Методика поверки «Система автоматизированная информационно-измерительная коммерческого учёта электроэнергии (АИИС КУЭ) ПАО "Транснефть" в части АО "транснефть - Прикамье" по НПС "Дебесы" » (МП 044-2021 )
Общество с ограниченной ответственностью «Спецэнергопроект» ООО «Спецэнергопроект»
СОГЛАСОВАНО:
Генеральный директор

Государственная система обеспечения единства измерений
Система автоматизированная информационно-измерительная коммерческого учета электроэнергии (АИИС КУЭ) ПАО «Транснефть» в части
АО «Транснефть - Прикамье» по НПС «Дебесы»
Методика поверки
МП 044-2021
Москва
2021
СодержаниеСтр.
-
5 МЕТРОЛОГИЧЕСКИЕ И ТЕХНИЧЕСКИЕ ТРЕБОВАНИЯ К СРЕДСТВАМ ПОВЕРКИ
-
6 ТРЕБОВАНИЯ (УСЛОВИЯ) ПО ОБЕСПЕЧЕНИЮ БЕЗОПАСНОСТИ ПРОВЕДЕНИЯ
-
10 ОПРЕДЕЛЕНИЕ МЕТРОЛОГИЧЕСКИХ ХАРАКТЕРИСТИК СРЕДСТВ ИЗМЕРЕНИЙ
-
11 ПОДТВЕРЖДЕНИЕ СООТВЕТСТВИЯ СРЕДСТВ ИЗМЕРЕНИЙ МЕТРОЛОГИЧЕСКИМ
Настоящая методика распространяется на измерительные каналы (далее -ИК) системы автоматизированной информационно-измерительной коммерческого учета электроэнергии (АИИС КУЭ) ПАО «Транснефть» в части АО «Транснефть -Прикамье» по НПС «Дебесы», (далее-АИИС КУЭ), заводской номер ТПК-461/01 -04-01.05/2, предназначенной для измерения активной и реактивной электроэнергии, потребленной за установленные интервалы времени отдельными технологическими объектами ПАО «Транснефть» в части АО «Транснефть - Прикамье» по НПС «Дебесы», сбора, хранения, обработки и передачи полученной информации. Выходные данные системы могут использоваться для коммерческих расчетов.
Поверке подлежит каждый ИК АИИС КУЭ, реализующий косвенный метод измерений электрической энергии. ИК подвергают поверке покомпонентным (поэлементным) способом с учетом положений раздела 8 ГОСТ Р 8.596-2002.
Первичную поверку системы проводят до ввода в эксплуатацию и после утверждения типа АИИС КУЭ, а также после ремонта АИИС КУЭ, замены средств измерений (измерительных компонентов), входящих в состав АИИС КУЭ, аварий в энергосистеме, если эти события могли повлиять на метрологические характеристики ИК.
Измерительные компоненты АИИС КУЭ поверяют с интервалами между поверками, установленными при утверждении их типа. Если очередной срок поверки измерительного компонента наступает до очередного срока поверки АИИС КУЭ, поверяется только этот компонент, и поверка АИИС КУЭ не проводится.
После поверки измерительного компонента и восстановления ИК выполняется проверка ИК в той его части и в том объеме, который необходим для того, чтобы убедиться, что действия, связанные с поверкой измерительного компонента, не нарушили метрологических свойств ИК (схема соединения, коррекция времени и т.п.).
Для обеспечения прослеживаемости входящие в состав ИК АИИС КУЭ средства измерений (измерительные компоненты) должны быть утвержденных типов,
и поверяться по соответствующим методикам поверки и в соответствии с интервалами между поверками, установленными при утверждении их типа. Блок коррекции времени ЭНКС-2 обеспечивает прослеживаемость к тэт 1-2018 «ГПЭ единиц времени, частоты и национальной шкалы времени» по Приказу Федерального агентства по техническому регулированию и метрологии № 1621
от 31.07.2018.
Периодическую поверку системы выполняют в процессе эксплуатации.
