Методика поверки «Гистерезисграф PERMAGRAPH C-300» (МП 27-261-2021)
Уральский научно исследовательский институт метрологии - филиал Федерального государственного унитарного предприятия «Всероссийский научно-исследовательский институт метрологии им.Д.И.Менделеева
(УНИИМ - филиал ФГУП «ВНИИМ им.Д.И.Менделеева»)
СОГЛАСОВАНО
И.о. директора УНИИМ - филиала
П «ВНИИМ ИМ.Д.И.Менделеева
* i 0=
Е.П. Собина
ГОСУДАРСТВЕННАЯ СИСТЕМА ОБЕСПЕЧЕНИЯ ЕДИНСТВА
ИЗМЕРЕНИЙ
Г истерезисграф PERMAGRAPH С-300
МЕТОДИКА ПОВЕРКИ МП 27-261-2021Екатеринбург 2021
ПРЕДИСЛОВИЕ-
1 РАЗРАБОТАНА
Уральским научно-исследовательским институтом метрологии - филиалом Федерального государственного унитарного предприятия «Всероссийский научно-исследовательский институт метрологии им Д.И Менделеева» (УНИИМ - филиалом ФГУП «ВНИИМ им. Д.И. Менделеева»),
-
2 ИСПОЛНИТЕЛИ
С. н.с. лаборатории 261
Т.Н. Маслова Е С. Никова
Старший инженер лаб.261
-
3 СОГЛАСОВАНО
И.о директора УНИИМ - филиала ФГУП «ВНИИМ им Д И Менделеева»
-
4 ВВЕДЕНА ВПЕРВЫЕ
СОДЕРЖАНИЕ
-
6 Метрологические и технические требования к средствам поверки
-
7 Требования (условия) по обеспечению безопасности проведения поверки
-
11 Определение метрологических характеристик средства измерений
-
12 Подтверждение соответствия средства измерений метрологическим требованиям
МП 27-261-2021
Дата введения в действие «21» сентября 2021 г.
1 Общие положения-
1.1 Настоящая методика поверки (далее - МП) распространяется на гистерезисграф PERMAGRAPH С-300, зав. № 112526 (далее - гистерезисграф), изготовленный Magnet-Physik Dr. Steingroever GmbH, Германия, и устанавливает процедуру его первичной и периодической поверок. Поверка гистерезисграфа должна производиться в соответствии с требованиями настоящей методики.
-
1.2 При проведении поверки, методом прямых измерений стандартных образцов утвержденного типа, должна обеспечиваться прослеживаемость гистерезисграфа к ГЭТ 198-2017 «Государственному первичному эталону единиц мощности магнитных потерь, магнитной индукции постоянного магнитного поля в диапазоне от 0,1 до 2,5 Тл и магнитного потока в диапазоне от Г10'5 до 3 10'2Вб», согласно поверочной схемы, утвержденной приказом Федерального агентства по техническому регулированию и метрологии № 2816 от 29.12.2018 г.
-
1.3 Интервал между поверками - 1 год.
