Методика поверки «ГСИ. Аппаратура геодезическая спутниковая EMLID REACH RS2» (МП АПМ 84-20)
СОГЛАСОВАНО
Генеральный директор
ООО «Автопрогресс-М»

А.С. Никитин
«02» февраля 2021 г.
Государственная система обеспечения единства измерений
Аппаратура геодезическая спутниковая EMLID REACH RS2
МЕТОДИКА ПОВЕРКИ МП АПМ 84-20г. Москва, 2021 г.
1 Общие положения
Настоящая методика поверки распространяется на аппаратуру геодезическую спутниковую EMLID REACH RS2. производства «Emlid Limited». КНР (далее - аппаратуру) и устанавливает методику ее первичной и периодической поверки.
Выполнение всех требований настоящей методики обеспечивает прослеживаемость поверяемого средства измерений к следующим государственным первичным эталонам:
ГПСЭ единицы длины в диапазоне до 4000 км
Интервал между поверками - 1 год.
2 Перечень операций поверки средств измерений
При проведении поверки средств измерений (далее - поверка) должны выполняться операции, указанные в таблице 1.
Таблица 1 - Операции поверки
№ п/п |
Наименование операции |
№ пункта документа по поверке |
Проведение операций при | |
первичной поверке |
периодичес кой поверке | |||
1 |
Внешний осмотр средства измерений |
7 |
Да |
Да |
2 |
Подготовка к поверке и опробование средства измерений |
8 |
Да |
Да |
3 |
Проверка программного обеспечения средства измерений |
9 |
Да |
Да |
4 |
Определение метрологических характеристик |
10 |
- |
- |
4.1 |
Определение диапазона и абсолютной погрешности измерений длин базисов в режиме «Статика» |
10.1 |
Да |
Да* |
4.2 |
Определение диапазона и абсолютной и погрешности измерений длин базисов в режиме «Кинематика с постобработкой» |
10.2 |
Да |
Да* |
4.3 |
Определение диапазона и абсолютной и погрешности измерений длин базисов в режиме «Кинематика в реальном времени (RTK)» |
10.3 |
Да |
Да* |
4.4 |
Определение диапазона и абсолютной погрешности измерений длин базисов в режиме «Дифференциальные кодовые измерения (dGPS)» |
10.4 |
Да |
Да* |
4.5 |
Определение абсолютной погрешности определения координат в режиме «Автономный» |
10.5 |
Да |
Да* |
* В случае применения аппаратуры для работ, не требующих использования всех измерительных каналов при периодической поверке по письменному заявлению владельца СИ допускается поверка аппаратуры по сокращенному числу измерительных каналов с обязательным указанием в свидетельстве о поверке информации об объеме проведенной поверки.
3 Требования к условиям проведения поверки
При проведении поверки должны соблюдаться, следующие условия измерений:
- температура окружающей среды, °C от -20 до +65
4 Требования к специалистам, осуществляющим поверку
К проведению поверки допускаются лица, изучившие эксплуатационную документацию на аппаратуру и средства поверки, и аттестованные в качестве поверителя средств измерений в установленном порядке.
5 Метрологические и технические требованиям к средствам поверки
При проведении поверки должны применяться эталоны и вспомогательные средства поверки, приведенные в таблице 2.
Таблица 2 - Средства поверки
№ пункта документа по поверке |
Наименование эталонов, вспомогательных средств поверки и их основные метрологические и технические характеристики |
7.1 |
Эталоны не применяются |
7.2 | |
7.3.1 |
Фазовый светодальномер (тахеометр) или эталонный базисный комплекс 2 разряда в соответствии с Государственной поверочной схемой для координатно-временных средств измерений, утверждённой Приказом Госстандарта от 29.12.2018 г. №2831. Вспомогательные средства измерений: Рулетка измерительная металлическая (0 - 3) м. КТ 3 в соответствии с Государственной поверочной схемой для средств измерений длины в диапазоне от 110‘9 до 100 м. утверждённой Приказом Росстандарта от 29.12.2018 г. №2840 |
7.3.2 | |
7.3.3 | |
7.3.4 | |
7.3.5 |
Имитатор сигналов СН-3803М. Госреестр № 54309-13. пределы среднего квадратического отклонения случайной составляющей основной погрешности формирования беззапросной дальности до спутников глобальных навигационных систем ГЛОНАСС и GPS:
или рабочий эталон координат местоположения, предел допускаемой погрешности хранения абсолютных координат не более 0.02 м |
Допускается применять другие средства поверки, обеспечивающие определение метрологических характеристик с точностью, удовлетворяющей требованиям настоящей методики поверки.
6 Требования (условия) по обеспечению безопасности проведения поверки
При проведении поверки, меры безопасности должны соответствовать требованиям по технике безопасности согласно эксплуатационной документации на аппаратуру и поверочное оборудование, правилам по технике безопасности, действующим на месте проведения поверки, а также правилам по технике безопасности при производстве топографо-геодезических работ ПТБ-88 (Утверждены коллегией ГУГК при СМ СССР 09.02.1989 г.. № 2/21).
7 Внешний осмотр средства измерении
При внешнем осмотре должно быть установлено соответствие аппаратуры следующим требованиям:
-
- отсутствие механических повреждений и других дефектов, влияющих на эксплуатационные и метрологические характеристики аппаратуры;
-
- наличие маркировки и комплектности, необходимой для проведения измерений, согласно требованиям эксплуатационной документации на аппаратуру.
Если хотя бы одно из перечисленных требований не выполняется, прибор признают непригодным к применению, дальнейшие операции поверки не производят.
8 Подготовка к поверке и опробование средства измерений
-
8.1 Перед проведением поверки должны быть выполнены следующие подготовительные работы:
-
- проверить наличие действующих свидетельств о поверке на эталонные средства измерений;
-
- аппаратуру и средства поверки привести в рабочее состояние в соответствии с их эксплуатационной документацией.
-
- аппаратура должна быть установлена на специальных основаниях (фундаментах) или штативах, не подвергающихся механическим (вибрация, деформация, сдвиги) и температурным воздействиям.
-
8.2 При опробовании должно быть установлено соответствие аппаратуры следующим требованиям:
-
- отсутствие качки и смещений неподвижно соединенных деталей и элементов аппаратуры:
-
- правильность взаимодействия с комплектом принадлежностей:
-
- работоспособность всех функциональных режимов.
9 Проверка программного обеспечения средства измерений
Проверку идентификационных данных программного обеспечения (далее - ПО) проводить следующим образом:
- для идентификации ПО «ReachView». необходимо с помощью кабеля передачи данных или подключившись по сети Wi-Fi установить соединение контроллера или ПК с аппаратурой геодезической спутниковой EMLID REACH RS2 введя в браузере: http://192.168.42.1. В открывшемся окне программы нажать на экранною кнопку Чг>. на экране отооразится версия установленного программного обеспечения.