При наступлении событий в процессе эксплуатации, которые могли повлиять на метрологические характеристики АИИС КУЭ (ремонт системы, замена её измерительных компонентов, аварии в энергосистеме) проводится первичная поверка АИИС КУЭ. Допускается подвергать поверке только те ИК, которые подверглись указанным воздействиям, при условии, что собственник АИИС КУЭ подтвердит официальным заключением, что остальные ИК этим воздействиям не подвергались. В этом случае оформляется свидетельство о поверке системы с перечнем поверенных ИК.
Допускается проведение поверки отдельных ИК АИИС КУЭ, с обязательным указанием в приложении к свидетельству о поверке информации об объеме проведенной поверки.
Перечень ИК АИИС КУЭ приведен в формуляре.
Интервал между поверками АИИС КУЭ - 4 года.
2 ПЕРЕЧЕНЬ ОПЕРАЦИЙ ПОВЕРКИ АИИС КУЭПри проведении поверки выполняют операции, указанные в таблице 1.
Таблица 1 - Операции поверки
Наименование операции |
Номер пункта НД по поверке |
Обязательность проведения операции при | |
первичной поверке |
периодической поверке | ||
1 |
2 |
3 |
4 |
1. Подготовка к поверке и опробование средств измерений |
7 |
Да |
Да |
2. Внешний осмотр |
8 |
Да |
Да |
3. Проверка программного обеспечения |
9 |
Да |
Да |
4. Определение метрологических характеристик средства измерений |
10 |
Да |
Ж |
5. Проверка измерительных компонентов АИИС КУЭ |
11.1 |
Ж |
Да |
6. Проверка счетчиков электрической энергии |
11.2 |
Да |
Ж |
7. Проверка функционирования центральных компьютеров (серверов) АИИС КУЭ |
11.3 |
Да |
Да |
8. Проверка функционирования вспомогательных устройств |
11.4 |
Да |
Да |
Продолжение таблицы 1
1 |
2 |
3 |
4 |
9. Проверка нагрузки на вторичные цепи измерительных трансформаторов тока |
11.5 |
Да |
Да |
10. Проверка нагрузки на вторичные цепи измерительных трансформаторов напряжения |
11.6 |
Да |
Да |
11. Проверка падения напряжения в линии связи между вторичной обмоткой TH и счетчиков. |
11.7 |
Да |
Да |
12. Проверка погрешности часов ком понентов системы |
11.8 |
Да |
Да |
13. Проверка отсутствия ошибок информационного обмена |
11.9 |
Да |
Да |
14. Оформление результатов поверки |
12 |
Да |
Да |
3 ТРЕБОВАНИЯ К УСЛОВИЯМ ПРОВЕДЕНИЯ ПОВЕРКИ
Условия проведения поверки должны соответствовать требованиям, установленным ГОСТ 8.395-80 «Государственная система обеспечения единства измерений. Нормальные условия измерений при поверке. Общие требования», а также требованиям общих технических условий, технических условий и эксплуатационной документации поверяемого средства измерений, требованиям правил содержания и применения применяемых для поверки эталонов и требованиям эксплуатационных документов применяемых для поверки средств измерений и вспомогательных технических средств.
4 ТРЕБОВАНИЯ К СПЕЦИАЛИСТАМ, ОСУЩЕСТВЛЯЮЩИМ ПОВЕРКУ-
4.1 К проведению поверки АИИС КУЭ допускают работников организаций, аккредитованных в области обеспечения единства измерений на право поверки СИ в порядке, установленном законодательством РФ об аккредитации в национальной системе аккредитации, изучивших настоящую методику поверки и формуляр АИИС КУЭ, имеющих опыт работы по поверке измерительных систем. Для выполнения отдельных операций поверки допускаются работники, удовлетворяющие требованиям, приведенным в в п.п. 4.2 - 4.8.
-
4.2 Определение погрешности часов компонентов АИИС КУЭ и отсутствия ошибок информационного обмена осуществляется работниками, имеющими опыт работы в области измерений времени и частоты, изучившими вышеуказанные документы, а также руководство пользователя по работе с блоком коррекции времени ЭНКС-2, принимающими сигналы глобальной навигационной спутниковой системы (ГЛОНАСС).