В настоящей МП использованы ссылки на следующие документы:
|
ГОСТ 12.2.007.0-75 |
ССБТ. Изделия электротехнические. Общие требования безопасности. |
|
Приказ Росстандарта №2816 от 29.12.2018 г. |
Об утверждении государственной поверочной схемы для средств измерений мощности магнитных потерь магнитомягких материалов и магнитных характеристик магнитотвердых материалов |
|
Приказ Минпромторга России № 2906 от 28.08.2020 г. |
Об утверждении порядка создания и ведения Федерального информационного фонда по обеспечению единства измерений, передачи сведений в него и внесения изменений в данные сведения, предоставления содержащихся в нем документов и сведений |
|
Приказ Минпромторга России от 31.07.2020 №2510 Приказ Минтруда и Соцзащиты от |
Об утверждении порядка проведения поверки средств измерений, требования к знаку поверки и содержанию свидетельств о поверке Об утверждении правил по охране труда при эксплуатации электроустановок |
15.12.2020 №903н
3 Перечень операций поверки средств измерений
3.1 При поверке гистерезисграфа выполняют операции, указанные в таблице 1. Таблица 1 - Операции поверки
|
Наименование операции |
Номер пункта МП |
Проведение операций при | |
|
первичной поверке |
периодической поверке | ||
|
Внешний осмотр средства измерений |
8 |
Да |
Да |
|
Подготовка к поверке и опробование средства измерений |
9 |
Да |
Да |
|
Проверка программного обеспечения средства измерений |
10 |
Да |
Да |
Окончание таблицы 1
|
1 |
2 |
3 |
4 |
|
Определение метрологических характеристик средства измерений |
11 | ||
|
Определение относительной погрешности измерений магнитного потока |
11.1 |
Дд |
Нет |
|
Определение максимального значения и относительной погрешности максимальной напряженности магнитного поля |
11.2 |
Дд |
Нет |
|
Проверка относительной погрешности и СКО случайной составляющей относительной погрешности измерений магнитных характеристик образцов МТМ |
11.3 |
Да |
Да |
-
3.2 Если при выполнении той или иной операции выявлено несоответствие установленным требованиям, поверку приостанавливают, выясняют и устраняют причины несоответствия, после этого повторяют поверку по операции, по которой выявлено несоответствие. В случае повторного невыполнения требований поверка прекращается, гистерезисграф бракуется и выполняются операции по п. 13 настоящей МП.
-
3.3 При периодической поверке в соответствии с заявлением владельца гистерезисграфа допускается проведение поверки отдельных измерительных каналов (полюсных наконечников) из состава гистерезисграфа. При поверке гистерезисграфа в свидетельстве о поверке (в сведения о поверке, передаваемые в федеральный информационный фонд по обеспечению единства измерений) указать информацию об объеме проведенной поверки.
-
4.1 При проведении поверки должны соблюдаться следующие условия:
-
- температура окружающей среды, °C от 15 до 25;
-
- относительная влажность, %, не более 80.
Вибрация и тряска должны отсутствовать.
5 Требования к специалистам, осуществляющим поверку-
5.1 К проведению работ по поверке допускаются лица из числа специалистов, допущенных к поверке, работающих в организации, аккредитованной на право поверки средств магнитных измерений.
-
5.2 К поверке допускаются лица, прошедшие инструктаж по технике безопасности при работе с электроустановками, изучившие эксплуатационную документацию на гистерезисграф, эксплуатационную документацию на средства поверки и настоящую МП.
-
6.1 При проведении поверки применяют средства поверки согласно таблице 2.
Таблица 2 - Средства поверки
|
Наименование |
Метрологические и технические требования |
|
1 |
2 |
|
Катушка взаимной индуктивности (Рабочий эталон единицы магнитного потока 2-го разряда по ГОСТ 8.030-2013 ГСИ. Государственная поверочная схема для средств измерений магнитной индукции, магнитного потока, магнитного момента и градиента магнитной индукции) |
Номинальное значение воспроизведения коэффициента взаимной индуктивности 0,01 Вб/А (0,1 Гн/м) Доверительная граница относительной погрешности результата измерений при Р=0,95 составляет 0,034 % |
|
Катушка электрического сопротивления измерительная (Рабочий эталон электрического сопротивления 3-го разряда по поверочной схеме, утвержденной приказом Федерального агентства по техническому регулированию и метрологии от 30.12.2019 г. №3456) |
Номинальные значения воспроизведения электрического сопротивления 0,01; 0,1; и 1 Ом Доверительная граница относительной погрешности результата измерений при Р=0,95 составляет 0,001 % |
|
