Методика поверки «Система автоматизированная информационно-измерительная коммерческого учёта электроэнергии (АИИС КУЭ) АО "ТЭК" » (МП СМО-2307-2021 )

Юр.адрес: 600017, область Владимирская, г. Владимир, ул. Сакко и Ванцетти, д. 23, оф. 9
ИНН: 3328489050 КПП: 332801001
ОГРН: 1133328001730
Акционерное общество «РЭС Групп»
(ЗАО «Росэнергосервис» до 19.04.2016)
Адрес: 600017. г. Владимир, ул. Сакко и Ванцетти, д.23, оф.9
Телефон: 8(4922)-222-162, Факс: 8(4922)-423-162
E-mail: post@orem.su, wvw.orem.su
СОГЛАСОВАНО:
Заместитель генерального

ГОСУДАРСТВЕННАЯ СИСТЕМА ОБЕСПЕЧЕНИЯ ЕДИНСТВА ИЗМЕРЕНИЙ
Система автоматизированная информационно-измерительная
коммерческого учета электроэнергии (АИИС КУЭ)
АО «ТЭК»
Методика поверки
МП СМО-2307-2021
2021 г.
Содержание-
6 МЕТРОЛОГИЧЕСКИЕ И ТЕХНИЧЕСКИЕ ТРЕБОВАНИЯ К СРЕДСТВАМ ПОВЕРКИ
-
7 ТРЕБОВАНИЯ (УСЛОВИЯ) ПО ОБЕСПЕЧЕНИЮ БЕЗОПАСНОСТИ ПРОВЕДЕНИЯ
-
10 ОПРЕДЕЛЕНИЕ МЕТРОЛОГИЧЕСКИХ ХАРАКТЕРИСТИК СРЕДСТВА ИЗМЕРЕНИЙ 15
-
12 ПОДТВЕРЖДЕНИЕ СООТВЕТСТВИЯ СРЕДСТВА ИЗМЕРЕНИЙ
Настоящая методика распространяется на измерительные каналы (далее — ИК) системы автоматизированной информационно-измерительной коммерческого учета электроэнергии (АНИС КУЭ) АО «ТЭК» (далее - АНИС КУЭ), предназначенной для измерения активной и реактивной электроэнергии, потребленной за установленные интервалы времени отдельными технологическими объектами АО «ТЭК», сбора, хранения, обработки и передачи полученной информации.
Перечень ИК и их метрологические характеристики приведены в паспорте-формуляре АИИС КУЭ.
1 ОБЩИЕ ПОЛОЖЕНИЯПоверке подлежит каждый ИК АИИС КУЭ, реализующий косвенный метод измерений электрической энергии. ИК подвергают поверке покомпонентным (поэлементным) способом с учетом положений раздела 8 ГОСТ Р 8.596-2002.
Допускается проведение поверки отдельных ИК АИИС КУЭ, с обязательным указанием в приложении к свидетельству о поверке информации об объеме проведенной поверки.
Допускается проведение поверки АИИС КУЭ с составом ИК, непосредственно применяемых для измерений в сфере государственного регулирования обеспечения единства измерений.
Первичную поверку АИИС КУЭ проводят после утверждения типа АИИС КУЭ. Допускается при поверке использовать положительные результаты испытаний по опробованию методики поверки. При этом свидетельство о поверке оформляется только после утверждения типа АИИС КУЭ.
Периодическую поверку АИИС КУЭ проводят в процессе эксплуатации АИИС КУЭ. Периодичность поверки (межповерочный интервал) АИИС КУЭ - раз в 4 года.
В рамках поверки документально подтверждается обеспечение прослеживаемости к государственным первичным эталонам поверяемой АИИС КУЭ (измерительные компоненты утвержденных типов и имеют действующие свидетельства о поверке элементов АИИС КУЭ (измерительные трансформаторы тока, измерительные трансформаторы напряжения, счетчики, устройства сбора и передачи данных):
-
- ГЭТ88-2014. ГПСЭ единицы силы электрического тока в диапазоне частот 20 - Г106 Гц;
-
- ГЭТ89-2008. ГПСЭ единицы электрического напряжения (вольта) в диапазоне частот 10-ЗхЮ7 Гц;
-
- ГЭТ153-2019. ГПЭ единицы электрической мощности в диапазоне частот от 1 до 2500 Гц;
-
- ГЭТ1-2018. ГПЭ единиц времени, частоты и национальной шкалы времени.