-
4.3 Поверка трансформаторов тока, входящих в состав АИИС КУЭ, осуществляется поверителями средств измерений электрических величин организаций, аккредитованных на право поверки СИ в установленном законодательством РФ об аккредитации в национальной системе аккредитации порядке, изучившими документ ГОСТ 8.217-2003. «Трансформаторы тока. Методика поверки» и допущенными к производству указанных работ в соответствии с правилами по охране труда при эксплуатации электроустановок.
-
4.4 Поверка трансформаторов напряжения, входящих в состав АИИС КУЭ, осуществляется поверителями средств измерений электрических величин организаций, аккредитованных на право поверки СИ в порядке, установленном законодательством РФ об аккредитации в национальной системе аккредитации, изучившими документ ГОСТ 8.216-2011. «Трансформаторы напряжения. Методика поверки» и/или МИ 2845-2003 «ГСИ. Измерительные трансформаторы напряжения 6/^3 ...35 кВ. Методика проверки на месте эксплуатации» и допущенными к производству указанных работ в соответствии с правилами по охране труда при эксплуатации электроустановок.
-
4.5 Поверка счетчиков, входящих в состав АИИС КУЭ, осуществляется поверителями средств измерений электрических величин организаций, аккредитованных на право поверки СИ в порядке, установленном законодательством РФ об аккредитации в национальной системе аккредитации, изучившими документ, содержащий методику поверки счетчиков, и допущенными к производству указанных работ в соответствии с правилами по охране труда при эксплуатации электроустановок.
-
4.6 Измерение вторичной нагрузки измерительных трансформаторов тока, входящих в состав АИИС КУЭ, осуществляется работниками, допущенными к производству указанных работ в соответствии с правилами по охране труда при эксплуатации электроустановок и изучившими применяемый при поверке документ, содержащий методику измерений вторичной нагрузки измерительных трансформаторов тока.
-
4.7 Измерение вторичной нагрузки измерительных трансформаторов напряжения, входящих в состав АИИС КУЭ, осуществляется работниками, допущенными к производству указанных работ в соответствии с правилами по охране труда при эксплуатации электроустановок и изучившими применяемый при поверке документ, содержащий методику измерений вторичной нагрузки измерительных трансформаторов напряжения.
-
4.8 Измерение потерь напряжения в линии соединения счетчика с измерительным трансформатором напряжения, входящими в состав АИИС КУЭ проводят не менее двух специалистов, один из которых должен иметь удостоверение, подтверждающее право работы на установках свыше 1000 В с группой по электробезопасности не ниже IV, второй - удостоверение, подтверждающее право работы на установках свыше 1000 В с группой по электробезопасности не ниже III.
При проведении поверочных и измерительных работ должны присутствовать работники объекта, на котором размещены компоненты АИИС КУЭ, имеющие опыт работы и право на подключение и отключение эталонных и поверяемых средств измерений в соответствии со схемой поверки или с методикой измерений.
5 МЕТРОЛОГИЧЕСКИЕ И ТЕХНИЧЕСКИЕ ТРЕБОВАНИЯ К СРЕДСТВАМ ПОВЕРКИ-
5.1 Обязательные метрологические и технические требования к средствам поверки АИИС КУЭ отсутствуют.
-
5.2 Средства поверки должны быть утвержденного типа. Эталоны единиц величин и средства измерений, применяемые в методике поверки в качестве эталонов единиц величин, должны удовлетворять требованиям по точности государственных поверочных схем, установленным в соответствии с приказом Министерства промышленности и торговли Российской Федерации от 11 февраля 2020 г. N 456 «Об утверждении требований к содержанию и построению государственных поверочных схем и локальных поверочных схем, в том числе к их разработке, утверждению и изменению» (зарегистрирован Министерством юстиции Российской Федерации 24 августа 2020 г., регистрационный N 59419).
При проведении поверки применяют эталоны, основные средства измерений, и вспомогательные устройства, в соответствии с методиками поверки, указанными в описаниях типа на измерительные компоненты АИИС КУЭ, а также следующие средства поверки приведенные в таблице 2.