Вольтметр универсальный цифровой GDM-8246 (per. №34295-07) |
Диапазон измерения напряжения постоянного напряжения до 1000 В. Погрешность измерения в диапазоне до 500 мВ ±(0,0002Х+4к), свыше 500 мВ ±(0,0002Х+2к), где Х-измеренное значение, к -значение единицы младшего разряда на пределе измерения |
|
Измеритель напряженности магнитного поля Gauss-/ Teslameter FH 54 (per. №67445-17) |
Диапазон измерений (в режиме DC) напряженности постоянного магнитного поля от 2,4 до 1600,0 кА/м, диапазон измерений магнитной индукции постоянного магнитного поля от 0,003 до 2,0 Тл. Пределы допускаемой относительной погрешности измерений магнитной индукции, напряженности поля в режиме DC ± 1,5 % |
|
Флюксметр электронный EF-5 (per. № 60133-15) |
Диапазон измерений магнитного потока от 1-10’ до 0,1 Вб. Пределы допускаемой относительной погрешности измерений магнитного потока ± 0,2 % |
|
Стандартные образцы магнитных свойств магнитотвердых материалов на основе сплава NdFeB (набор МС NdFeB) ГСО 11059- 2018/ГСО 11062- 2018 |
Интервал допускаемых значений остаточной намагниченности от 715,0 до 1200,0 кА/м, границы допускаемых значений относительной погрешности ± 2,0 % Интервал допускаемых значений максимального энергетического произведения от 150,0 до 400,0 кДж/м3, границы допускаемых значений относительной погрешности ± 4,0 % Интервал допускаемых значений остаточной магнитной индукции от 0,9 до 1,5 Тл, границы допускаемых значений относительной погрешности ±2,0 % Интервал допускаемых значений коэрцитивной силы по индукции от 680 до 990 кА/м, границы допускаемых значений относительной погрешности ±3,0 % |
Окончание таблицы 2
|
1 |
2 |
|
Интервал допускаемых значений коэрцитивной силы по намагниченности от 800 до 3500 кА/м, границы допускаемых значений относительной погрешности ± 3,0 % | |
|
Стандартные образцы магнитных свойств магнитотвердых материалов на основе сплава SmCo (набор SmCo) ГСО 11148-2018/ГСО 11151-2018 |
Интервал допускаемых значений остаточной намагниченности от 1,0 до 2000,0 кА/м, границы допускаемых значений относительной погрешности ± 2,0 % Интервал допускаемых значений максимального энергетического произведения от 0,8 до 510,0 кДж/м3, границы допускаемых значений относительной погрешности ± 4,0 % Интервал допускаемых значений остаточной магнитной индукции от 0,1 до 2,5 Тл, границы допускаемых значений относительной погрешности ± 2,0 % Интервал допускаемых значений коэрцитивной силы по индукции от 80 до 1890 кА/м, границы допускаемых значений относительной погрешности ±3,0 % Интервал допускаемых значений коэрцитивной силы по намагниченности от 80 до 1890 кА/м, границы допускаемых значений относительной погрешности ± 3,0 % |
|
Термогигрометр |
Диапазоны измерений температуры и относительной влажности не менее требуемых по п. 4 |
|
Программируемый источник питания TDK-Lambda GEN 125 - 120 - MD -ЗР400 |
Максимальное выходное напряжение 125 В. Максимальный выходной ток 120 А. |
|
Катушка измерительная круглая |
Высота катушки не более 3,5 мм. Внешний диаметр обмотки не более 30 мм. |
|
Электромагнит № 1 |
Диапазон создаваемых значений индукции магнитного поля от 0,1 до 2,0 Тл. |
|
Образцы МТМ, изготовленные на основе сплавов NdFeB, AlNiCo и SmCo |
Диаметр не более 60 мм. Длина не более 48 мм, ширина не более 30 мм |
-
6.2 Эталоны, применяемые для поверки, должны быть поверены (аттестованы), средства измерений должны быть поверены. Стандартные образцы должны иметь действующие паспорта.
-
6.3 При проведении поверки допускается применение не указанных в п. 6.1 средств поверки, обеспечивающих определение метрологических характеристик гистерезисграфа с требуемой точностью.
-
7.1 При проведении поверки должны быть соблюдены требования Приказа Минтруда и Соцзащиты от 15.12.2020 № 903 н, требования ГОСТ 12.2.007.0, а также требования безопасности и меры предосторожности, указанные в эксплуатационной документации (далее - ЭД) на применяемые средства поверки.
-
8.1 При внешнем осмотре устанавливают:
-
- соответствие внешнего вида и комплектности гистерезисграфа сведениям, приведенным в описании типа;
отсутствие видимых дефектов, способных оказать влияние на безопасность проведения поверки или результаты поверки;
-
- наличие заземления;
-
- четкость обозначений и маркировки.
-
8.2 В случае, если при внешнем осмотре гистерезисграфа выявлены повреждения или дефекты, способные оказать влияние на безопасность проведения поверки или результаты поверки, поверка может быть продолжена только после устранения этих повреждений или дефектов.
