Методика поверки «ГСИ. СИСТЕМА ИЗМЕРЕНИЙ КОЛИЧЕСТВА И ПОКАЗАТЕЛЕЙ КАЧЕСТВА НЕФТЕПРОДУКТОВ № 354» (МП 1194-14-2020)
ВСЕРОССИЙСКИЙ НАУЧНО-ИССЛЕДОВАТЕЛЬСКИЙ ИНСТИТУТ РАСХОДОМЕТРИИ -ФИЛИАЛ ФЕДЕРАЛЬНОГО ГОСУДАРСТВЕННОГО УНИТАРНОГО ПРЕДПРИЯТИЯ «ВСЕРОССИЙСКИЙ НАУЧНО-ИССЛЕДОВАТЕЛЬСКИЙ ИНСТИТУТ МЕТРОЛОГИИ им. Д.И. МЕНДЕЛЕЕВА»
ВНИИР - филиал ФГУП «ВНИИМ им. Д.И. Менделеева»
УТВЕРЖДАЮ
Заместитель директора по развитию ВНИИР - филиала ФГУП «ВНИИМ

Государственная система обеспечения единства измерений
СИСТЕМА ИЗМЕРЕНИЙ КОЛИЧЕСТВА И ПОКАЗАТЕЛЕЙ КАЧЕСТВА
НЕФТЕПРОДУКТОВ № 354
Методика поверки
МП 1194-14-2020
Зам. начал^н^ка отдела НИО-14
_____________Р.Н. Груздев
Тел.: (843) 299-72-00
Казань
2020
РАЗРАБОТАНА |
ВНИИР - филиал ФГУП «ВНИИМ им. Д.И. Менделеева» |
ИСПОЛНИТЕЛЬ |
Шабалин А.С. |
УТВЕРЖДЕНА |
ВНИИР - филиал ФГУП «ВНИИМ им. Д.И. Менделеева» |
Настоящий документ распространяется на систему измерений количества и показателей качества нефтепродуктов № 354 (далее - СИКН) и устанавливает методику первичной поверки при вводе в эксплуатацию, а также после ремонта и периодической поверки при эксплуатации.
Если очередной срок поверки измерительного компонента (средства измерений (СИ)) из состава СИКН наступает до очередного срока поверки СИКН, или появилась необходимость проведения периодической или внеочередной поверки измерительного компонента, то поверяют только этот измерительный компонент, при этом внеочередную поверку СИКН не проводят.
Допускается проведение поверки СИКН в части отдельного измерительного канала в соответствии с заявлением владельца СИКН.
Интервал между поверками СИКН - 12 месяцев.
-
1 Операции поверки
1.1 При проведении поверки выполняют операции, приведенные в таблице 1.
Таблица 1 - Операции поверки_____________________________________________
Наименование операции |
Номер пункта методики |
Проведение операции при | |
первичной поверке |
периодической поверке | ||
Внешний осмотр |
6.1 |
Да |
Да |
Подтверждение соответствия программного обеспечения |
6.2 |
Да |
Да |
Опробование |
6.3 |
Да |
Да |
Определение метрологических характеристик |
6.4 |
Да |
Да |
-
1.2 Если при проведении какой-либо операции поверки получен отрицательный результат, дальнейшую поверку не проводят.
-
2 Средства поверки
-
2.1 Эталоны (основные средства поверки)
-
2.1.1 Рабочий эталон 1 -го разряда в соответствии с частью 2 Государственной поверочной схемы для средств измерений массы и объема жидкости в потоке, объема жидкости и вместимости при статических измерениях, массового и объемного расходов жидкости, утвержденной приказом Федерального агентства по техническому регулированию и метрологии от 7 февраля 2018 г. № 256 (компакт-прувер с пределами допускаемой относительной погрешности ±0,05 %). (далее - ПУ).
-
2.2 Средства измерений
-
2.2.1 Преобразователь плотности поточный с пределами допускаемой абсолютной погрешности не более ±0,3 кг/м3 (далее - ПП).
-
2.2.2 Измерительные преобразователи избыточного давления с унифицированным токовым выходным сигналом с пределами допускаемой приведенной погрешности не более ±0,5 %, манометры класса точности 0,6.
-
2.2.3 Датчики температуры, термометры с пределами допускаемой абсолютной погрешности не более ±0,2 °C.
-
2.2.4 Комплекс измерительно-вычислительный ТН-01 (далее - ИВК) с пределами допускаемой относительной погрешности при измерении периода импульсного сигнала ±0,0015 %, с пределами допускаемой относительной погрешности при измерении количества импульсов ±0,005 %, с пределами допускаемой относительной погрешности при преобразовании сигналов от первичных преобразователей и вычислении коэффициентов преобразования преобразователей расхода при определении метрологических характеристик ±0,025 %, с пределами допускаемой абсолютной погрешности при измерении силы постоянного тока ±0,01 мА.
-
2.2.5 Расходомер-счетчик ультразвуковой портативный с накладными преобразователями «ВЗЛЕТ ПР» с пределами допускаемой относительной погрешности измерений объемного расхода не более ±1,5 % (далее - УРСВ).
-
2.3 Допускается применение аналогичных средств поверки, обеспечивающих определение метрологических характеристик СИКН с требуемой точностью.
-
3 Требования безопасности
-
3.1 При проведении работ соблюдают требования, определяемые документами:
-
- в области охраны труда;
-
- в области промышленной безопасности;
-
- в области пожарной безопасности;
-
- в области соблюдения правильной и безопасной эксплуатации электроустановок;
-
- в области охраны окружающей среды.
-
3.2 Площадка СИКН должна содержаться в чистоте без следов нефтепродуктов и должна быть оборудована первичными средствами пожаротушения согласно Правилам противопожарного режима в Российской Федерации.
-
3.3 Измерительные компоненты и вспомогательные устройства, применяемые при проведении поверки, должны иметь взрывозащищенное исполнение в соответствии с требованиями ГОСТ 31610.0-2019 «Взрывоопасные среды. Часть 0. Оборудование. Общие требования».
-
3.4 Вторичную аппаратуру и щиты управления относят к действующим электроустановкам с напряжением до 1000 В, на которые распространяются Правила технической эксплуатации электроустановок потребителей, Правила устройства электроустановок.
-
3.5 Выполнение работ прекращают при обнаружении течи в сварных и фланцевых соединениях оборудования СИКН.
-
4 Условия поверки
-
4.1 Поверку СИКН проводят на месте эксплуатации в диапазоне измерений, указанном в описании типа, или в фактически обеспечивающимся при поверке диапазоне измерений с обязательным указанием в свидетельстве о поверке информации об объеме проведенной поверки. Фактический диапазон измерений не может превышать диапазона измерений, указанного в описании типа СИКН.
-
4.2 Характеристики измеряемой среды при проведении поверки должны соответствовать требованиям, приведенным в таблице 2. Соответствие характеристик измеряемой среды значениям в таблице 2 проверяют по данным паспорта качества нефтепродуктов.
Таблица 2 - Характеристики измеряемой среды
Наименование характеристики |
Значение |
Измеряемая среда со следующими параметрами: |
Дизельное топливо по ГОСТ 32511-2013; Дистиллят газового конденсата средний (сернистый) СТО 05034205-011-2016; Газойль СТО 52821717-052-2018 и другие светлые нефтепродукты согласно нормативным документам, по которым они изготовлены |
- избыточное давление измеряемой среды, МПа |
от 0,21 до 1,6 |
- температура измеряемой среды, °C |
от 0 до 35 |
- кинематическая вязкость измеряемой среды в рабочем диапазоне температуры, мм2/с |
от 2 до 6 |
- плотность измеряемой среды в рабочем диапазоне температуры, кг/м3 |
от 806 до 905 |
-
4.2 Определение метрологических характеристик измерительного канала объемного расхода нефтепродуктов (далее - ИК) комплектным способом проводят при следующих условиях:
-
- работы проводят на месте эксплуатации в комплекте с элементами измерительных линий;
-
- допускаемое изменение абсолютного значения расхода за время одного измерения (в точке расхода) 2,5 %;
-
- допускаемое изменение абсолютного значения температуры измеряемой среды за время одного измерения 0,2 °C;
-
- температура, влажность окружающей среды и физико-химические показатели измеряемой среды соответствуют условиям эксплуатации СИКН;
-
- диапазоны рабочего давления и объемного расхода определяются типоразмерами ПР (счетчик (преобразователь) жидкости лопастной Dy 10” с преобразователем JB10-S3), рабочим диапазоном объемного расхода ПУ и технологическими требованиями:
-
- содержание свободного газа не допускается;
-
- для обеспечения бескавитационной работы избыточное давление в трубопроводе после ПР. Pmin, МПа, должно быть не менее вычисленного по формуле
Р =2,06хР +2х&Р, (1)