Таблица 2 - Основные метрологические характеристики эталонов и испытательного оборудования
Наименование средства измерений |
Основные метрологические характеристики | |||
Измеряемый параметр, ед. изм. |
Диапазон измере-НИЯ |
Пределы допускаемой основной погрешности при измерении | ||
относительной 6,% |
абсолютной А | |||
1 |
2 |
3 |
4 |
5 |
Измеритель потерь напряжения СА210 (per. №40951-14) |
Действующее значение напряжения переменного тока и, В |
от 0,01 до 250 |
±0,5 |
- |
Действующее значение силы переменного тока ЛА |
от 0,01 до 20 |
±1,5 |
- | |
Угол фазового сдвига между напряжениями ^ии,° |
от -180 до +180 |
- |
±1,0 | |
Угол фазового сдвига между токами О |
от -180 до +180 |
- |
±1,0 | |
Угол фазового сдвига между напряжением и током риь° |
от -180 до +180 |
- |
±1,0 | |
Потери напряжения, % |
от -5 до +5 |
- |
±(0,01-5U+ 0,2) |
1родолжение таблицы 2
1 |
2 |
3 |
4 |
5 |
Метеометр МЭС-200А (per. № 27468-04) |
Температура окружающего воздуха t, °C |
от минус 40 ’ до 85 |
- |
±0,2(от -10 до 50 °C) ±0,5(от -40 до -10) и (от +50 до +85) |
Относительная влажность воздуха, % |
от 10 до 98 |
- |
±3,0 при температуре (25+5)°C | |
Давление, кПа |
от 80 до НО |
- |
±0,3(от 0 до 60 °C) ±1,0(от -20 до 0 °C) | |
Блок коррекции времени ЭНКС-2 (рабочий эталон 4-го разряда по Приказу Госстандарта от 31.07.2018 г. № 1621) (per. № 37328-15) |
Текущее значение времени, с |
- |
- |
±0,0000005 |
Миллитесламетр портативный универсальный ТПУ-01 (per. № 28134-12) |
Магнитная индукция, мТл |
от 0,01 до 19,99 |
±[5,0+0,5(Вп/ Ви-1)] |
- |
Частотомер СС3020-Н (per. № 32357-11) |
Частота, Гц |
от 40 до 5000 |
- |
±0,01 % |
Переносной компьютер с программным обеспечением и оптический преобразователь для работы со счетчиками системы |
- |
- |
- |
Примечания.
-
1. Допускается применение других средств поверки с метрологическими характеристиками, обеспечивающими требуемые точности измерений.
-
2. Все средства измерений, применяемые при поверке, должны быть утвержденного типа и иметь действующие свидетельства о поверке. Эталоны должны быть аттестованы и иметь свидетельства о поверке/запись о результатах поверки в Федеральном информационном фонде по обеспечению единства измерений (далее - ФИФ ОЕИ).
-
6.1 При проведении поверки должны быть соблюдены требования безопасности, установленные ГОСТ 12.2.007.0-75, ГОСТ 12.2.007.3-75, «Правилами технической эксплуатации электроустановок потребителей», «Правилами по охране труда при эксплуатации электроустановок», а также требования безопасности на средства поверки, поверяемые трансформаторы и счетчики, изложенные в их руководствах по эксплуатации.
-
6.2 Эталонные средства измерений, вспомогательные средства поверки и оборудование должны соответствовать требованиям ГОСТ 12.2.003-91, ГОСТ 12.2.007.3-75, ГОСТ 12.2.007.7-75.
-
6.3 Все оперативные отключения и включения должны проводиться руководителем работ в соответствии с программой проведения работ, утвержденной в установленном порядке.
-
7.1 Для проведения поверки представляют следующие копии документов:
-
- руководство пользователя АПИС КУЭ;
-
- формуляр № ТПК-461/01-04-01.05/2.ФО;
-
- описание типа АЛИС КУЭ;
-
- свидетельства о поверке/паспортов с отметкой о поверке/записи о результатах поверки в ФИФ ОЕИ измерительных компонентов, УССВ, входящих в ИК, и свидетельство о предыдущей поверке системы (при периодической и внеочередной поверке) - при наличии;
-
- рабочие журналы АИИС КУЭ с данными по климатическим и иным условиям эксплуатации за интервал между поверками (только при периодической поверке);
-
- акты, подтверждающие правильность подключения счетчиков к цепям тока и напряжения;
-
- акты, подтверждающие правильность подключения вторичных обмоток ТТ;
-
- акты, подтверждающие правильность подключения первичных и вторичных обмоток TH.