Для обеспечения прослеживаемости, входящие в состав ИК АИИС КУЭ средства измерений (измерительные компоненты) должны быть утвержденных типов, и поверяться в соответствии с интервалами между поверками, установленными при утверждении их типа. Если очередной срок поверки средства измерений (измерительного компонента) наступает до очред-ного срока поверки АИИС КУЭ, поверяется только этот компонент, а поверка всей АИИС КУЭ не проводится. После поверки средства измерений (измерительного компонента) и восстановления ИК выполняется проверка ИК, той его части и в том объеме, который необходим для того, чтобы убедиться, что действия, связанные с поверкой средства измерений (измерительного компонента), не нарушили метрологических характеристик ИК (схема соединения, коррекция времени и т.п.).
После ремонта АИИС КУЭ, аварий в энергосистеме, если эти события могли повлиять на метрологические характеристики ИК, а также после замены средств измерений (измерительных компонентов), входящих в их состав, проводится внеочередная поверка АИИС КУЭ в объеме первичной поверки. Допускается проводить поверку только тех ИК, которые подверглись указанным выше воздействиям. При этом в случае, если замененные средства измерений (измерительные компоненты) не соответствуют описанию типа АИИС КУЭ, срок действия свидетельства о поверке АИИС КУЭ в части указанных ИК устанавливается до окончания срока действия основного свидетельства о поверке. Во всех указанных случаях оформляется технический акт о внесенных изменениях, который должен быть подписан руководителем или уполномоченным им лицом и руководителем или представителем метрологической службы предприятия-владельца АИИС КУЭ. Технический акт хранится совместно со свидетельством о поверке, как неотъемлемая часть эксплуатационных документов АИИС КУЭ.
2 НОРМАТИВНЫЕ ССЫЛКИВ настоящей методике использовались ссылки на следующие нормативные документы: Приказ Минпромторга России от 31.07.2020 № 2510 «Об утверждении порядка проведения поверки средств измерений, требований к знаку поверки и содержанию свидетельства о поверке».
Приказ Минпромторга России от 28.08.2020 № 2907 «Об утверждении порядка установления и изменения интервала между поверками средств измерений, порядка установления, отмены методик поверки и внесения изменений в них, требований к методикам поверки средств измерений».
РМГ 51-2002 ГСП. Документы на методики поверки средств измерений. Основные положения;
ГОСТ Р 8.596-2002 ГСП. Метрологическое обеспечение измерительных систем. Основные положения
ГОСТ 8.216-88 ГСП. Трансформаторы напряжения. Методика поверки.
ГОСТ 8.217-2003 ГСИ. Трансформаторы тока. Методика поверки.
ГОСТ 7746-2015. Трансформаторы тока. Общие технические условия.
ГОСТ 1983-2015. Трансформаторы напряжения. Общие технические условия.
ГОСТ Р 52323-2005 (МЭК 62053-22:2003). Аппаратура для измерения электрической энергии переменного тока. Частные требования. Часть 22. Статические счетчики активной энергии классов точности 0,2S и 0,5S.
ГОСТ Р 52425-2005 (МЭК 62053-23:2003) Аппаратура для измерения электрической энергии переменного тока. Частные требования. Часть 23. Статические счетчики реактивной энергии.
ГОСТ 31818.11-2012 (IEC 62052-11:2003). Аппаратура для измерения электрической энергии переменного тока. Общие требования. Испытания и условия испытаний. Часть И. Счетчики электрической энергии
ГОСТ 31819.22-2012 (IEC 62053-22:2003). Аппаратура для измерения электрической энергии переменного тока. Частные требования. Часть 22. Статические счетчики активной энергии классов точности 0,2S и 0,5S
ГОСТ 31819.23-2012 (IEC 62053-23:2003). Аппаратура для измерения электрической энергии переменного тока. Частные требования. Часть 23. Статические счетчики реактивной энергии.
ГОСТ 22261-94. Средства измерений электрических и магнитных величин. Общие технические условия.
ГОСТ Р 8.654-2015 «ГСИ. Требования к программному обеспечению средств измерений. Основные положения»
ГОСТ 12.2.003-91 ССБТ. Оборудование производственное. Общие требования безопасности
ГОСТ 12.2.007.0-75. ССБТ. Изделия электротехнические. Общие требования безопасности.
ГОСТ 12.2.007.3-75. ССБТ. Электротехнические устройства на напряжение свыше 1000 В. Требования безопасности.
ГОСТ 12.3.019-80. Испытания и измерения электрические. Общие требования безопасности.
3 ПЕРЕЧЕНЬ ОПЕРАЦИЙ ПОВЕРКИ СРЕДСТВА ИЗМЕРЕНИЙПри проведении поверки выполняют операции, указанные в таблице 1.