где Р11(К - давление насыщенных паров, определенное в соответствии с ГОСТ 1756-2000 «Нефтепродукты. Определение давления насыщенных паров» при максимально возможной температуре измеряемой среды, МПа;
ДР - перепад давления рабочей жидкости на ПР, МПа (из эксплуатационной документации);
-
- регулирование объемного расхода проводят при помощи регуляторов расхода, расположенных на выходе ПУ и (или) на измерительных линиях.
-
4.3 При соблюдении условий 4.1-4.2 считают, что факторы, которые могут оказать влияние на точность результатов измерений при поверке, отсутствуют.
-
5 Подготовка к поверке
-
5.1 Подготовку средств поверки и СИКН осуществляют в соответствии с их эксплуатационной документацией.
-
5.2 Проверяют наличие действующих свидетельств о поверке (свидетельств об аттестации) и(или) знаков поверки на все средства поверки.
-
5.3 Перед началом определения метрологических характеристик ИК объемного расхода нефтепродуктов комплектным способом выполняют следующие подготовительные работы:
-
- проверяют правильность монтажа средств поверки и ПР;
-
- устанавливают любое значение расхода (в пределах рабочего диапазона), в технологической схеме поверки создают максимальное рабочее давление, которое может быть при поверке. Технологическую схему считают испытанной на герметичность, если в течение 10 минут после создания давления не наблюдается течи рабочей жидкости через фланцевые соединения, через сальниковые уплотнения задвижек, дренажных и воздушных вентилей (кранов);
-
- проверяют отсутствие газа (воздуха) в технологической схеме поверки;
-
- проверяют стабилизацию температуры рабочей жидкости, для чего при любом расходе проводят несколько последовательных пусков поршня ПУ. Температуру жидкости считают стабильной, если ее изменение в технологической схеме за период одного измерения не превышает 0,2 °C;
-
- определяют плотность измеряемой среды за время определения относительной погрешности ПР с помощью ПП или в испытательной лаборатории;
-
- определяют кинематическую вязкость измеряемой среды за время определения относительной погрешности ПР в испытательной лаборатории;
-
- вводят в память ИВК исходные данные согласно протоколу поверки (приложение А) или проверяют достоверность ранее введенных.
-
6 Проведение поверки
-
6.1 Внешний осмотр
При внешнем осмотре должно быть установлено соответствие СИКН следующим требованиям:
-
- комплектность СИКН должна соответствовать указанной в описании типа и эксплуатационной документации на СИКН;
-
- на компонентах СИКН не должно быть механических повреждений и дефектов, препятствующих проведению поверки;
-
- надписи и обозначения на компонентах СИКН должны быть четкими и соответствовать технической документации;
Результаты считают положительными, если СИКН соответствует вышеперечисленным требованиям.
-
6.2 Подтверждение соответствия программного обеспечения (ПО) СИКН
-
6.2.1 Проверяют соответствие идентификационных данных ПО комплексов измерительно-вычислительных ТН-01 (далее - ИВК) сведениям, приведенным в описании типа СИКН.
-
6.2.2 Определение идентификационных данных ПО ИВК проводят в соответствии с руководством оператора.
-
6.2.3 Результат подтверждения соответствия ПО считается положительным, если полученные идентификационные данные ПО (идентификационное наименование, номер версии (идентификационный номер) и цифровой идентификатор) соответствуют идентификационным данным, указанным в описании типа СИКН.
-
6.3 Опробование
-
6.3.1 Опробование проводят в соответствии с эксплуатационной документацией на СИКН.
Проверяют действие и взаимодействие компонентов в соответствии с инструкцией по эксплуатации СИКН, возможность получения отчетов следующим образом:
-
- проверяют наличие электропитания на компонентах СИКН;
-
- проверяют наличие связи между первичными преобразователями, вторичной аппаратурой и ИВК, ИВК и АРМ оператора СИКН путем визуального контроля меняющихся значений измеряемых величин (температура, давление, плотность, вязкость, расход нефтепродуктов через измерительные линии и БИК) на дисплее компьютера АРМ оператора;
-
- используя принтер компьютера АРМ оператора СИКН, распечатываются пробные отчеты (оперативные, суточные отчеты, протокол поверки).
-
6.3.2 Проводят опробование ПР, входящего в состав ИК объемного расхода нефтепродуктов. Для этого устанавливают произвольное значение расхода, находящееся в пределах рабочего диапазона ПР и проводят одно измерение.
-
6.3.2.1 Устанавливают любое значение расхода в пределах рабочего диапазона (рекомендуется устанавливать минимальное значение расхода) и проводят пробные измерения. При прохождении поршня ПУ через стартовый детектор должен начаться отсчет количества импульсов ПР, при прохождении стопового детектора - прекратиться.
-
6.3.2.2 При применении ПУ должно проводиться суммирование количества импульсов ПР за серию проходов поршня и вычисление средних арифметических значений температуры и давления рабочей жидкости в ПР и ПУ, плотности рабочей жидкости за серию проходов поршня.
Результаты вычислений по 6.3.2.2 наблюдают на дисплее ИВК (АРМ оператора).
-
6.3.2.3 Проверяют индикацию на дисплее ИВК (или на мониторе АРМ оператора) текущих значений количества импульсов, выдаваемых ПР (имп), плотности (кг/м3), температуры (°C) и давления (МПа) измеряемой среды в ПР и ПУ.
-
6.4 Определение (контроль) метрологических характеристик
-
6.4.1 Проверка результатов поверки измерительных компонентов, входящих в состав СИКН.
Проверяют наличие у измерительных компонентов, входящих в состав СИКН, действующих знаков поверки и (или) свидетельств о поверке, и (или) записи в паспортах (формулярах), заверенные подписью поверителя и знаком поверки.
Перечень измерительных компонентов, входящих в состав СИКН, приведен в описании типа СИКН.
Входящие в состав СИКН измерительные компоненты на момент проведения поверки СИКН должны быть поверены в соответствии с документами на поверку, указанными в свидетельствах об утверждении типа (описаниях типа) данных измерительных компонентов (за исключением ПР, входящих в состав ИК, метрологические характеристики которых определяются в соответствии с 6.4.2).
Показывающие СИ температуры и давления должны быть поверены в соответствии с методиками поверки, указанными в свидетельствах об утверждении типа (описаниях типа) данных СИ.
Примечания
-
1. Проверку согласно 6.4.1 проводят для измерительных компонентов, фактически установленных на момент проведения поверки СИНК.
-
2. Поверку СИКН в части отдельных ИК проводят в соответствии с 6.4.2-6.4.3 к данной методике.
Результат проверки считают положительным, если измерительные компоненты, входящие в состав СИКН, имеют действующие знаки поверки и (или) свидетельства о поверки, и (или) запись в паспортах (формулярах).
-
6.4.2 Определение метрологических характеристик ИК объемного расхода нефтепродуктов проводят в соответствии с приложением Б к данной методике поверки.
-
6.4.2 Определение метрологических характеристик ИК объемного расхода нефтепродуктов, установленного в БИК. проводят в соответствии с приложением В к данной методике поверки.
-
6.4.4 При получении положительных результатов поверки согласно п. 6.5.1 относительная погрешность измерений массы нефтепродуктов не превышает установленные пределы ±0,25 % и результаты контроля метрологических характеристик считают положительными.
-
7 Оформление результатов поверки
-
7.1 Результаты поверки СИКН оформляют протоколом по форме, приведенной в Приложении А.
При оформлении протокола средствами вычислительной техники и вручную допускается форму протокола представлять в измененном виде.
-
7.2 Результаты поверки оформляются в соответствии с действующими нормативноправовыми документами в части поверки СИ.
При положительных результатах поверки оформляют свидетельство о поверке СИКН в соответствии с действующим порядком проведения поверки СИ.