Control panel
Ф
ЧеасЬ'Лел locates
.тл;-■ У2.16.г vi. »<e up Pate’
Епэйе development bu ids tp tr. c.-. : testates’
Gm eatry ferfsaih - iet да. fenpy, what wu tfuns and help mste Re»” e.er. pettat
Enable dev updates
System utilities
Night mod»
■irnoH LEDs to ~ ow e Reset es; noticeable и
ает
- для идентификации ПО «RTKLIB», установленного на ПК. необходимо запустить ПО. версия ПО отобразится на главном экране.

Номер версии должен соответствовать данным приведенным в таблице 3.
Таблица 3
Идентификационные данные! признаки) |
Значение | |
Идентификационное наименование ПО |
Reach View. |
RTKLIB |
Номер версии (идентификационный номер ПО) |
не ниже 2.24.2 |
не ниже 2.4.2 |
-
10 Определение метрологических характеристик средства измерений
10.1 Определение диапазона и абсолютной погрешности измерений длин базисов в режиме «Статика»
Диапазон и абсолютная погрешность измерений длин базисов в режиме «Статика» определяются п\тем многократных измерений (не менее 5) эталонного базисного комплекса 2 разряда или контрольной длины базиса, определённой фазовым светодальномером (тахеометром) 2 разряда в соответствии с Государственной поверочной схемой для координатно-временных средств измерений, утверждённой Приказом Госстандарта от 29.12.2018 г. №2831 и действительное значение которого расположено в диапазоне от 0 до 30 км.
Установить поверяемую аппаратуру над центрами пунктов базиса и привести ее спутниковые антенны к горизонтальной плоскости.
Измерить высоту установки антенн аппаратуры с помощью рулетки.
Включить аппаратуру и настроить ее на сбор данных (измерений) в соответствующем режиме измерений согласно требованиям руководства по эксплуатации.
Убедиться в правильности функционирования и отсутствии помех приему сигнала со спутников.
Провести измерения на поверяемой аппаратуре при условиях, указанных в таблице 4 настоящей методики.
Таблица 4
Р е ж и м измерен и й |
Кол-во спутников, шт. |
Время измерений, мин |
Интервал между эпохами, с. |
Статика |
>6 |
от 20 до 60 |
1 |
Кинематика. Кинематика в реальном времени (RTK) |
от 0.05 до 0.20 | ||
Дифференциальные кодовые измерения (DGPS)» | |||
Измерение координат на неподвижном основании |
120 | ||
Поверка проводится при устойчивом закреплении поверяемой аппаратуры, открытом небосводе, отсутствии электромагнитных помех и многолучевого распространения сигнала спутников, а также при хорошей конфигурации спутниковых группировок. |
Выключить аппаратуру согласно требованиям руководства по эксплуатации.
При использовании контрольных длин базиса, ещё раз измерить эталонным тахеометром их значения. Результат измерений не должен отличаться от значения Lt , полученного до начала съёмки аппаратурой, более чем на величину погрешности, приписанную эталонному дальномеру. В случае если измеренная длина отличается от значения £ . полученного до начала съёмки аппаратурой, более чем на величину погрешности, необходимо повторить съёмку аппаратурой заново.
Провести обработку данных с использованием штатного ПО к аппаратуре.
Абсолютная погрешность измерений длины базиса для больших длин определяется в режиме «Статика»по приращению координат замкнутой фигуры (треугольника), длины сторон которой находятся в диапазоне от 3 км до 30 км, в соответствии с п. 6.4. МИ 2408-97 «Аппаратура пользователей космических навигационных систем геодезическая. Методика поверки».
Следует последовательно устанавливать аппаратуру на пунктах, образующих треугольник и согласно руководству по эксплуатации выполнить измерения и вычислить приращения координат между пунктами.
10.2 Определение диапазона и абсолютной погрешности измерений длин базисов в режиме «Кинематика с постобработкой»
Диапазон и абсолютная погрешность измерений длин базисов в режиме «Кинематика с постобработкой» определяются путем многократных измерений (не менее 10) эталонного базисного комплекса 2 разряда или контрольной длины базиса, определённой фазовым светодальномером (тахеометром) 2 разряда в соответствии с Государственной поверочной схемой для координатно-временных средств измерений, утверждённой Приказом Росстандарта от 29.12.2018 г. №2831 и действительное значение которого расположено в диапазоне от 0 до 30 км.
Установить поверяемую аппаратуру над центрами пунктов базиса и привести ее спутниковые антенны к горизонтальной плоскости.
Измерить высоту' установки антенн аппаратуры с помощью рулетки.
Включить аппаратуру и настроить ее на сбор данных (измерений) в соответствующем режиме измерений согласно требованиям руководства по эксплуатации.
Измерить высоту установки антенн аппаратуры с помощью рулетки.
Убедиться в правильности функционирования и отсутствии помех приему сигнала со спутников.
Провести измерения на поверяемой аппаратуре при условиях, указанных в таблице 4 настоящей методики.