Таблица 1 - Операции поверки
Наименование операции |
Номер пункта НД по поверке |
Обязательность проведения операции при | |
первичной поверке |
периодической поверке | ||
1 Подготовка к поверке |
9.1 |
Да |
Да |
2 Внешний осмотр средства измерений |
8 |
Да |
Да |
3 Проверка соответствия измерительных компонентов АИИС КУЭ |
9.2 |
Да |
Да |
4 Проверка счетчиков электрической энергии |
9.3 |
Да |
Да |
5 Проверка функционирования компьютеров АИИС КУЭ (сервера или АРМ) |
9.4 |
Да |
Да |
6 Проверка функционирования вспомогательных устройств |
9.5 |
Да |
Да |
7 Проверка нагрузки на вторичные цепи измерительных трансформаторов напряжения |
9.6 |
Да |
Да |
8 Проверка нагрузки на вторичные цепи измерительных трансформаторов тока |
9.7 |
Да |
Да |
9 Проверка падения напряжения в линии связи счетчика с измерительным трансформатором напряжения |
9.8 |
Да |
Да |
10 Проверка погрешности системы обеспечения единого времени |
9.9 |
Да |
Да |
11 Проверка отсутствия ошибок информационного обмена |
9.10 |
Да |
Да |
12 Определение метрологических характеристик средства измерений |
10 |
Да |
Да |
13 Проверка программного обеспечения |
И |
Да |
Да |
14 Подтверждение соответствия средства измерений метрологическим требованиям |
12 |
Да |
Да |
15 Оформление результатов поверки |
13 |
Да |
Да |
Влияющие величины, определяющие условия поверки АИИС КУЭ, должны находиться в пределах, указанных в описании типа и паспорте-формуляре АИИС КУЭ, описаниях типа и технической документации измерительных компонентов и средств поверки.
5 ТРЕБОВАНИЯ К СПЕЦИАЛИСТАМ, ОСУЩЕСТВЛЯЮЩИМ ПОВЕРКУ-
5.1 К проведению поверки АИИС КУЭ допускают поверителей, изучивших настоящую методику поверки.
-
5.2 Измерение вторичной нагрузки измерительных трансформаторов тока, входящих в состав АИИС КУЭ, осуществляется персоналом, имеющим стаж работы по данному виду измерений не менее 1 года, изучившим документ «Методика выполнения измерений параметров нагрузки и вторичных цепей трансформаторов тока и напряжения прибором «Энергомонитор З.ЗТ» в условиях эксплуатации», аттестованный ГЦИ СИ «ВНИИМ им. Д.И. Менделеева», свидетельство об аттестации № 2203/131А-00340 от 17.04.2007 г. Измерение проводят не менее двух специалистов, имеющих допуск к работам в электроустановках выше 1000 В, один из которых должен иметь группу по электробезопасности не ниже IV.
-
5.3 Измерение вторичной нагрузки измерительных трансформаторов напряжения, входящих в состав АИИС КУЭ, осуществляется персоналом, имеющим стаж работы по данному виду измерений не менее 1 года, изучившим документ «Методика выполнения измерений параметров нагрузки и вторичных цепей трансформаторов тока и напряжения прибором «Энергомонитор З.ЗТ» в условиях эксплуатации», аттестованный ГЦИ СИ «ВНИИМ им. Д.И. Менделеева», свидетельство об аттестации № 2203/131А-00340 от 17.04.2007 г. Измерение проводят не менее двух специалистов, имеющих допуск к работам в электроустановках выше 1000 В, один из которых должен иметь группу по электробезопасности не ниже IV.
-
5.4 Измерение потерь напряжения в линии соединения счетчика с измерительным трансформатором напряжения, входящими в состав АИИС КУЭ, осуществляется персоналом, имеющим стаж работы по данному виду измерений не менее 1 года, изучившим документ МИ 3598-2018 «Методика измерений потерь напряжения в линиях соединения счетчика с трансформатором напряжения в условиях эксплуатации» Измерение проводят не менее двух специалистов, имеющих допуск к работам в электроустановках выше 1000 В, один из которых должен иметь группу по электробезопасности не ниже IV.
При проведении поверки применяют средства измерений и вспомогательные устройства, в соответствии с методиками поверки, указанными в описаниях типа на средства измерений (измерительные компоненты) АИИС КУЭ, а также приведенные в таблице 2.