На оборотной стороне свидетельства о поверке СИКН указывают:
-
- диапазон расхода и пределы допускаемой относительной погрешности измерений массы нефтепродуктов.
Знак поверки наносится на свидетельство о поверке СИКН, а также на пломбы, установленные на контровочных проволоках, согласно описанию типа СИКН.
К свидетельству о поверке на СИКН прикладывают:
-
- перечень автономных измерительных блоков, в который включают перечень ИК с указанием заводских номеров измерительных компонентов, входящих в состав ИК, и перечень измерительных компонентов, входящих в состав СИКН, с указанием их заводских номеров.
-
- протокол поверки на СИКН.
-
7.3 При поверке СИКН в части отдельного ИК при получении положительных результатов поверки оформляют свидетельство о поверке СИКН в части ИК в соответствии с действующим порядком проведения поверки СИ. Срок действия свидетельства о поверке СИКН в части отдельного ИК устанавливается до окончания срока действия основного свидетельства о поверке на СИКН.
-
7.4 При отрицательных результатах поверки выписывают извещение о непригодности в соответствии с установленным порядком.
Приложение А
(рекомендуемое)
Стр. _ из _
ПРОТОКОЛ ПОВЕРКИ №___________
Наименование средства измерений:_______________________________
Тип, модель, изготовитель:_________________________________________
Заводской номер:_________________________________________________
Владелец:__________________________________________________________
Наименование и адрес заказчика:__________________________________
Методика поверки:____________________________________________
Место проведения поверки:_______________________________________
Поверка выполнена с применением:______________________________
Условия проведения поверки:
Температура окружающей среды:_______________________________
Атмосферное давление:________________________________________
Относительная влажность:________________________________________
РЕЗУЛЬТАТЫ ПОВЕРКИ
А.1 Внешний осмотр: _______________________________________
(соответствует / не соответствует)
А.2 Подтверждение соответствия программного обеспечения ______________________
(соответствует / не соответствует)
3 Опробование: ____________________________
(соответствует / не соответствует)
А.4 Определение (контроль) метрологических характеристик
А.4.1 Проверка результатов поверки СИ (измерительных компонентов), входящих в состав
СИКН СИ (измерительные компоненты), входящих в состав СИКН, действующие знаки поверки и (или) свидетельства о поверки, и (или) запись в паспортах (формулярах)
(соответствует / не соответствует) *
А.4.2 Определение метрологических характеристик ИК объемного расхода нефтепродуктов
А.4.2.1 Протокол определения метрологических характеристик ИК объема и объемного расхода нефтепродуктов
Место проведения поверки___________________________________________________
наименование объекта (ПСП. НСП) и наименование владельца объекта
Преобразователь: тип (модель) ________________. DN________мм, PN_____МПа, зав. №_________.
установлен на________________________. ИД №_____. Рабочая жидкость________________
ПУ:_____________________________________, разряд__. зав. №_______, PN_____МПа. дата поверки______________
Таблица A.l - Исходные данные
Поверочной установки (ПУ) |
СОИ |
Преобразователя | ||||||||
Детекторы ПУ |
м3 |
^/7У’ % |
D, мм |
S, мм |
Е, МПа |
«Г. °C1 |
«Г. °C |
ПУ ’ °C |
°СОИ ’ % |
^ПР ’ °C |
1 |
2 |
3 |
4 |
5 |
6 |
7 |
8 |
9 |
11) |
п |
Таблица А.2 -Результаты измерений и вычислений
№ том/ № изм (f/i) |
Qt м3/ч |
Результаты измерений | ||||||||
Детекторы ПУ |
Г V’ с |
/ °C *1/ ’ v |
р/7У Г1/ ’ МПа |
ТОМ °C |
А. Гц |
V ’ °C |
р/7Р А ’ МПа |
имп | ||
1 |
2 |
3 |
4 |
5 |
6 |
7 |
8 |
9 |
10 |
11 |
1/1 | ||||||||||
l/rij | ||||||||||
m/l | ||||||||||
m/Пт |
Окончание таблицы А.2
№ точ/ № изм J/i |
Результаты измерений |
Результаты вычислений | |||||||||
Р» кг/м3 |
./7/7 °C |
рпп ГУ ’ МПа |
V сСт |
И" % rreij ’ /о об. ДОЛ. |
'7 ’ м3 |
имп/м3 |
ij |
CPLnv ij |
CTL™ |
CPLnP IJ | |
1 |
12 |
13 |
14 |
15 |
16 |
17 |
18 |
19 |
20 |
21 |
22 |
1/1 | |||||||||||
1/т | |||||||||||
m/l | |||||||||||
т/Пщ |
Таблица А.З - Значения коэффициентов, использованных при вычислениях
{(P,n) |
7 |
Таблица А.4 - Результаты поверки в точках рабочего диапазона
№ точки (/) |
Qj- M3/4 |
/,■ Гц |
sr % |
Kr имп/м3 |
£,- % |
^17 » % |
% |
i |
2 |
3 |
4 |
5 |
6 |
7 |
8 |
1 | |||||||
... | |||||||
m |
Примечание:
-
1. Значения расхода (м3/ч) записывают после округления до одного знака после запятой.
-
2. Количество импульсов (N, имп) измеряют и записывают с двумя знаками после запятой (т.е. с долями периодов), если N< 10 000. При 2V > 10 000 допускается значение N записывать без долей периодов.
-
3. Значения давления (МПа) и температуры (°C) рабочей жидкости записывают после округления до двух знаков после запятой.
-
4. Объемы рабочей жидкости, измеренные ПУ, (значения вместимостей калиброванного участка ПУ), м3 записывают после округления до шести значащих цифр.
-
5. Значения плотности рабочей жидкости (кг/м3) записывают после округления до пяти значащих цифр.
-
6. Вязкость записывают после округления её значения до одного знака для высоковязких нефтепродуктов.
-
7. Коэффициенты преобразования ПР(имп/м3) записывают после округления его значений, исходя от количества знаков, вводимых в память ИВК, используемой в составе СИКН.
-
8. Значения СКО (%) и погрешностей (%) записывают после округления до трех знаков после запятой.
А.4.2.2 Метрологические характеристики ИК объема и объемного расхода нефтепродуктов установленным в соответствии с п. 6.4.2 пределам ________________________
(соответствует / не соответ ств\ ет)
А.4.3 Определение метрологических характеристик ИК объемного расхода нефтепродуктов, установленного в БИК
Таблица А.5
№ измерения (i) |
Значение расхода, измеренное УРСВ, т/ч |
Значение плотности в момент проведения измерений, кг/ м3 |
Значение расхода, измеренное СРМ, т/ч |
Значение расхода, измеренное СРМ, м3/ч |
Относительная погрешность 5, % |
1 | |||||
2 | |||||
3 |
А.4.3.1 Максимальное значение относительной погрешности____________.
А.4.3.2 Метрологические характеристики ИК объема и объемного расхода нефтепродуктов, установленного в БИК _______________________
(соответствует / не соответствует)
АЛЛ Определение относительной погрешности измерений массы нефтепродуктов СИКН
Относительная погрешность измерений массы нефтепродуктов СИКН установленным в соответствии в соответствии с п. 6.4.3 пределам __________________________
(соответствует / не соответствует)
__________________ _______________ _________________ Дата поверки_____________________ должность лица, подпись Ф И О
проводившего поверку
Приложение Б (обязательное)
Определение метрологических характеристик ИК объема и объемного расхода нефтепродуктов
Б.1 Определение метрологических характеристик (MX) ИК объема и объемного расхода нефтепродуктов
Б. 1.1 Метрологические характеристики ПР и его градуировочную характеристику определяют при крайних значениях рабочего диапазона и значениях, выбранных внутри него.
Б. 1.2 При выборе количества точек внутри рабочего диапазона (разбиении рабочего диапазона на поддиапазоны) и размаха (величины) каждого конкретного поддиапазона расхода учитывают (размахи поддиапазонов могут быть разными):
-
- технические возможности ИВК, которой оснащена СИКН;
-
- величину рабочего диапазона.
Б. 1.3 Устанавливают требуемое значение расхода, начиная от нижнего предела рабочего диапазона (Qmin, м3/ч) в сторону увеличения или от Qmax (м3/ч) в сторону уменьшения.
Требуемый поверочный расход в каждой у-й точке устанавливают (Q"oe, м3/ч) и контролируют при движении поршня ПУ.
Б.1.3.1 После каждого прохода поршня ПУ проверяют значение расхода Q"oe по формуле
,пов

