистрационный номер 39639-08
-
[2] ТУ ДКТЦ 41344.1.1.102 Анализатор-течеискатель АНТ-3. Технические условия
Страница 38 из 38
Форма градуировочной таблицы не подлежит изменению