^ аблица 2 — Средства поверки и вспомогательные устройства
Наименование средства измерений |
Измеряемая величина |
Метрологические характеристики |
Номер пункта НД по поверке |
1 |
2 |
3 |
4 |
Термогигрометр «Ива-бН-КП-Д» |
Температура окружающего воздуха |
Диапазон измерений: от -20 до +60 °C; пределы допускаемой основной погрешности: ± 0,3 °C |
4,9.1 |
Относительная влажность воздуха |
Диапазон измерений: от 0 до 90 %; пределы допускаемой основной погрешности: ±2,0 % при 23 °C |
4,9.1 | |
Атмосферное дав ление |
Диапазон измерений: от 70 до 110 кПа; пределы допускаемой основной погрешности: ±0,25 кПа |
4, 9.1 | |
Миллитесламетр ТПУ-01 |
Магнитная индукция внешнего происхождения |
Диапазон измерений: от 0,001 до 1,999 мТл; от 0,01 до 19,99 мТл; от 0,1 до 199,9 мТл; Пределы основной относительной погрешности измерений постоянного магнитного поля: ±[2,0+0,1 (Вп/В-1)]; средневыпрямленных значений переменного магнитного поля в диапазоне частот 1-5000 Гц: ±[2,5+0,2-(Вп/В-1)]; |
4,9.1 |
Энергомонитор- З.ЗТ1 (2 шт.) |
Действующее (среднеквадратическое) значение переменного напряжения |
Диапазон измерений: от 0,6 до 360 В; пределы относительной погрешности измерений: ±[0,1+0,01 (Uk/Uh—1)] % |
9.6, 9.7, 9.8 |
Действующее (среднеквадратическое) значение переменного тока |
Диапазон измерений: от 0,5 до 4500 А; пределы относительной погрешности измерений: ±[1+0,05(1к /1и -1)] % |
9.6, 9.7, 9.8 |
Продолжение таблицы 2
1 |
2 |
3 |
4 |
Термометр стеклянный жидкостной вибростойкий авиационный ТП-6 |
Температура окружающей среды |
Диапазон измерений: от -55 до -40°С; пределы относительной погрешности измерений: ±3; Диапазон измерений: от -40 до -20°С; пределы относительной погрешности измерений: ±2; Диапазон измерений: от -20 до +55°С; пределы относительной погрешности измерений: ±1 |
4,9.1 |
Радиочасы МИР РЧ-02.00 |
Сигналы точного времени |
Пределы допускаемой абсолютной погрешности измерений ±1 мкс |
9.9 |
Переносной компьютер с ПО и оптический преобразователь для работы со счетчиками и с ПО для работы с радиочасами МИР РЧ-02
Примечания
-
1. Допускается применение других средств поверки с метрологическими характеристиками, обеспечивающими требуемые точности измерений (согласно таблице 2).
-
2. Все средства измерений, применяемые при поверке, должны быть утвержденного типа, а также иметь действующие свидетельства о поверке.
-
7.1 При проведении поверки должны быть соблюдены требования безопасности, установленные ГОСТ 12.2.007.0, ГОСТ 12.2.007.3, «Правилами техники безопасности при эксплуатации электроустановок потребителей», «Правилами по охране труда при эксплуатации электроустановок», а также требования безопасности на средства поверки, поверяемые трансформаторы и счетчики, изложенные в их руководствах по эксплуатации.
-
7.2 При применении эталонов, средств измерений, вспомогательных средств поверки и оборудования должны обеспечиваться требования безопасности согласно ГОСТ 12.2.003, ГОСТ 12.2.007.3.
-
8.1 Проверяют целостность корпусов и отсутствие видимых повреждений средств измерений (измерительных компонентов), наличие пломб электросетевых (энергосбытовых) организаций и маркировку средств измерений (измерительных компонентов) и технических средств в соответствии с ГОСТ 22261-94.
Результаты проверки считаются положительными, если не выявлено видимых повреждений средств измерений (измерительных компонентов), а также имеются перечисленные выше пломбы на средствах измерений (измерительных компонентах).
При обнаружении отсутствия пломб на средствах измерений (измерительных компонентах) и испытательных коробках дальнейшие операции по поверке ИК, в который входят данные средства измерений (измерительные компоненты) и испытательные коробки, выполняют после соответствующего опломбирования.
Если выявлены видимые повреждения средств измерений (измерительных компонентов) и маркировка технических средств не соответствует требованиям ГОСТ 22261-94, а также если указанные выше замечания не были устранены за время поверки, то результаты проверки ИК, в который входят данные средства измерений (измерительные компоненты), считаются отрицательными, выписывается извещение о непригодности в соответствии с разделом 13 данной методики поверки.
-
8.2 Проверяют наличие заземления корпусов компонентов АИИС КУЭ и металлических шкафов, в которых они расположены.
Результаты проверки считают положительными, если корпуса компонентов и шкафы, в которых они установлены, имеют защитное заземление.
В противном случае результаты проверки соответствующих ИК считаются отрицательными, выписывается извещение о непригодности в соответствии с разделом 13 данной методики поверки.