-
9.1 Подготовка измерительной катушки
-
9.1.1 Обмотку измерительной катушки присоединить непосредственно ко входу флюксметра электронного EF 5.
-
9.1.2 С помощью источника питания в межполюсном пространстве электромагнита № 1 установить постоянное магнитное поле. Измерить значение магнитной индукции (Е)М , Тл) в зазоре электромагнита измерителем напряженности магнитного поля Gauss-/ Teslameter FH 54 (далее - измеритель магнитного поля).
-
9.1.3 Измерительную катушку поместить соосно в геометрический центр межполюсного пространства электромагнита № 1, так чтобы геометрический центр катушки совпал с геометрическим центром межполюсного пространства электромагнита № 1.
-
9.1.4 Сбросить магнитный поток, показываемый флюксметром. Извлечь измерительную катушку из межполюсного пространства на расстояние не менее чем 30 см. Не изменяя скорости, повернуть её на 180° и так же медленно возвратить в межполюсное пространство электромагнита № 1. Записать значение магнитного потока (Ф2цг, Во).
-
9.1.5 Рассчитать постоянную измерительной катушки (K5VVp Вб/Тл) по формуле
-
где Ф2П - магнитный поток, измеренный флюксметром, Во;
Вэм - магнитная индукция постоянного магнитного поля, измеренная измерителем магнитного поля, Тл.
-
9.1.6 Повторить операции 9.1.2 - 9.1.5 для трех значений магнитной индукции постоянного магнитного поля в зазоре электромагнита №1.
-
9.1.7 За значение постоянной измерительной катушки (Ksvv, Вб/Тл) принимают среднее арифметическое значение результатов измерений.
-
9.2 Подготовка гистерезисграфа
-
9.2.1 Перед проведением поверки к одному встроенному флюксметру гистерезисграфа подключают измерительную катушку, а к другому - датчик Холла. Включают гистерезис-граф, запускают ПО и подают питание с помощью красного выключателя.
-
9.2.2 Выдерживают гистерезисграф во включенном состоянии не менее 10 минут.
-
-
9.3 Опробование
-
9.3.1 Опробование проводят с помощью контрольного образца Ni (далее - КО), входящего в комплект гистерезисграфа. Измерение КО выполняют согласно п. 1.4 ПС.
-
9.3.2 При отсутствии показаний гистерезисграф признают непригодным к применению, дальнейшие операции не производятся.
-
-
10.1 Идентификационные данные программного обеспечения (далее - ПО) должны соответствовать указанным в таблице 3.
Таблица 3 - Идентификационные данные программного обеспечения
|
Идентификационные данные (признаки) |
Значение |
|
Идентификационное наименование ПО |
Регта |
|
Номер версии (идентификационный номер) ПО |
6.2.127 |
|
Цифровой идентификатор ПО |
- |
-
11.1.1 Определение относительной погрешности измерений магнитного потока провести для обоих флюксметров из состава гистерезисграфа.
-
11.1.2 Для определения относительной погрешности измерения магнитного потока провести методом прямых измерений значения магнитного потока, создаваемого КВИ при переключении направления тока. Для этого собрать схему в соответствии с рисунком 1.


п
Рисунок 1 - Схема измерений магнитного потока
БП - источник напряжения и тока стабилизированный (далее - блок питания); V - вольтметр постоянного напряжения;
R - катушка электрического сопротивления Р321;
КВИ - катушка взаимной индуктивности;
П - переключатель направления тока;
С-300 - гистерезисграф PERMAGRAPH С-300
Подключить первичную обмотку КВИ к блоку питания, а вторичную обмотку к разъему гистерезисграфа. Включить блок питания и подать напряжение на первичную обмотку КВИ. Скорректировать дрейф показаний, обнулить показания флюксметра и провести измерения потока флюксметром при переключении направления тока (Фи-, Во). Для уменьшения
Страница 10 из 15 воздействия внешних магнитных полей провести измерения магнитного потока для противоположного направления напряжения (Фи_, Во).