(Б.1)
где - вместимость калиброванного участка ПУ, приведенная к рабочим условиям в ПУ при z-м измерении при установлении поверочного расхода в у-й точке, м3. Определяют по формуле (Б.З);
T{j - время прохождения поршнем ПУ его калиброванного участка при z-м измерении при установлении поверочного расхода ву-й точке, с.
Примечания
При применении ПУ за время рекомендуется принимать среднее арифметическое значение времени (7}у-, с) за i-ю серию проходов поршня при установлении поверочного расхода ву-й точке.
Б. 1.3.2 Значение расхода Q"oe допускается определять по формуле (Б.2), используя вместимость калиброванного участка ПУ, определенную для стандартных условий Vo
(Уо = или Vo = V0Kn, м3) - из действующего свидетельства о поверке
Уо х 3600
(Б.2)
Б. 1.3.3 Вместимость определяют:



(Б.З)
Внимание! До определения вместимости калиброванного участка ПУ импортной поставки 2009 года и позднее следует обязательно ознакомиться с заводской документацией на ПУ, в первую очередь с протоколом (сертификатом) заводской калибровки ПУ.
Если при вычислениях вместимости калиброванного участка заводом (фирмой) — изготовителем использован диаметр калиброванного участка (D) без коэффициента «0,95», то в формулах (Б.З), далее и в формулах (Б.5) D следует применять с коэффициентом, равным «1».
где а"' - коэффициент линейного расширения материала стенок ПУ, °C1 (значение берут из таблицы Б3.1 приложения БЗ);
t™ - средняя температура рабочей жидкости в ПУ за z-oe измерение при установлении поверочного расхода ву-й точке, °C;
D - внутренний диаметр калиброванного участка ПУ, мм (из технического описания или паспорта);
5 - толщина стенок калиброванного участка ПУ, мм (из технического описания или паспорта);
Е - модуль упругости материала стенок калиброванного участка ПУ, МПа (значение согласно таблице Б3.1 приложения БЗ);
Л/7’ “ среднее давление рабочей жидкости в ПУ за z-oe измерение при установлении поверочного расхода в у-й точке, МПа;
а,”1 - коэффициент линейного расширения материала стержня ПУ, на котором установлены оптические сигнализаторы (детекторы), °C’1 (значение берут из таблицы Б3.1 приложения БЗ);
- средняя температура стержня ПУ, на котором установлены оптические сигнализаторы (детекторы), за z-ю серию проходов поршня при установлении поверочного расхода в у-й точке, °C.
Примечания Средние значения температуры и давления вычисляют:
Для каждой серии проходов поршня по алгоритму: а = —--,
где а - среднее арифметическое значение измеряемого параметра (t?" , или Р"1, или t‘w);
akjj — значение параметра (t/J, или Р™ , или ), измеренное за каждый А-й (единичный) проход поршня ПУ в z-й серии при установлении расхода ву-й точке;
/-количество единичных проходов поршня ПУ в z-й серии при установлении расхода ву-й точке.
Б. 1.3.4 При необходимости корректируют поверочный расход. Отклонение установленного поверочного расхода от требуемого (задаваемого) значения: не более 2,0 %.
Б. 1.4 После установления поверочного расхода и стабилизации температуры рабочей жидкости проводят серию измерений, последовательно запуская поршень ПУ.
Количество измерений в каждойу-й точке расхода («у): не менее 7-ми.
Примечания
Устанавливают количество единичных проходов поршня (/,>) для каждой i-й серии проходов (/-го измерения) ву-й точке. Принимают: 5 < /;. < 20.
Б. 1.5 Для каждого /-го измерения в каждойу-й точке расхода регистрируют (отсчитывают) и записывают в протокол (приложение А):
-
- количество импульсов, выдаваемых ПР (7V/y, имп);
-
- время движения поршня ПУ за период одного измерения (Ttj, с);
-
- значение расхода, определенное по Б. 1.3.1 (£?,,, м3/ч);
-
- частоту выходного сигнала ПР (/,, Гц);
-
- температуру (/ ,°С) и давление (Р/"’, МПа) в ПР;
-
- средние значения температуры (F/n ,°С) и давления (Pj” , МПа) рабочей жидкости в ПУ;
-
- среднюю температуру стержня, где установлены оптические переключатели -детекторы (С-7, °C);
-
- плотность рабочей жидкости, измеренную поточным ПП (/9у, кг/м3);
-
- температуру рабочей жидкости в поточном ПП (t"n ,°С);
-
- давление рабочей жидкости в поточном ПП (Р"п).
Примечания
-
1. За среднюю температуру стержня ПУ допускается принимать температуру окружающего воздуха.
-
2. За каждую i-ю серию проходов поршня определяют среднее арифметическое значение каждого из параметров (количество импульсов, выдаваемых ПР, температуру и давление в ПР и плотность рабочей жидкости, измеренную поточным ПП.)
Б.2 Определение коэффициентов преобразования ПР и оценивание СКО
Б.2.1 Для каждого /-го измерения в у-й точке рабочего диапазона определяют (вычисляют) коэффициент преобразования ПР (Ktj, имп/м3) по формуле