Выключить аппаратуру согласно требованиям руководства по эксплуатации.
Абсолютная погрешность измерений длины базиса для больших длин определяется в режиме «Кинематика с постобработкой» по приращению координат замкнутой фигуры (треугольника), длины сторон которой находятся в диапазоне от 3 км до 30 км. в соответствии с п. 6.4. МИ 2408-97 «Аппаратура пользователей космических навигационных систем геодезическая. Методика поверки».
Следует последовательно устанавливать аппаратуру на пунктах, образующих треугольник и согласно руководству по эксплуатации выполнить измерения и вычислить приращения координат между пунктами.
10.3 Определение диапазона и абсолютной погрешности измерений длин базисов в режиме «Кинематика в реальном времени (RTK)»
Диапазон и абсолютная погрешность измерений длин базисов в режиме «Кинематика в реальном времени (RTK)» определяются путем многократных измерений (не менее 10) эталонного базисного комплекса 2 разряда или контрольной длины базиса, определённой фазовым светодальномером (тахеометром) 2 разряда в соответствии с Государственной поверочной схемой для координатно-временных средств измерений, утверждённой Приказом Росстандарта от 29.12.2018 г. №2831 и действительное значение которого расположено в диапазоне от 0 до 30 км.
Установить поверяемую аппаратуру над центрами пунктов базиса и привести ее спутниковые антенны к горизонтальной плоскости.
Измерить высоту установки антенн аппаратуры с помощью рулетки.
Включить аппаратуру и настроить ее на сбор данных (измерений) в соответствующем режиме измерений согласно требованиям руководства по эксплуатации.
Измерить высоту' установки антенн аппаратуры с помощью рулетки.
Убедиться в правильности функционирования и отсутствии помех приему сигнала со спутников.
Провести измерения на поверяемой аппаратуре при условиях, указанных в таблице 4 настоящей методики.
Выключить аппаратуру согласно требованиям руководства по эксплуатации.
Абсолютная погрешность измерений длины базиса для больших длин определяется в режиме «Кинематика в реальном времени (RTK)» по приращению координат замкнутой фигуры (треугольника), длины сторон которой находятся в диапазоне от 3 км до 30 км. в соответствии с п. 6.4. МИ 2408-97 «Аппаратура пользователей космических навигационных систем геодезическая. Методика поверки».
Следует последовательно устанавливать аппаратуру на пунктах, образующих треугольник и согласно руководству по эксплуатации выполнить измерения и вычислить приращения координат между пунктами.
10.4 Определение диапазона и абсолютной погрешности измерений длин базисов в режиме «Дифференциальные кодовые измерения (dGPS)»
Диапазон и абсолютная погрешность измерений длин базисов в режиме «Дифференциальные кодовые измерения (dGPS)» определяются путем многократных измерений (не менее 10) эталонного базисного комплекса 2 разряда или контрольной длины базиса, определённой фазовым светодатьномером (тахеометром) 2 разряда в соответствии с Государственной поверочной схемой для координатно-временных средств измерений, утверждённой Приказом Росстандарта от 29.12.2018 г. №2831 и действительное значение которого расположено в диапазоне от 0 до 30 км.
Установить поверяемую аппаратуру над центрами пунктов базиса и привести ее спутниковые антенны к горизонтальной плоскости.
Измерить высолу установки антенн аппаратуры с помощью рулетки.
Включить аппаратуру и настроить ее на сбор данных (измерений) в соответствующем режиме измерений согласно требованиям руководства по эксплуатации.
Убедиться в правильности функционирования и отсутствии помех приему сигнала со спутников.
Провести измерения на поверяемой аппаратуре при условиях, указанных в таблице 4 настоящей методики.
Выключить аппаратуру согласно требованиям руководства по эксплуатации.
Абсолютная погрешность измерений длины базиса для больших длин определяется в режиме «Дифференциальные кодовые измерения (dGPS)» по приращению координат замкнутой фигуры (треугольника), длины сторон которой находятся в диапазоне от 3 км до 30 км. в соответствии с п. 6.4. МИ 2408-97 «Аппаратура пользователей космических навигационных систем геодезическая. Методика поверки».
Следует последовательно устанавливать аппаратуру на пунктах, образующих треугольник и согласно руководству по эксплуатации выполнить измерения и вычислить приращения координат между пунктами.
10.5 Определение абсолютной погрешности определения координат в режиме «Автономный»
Определение абсолютной погрешности определения координат режиме «Автономный» определяется с помощью имитатора сигналов космических навигационных систем ГЛОНАСС/GPS. Измерения следует выполнять в соответствии с руководством по эксплуатации при моделировании имитатором сигналов условий (сценария) неподвижности аппаратуры.
Собрать схему измерений с имитатором сигналов в соответствии с рисунком 1:

Рисунок 1 - Схема измерений
-
1 - переизлучающая антенна;
-
2 - экранированная камера (из состава имитатора сигналов)
Составить сценарий имитации с параметрами, приведенными в таблице 5. Отслеживать значение геометрического фактора PDOP (не должно превышать 3).
Таблица 5
Наименование параметра имитации |
Значение параметра имитации |
Формируемые спутниковые навигационные сигналы |
ГЛОНАСС и GPS (код С/А без SA) |
Продолжительность |
120 мин. |
Количество каналов: ГЛОНАСС GPS |
о© оо |
Параметры среды распространения навигационных сигналов: тропосфера ионосфера |
отсутствует присутствует |
Координаты в системе координат WGS-84:
|
60°00'000000 N 030°00'000000 Е 100.00 18.00 |
Запустить сценарий имитации.
Включить образцы аппаратуры и настроить их на сбор данных (измерений) в необходимом режиме согласно требованиям руководства по эксплуатации. Настроить образцы аппаратуры на выдачу результатов измерений в протоколе NMEA. Осуществить запись измерений в формате NMEA сообщений с частотой 1 Гц в течение 120 минут, при условиях, указанных в таблице 4.
Выключить аппаратуру согласно требованиям руководства по эксплуатации.
Провести постобработку собранных данных с помощью прикладного ПО на ПК.
11. Подтверждение соответствия средства измерений метрологическим требованиям
11.1 Определение диапазона и абсолютной погрешности измерений длин базисов в режиме «Статика»
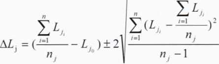
Абсолютная погрешность измерений каждой длины базиса (при доверительной вероятности 0.95) определяется как сумма систематической и случайной погрешностей по формуле:
и