-
7.2 Перед проведением поверки на месте эксплуатации АИИС КУЭ выполняют следующие подготовительные работы:
-
- проводят организационно-технические мероприятия по обеспечению безопасности поверочных работ в соответствии с действующими правилами и ПУЭ;
-
- проводят организационно-технические мероприятия по доступу поверителей и персонала энергообъектов к местам установки измерительных трансформаторов, счетчиков электроэнергии, серверу АИИС КУЭ для проведения работ по п.п. 8.1, 11.2, 11.3, 11.4;
-
- организуют рабочее место для поверителя, для проведения работ по п.п. 11.1, 11.5, 11.6, 11.7.
-
7.3 Процедуры по опробованию средства измерений предусмотрены в эксплуатационной документации.
-
8 ВНЕШНИЙ ОСМОТР СРЕДСТВА ИЗМЕРЕНИЙ
-
8.1.1 Проверяют целостность корпусов и отсутствие видимых повреждений компонентов АИИС КУЭ, наличие поверительных пломб и клейм на измерительных компонентах.
-
8.1.2 Проверяют размещение измерительных компонентов, наличие шильдиков и маркировку компонентов, правильность схем подключения трансформаторов тока и напряжения к счетчикам электрической энергии; правильность прокладки проводных линий по проектной документации на АИИС КУЭ.
-
8.1.3 Проверяют соответствие типов и заводских номеров фактически использованных измерительных компонентов типам и заводским номерам, указанным в формуляре АИИС КУЭ.
-
8.1.4 Проверяют отсутствие следов коррозии и нагрева в местах подключения проводных линий.
При обнаружении несоответствий по п. 8.1 дальнейшие операции по поверке ИК прекращаются, АИИС КУЭ бракуется и выписывается извещение о непригодности.
9 ПРОВЕРКА ПРОГРАММНОГО ОБЕСПЕЧЕНИЯ-
9.1 Проводится проверка соответствия заявленных идентификационных данных программного обеспечения указанных в описании типа:
-
- наименование программного обеспечения;
-
- идентификационное наименование программного обеспечения;
-
- номер версии (идентификационный номер) программного обеспечения;
-
- цифровой идентификатор программного обеспечения (контрольная сумма исполняемого кода);
-
- алгоритм вычисления цифрового идентификатора программного обеспечения.
-
9.2 Идентификация ПО СИ реализуется следующими методами:
-
- с помощью ПО СИ или аппаратно-программных средств, разработанных организацией - разработчиком СИ (ПО СИ);
-
- с использованием специальных протестированных (аттестованных, сертифицированных) аппаратно-программных средств и/или протестированного (аттестованного, сертифицированного) ПО.
-
10.1 Границы интервала основной погрешности ИК электроэнергии рассчитывают для вероятности Р=0,95 для нормальных условий.
В качестве нормальных условий используют данные, предусмотренные технической документацией на АИИС КУЭ.
-
10.1 Границы интервала основной относительной погрешности ИК активной электроэнергии вычисляют по формуле (1):
(1)
где
дИМ)А - границы интервала основной относительной погрешности ИК активной электроэнергии в % для вероятности 0,95;
<5ТТ - предел допускаемой относительной погрешности по амплитуде трансформатора тока (ТТ) в %;
#тн - предел допускаемой относительной погрешности по амплитуде трансформатора напряжения (TH) в %;
<5# - границы интервала относительной погрешности измерения активной электроэнергии обусловленной угловыми погрешностями измерительных трансформаторов в %;
- предел допускаемой относительной погрешности, обусловленной потерями напряжения в линии связи между TH и счетчиком в %;
дос - предел допускаемой основной относительной погрешности счетчика электроэнергии в %.
Границы интервала суммарной абсолютной угловой погрешности G в минутах и границы интервала относительной погрешности 8вл в % определяются по формулам:

(2)
(3)
где
О, и OL - пределы допускаемых угловых погрешностей ТТ и TH в минутах, соответственно;
- угол сдвига между векторами первичных тока и напряжения в градусах.
-
10.3 Границы интервала погрешности ИК в рабочих условиях эксплуатации рассчитывают для вероятности 0,95. В качестве рабочих условий используют данные, предусмотренные технической документацией на АНИС КУЭ.
