Методика поверки «ВЕСЫ ЛАБОРАТОРНЫЕ GX ФИРМЫ "A&D Co.LTD"» (20325-06)
УТВЕРЖДАЮ
Руководитель ГЦИ СИ ФГУП «ВНИИМС»
...../° А”/ Г. Г'\ С'~ ’
Г О/
------... В.Н. Яншин
2006 г.
\v< ' V 1
\\\ ,
Ч-?ВЕСЫ ЛАБОРАТОРНЫЕ GX
ФИРМЫ «A&D Co.LTD», ЯПОНИЯ.
МЕТОДИКА ПОВЕРКИ
Москва
2006 г.
Настоящая методика поверки распространяется на весы лабораторные GX фирмы «A&D Со.LTD», Япония, и устанавливает методику их первичной и периодической поверок.
Межповерочный интервал - 1 год.
1 ОПЕРАЦИИ И СРЕДСТВА ПОВЕРКИ-
1.1 При проведении поверки должны быть выполнены следующие операции и применены средства измерений с характеристиками, указанными в таблице 1.
Таблица 1
|
Наименование операции |
Номер пункта методики |
Средства поверки и их технические характеристики |
|
1. Внешний осмотр |
4.1 | |
|
2. Опробование |
4.2 | |
|
3. Определение погрешности взвешивания |
4.3 |
Гири класса точности Ег по ГОСТ 7328-2001. Номинальные значения массы гирь указаны в Прило-жении 2. |
|
4. Определение размаха показаний и непостоянства показаний ненагруженных весов |
4.4 | |
|
5. Определение независимости показаний весов от положения груза на чашке |
4.5 | |
|
6. Определение среднего квадратического отклонения показаний весов (СКО) |
4.6 | |
|
7 Определение диапазона выборки массы тары |
4.7 |
При проведении поверки должны быть соблюдены следующие требования безопасности: при включении весов в сеть запрещается снимать кожух и вести ремонтные и пусконаладочные работы;
поверка весов со снятым кожухом запрещается.
3. УСЛОВИЯ ПОВЕРКИ И ПОДГОТОВКА К НЕЙПри проведении поверки должны быть соблюдены следующие условия: температура воздуха в помещении должна быть (20 ± 5) °C; относительная влажность воздуха в помещении от 30 до 80 %; изменение температуры воздуха в помещении в течение 1 часа не должно превышать 2 °C;
весы не следует устанавливать вблизи отопительных систем и окон, не защищенных теплоизоляцией;
весы должны быть установлены на прочных лабораторных столах;
время выдержки распакованных весов в лабораторном помещении перед началом поверки должно быть не менее 12 часов;
перед проведением поверки весы должны быть включены в сеть и выдержаны во включенном состоянии согласно времени, указанному в руководстве по эксплуатации;
перед проведением поверки весы должны быть установлены по уровню.
4. ПРОВЕДЕНИЕ ПОВЕРКИ4.1. Внешний осмотр
При внешнем осмотре должно быть установлено соответствие весов следующим требованиям:
обеспечение сохранности надписей и лакокрасочных покрытий;
наличие маркировки и комплектующих изделий согласно комплекту поставки; отсутствие видимых повреждений сборочных единиц, электромонтажа, целостность соединительных кабелей.
-
4.2 Опробование
Подключить весы к сети питания. На табло устанавливаются нулевые показания. Изображение цифр и символов на дисплее должно быть четким.
-
4.3 Определение погрешности взвешивания
Погрешность взвешивания весов определяют при нагружении весов поочередно гирями, номинальное значение массы которых указанно в Приложении 2, в следующей последовательности:
а) установить нулевые показания весов на табло;
б) поместить гирю в центр чашки весов, у весов, имеющих ветрозащитные витрины, закрыть дверцу витрины;
в) снять показания весов после их стабилизации;
г) снять гирю с чашки, у весов, имеющих ветрозащитные витрины, закрыть дверцу витрины, дождаться установления показаний;
д) выполнить операции по п. и. а) -г) для следующих нагрузок.
Погрешность взвешивания следует определять, как разность между показаниями весов и действительным значением массы эталонных гирь, помещенных на чашку весов по формуле:
Ai Lpi Vi s (1)
где LPi - показание весов,
г, - действительное значение массы эталонных гирь, помещенных на чашку весов.
Погрешность взвешивания не должна превышать допустимых значений погрешности, указанных в Приложении 1.