Vnv ij
(Б.4)
где К"' -объем рабочей жидкости, прошедшей через калиброванный участок ПУ (следовательно, и через ПР) за время /-го измерения ву-й точке и приведенный к рабочим условиям в ПР, м3. Определяют по Б.2.1.1.
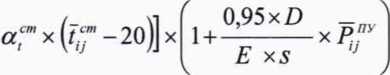
Б.2.1.1 Объем жидкости Р."' определяют по формуле:
-20)1х| 1+—хР" П I £xs " у
СТЬПУ х CPL™ Х CTL™ х CPL™ ’
где CTL™, CTL™ - поправочные коэффициенты, учитывающие влияние температуры рабочей
^=Г(,'”'х[1 + 2а,т'х^-20)
ст
(Б.5)
жидкости на её объемы, прошедшие через ПУ и ПР соответственно за /-е измерение в у-й точке расхода. Определяют (вычисляют) согласно приложению Б4.
CPL™, CPL™ - поправочные коэффициенты, учитывающие влияние давления рабочей
жидкости на её объемы, прошедшие через ПУ и ПР соответственно за /-е измерение в у-й точке расхода. Определяют (вычисляют) согласно приложению Б4.
согласно
Б.2.2 По результатам измерений и вычислений по Б.2.1 определяют значение коэффициента преобразования ПР ву-й точке расхода (К., имп/м3) по формуле