-
8.3 Проверяют наличие напряжения питания на счетчиках, сервере, устройстве синхронизации времени, вспомогательном оборудовании (модемы, преобразователи интерфейса и пр.).
Результаты проверки считаются положительными, если:
-
- работает жидкокристаллический индикатор каждого счетчика;
-
- светятся соответствующие светодиоды, сигнализирующие о наличии питания, расположенные на сервере, устройстве синхронизации времени, вспомогательном оборудовании, и при этом не светятся светодиоды, сигнализирующие о наличии ошибок (если такие светодиоды имеются).
В противном случае дальнейшие операции по поверке ИК, в который входят данные компоненты, выполняют после восстановления питания.
Если отсутствует возможность подачи напряжения питания на компоненты АИИС КУЭ, то результаты проверки ИК, в который входят данные компоненты, считаются отрицательными, выписывается извещение о непригодности в соответствии с разделом 13 данной методики поверки.
-
8.4 Проверяют отсутствие следов коррозии и нагрева в местах подключения проводных линий.
Результаты проверки считаются положительными, если не выявлено следов коррозии и нагрева.
В противном случае дальнейшие операции по поверке ИК, в составе которых обнаружены проводные линии со следами коррозии и/или нагрева, выполняют после устранения несоответствий.
Если указанные выше замечания не были устранены за время поверки, то результаты проверки соответствующих ИК считаются отрицательными, выписывается извещение о непригодности в соответствии с разделом 13 данной методики поверки.
-
9 ПОДГОТОВКА К ПОВЕРКЕ И ОПРОБОВАНИЕ СРЕДСТВА ИЗМЕРЕНИЙ
-
9.1.1 Перед проведением поверки выполняют следующие подготовительные работы:
-
- проводят технические и организационные мероприятия по обеспечению безопасности поверочных работ в соответствии с действующими правилами и руководствами по эксплуатации применяемого оборудования;
-
- средства поверки выдерживают в условиях и в течение времени, установленных в их эксплуатационных документах;
-
- все средства измерений, которые подлежат заземлению, должны быть надежно заземлены, подсоединение зажимов защитного заземления к контуру заземления должно производиться ранее других соединений, а отсоединение - после всех отсоединений.
-
9.1.2 Для проведения поверки подготавливают следующую документацию:
-
- паспорт-формуляр АИИС КУЭ;
-
- описание типа АИИС КУЭ;
-
- паспорта заводов-изготовителей средств измерений (измерительных компонентов) с оттисками клейма поверителя или свидетельства о поверке средств измерений (измерительных компонентов), входящих в ИК, и свидетельство о предыдущей поверке АИИС КУЭ (при периодической и внеочередной поверке);
-
- паспорта-протоколы на измерительно-информационные комплексы (при наличии);
-
- рабочие журналы АИИС КУЭ с данными по климатическим и иным условиям эксплуатации за межповерочный интервал (только при периодической поверке);
-
- акты допуска приборов учета в эксплуатацию в электроустановках напряжением до и выше 1000 В (при наличии) или аналогичные документы.
-
9.2.1 Проверяют правильность расположения и монтажа средств измерений (измерительных компонентов), правильность схем подключения ТТ и TH к счетчикам электрической энергии; правильность прокладки проводных линий связи по проектной документации на АНИС КУЭ.
-
9.2.2 Проверяют соответствие типов, классов точности и заводских номеров фактически использованных средств измерений (измерительных компонентов), а также коэффициентов трансформации измерительных трансформаторов указанным в описании типа АНИС КУЭ и/или паспорте-формуляре. При необходимости производят отключение электроустановки.
-
9.2.3 Проверяют результаты поверки всех средств измерений (измерительных компонентов), входящих в состав АИИС КУЭ: измерительных трансформаторов тока и напряжения, счетчиков электрической энергии, устройства синхронизации времени (свидетельства о поверке данных средств измерений (измерительных компонентов) или паспорта заводов-изготовителей средств измерений (измерительных компонентов) с оттисками клейма поверителя) и срок их действия.
Допускается при обнаружении просроченных свидетельств о поверке средств измерений (измерительных компонентов) проводить их поверку на месте эксплуатации в процессе поверки АИИС КУЭ. Средства измерений (измерительные компоненты) поверяются по методикам поверки, утвержденным при утверждении их типа.
-
9.2.4 Результаты проверки считаются положительными, если:
-
- не выявлено несоответствий по пп. 9.2.1-9.2.3;
срок действия результатов поверки средств измерений (измерительных компонентов), входящих в состав АИИС КУЭ, не истек.