-
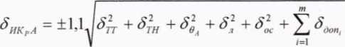
10.4 Границы интервала относительной погрешности ИК активной электроэнергии в рабочих условиях вычисляют по формуле (4):
где
8ИКрА - границы интервала относительной погрешности ИК активной электроэнергии в % для вероятности 0,95;
Зтт , дТн, • те же величины, что и в формуле (1);
4О// • предел относительной допускаемой дополнительной погрешности счетчика электроэнергии в рабочих условиях от / - ой влияющей величины;
m - общее число влияющих величин.
-
10.5 Границы интервала основной относительной погрешности ИК реактивной электроэнергии вычисляют по формуле (5):
(5)
где
■ границы интервала основной относительной погрешности ИК реактивной электроэнергии в % для вероятности 0,95;
8е - границы интервала относительной погрешности измерения реактивной электроэнергии обусловленной угловыми погрешностями измерительных трансформаторов в %.
Границы интервала относительной погрешности в % определяются по формулам:
\ = 0,029-(6)
Остальные величины в формулах (5) и (6) те же, что в формулах (1) и (3).
-
10.6 Границы интервала относительной погрешности ИК реактивной электроэнергии в рабочих условиях вычисляют по формуле (7):
^икРр = + ^тн + 3ffP + S (7)
Где все величины те же, что в формулах (1), (3), (4) и (6).
Примечание- Формулы (1), (4), (5) и (7) даны для случая, когда отклонение внешних влияющих величин от нормальных значений вызывает дополнительные погрешности только у счетчика электроэнергии, а составляющими погрешности измерения электроэнергии обусловленными погрешностью задания интервала времени интегрирования электрической мощности, погрешностью передачи информации по ГОСТ 4.199-85, погрешностью обработки данных можно пренебречь.
-
11 ПОДТВЕРЖДЕНИЕ СООТВЕТСТВИЯ СРЕДСТВ ИЗМЕРЕНИЙ МЕТРОЛОГИЧЕСКИМ ТРЕБОВАНИЯМ
Проверяют наличие свидетельств о поверке/записи о результатах поверки в ФИФ ОЕИ и срок их действия для всех измерительных компонентов АИИС КУЭ. При обнаружении просроченных свидетельств о поверке/записей о результатах поверки в ФИФ ОЕИ измерительных компонентов дальнейшие операции по поверке ИК, в который они входят, выполняют после поверки этих измерительных компонентов.
При обнаружении несоответствий по п. 11.1 дальнейшие операции по поверке ИК прекращаются и выписывается извещение о непригодности АИИС КУЭ.
11.2 Проверка счетчиков электрической энергии-
11.2.1 Проверяют наличие и сохранность пломб поверительных и энергосбытовых организаций на счетчике и испытательной коробке. Проверяют наличие оригиналов актов, подтверждающих правильность подключения счетчиков к цепям тока и напряжения, в частности, правильность чередования фаз.
-
11.2.2 Проверяют работу всех сегментов индикаторов, отсутствие кодов ошибок или предупреждений, прокрутку параметров в заданной последовательности.
-
11.2.3 Проверяют работоспособность оптического порта счетчика с помощью переносного компьютера. Преобразователь подключают к любому последовательному порту переносного компьютера. Опрашивают счетчик по установленному соединению. Опрос счетчика считается успешным, если получен отчет, содержащий данные, зарегистрированные счетчиком.
-
11.2.4 Проверяют соответствие индикации даты в счетчике календарной дате (число, месяц, год). Проверку осуществляют визуально или с помощью переносного компьютера через оптопорт.
При обнаружении несоответствий по п. 11.2 дальнейшие операции по поверке ПК прекращаются, и выписывается извещение о непригодности АПИС КУЭ.
11.3 Проверка функционирования центральных компьютеров (серверов) АИИС КУЭ-
11.3.1 Проверяют защиту программного обеспечения на центральных компьютерах (серверах) АИИС КУЭ от несанкционированного доступа. Для этого запускают на выполнение программу сбора данных и в поле «пароль» вводят неправильный код. Проверку считают успешной, если при вводе неправильного пароля программа не разрешает продолжать работу.