(Б.6)
где п t - количество серий проходов поршня.
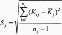
Б.2.3 Оценивают СКО в каждойу-й точке расхода (S'™, %) по формуле

х 100 < 0,02 .
(Б.7)
Б.2.4 Относительную погрешность контрольного преобразователя и составляющие относительной погрешности (случайную и систематическую составляющие) определяют при доверительной вероятности Р = 0,95.
Б.2.5 Определяют случайную составляющую погрешности контрольного преобразователя в точках расхода (£тн , %) по формуле

(Б.8)
где SJ™ - значение СКО, определенное по Б.2.3;
1{Р и) - квантиль распределения Стьюдента, зависящий от доверительной вероятности Р и количества измерений л (л = л/+лу+1); значение t(Pn} определяют из таблицы Б5.2 приложения Б5.
Б.2.6 Определяют систематическую составляющую погрешности контрольного преобразователя в точках расхода (0™., %) по формуле


(Б.9)
где Зпу - пределы допускаемой относительной погрешности ПУ согласно описанию типа (или из действующего свидетельства о поверке), %;
“ пределы допускаемой относительной погрешности СОИ при вычислениях коэффициента преобразований ПР (из описания типа или действующего свидетельства о поверке), %;
0t - составляющая систематической погрешности, обусловленная погрешностью измерений температуры рабочей жидкости в ПУ и ПР, % (определяют по Б.2.7);
Б.2.7 Составляющую систематической погрешности 0t (%) вычисляют по формуле где ртах - максимальное значение коэффициента объемного расширения рабочей жидкости из ряда значений, определенных по приложению Б1, °C1.