В противном случае:
-
- дальнейшие операции по поверке ИК, в который входят указанные средства измерений (измерительные компоненты), выполняют после поверки этих средств измерений (измерительных компонентов);
-
- в случае невозможности поверки указанных средств измерений (измерительных компонентов), а также при выявлении несоответствий по пп. 9.2.1-9.2.3, результаты проверки считаются отрицательными, и выписывается извещение о непригодности в соответствии с разделом 13 данной методики поверки.
-
9.3.1 Проверяют наличие документов электросетевых (энергосбытовых) организаций, подтверждающих правильность подключения счетчика к цепям тока и напряжения, в частности, правильность чередования фаз. При отсутствии таких документов или нарушении (отсутствии) пломб проверяют правильность подключения счетчиков к цепям тока и напряжения (соответствие схем подключения - схемам, приведенным в паспорте на счетчик). Проверяют последовательность чередования фаз с помощью измерителя напряжения с токовыми клещами. При проверке последовательности чередования фаз действуют в соответствии с указаниями, изложенными в руководстве по его эксплуатации.
-
9.3.2 Проверяют работу всех сегментов индикаторов счетчиков, отсутствие кодов ошибок или предупреждений, прокрутку параметров в заданной последовательности.
-
9.3.3 Проверяют работоспособность оптического порта счетчика с помощью переносного компьютера. Оптический преобразователь подключают к последовательному порту переносного компьютера. Опрашивают счетчик по установленному соединению.
-
9.3.4 Проверяют соответствие индикации даты в счетчике календарной дате (число, месяц, год). Проверку осуществляют визуально или с помощью переносного компьютера через оптический порт.
-
9.3.5 Проверяют программную защиту счетчиков от несанкционированного доступа. Подключают оптический порт к инфракрасному порту счетчика и порту USB переносного компьютера, запускают на переносном компьютере ПО для работы со счетчиком. Или с помощью специализированного ПО конфигурирования счетчиков, установленного на сервере, посредством удаленного доступа в соответствии с описанием ПО устанавливают связь со счетчиком. В поле «пароль» вводят неправильный код.
-
9.3.6 Результаты проверки считаются положительными, если:
-
- подтверждена правильность подключения счетчиков к цепям тока и напряжения, а также последовательность чередования фаз;
все сегменты индикаторов счетчиков работают, отсутствуют коды ошибок или предупреждений;
при опросе счетчика по оптическому порту с помощью переносного компьютера получен отчет, содержащий данные, зарегистрированные счетчиком;
-
- календарная дата в счетчике соответствует текущей календарной дате;
-
- при вводе неправильного пароля программа опроса счетчика выдает сообщение об ошибке и не разрешает продолжить работу.
При обнаружении каких-либо несоответствий по пп. 9.3.1-9.3.5 дальнейшие операции по поверке ИК, в который входит данный счетчик, выполняют после устранения несоответствий.
Если указанные выше замечания не были устранены за время поверки, то результаты проверки считаются отрицательными, и выписывается извещение о непригодности в соответствии с разделом 13 данной методики поверки.
9.4 Проверка функционирования компьютеров АИИС КУЭ (сервера или АРМ)-
9.4.1 Проводят опрос текущих показаний всех счетчиков электроэнергии.
-
9.4.2 Проверяют глубину хранения измерительной информации в центральном сервере АИИС КУЭ.
-
9.4.3 Проверяют защиту программного обеспечения на компьютере АИИС КУЭ от несанкционированного доступа. Для этого запускают на выполнение программу сбора данных и в поле «пароль» вводят неправильный код.
-
9.4.4 Проверяют работу аппаратных ключей. Выключают компьютер и снимают аппаратную защиту (отсоединяют ключ от порта компьютера). Включают компьютер, загружают операционную систему и запускают программу.
-
9.4.5 Проверяют правильность значений коэффициентов трансформации измерительных трансформаторов, хранящихся в памяти сервера.
-
9.4.6 Результаты проверки считаются положительными, если:
-
- все счетчики опрошены и нет сообщений об ошибках, а также получен отчет, содержащий данные, зарегистрированные счетчиком;
-
- глубина хранения измерительной информации соответствует заявленной в описании типа;
-
- при вводе неправильного пароля программа сбора данных выдает сообщение об ошибке и не разрешает продолжить работу;
-
- при отсутствии аппаратного ключа получено сообщение об отсутствии «ключа защиты»;
-
- значения коэффициентов трансформации измерительных трансформаторов, хранящиеся в памяти сервера, соответствуют значениям коэффициентов трансформации измерительных трансформаторов, указанных в паспорте-формуляре и описании типа АИИС КУЭ.