-
11.3.2 Проверяют работу аппаратных ключей. Выключают компьютер и снимают аппаратную защиту (отсоединяют ключ от порта компьютера). Включают компьютер, загружают операционную систему и запускают программу. Проверку считают успешной, если получено сообщение об отсутствии «ключа защиты».
-
11.3.3 Проводят опрос текущих показаний всех счетчиков электроэнергии.
-
11.3.4 Проверяют глубину хранения измерительной информации в центральных компьютерах (серверах) АЛИС КУЭ.
-
11.3.5 Проверяют правильность значений коэффициентов трансформации измерительных трансформаторов, хранящихся в памяти сервера БД.
При обнаружении несоответствий по п. 11.3 дальнейшие операции по поверке ИК прекращаются, АИИС КУЭ бракуется и выписывается извещение о непригодности.
11.4 Проверка функционирования вспомогательных устройств-
11.4.1 Проверка функционирования модемов
Проверяют функционирование модемов, используя коммуникационные возможности специальных программ. Модемы считаются исправными в составе комплекса, если были установлены коммутируемые соединения и по установленным соединениям успешно прошел опрос счетчиков.
Допускается автономная проверка модемов с использованием тестового программного обеспечения.
-
11.4.2 Проверка функционирования адаптеров интерфейса
Используя кабель RS232 подключают к адаптерам переносной компьютер с ПО. Проверка считается успешной, если удалось опросить все счетчики, подключенные к данному адаптеру.
При обнаружении несоответствий по п. 11.4 дальнейшие операции по поверке ИК прекращаются, АИИС КУЭ бракуется и выписывается извещение о непригодности.
11.5 Проверка нагрузки вторичных цепей измерительных трансформаторов тока-
11.5.1 Проверяют наличие и сохранность пломб поверительных и энергосбытовых организаций на клеммных соединениях, имеющихся на линии связи ТТ со счетчиком. Проверяют наличие оригиналов актов, подтверждающих правильность подключения вторичных обмоток ТТ.
-
11.5.2 Проверяют наличие данных измерений мощности нагрузки вторичных цепей ТТ по МИ 3196-2018 «ГСИ. Методика измерений мощности нагрузки измерительных трансформаторов тока в условиях эксплуатации».
При обнаружении несоответствий по п. 11.5 дальнейшие операции по поверке ИК прекращаются, АИИС КУЭ бракуется и выписывается извещение о непригодности.
11.6 Проверка нагрузки вторичных цепей измерительных трансформаторов напряжения-
11.6.1 Проверяют наличие и сохранность пломб поверительных и энергосбытовых организаций на клеммных соединениях, имеющихся на линии связи TH со счетчиком. Проверяют наличие оригиналов актов, подтверждающих правильность подключения первичных и вторичных обмоток TH.
-
11.6.2 Проверяют наличие данных измерений мощности нагрузки вторичных цепей TH по МИ 3195-2018 «ГСИ. Методика измерений мощности нагрузки измерительных трансформаторов напряжения в условиях эксплуатации».
При обнаружении несоответствий по п. 11.6 дальнейшие операции по поверке ИК прекращаются, АИИС КУЭ бракуется и выписывается извещение о непригодности.
11.7 Проверка падения напряжения в линии связи между вторичной обмоткой TH и счетчиковПроверяют наличие данных измерений падения напряжения ил в проводной линии связи для каждой фазы по МИ 3598-2018 «ГСИ. Методика измерений потерь напряжения в линиях соединения счетчика с трансформатором напряжения в условиях эксплуатации». Падение напряжения не должно превышать 0,25 % от номинального значения на вторичной обмотке TH.
При обнаружении несоответствий по п. 11.7 дальнейшие операции по поверке ИК прекращаются, АИИС КУЭ бракуется и выписывается извещение о непригодности.
11.8 Проверка погрешности часов компонентов системы-
11.8.1 Проверка СОЕВ
Включают блок коррекции времени ЭНКС-2, принимающий сигналы глобальной навигационной спутниковой системы (ГЛОНАСС), подключают к серверу БД и настраивают специализированное ПО для применяемого эталонного устройства на сервере БД. Сверяют показания блока коррекции времени с показаниями часов сервера БД, получающего сигналы точного времени от УССВ. Расхождение показаний блока коррекции времени с сервером БД не должно превышать ±1 с. Для снятия синхронизированных измерений рекомендуется при возможности ПО зафиксировать показания обоих часов или сделать скриншот экрана, на котором выведены эталонные и проверяемые часы.