(Б.10)
Мпр и Д/Яу - пределы допускаемых абсолютных погрешностей датчиков температуры (или
термометров), используемых для измерений температуры рабочей жидкости в ПР и ПУ соответственно, °C (из описаний типа или действующих свидетельств о поверке).
Б.2.8 Определяют относительную погрешность контрольного ПР в точках расхода (,
%) по формуле

Z(P} +£j-), если
, если
Б.2.9 Проверяют выполнение условия:
0,8 <^-/^

<8,

< 0,10 %.
(Б.11)
(Б.12)
Б.2.10 Преобразователь к дальнейшему применению в качестве контрольного допускают, если выполняется условие (Б.12) во всех точках расхода.
Б.2.11 В случае невыполнения условия (Б.12) ПР к дальнейшему применению в качестве контрольного не допускают.
Определение коэффициентов объемного расширения (Дж) и сжимаемости (уж) рабочей жидкости
Коэффициенты объемного расширения и сжимаемости рабочей жидкости (Дж, °C'1 и уж , МПа'1 соответственно) определяют по реализованным в ИВК (или АРМ оператора) алгоритмам, разработанным согласно Р 50.2.076. или по таблицам Р 50.2.076.
Приложение Б2 (обязательное)
Установление и контроль значения расхода, используя результаты измерений ПР
Б2.1 При проведении операций согласно Б. 1.3.1 дополнительно регистрируют значение расхода жидкости (Q"r, м3/ч), измеренное ПР.
Б2.2 Для каждой j-й точки расхода вычисляют коэффициент коррекции расхода ки по формуле

j
где Qt - значение расхода, определенное по формуле А.2.
Б2.3 Вычисляют скорректированное значение расхода QKoppj (мУч) по формуле
(Б2.2)
Б2.4 Устанавливают значение поверочного расхода, определенное по Б2.3, принимая:

Коэффициенты линейного расширения материала стенок ПУ (а,"5), стержня (actm ), значения модуля упругости (£) материала стенок ПУ
Коэффициент линейного расширения материала стенок и стержня ПУ (а, и а™), значение модуля упругости материала стенок ПУ (£) определяют из таблицы БЗ.
Таблица БЗ - Коэффициенты линейного расширения (а,ш и actm ), значения модуля упругости (£) материала стенок ПУ
Материал стенок ПУ |
Значения а"', а'т, °C'1 |
Значения Е, МПа |
Сталь углеродистая |
11,2х 10‘6 |
2,068 х 105 |
Сталь легированная |
11,0 х IO 6 |
2,0 х 105 |
Сталь нержавеющая 17-4 |
10,8 х 10 6 |
1,965 х 105 |
Сталь нержавеющая 304 литая |
15,95 х 10’6 |
1,931 х 105 |
Сталь нержавеющая 304 |
17,3 х 10’6 |
1,931 х 105 |
Сталь нержавеющая 316 |
17,3 х IO 6 |
1,931 х 105 |
Инвар |
1,44 х 10'6 |
- |
Примечания
-
1. Если значения а^1, а™' и Е приведены в паспорте или техническом описании на ПУ (или в заводском сертификате калибровки ПУ), то при расчетах используют значения, указанные в одном из перечисленных документов.
-
2. Если в паспорте или техническом описании на ПУ (или в заводском сертификате калибровки
ПУ) приведен (указан) квадратичный коэффициент расширения цилиндра а*™ ( °C"1), то при расчетах по настоящей методике принимают: =0,5хд'*^ или 2а"' = а'^в.
Определение коэффициентов CTLw CPL, учитывающих влияние температуры и давления на объем рабочей жидкости
Б4.1 Коэффициент CTL , учитывающий влияние температуры на объем рабочей жидкости, вычисляют по формуле
C7Z = ехр{-/?,5 х(Гг -15) х [1+0,8Д15 х {tv -15)]} , (Б4.1)
где р 15 - коэффициент объемного расширения рабочей жидкости при температуре 15 °C, который определяют по Б4.2 (формула Б4.2), °C1;
ty - температура рабочей жидкости при измерении её объема, °C.
Б4.2 Коэффициент р определяют по формуле
Д, = К° + К>* Р'- + Кг, (Б4.2)
Р15
где Ко и К2 - коэффициенты, значения которых определяют из таблицы Б4.1;
р15 - плотность рабочей жидкости при температуре 15 °C и избыточном давлении равном нулю (Риз6 =0), т.е. при абсолютном давлении равном 0,1 МПа (Рабс =0,1 МПа), кг/м3.
Таблица Б4.1 - Значения коэффициентов Ко, Кх, К2 (из Р 50.2.076)
Рабочая жидкость |
*1 |
*2 | |
Топлива и керосины для реактивных двигателей, авиационное реактивное топливо ДЖЕТ А (788,0 < /915 < 838,7) |
594,54180 |
0,0000 |
0,0000 |
Дизельные топлива, мазуты, печные топлива (838,7 < р15 < 1163,9) |
186,96960 |
0,48618 |
0,0000 |
Б4.3 Коэффициент CPL , учитывающий влияние давления на объем рабочей жидкости, определяют по формуле
CPL =---------, (Б4.3)
1 - У, х
где - коэффициент сжимаемости рабочей жидкости при температуре измерения её объема, который определяют по Б4.4 (формула Б4.3), МПа1;
Ру - давление рабочей жидкости при измерении её объема, МПа.
Б4.4 Коэффициент у, определяют по формуле
у, = 10"3 х ехр (-1,62080 + 0,00021592 х Л + 87°^60 + .4209^ х Z<) . (Б4.4)
Р.5 Р.5
Б4.5 Плотность /915 и текущая плотность, измеренная поточным ПП (рпп), между собой связаны выражением
Pls=---—---, (Б4.5)
CTL* x CPL*
где CTL* и CPL* - коэффициенты по Б4.1 и Б4.3, но значения которых определены для температуры (tnn, °C) и давления (Рпп, МПа) рабочей жидкости в поточном ПП соответственно.
Б4.6 Зная значение плотности рпп и используя метод последовательных приближений, определяют значения коэффициентов CTL*, CPL* и значение плотности /?15 поБ4.6.1 + Б4.6.5.
Б4.6.1 По формулам (Б4.2) и (Б4.4) определяют значения /?15(|) и у,(1)(условно первые значения), при этом в этих формулах принимают: р15 = рпп, tv = tnn.
Б4.6.2 По формулам (Б4.1) и (Б4.3) вычисляют значения СТЦ и СРЦ (условно первые значения) соответственно, принимая в формуле (Б4.1): ty = tnn и р ,5 = /3 15(1), в формуле (Б4.3):
_ ?ПП И Zf —//(!)•
Б4.6.3 По формуле (Б4.5) вычисляют значение р|5(1) (условно первое значение), подставляя вместо значений CTL и CPL значения СГ£* и СРЦ, определенные по Б4.6.2.
Б4.6.4 Повторяют операции по Б4.6.1 -ь Б4.6.3.
По формулам (Б4.2) и (Б4.4) определяют значения /?15(2) и ун2), дополнительно в Б4.6.1 принимая: р15 = р15(1).
По формулам (Б4.1) и (Б4.3) вычисляют значения С ГД и CPL, , дополнительно в Б4.6.2 прини-мая: £15(1) = /?15(2) и у/(1)= у,(2).
По формуле (Б4.5) вычисляют значение принимая: СТЦ = CTL, и СР^= СРС.
Б4.6.5 Операции по вычислению значений плотности рх. прекращают по достижению условия
I Дад-Ая*-.) |^0,01, (Б4.6)
где к и (&-1) - порядковые номера вычислений (последнего и предпоследнего вычисления условно) значений плотности р15 .
Примечание - Операции по Б4.6.1 * Б4.6.5 проводят для каждого измерения.
Б4.7 Используя формулы (Б4.1) -ь (Б4.4) и вычисленное значение p15(Jt) определяют значения CTL™, CTL™, CPL™, CPL™. с учетом условий измерения объема, т.е. температуры (Д , °C) и давления (Ру, МПа) для каждого z-ro измерения в каждой j-й точке расхода.
В формулах (Б4.1), (Б4.3), (Б4.4) при определении CTL™, CPL™ принимают: tv = t™ и Pv = Р™, при определении СП,™’, CPL™ : tv = t™ (ty = t.™) и Py = P™ (Py = P™ ).
Примечание - Значения CTL и CPL допускается определять, используя алгоритмы, имеющиеся («зашитые») в ИВК.
Анализ результатов измерений, значения квантиля распределения Стьюдента и коэффициента Z<p>
Б5.1 Анализ результатов измерений для выявления промахов (при необходимости) проводят операции по Б5.1 Б5.4.
Б5.1.1 Определяют СКО результатов вычислений коэффициентов преобразования в каждой точке рабочего диапазона по формуле