При обнаружении каких-либо несоответствий по пп. 9.4.1-9.4.5 дальнейшие операции по поверке ИК АИИС КУЭ выполняют после устранения несоответствий.
Если указанные выше замечания не были устранены за время поверки, то результаты проверки считаются отрицательными, и выписывается извещение о непригодности в соответствии с разделом 13 данной методики поверки.
9.5 Проверка функционирования вспомогательных устройств-
9.5.1 Проверка функционирования модемов (при наличии) Проверяют функционирование модемов, используя коммуникационные возможности специальных программ из состава ПО АИИС КУЭ, определяемых согласно руководству пользователя ПО. Устанавливают соединения со счетчиками. По установленным с помощью модемов соединениям проводят опрос счетчиков.
Допускается автономная проверка модемов с использованием тестового программного обеспечения.
-
9.5.2 Проверка функционирования преобразователей интерфейсов (при наличии)
Подключают к преобразователям интерфейсов переносной компьютер. Устанавливают соединения со счетчиками. По установленным с помощью преобразователей интерфейсов соединениям проводят опрос счетчиков.
-
9.5.3 Результаты проверки считаются положительными, если:
с помощью модемов были установлены коммутируемые соединения и по установленным соединениям успешно прошел опрос счетчиков;
с помощью преобразователей интерфейсов были установлены соединения и по установленным соединениям успешно прошел опрос счетчиков.
При обнаружении каких-либо несоответствий по п. 9.5.1-9.5.2 дальнейшие операции по поверке ПК, в который входят данные модемы (преобразователи интерфейсов) выполняют после устранения несоответствий.
Если указанные выше замечания не были устранены за время поверки, то результаты проверки считаются отрицательными, и выписывается извещение о непригодности в соответствии с разделом 13 данной методики поверки.
9.6 Проверка нагрузки на вторичные цепи измерительных трансформаторов напряжения-
9.6.1 Проверяют наличие документов электросетевых (энергосбытовых) организаций, подтверждающих правильность подключения первичных и вторичных обмоток TH. При отсутствии таких документов или нарушении (отсутствии) пломб проверяют правильность подключения первичных и вторичных обмоток TH.
-
9.6.2 Убеждаются, что отклонение вторичного напряжения при нагруженной вторичной обмотке составляет не более ±10 % от Uhom.
-
9.6.3 Проверяют наличие в технической документации на данный TH или в паспорте-протоколе на соответствующий измерительный комплекс значения номинальной мощности нагрузки на вторичные цепи TH Shom. В случае отсутствия указанных документов производят отключение электроустановки и проверяют значение Shom, указанное на информационной табличке TH.
-
9.6.4 Измерение мощности нагрузки на вторичные цепи TH проводят в соответствии с «Методика выполнения измерений параметров нагрузки и вторичных цепей трансформаторов тока и напряжения прибором «Энергомонитор З.ЗТ» в условиях эксплуатации», аттестованный ГЦИ СИ «ВНИИМ им. Д.И. Менделеева», свидетельство об аттестации № 2203/131А-00340 от 17.04.2007 г. (далее по тексту - МВИ).
Предел допускаемой относительной погрешности измерений мощности нагрузки не превышает ±4% в рабочих условиях применения TH.
Примечания
-
1 Допускается измерение мощности нагрузки на вторичные цепи TH не проводить, если такое измерение проводилось при составлении паспорта-протокола на данный измерительный канал в течение истекающего интервала между поверками АНИС КУЭ, и если в измерительный канал не вносились изменения, не зафиксированные в соответствующем паспорте-протоколе.
-
2 Допускается мощность нагрузки определять расчетным путем, если известны входные (проходные) импедансы всех устройств, подключенных ко вторичным обмоткам TH.
-
3 Допускается проведение измерений мощности нагрузки на вторичные цепи TH в соответствии с другими аттестованными методиками измерений.
-
4 Предоставленные паспорта-протоколы должны быть согласованы территориальными органами Федерального агентства по техническому регулированию и метрологии. Проверяют средства измерений, применяемые при проведении измерений вторичных нагрузок TH: средства измерений должны быть утверждённого типа, поверены (проверяют также, что срок действия поверки данных СИ не истек) и соответствовать требованиям «Методики выполнения измерений параметров нагрузки и вторичных цепей трансформаторов тока и напряжения прибором «Энергомонитор З.ЗТ1». Предоставленные паспорта-протоколы должны содержать информацию о результатах измерений вторичных нагрузок TH. Для проверки результатов измерений вторичных нагрузок TH проводят выборочный контроль путём измерения данных параметров согласно пп. 9.6.1-9.6.4.