-
11.8.2 Распечатывают журнал событий счетчика, выделив события, соответствующие сличению часов счетчика и сервера БД. Расхождение времени часов: счетчик - сервер БД в момент коррекции не должно превышать предела допускаемого расхождения ±1 с.
При обнаружении несоответствий по п. 11.8 дальнейшие операции по поверке ПК прекращаются, АИИС КУЭ бракуется и выписывается извещение о непригодности.
11.9 Проверка отсутствия ошибок информационного обменаОперация проверки отсутствия ошибок информационного обмена предусматривает экспериментальное подтверждение идентичности числовой измерительной информации в счетчиках электрической энергии (исходная информация), и памяти центрального компьютера (сервера БД).
В момент проверки все технические средства, входящие в проверяемый ИК, должны быть включены.
-
11.9.1 На центральном компьютере (сервере БД) системы распечатывают значения активной и реактивной электрической энергии, зарегистрированные с 30 минутным интервалом и профиль нагрузки за полные предшествующие дню проверки сутки по всем ИК. Проверяют наличие данных, соответствующих каждому 30 минутному интервалу времени. Пропуск данных не допускается за исключением случаев, когда этот пропуск был обусловлен отключением ИК или устраненным отказом какого-либо компонента системы.
-
11.9.2 Распечатывают журнал событий счетчика и сервера и отмечают моменты нарушения связи между измерительными компонентами системы. Проверяют сохранность измерительной информации в памяти центральных компьютерах (серверах) системы на тех интервалах времени, в течение которого была нарушена связь.
-
11.9.3 Используя переносной компьютер, считывают через оптопорт профиль нагрузки за полные предшествующие дню проверки сутки, хранящийся в памяти счетчика. Различие значений активной (реактивной) мощности, хранящейся в памяти счетчика (с учетом коэффициентов трансформации измерительных трансформаторов) и базе данных центрального компьютера (сервера БД) полученные по п.
-
11.9.2 не должно превышать двух единиц младшего разряда учтенного значения.
-
11.9.4 Рекомендуется вместе с проверкой по п. 11.9.3 в реальном режиме времени сличить показания счетчика по активной и реактивной электрической энергии строго в конце получаса (часа) с данными, зарегистрированными в центральном компьютере (сервере БД) системы для того же момента времени. Для этого визуально или с помощью переносного компьютера через оптопорт считывают показания счетчика по активной и реактивной электрической энергии и сравнивают эти данные (с учетом коэффициентов трансформации измерительных трансформаторов) с показаниями, зарегистрированными в центральном компьютере (сервере БД) системы. Расхождение не должно превышать две единицы младшего разряда.
При обнаружении несоответствий по п. 11.9 дальнейшие операции по поверке ИК прекращаются, АИИС КУЭ бракуется и выписывается извещение о непригодности.
12 ОФОРМЛЕНИЕ РЕЗУЛЬТАТОВ ПОВЕРКИ-
12.1 Сведения о результатах поверки должны быть переданы в Федеральный информационный фонд по обеспечению единства измерений в соответствии с частью третьей статьей 20 Федерального закона № 102-ФЗ.
12.2. На основании положительных результатов поверки по заявлению правообладателя выписывают свидетельство о поверке АНИС КУЭ в соответствии с Приказом Минпромторга России от 31.07.2020 № 2510 «Об утверждении Порядка проведения поверки средств измерений, требования к знаку поверки и содержанию свидетельства о поверке».
12.3 При отрицательных результатах поверки хотя бы по одному из пунктов методики поверки АИИС КУЭ признается негодной к дальнейшей эксплуатации и на нее выдают извещение о непригодности в соответствии с Приказом Минпромторга России от 31.07.2020 № 2510 «Об утверждении Порядка проведения поверки средств измерений, требования к знаку поверки и содержанию свидетельства о поверке» с указанием причин.
Ведущий инженер по метрологии
Н.В. Полякова
23