-
11.1.3 Зафиксировать значение напряжения (I/, В). Для каждого значения напряжения провести не менее трех измерений магнитного потока. Значения напряжения выбирают таким образом, чтоб обеспечить проверку магнитного потока во всем диапазоне измерений от 0,001 до 0,1 Во, но не менее чем в пяти точках, равномерно распределенных по диапазону.
-
11.2.1 На полюсах со встроенной измерительной катушкой
-
11.2.1.1 Установить в электромагните стандартные полюсные наконечники со встроенной измерительной катушкой Р 6/6. Установить между полюсами электромагнита зазор 10 мм. Задать максимальную напряженность постоянного магнитного поля в зазоре электромагнита и зафиксировать значение напряженности постоянного магнитного поля, измеренное гистерезисграфом (Нтах уст кА/м).
-
11.2.1.2 Обмотку измерительной катушки присоединить ко входу флюксметра. Измерительную катушку поместить соосно над измерительной катушкой, встроенной в полюс электромагнита, и зафиксировать её. Извлечь измерительную катушку из межполюсного пространства на расстояние не менее чем 30 см. Не изменяя скорости, повернуть её на 180° и так же медленно возвратить в межполюсное пространство электромагнита над измерительной катушкой, встроенной в полюс. Снять показания магнитного потока с табло флюксметра (Ф, Вб).
-
11.2.1.3 Изменить направление магнитного поля в зазоре электромагнита на противоположное, повторить операции п. 11.2.1.2.
-
11.2.1.4 Повторить операции п.п. 11.2.1.1 -11.2.1.3 для полюсных наконечников со встроенной измерительной катушкой Р 3/3.
-
11.2.2 На полюсах диаметром 92 мм
-
11.2.2.1 Установить в электромагните полюса диаметром 92 мм. На полюсе разместить компенсационную измерительную катушки JH 40-1. Установить зазор 10 мм между полюсами электромагнита. Задать максимальную напряженность постоянного магнитного поля в зазоре электромагнита и зафиксировать значение напряженности постоянного магнитного поля, измеренное гистерезисграфом (Ятах уст кА/м).
-
11.2.2.2 Повторить операции п.п. 11.2.1.1 -11.2.1.3
-
11.3.1 Провести на гистерезисграфе однократные измерения магнитных характеристик (остаточной намагниченности (Мг, кА/м), остаточной индукции (/С, Тл), коэрцитивной силы по индукции (НСв. кА/м), коэрцитивной силы по намагниченности (НСм- кА/м), максимального энергетического произведения ((ВН)тах, кДж/м3)) не менее трех стандартных образцов магнитных свойств магнитотвердых материалов на основе сплава NdFeB (набор МС NdFeB) ГСО 11059- 2018 / ГСО 11062- 2018 и на основе сплава SmCo (набор SmCo) ГСО 11148-2018 /ГСО 11151-2018 (далее-ГСО)1.
-
11.3.2 Провести на гистерезисграфе не менее пяти измерений магнитных характеристик (остаточной намагниченности (Мг, кА/м), остаточной индукции (Вг, Тл), коэрцитивной силы по индукции (НСв. кА/м), коэрцитивной силы по намагниченности (НСм. кА/м), макси-
мального энергетического произведения ^ВН)тах, кДж/м3)) не менее трех образцов МТМ на основе сплавов NdFeB, AlNiCo и SmCo (далее - образец).
12 Подтверждение соответствия средства измерений метрологическим требованиям 12.1 Определение относительной погрешности измерений магнитного потока-
12.1.1 Для значений магнитного потока, полученных по п. 11.1.2 для противоположных направлений тока, рассчитать среднее из этих значений по формуле
-
12.1.2 Для полученных значений напряжений по п. 11.1.3 рассчитать магнитный поток, создаваемый КВИ, по формуле
Фрасч ‘ Кф • r
(3)
где Кф - действительное значение взаимной индуктивности КВИ, Во/А;
U - напряжение тока. В;
R - действительное значение сопротивления катушки электрического сопротивления, Ом.
-
12.1.3 Для полученных по п. 11.1.3 рядов измеренных значений магнитного потока вычислить среднее арифметическое значение результатов измерений и среднее квадратическое отклонение результата измерений по формулам (4) и (5) соответственно

(4)

(5)
где Фи - среднее арифметическое значение измеренного магнитного потока, Вб;
Фи. - /-ое измеренное значение магнитного потока, Вб;
5 - среднее квадратическое отклонение результата измерений, Вб;
п - число измерений, п >5.