-
4.4 Размах показаний при НПВ и непостоянство показаний ненагруженных весов определяют в следующей последовательности:
а) установить нулевые показания весов на табло;
б) на чашку в центр поместить гири, по массе соответствующие НПВ (Приложение 2) и зафиксировать показания весов.
Эту операцию повторяют пять раз. После этого определяется положение равновесия ненагруженных весов.
За размах показаний Др принимают наибольшую разность между показаниями нагруженных весов:
Др = Lp max - Lp min, (2)
где Lp max, Lp min - наибольшее и наименьшее показания нагруженных весов.
Непостоянство показаний ненагруженных весов соответствует разности между положениями равновесия ненагруженных весов в конце и начале их испытаний.
-
4.5 Определение независимости показаний весов от положения груза на чашке.
Независимость показаний весов от положения груза на чашке определяют гирями, номинальное значение массы которых указанно в Приложении 2. Устанавливают нулевые показания на табло и помещают гирю (гири) в центр чашки, а затем поочередно на каждую четверть чашки, при этом гиря (гири) не должна выходить за пределы контура чашки. При каждом положении гири (гирь) на чашке снимают показание весов, при этом дверца витрины должна быть закрытой. Операцию поверки проводят дважды.
Погрешность взвешивания определяют как наибольшую разность между показаниями весов при смещенном от центра положении гири (гирь) на чашке и показанием весов при центральном положении гири (гирь) по формуле:
Лр = (3)
где Li - показание весов при смещенном от центра положении гири (гирь),
L\ - показание весов при центральном положении гири (гирь).
Погрешность взвешивания не должна превышать допустимых значений погрешности, указанных в Приложении 1.
-
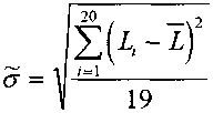
4.6 Определение среднего квадратического отклонения показаний весов
Среднее квадратическое отклонение (СКО) показаний весов определяют при нагрузках, указанных в Приложении 2, в следующей последовательности:
а) установить нулевые показания весов на табло;
б) снять 1-е показание весов без нагрузки Lof,
в) поместить гирю в центр чашки весов;
г) снять 1-е показание весов с нагрузкой - Lpf
д) снять гирю, снять 2-е показание весов без нагрузки - L02 J
е) вновь поместить гирю в центр чашки весов;
ж) вновь снять 2-е показания весов с нагрузкой - LP2;
з) операции повторить до получения 20 показаний весов без нагрузки и 20 показаний с нагрузкой.
Затем вычисляют разности показаний нагруженных и ненагруженных весов по формуле:
Li, =Lpi - Lot (4)
где i = 1, 2, 3...20.
Просуммировав полученные разности Z, и поделив полученную сумму на 20 , находят среднее арифметическое значение разностей показаний L :
20
Zi,
L.
/=1
20
(5)
Затем по формуле:

(6)
вычисляют среднее квадратическое отклонение (СКО) показаний весов.
Среднее квадратическое отклонение показаний весов не должно превышать значений, указанных в Приложении 1.
-
4.7 Определение диапазона выборки массы тары.
Определение диапазона выборки массы тары производится при значениях массы тары, указанных в Приложении 2, в следующей последовательности:
а) установить нулевые показания весов на табло;
б) поместить гирю в центр чашки весов;
в) ввести значение массы тары;
г) нагружать весы гирями, значения массы которых указанны в Приложении 2.
Погрешность взвешивания следует определять, как разность между показаниями весов и действительным значением массы эталонных гирь, помещенных на чашку весов по формуле (1).
Погрешность взвешивания не должна превышать допустимых значений погрешности, указанных в Приложении 1.
5 ОФОРМЛЕНИЕ РЕЗУЛЬТАТОВ ПОВЕРКИ-
5.1 При положительных результатах поверки выдается свидетельство о поверке установленной формы.
-
5.2 В случае отрицательных результатов поверки весы к применению не допускают, на них выдают извещение о непригодности с указанием причины.