(Б5.1)
Примечание - При Sj < 0,001 принимают Sj = 0, 001.
Б5.1.2 Для каждого измерения вычисляют соотношение по формуле

(Б5.2)
Б5.1.3 Из ряда вычисленных значений LT. для каждой точки расхода выбирают максимальное значение Ujmax, которое сравнивают с «Ь», взятой из таблицы Б5.1 в зависимости от значения «иу».
Таблица Б5.1 - Критические значения для критерия Граббса (ГОСТ Р ИСО 5725)
Л/ |
3 |
4 |
5 |
6 |
7 |
8 |
9 |
10 |
11 |
h |
1,155 |
1,481 |
1,715 |
1,887 |
2,020 |
2,126 |
2,215 |
2,290 |
2,355 |
Б5.1.4 Если Ujmax > h, то подозреваемый результат исключают из выборки как промах.
Примечани е - Допускается как промах исключать результат измерения, у которого K,j по значению наиболее (в большую или меньшую сторону) отличается от значений Лу других измерений в этой же точке расхода, не проводя анализ по Б5.1.1 Б5.1.3.
Таблица Б5.2 - Значения квантиля распределения Стьюдента t (ГОСТ 8.207)
иу- 1 |
3 |
4 |
5 |
6 |
7 |
8 |
9 |
10 |
12 |
0,95 |
3,182 |
2,776 |
2,571 |
2,447 |
2,365 |
2,306 |
2,262 |
2,228 |
2,179 |
Таблица Б5.3 - Значения коэффициента Z(p> при Р = 0,95 (МИ 2083)
^/S |
0,5 |
0,75 |
1 |
2 |
3 |
4 |
5 |
6 |
7 |
8 |
0,81 |
0,77 |
0,74 |
0,71 |
0,73 |
0,76 |
0,78 |
0,79 |
0,80 |
0,81 |
Определение метрологических характеристик ИК объема и объемного расхода нефтепродуктов, установленного в БИК
В.1 Для определения метрологических характеристик СРМ проводят следующие операции.
В. 1.1 Относительную погрешность СРМ определяют при трех значениях расхода нефтепродуктов в БИК: QMhh, О, 5Qm3kc и Самаке- проводя в каждой точке не менее трех измерении. Расход в каждой точке устанавливают с допускаемым отклонением не более ± 2%. Результаты измерений заносят в протокол, приведенный в приложении А.
В. 1.2 Если рабочее значение расхода нефтепродуктов в БИК в течение межкалибровочного интервала СРМ изменяется в пределах ± 2 %, допускается определять погрешность при рабочем значении расхода, проводя не менее трех измерений.
В.1.3 Относительную погрешность счетчика вычисляют по формуле: где Qc - значение массового расхода нефтепродуктов, измеренное СРМ, т/ч;
/Рс х 1000
<5 =-------100%,
(В.1)
Qp - значение объемного расхода нефтепродуктов, измеренное УРСВ. м3/ч;
р - значение плотности нефтепродуктов, измеренное ПП, установленным в БИК, в
момент проведения измерения расхода, кг/м3.
В. 1.4 Значение относительной погрешности результата каждого измерения объемного расхода нефтепродуктов в каждой точке расхода не должно превышать ± 5 %.
22