-
12.1.4 Вычислить отклонение измеренного магнитного потока от образцового (21ф, %) по формуле
• 100
(6)
-
12.1.5 Вычислить неисключенную систематическую составляющую (0„, %) погрешности результата измерений магнитного потока обусловленную используемыми средствами измерений по формуле

где 8и - относительная погрешность измерения напряжения, %;
Страница 12 из 15 ^кви ~ относительная погрешность действительного значения взаимной индуктивности КВИ, %;
SR - относительная погрешность действительного значения сопротивления катушки электрического сопротивления, %;
Дф - отклонение измеренного магнитного потока от рассчитанного, %.
-
12.1.6 Вычислить величину относительной погрешности измерений магнитного потока (5Ф, %) для доверительной вероятности 0,95 по формуле

(8)
-
12.1.7 Относительная погрешность измерений магнитного потока должна быть в пределах ±1,0 %.
-
12.2.1 Для значений магнитного потока, полученных в п.п. 11.2.1 - 11.2.2, рассчитать измеренное значение напряженности постоянного магнитного поля (Нр, кА/м) в зазоре электромагнита для противоположных направлений магнитного поля по формуле
Ф
Н„ =----------, ( 9 )
Р 1000-До^
где Ф - магнитный поток, измеренный флюксметром, Во;
ц0 - магнитная постоянная, равная 4л 10-7 Тл м/А=12,5664 10"' Тл м/А [согласно «CODATA recommended values of the fundamental physical constants: 2014»];
Ksw - постоянная измерительной катушки, определенная в соответствии с п.9.1, Вб/Тл.
-
12.2.2 За максимальное значение напряженности постоянного магнитного поля (Нтах, кА/м), принять значение, рассчитанное по формуле
Нтах ~~

(10)
где |Нр+|,|Яр_| - абсолютные значения напряженности магнитного поля для противоположных направлений магнитного поля, кА/м
-
12.2.3 Максимальная напряженность магнитного поля в зазоре 10 мм для полюсов Р 6/6 и Р 3/3 должна быть не менее 2500 кА/м, для полюсов диаметром 92 мм - не менее 1700 кА/м
-
12.2.4 Вычислить отклонение установленного значения напряженности магнитного поля от измеренного значения (<50тк, %) по формуле
отк
^уст ^нзм
^изм
• 100,
(11)
где Нусг - значение напряженности постоянного магнитного поля, создаваемого в зазоре электромагнита гистерезисграфа, кА/м;
А7ИЗМ “ измеренное значение напряженности постоянного магнитного поля, кА/м.
-
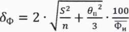
12.2.5 Рассчитать относительную погрешность максимальной напряженности магнитного поля в зазоре электромагнита в относительном виде (<5Н, %)
Зн = 1,1 ■ V2-^ + ^ + Ck . (12 )
где 5Ф - относительная погрешность измерения магнитного потока флюксметром, %;
- относительная погрешность измерения магнитной индукции, %;
50тк _ отклонение устанавливаемого значения напряженности магнитного поля от измеренного, %.
-
12.2.6 Значения относительной погрешности максимальной напряженности магнитного поля должны быть в пределах ±3,0 %.
-
12.3.1 Для рядов значений по п. 11.3.1 рассчитать относительную погрешность измерений магнитных характеристик на каждом ГСО по формуле

(13)
где Хизм. - магнитная характеристика i-го ГСО, измеренная на гистерезисграфе, (Мг, кА/м), (Вг. Тл), (Нс„, кА/м), (НСм, кА/м), ((ВН)тох, кДж/м1);
Хне; ~ аттестованное значение магнитной характеристики i-го ГСО, указанное в паспорте, (Мг, кА/м), (Вг, Тл), (НСв, кА/м), (НСм, кА/м), ((SH)max, кДж/м3);
ДХ!|С - абсолютная погрешность аттестованного значения магнитной характеристики i-го ГСО, указанное в паспорте, (Мг, кА/м), (Д, Тл), (НСв, кА/м), (НСм, кА/м), ((SW)max, кДж/м3).