Нач. отдела

В.Н. Назаров
З.И. Осока
ФГУП «ВНИИМС»
Инженер
ФГУП «ВНИИМС»
Приложение 1 Таблица 1
|
Наименование характеристик |
Модификация весов | |||||||||
|
GX-200 |
GX-400 |
GX-600 |
GX-800 |
GX-1000 |
GX-2000 |
GX-4000 |
GX-6100 |
GX-6000 |
GX-8000 | |
|
Наибольший предел взвешивания (НПВ), г |
210 |
410 |
610 |
810 |
1100 |
2100 |
4100 |
6100 |
6100 |
8100 |
|
Наименьший предел взвешивания (НмПВ), г |
0,02 |
0,02 |
0,1 |
ОД |
0,1 |
0,5 |
0,5 |
1 |
5 |
5 |
|
Дискретность отсчёта (d), г |
0,001 |
0,001 |
0,001 |
0,001 |
0,001 |
0,01 |
0,01 |
0,01 |
0,1 |
0,1 |
|
Цена поверочного деления (е=1 Od), г |
0,01 |
0,01 |
0,01 |
0,01 |
0,01 |
0,1 |
0,1 |
0,1 |
1 |
1 |
|
Число поверочных делений (п) |
21000 |
41000 |
61000 |
81000 |
110000 |
21000 |
41000 |
61000 |
6100 |
8100 |
|
Пределы допускаемой погрешности при первичной поверке, ±г* | ||||||||||
|
Интервал 1 |
0,005 |
0,005 |
0,005 |
0,005 |
0,005 |
0,05 |
0,05 |
0,05 |
0,5 |
0,5 |
|
Интервал 2 |
0,01 |
0,01 |
0,01 |
0,01 |
0,01 |
0,1 |
0,1 |
0,1 |
1 |
1 |
|
Интервал 3 |
0,015 |
0,015 |
- |
- |
- |
0,15 |
0,15 |
- |
- |
- |
|
Пределы допускаемой погрешности в эксплуатации, ±г* | ||||||||||
|
Интервал 1 |
0,01 |
0,01 |
0,01 |
0,01 |
0,01 |
0,1 |
0,1 |
0,1 |
1 |
1 |
|
Интервал 2 |
0,02 |
0,02 |
0,02 |
0,02 |
0,02 |
0,2 |
0,2 |
0,2 |
2 |
2 |
|
Интервал 3 |
0,03 |
0,03 |
- |
- |
- |
0,3 |
0,3 |
- |
- |
- |
|
Среднее квадратическое отклонение (СКО) показаний весов при первичной поверке, г* | ||||||||||
|
Интервал 1 |
0,00167 |
0,00167 |
0,00167 |
0,00167 |
0,00167 |
0,0167 |
0,0167 |
0,0167 |
0,167 |
0,167 |
|
Интервал 2 |
0,003 |
0,003 |
0,003 |
0,003 |
0,003 |
0,03 |
0,03 |
0,03 |
о,з |
0,3 |
|
Интервал 3 |
0,005 |
0,005 |
- |
- |
- |
0,05 |
0,05 |
- |
- |
- |
|
Среднее квадратическое отклонение (СКО) показаний весов в эксплуатации, г* | ||||||||||
|
Интервал 1 |
0,003 |
0,003 |
0,003 |
0,003 |
0,003 |
0,03 |
0,03 |
0,03 |
0,3 |
о,з |
|
Интервал 2 |
0,0067 |
0,0067 |
0,0067 |
0,0067 |
0,0067 |
0,067 |
0,067 |
0,067 |
0,67 |
0,67 |
|
Интервал 3 |
0,01 |
0,01 |
- |
- |
- |
0,1 |
0,1 |
- |
- |
- |
|
Класс точности по ГОСТ 24104-2001 |
II |
II |
I |
I |
I |
II |
II |
I |
II |
II |
|
Диапазон выборки массы тары, % от НПВ |
0... |
100 | ||||||||
|
Наименование характеристик |
Модификация весов | |||||||||
|
GX-200 |
GX-400 |
GX-600 |
GX-800 |
GX-1000 |
GX-2000 |
GX-4000 |
GX-6100 |
GX-6000 |
GX-8000 | |
|
Скорость отклика, сек | ||||||||||
|
Диапазон рабочих температур, °C |
От плюс 5 до плюс 40 | |||||||||
|
Параметры адаптера сетевого питания: напряжение на входе, В частота, Гц потребляемая мощность, ВА |
-15% 50±1 11 | |||||||||
|
Вероятность безотказной работы за 1000 ч |
0,92 | |||||||||
|