где ЛЛ; - погрешность измерений / длины базиса в плане/по высоте, мм:
L, - эталонное значение / длины базиса в плане/по высоте, мм;
7о J
L - измеренное поверяемой аппаратурой значение j длины базиса / измерением в плане/по высоте, мм;
/7, - число измерений /длины базиса.
Значения абсолютной погрешности (при доверительной вероятности 0.95) измерений для каждой из длин базиса в режиме «Статика» не должны превышать значений, указанных в Приложении А к настоящей методике поверки.
Сумма приращений координат (невязка координат) не должна превышать значений, вычисленных по формуле:


где H'xr.Z - невязка координат в плане/по высоте, мм:
- допустимые значения погрешности приращений координат для i стороны треугольника в плане/по высоте, мм. приведенных в Приложении А к настоящей методике поверки.
11.2 Определение диапазона и абсолютной погрешности измерений длин базисов в режиме «Кинематика с постобработкой»
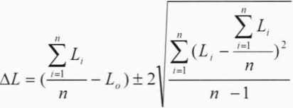
Абсолютная погрешность измерений длины базиса (при доверительной вероятности
0.95) определяется как сумма систематической и случайной погрешностей по формуле:

где AZ - погрешность измерений длины базиса в плане/по высоте, мм:
£0 - эталонное значение длины базиса в плане/по высоте, мм:
L. - измеренное аппаратурой значение длины базиса / измерением в плане/по высоте, мм:
и - число измерений длины базиса.
Значения абсолютной погрешности (при доверительной вероятности 0.95) погрешности измерений длины базиса в режиме «Кинематика с постобработкой», не должны превышать значений, указанных в Приложении А к настоящей методике поверки.
Сумма приращений координат (невязка координат) не должна превышать значений, вычисленных по формуле:
«'i.K.z = |(д1хгх)2 + (д2х„)2 + (Д3х„г .
где - невязка координат в плане/по высоте, мм:
- допустимые значения погрешности приращений координат для i стороны треугольника в плане/по высоте, мм. приведенных в Приложении А к настоящей методике поверки.
11.3 Определение диапазона и абсолютной погрешности измерений длин базисов в режиме «Кинематика в реальном времени (RTK)»
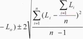
Абсолютная погрешность измерений длины базиса (при доверительной вероятности
0.95) определяется как сумма систематической и случайной погрешностей по формуле:
п
Д£ = (-!^—
И

где AZ. - погрешность измерений длины базиса в плане/по высоте, мм:
£() - эталонное значение длины базиса в плане/по высоте, мм:
Д - измеренное аппаратурой значение длины базиса i измерением в плане/по высоте, мм;
п - число измерений длины базиса.
Значения абсолютной погрешности (при доверительной вероятности 0.95) и средней квадратической погрешности измерений длины базиса в режиме «Кинематика в реальном времени (RTK)» не должны превышать значений, указанных в Приложении А к настоящей методике поверки.
Сумма приращений координат (невязка координат) не должна превышать значений, вычисленных по формуле:

где у - - невязка координат в плане/по высоте, мм:
Д;..... - допустимые значения погрешности приращений координат для i стороны треугольника в плане/по высоте, мм. приведенных в Приложении А к настоящей методике поверки.
11.4 Определение диапазона и абсолютной погрешности измерений длин базисов в режиме «Дифференциальные кодовые измерения (dGPS)»
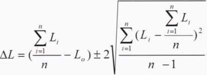
Абсолютная погрешность измерений длины базиса (при доверительной вероятности 0.95) определяется как сумма систематической и случайной погрешностей по формуле:

где AZ - погрешность измерений длины базиса в плане/по высоте, мм;
Lo - эталонное значение длины базиса в плане/по высоте, мм:
L, - измеренное аппаратурой значение длины базиса i измерением в плане/по высоте, мм:
п - число измерений длины базиса.
Значения абсолютной погрешности (при доверительной вероятности 0.95) измерений длины базиса в режиме «Дифференциальные кодовые измерения (dGPS)» не должны превышать значений, указанных в Приложении А к настоящей методике поверки.
Сумма приращений координат (невязка координат) не должна превышать значений, вычисленных по формуле:
= к^2+(ч™)2+(ч«)2 >
N
где И у 2 - невязка координат в плане/по высоте, мм;
Д._____ - допустимые значения погрешности приращений координат для i стороны
треугольника в плане/по высоте, мм. приведенных в Приложении А к настоящей методике поверки.
11.5 Определение абсолютной погрешности определения координат в режиме «Автономный»
Абсолютная погрешность измерения вычисляется как сумма систематической и случайной погрешности по выражению:
п

^х.г.н *
пх

/=|
W

&ху н ~ погрешность измерений координат X. Y. Н. мм:
50 v j .. - эталонные значения координат X. Y, Н задаваемые имитатором сигналов, мм:
5, - измеренные аппаратурой значения координат X. Y. Н. мм:
"vj .я ‘ число измерений координат X. Y Н.
Примечание.
X.Y - прямоугольные координаты, полученные преобразованием сферических координат (широта, долгота.) по алгоритму ГОСТ Р 51 ~94-2008 «Системы координат. Методы преобразований координат определяемых точек»
Значение абсолютной погрешности (при доверительной вероятности 0.95) определения координат на неподвижном основании не должно превышать значений, указанных в Приложении А к настоящей методике поверки.
Если хотя бы одно из перечисленных требований не выполняется, аппаратуру признают непригодной к применению.
12 Оформление результатов поверки
-
12.1 Результаты поверки оформляются протоколом, составленным в виде сводной таблицы результатов поверки по каждому пункту разделов 7-10 настоящей методики поверки.
-
12.2 Сведения о результатах поверки средств измерений в целях подтверждения поверки должны быть переданы в Федеральный информационный фонд по обеспечению единства измерений.
-
12.3 При положительных результатах поверки аппаратура признается пригодной к применению и по заявлению владельца средств измерений или лица, представляющего средства измерений на поверку выдается свидетельство о поверке установленной формы. Нанесение знака поверки на средство измерений не предусмотрено.
-
12.4 При отрицательных результатах поверки, аппаратура признается непригодной к применению и по заявлению владельца средств измерений или лица, представляющего средства измерений на поверку выдаётся извещение о непригодности установленной формы с указанием основных причин.
Руководитель отдела
К.А. Ревин
ООО «Автопрогресс - М»
Пр вложение А(Обязательное)
Метрологические характеристикиТаблица А.1 - Метрологические характеристики
Наименование характеристики |
Значение |
Диапазон измерений длин базисов, м |
от 0 до 30000 |
Границы допускаемой абсолютной погрешности измерений длины базиса (при доверительной вероятности 0.95) в режимах:
|
±2(4.0+I,010"6-L) ±2(8.0+1.010*-L) ±2(7,0+l,010<L) ±2(14,0+l,010_6L) ±2-(7.0+1.0-10'6L) ±2(14,0+1.010’6L) 600 1200 |
Границы допускаемой абсолютной погрешности измерения координат (при доверительной вероятности 0.95). мм. в режиме: - «Автономный»:
|
3300 4200 |
где L - длина измеряемого базиса в мм |