12 3.2 Значения относительной погрешности измерений магнитных характеристик не должны превышать значений, указанных в таблице 4.
Таблица 4 - Значения относительной погрешности измерений магнитных характеристик, %
|
Наименование магнитной характеристики |
Значение |
|
Остаточная намагниченность образца, Мг |
±3,5 |
|
Остаточная индукция, Вг, |
±3,5 |
|
Коэрцитивная сила по индукции, НСв |
±4,5 |
|
Коэрцитивная сила по намагниченности, НСм, |
±4,5 |
|
Максимальное энергетическое произведение, (ВН)тах |
±5,5 |
-
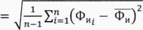
12.3.3 Для рядов значений магнитных характеристик по п. 11.3.2 для каждого образца вычислить среднее арифметическое значение результата измерений и СКО случайной составляющей относительной погрешности по формулам:

S?=i(xHj. хи7)2 юо
(15)
(п-1) liT
где Хц. - среднее арифметическое значение результата измерений магнитной характеристик j-го образца, (Мг, кА/м), (Кг, Тл), (НСв, кА/м), (НСм. кА/м), кДж/м3);
Хц. - магнитная характеристика j-го образца, измеренная на гистерезисграфе, (Мг, кА/м), (Вг, Тл), (НСв. кА/м), (НСм, кА/м), ((ВН)тах, кДж/м3);
5хИу. - СКО случайной составляющей относительной погрешности измерений магнитной характеристик j -го образца, %;
п - число измерений, п>5.
-
12.3.4 Значения СКО случайной составляющей относительной погрешности измерений магнитных характеристик не должны превышать значений, указанных в таблице 5.
Таблица 5 - Значения относительной СКО случайной составляющей относительной по-
грешности измерений магнитных характеристик, %
|
Наименование магнитной характеристики |
Значение |
|
Остаточная намагниченность образца, Мг |
1,5 |
|
Остаточная индукция, Вг, |
1,5 |
|
Коэрцитивная сила по индукции, НСп |
1,5 |
|
Коэрцитивная сила по намагниченности, НСм, |
1,5 |
|
Максимальное энергетическое произведение, (ВН)тах |
2,0 |
-
13.1 Результаты поверки оформляют протоколом, форма протокола произвольная.
-
13.2 При положительных результатах поверки гистерезисграф признают пригодным к применению и оформляют результаты поверки в соответствии с Приказом Минпромторга России от 31 июля 2020 г. № 2510 «Об утверждении Порядка проведения поверки средств измерений, требований к знаку поверки и содержанию свидетельства о поверке» или в соответствии с порядком, действующим на момент проведения поверки или действующими на момент проведения поверки нормативно-правовыми актами в области обеспечения единства измерений. Знак поверки на гистерезисграф не наносится.
-
13.3 При отрицательных результатах поверки гистерезисграф признают непригодным к применению в сфере государственного регулирования обеспечения единства измерений и оформляют результаты в соответствии с Приказом Минпромторга России от 31 июля 2020 г. № 2510 «Об утверждении Порядка проведения поверки средств измерений, требований к знаку поверки и содержанию свидетельства о поверке» или действующими на момент проведения поверки нормативно-правовыми актами в области обеспечения единства измерений.
-
13.4 Сведения о результатах и объемах проведенной поверки передают в Федеральный информационный фонд по обеспечению единства измерений в соответствии с Приказом Минпромторга России от 28.08.2020 г. № 2906 «Об утверждении порядка создания и ведения Федерального информационного фонда по обеспечению единства измерений.
Страница 15 из 15 передачи сведений в него и внесения изменений в данные сведения, предоставления содержащихся в нем документов и сведений».
Разработчики:
С. н.с. лаб. 261 УНИИМ - филиала ФГУП «ВНИИМ им. Д. И. Менделеева»
Ст. инженер, лаб. 261 УНИИМ - филиала ФГУП «ВНИИМ им. Д.И.Менделеева»
Маслова

Е С. Никова
Образцы МТМ на основе сплавов NdFeB и SmCo должны быть предварительно намагничены до насыщения