Средний полный срок службы, лет |
8 | |||||||||
|
Масса, кг |
4,6 |
4,6 |
4,6 |
4,6 |
4,6 |
5,1 |
5,1 |
5,1 |
5,1 |
5,1 |
|
Габаритные размеры весов, мм |
317х210х 86 |
317х210х 86 |
317x210x86 |
317x210x86 |
317x210x86 |
317х210х 86 |
317х210х 86 |
317х210х 86 |
317х210х 86 |
317х210х 86 |
*- интервалы взвешивания по ГОСТ 24104-01 для классов точности соответствуют:
|
Класс точности весов |
Интервал 1 |
Интервал 2 |
Интервал 3 | |
|
Специальный |
I |
От НмПВ до 50000е вкл. |
Св. 50000е до 200000е вкл. |
Св. 200000е |
|
Высокий |
II |
От НмПВ до 5000е вкл. |
Св. 5000е до 20000е вкл. |
Св. 20000е |
Приложение 2
Таблица 2
|
Модель весов |
Номинальное значение массы гирь для определения: | |||||||||||
|
Погрешности взвешивания, г |
Независимости показаний весов от положения груза на чашке, г |
СКО, г | ||||||||||
|
1 |
2 |
3 |
4 |
5 |
6 |
7 |
8 |
9 |
10 | |||
|
GX-200 |
0,02 |
1 |
20 |
50 |
70 |
100 |
120 |
150 |
170 |
210 |
70 |
210 |
|
GX-400 |
0,02 |
1 |
20 |
50 |
70 |
100 |
150 |
200 |
300 |
410 |
100 |
410 |
|
GX-600 |
0,1 |
1 |
20 |
50 |
70 |
100 |
200 |
400 |
500 |
610 |
200 |
610 |
|
GX-800 |
0,1 |
1 |
20 |
50 |
70 |
100 |
200 |
500 |
700 |
810 |
200 |
810 |
|
GX-1000 |
0,1 |
1 |
20 |
50 |
70 |
100 |
500 |
700 |
1000 |
1100 |
200 |
1100 |
|
GX-2000 |
0,5 |
1 |
50 |
70 |
100 |
500 |
700 |
1000 |
1500 |
2100 |
700 |
2100 |
|
GX-4000 |
0,5 |
1 |
50 |
100 |
500 |
700 |
1000 |
2000 |
3000 |
4100 |
1000 |
4100 |
|
GX-6100 |
1 |
10 |
100 |
500 |
700 |
1000 |
2000 |
4000 |
5000 |
6100 |
2000 |
6100 |
|
GX-6000 |
5 |
50 |
100 |
500 |
700 |
1000 |
2000 |
4000 |
5000 |
6100 |
2000 |
6100 |
|
GX-8000 |
5 |
50 |
100 |
500 |
1000 |
2000 |
4000 |
5000 |
6000 |
8100 |
2500 |
8100 |
Таблица 3
|
Модель весов |
Номинальное значение массы гирь для определения: | |||||
|
Значения массы тары, г |
Погрешности взвешивания, г | |||||
|
1 |
2 |
3 |
4 |
5 | ||
|
GX-200 |
10 |
5 |
20 |
50 |
100 |
200 |
|
150 |
5 |
10 |
20 |
50 |
70 | |
|
GX-400 |
10 |
5 |
50 |
100 |
200 |
400 |
|
350 |
5 |
10 |
20 |
50 |
70 | |
|
GX-600 |
10 |
5 |
50 |
100 |
400 |
600 |
|
550 |
5 |
10 |
20 |
50 |
70 | |
|
GX-800 |
10 |
5 |
50 |
100 |
500 |
800 |
|
750 |
5 |
10 |
20 |
50 |
70 | |
|
GX-1000 |
100 |
50 |
100 |
200 |
500 |
1000 |
|
1000 |
5 |
20 |
50 |
70 |
100 | |
|
GX-2000 |
100 |
50 |
100 |
500 |
1000 |
2000 |
|
2000 |
5 |
20 |
50 |
70 |
100 | |
|
GX-4000 |
100 |
50 |
500 |
1000 |
2000 |
4000 |
|
4000 |
5 |
20 |
50 |
70 |
100 | |
|
GX-6100 |
100 |
50 |
500 |
1000 |
4000 |
6000 |
|
6000 |
5 |
20 |
50 |
70 |
100 | |
|
GX-6000 |
100 |
50 |
500 |
1000 |
4000 |
6000 |
|
6000 |
5 |
20 |
50 |
70 |
100 | |
|
GX-8000 |
100 |
50 |
500 |
1000 |
5000 |
8000 |
|
8000 |
5 |
20 |
50 |
70 |
100 | |