-
9.6.5 Результаты проверки считаются положительными, если:
-
- измеренное значение мощности нагрузки на вторичные цепи TH соответствует требованиям ГОСТ 1983, действующего на момент выпуска испытуемого TH;
При отклонении мощности нагрузки вторичных цепей TH от заданного значения процедуру поверки приостанавливают до устранения несоответствий. В случае невозможности устранения указанных несоответствий результаты проверки считаются отрицательными, и выписывается извещение о непригодности в соответствии с разделом 13 данной методики поверки.
9.7 Проверка нагрузки на вторичные цепи измерительных трансформаторов тока-
9.7.1 Проверяют наличие документов электросетевых (энергоснабжающих) организаций, подтверждающих правильность подключения вторичных обмоток ТТ. При отсутствии таких документов проверяют правильность подключения вторичных обмоток ТТ.
-
9.7.2 Проверяют наличие в технической документации на данный ТТ или в паспорте-протоколе на соответствующий измерительный канал значение номинальной мощности нагрузки на вторичные цепи ТТ Shom. В случае отсутствия указанных документов производят отключение электроустановки и проверяют значение Shom, указанное на информационной табличке ТТ.
-
9.8.3 Измерение вторичной нагрузки ТТ проводят в соответствии с МВИ.
Предел допускаемой относительной погрешности измерений мощности нагрузки не превышает ±4 % в рабочих условиях применения ТТ.
Примечания
-
1 Допускается измерение мощности нагрузки на вторичные цепи ТТ не проводить, если такое измерение проводилось при составлении паспорта-протокола на данный измерительный канал в течение истекающего интервала между поверками АПИС КУЭ, и если в измерительный канал не вносились изменения, не зафиксированные в соответствующем паспорте-протоколе.
-
2 Допускается мощность нагрузки определять расчетным путем, если известны входные (проходные) импедансы всех устройств, подключенных ко вторичным обмоткам ТТ.
-
3 Допускается проведение измерений мощности нагрузки на вторичные цепи ТТ в соответствии с другими аттестованными методиками измерений.
-
4 Предоставленные паспорта-протоколы должны быть согласованы территориальными органами Федерального агентства по техническому регулированию и метрологии. Проверяют средства измерений, применяемые при проведении измерений вторичных нагрузок ТТ: средства измерений должны быть утверждённого типа, поверены (проверяют также, что срок действия поверки данных СИ не истек) и соответствовать требованиям «Методики выполнения измерений параметров нагрузки и вторичных цепей трансформаторов тока и напряжения прибором «Энергомонитор З.ЗТ1». Предоставленные паспорта-протоколы должны содержать информацию о результатах измерений вторичных нагрузок ТТ. Для проверки результатов измерений вторичных нагрузок ТТ проводят выборочный контроль путём измерения данных параметров согласно пп. 9.7.1-9.7.3.
-
9.7.4 Результаты проверки считаются положительными, если:
-
- измеренное значение мощности нагрузки на вторичные цепи ТТ соответствует требованиям ГОСТ 7746;
-
- или подтверждается выполнение указанного выше условия для ТТ в паспорте-протоколе.
При обнаружении каких-либо несоответствий по пп. 9.7.1-9.7.3 дальнейшие операции по поверке ИК, в который входит данный ТТ, выполняют после устранения несоответствий.
Если указанные выше замечания не были устранены за время поверки, то результаты проверки считаются отрицательными, и выписывается извещение о непригодности в соответствии с разделом 13 данной методики поверки.
9.8 Проверка падения напряжения в линии связи счетчика с измерительным трансформатором напряжения-
9.8.1 Измеряют падение напряжения ил в проводной линии связи для каждой фазы по документу МИ 3598-2018 «Методика измерений потерь напряжения в линиях соединения счетчика с трансформатором напряжения в условиях эксплуатации» (далее — МИ 3598-2018).
Предел допускаемой погрешности измерения разности напряжения на выходных клеммах вторичной обмотки TH и клеммной колодки счетчика электроэнергии не превышает ±0,5 % с учетом условий выполнения измерений, приведенных в документе МИ 3598-2018.
Примечания
-
1 Допускается измерение падения напряжения в линии соединения счетчика с TH не проводить, если такое измерение проводилось при составлении паспорта-протокола на данный измерительный канал в течение истекающего интервала между поверками АНИС КУЭ, и если в измерительный канал не вносились изменения, не зафиксированные в соответствующем паспорте-протоколе.
-
2 Допускается падение напряжения в линии связи счетчика с TH определять расчетным путем, если известны параметры проводной линии связи и сила электрического тока, протекающего через линию связи.
-
3 Допускается проведение измерений падения напряжения в линии связи счетчика с TH в соответствии с другими аттестованными методиками измерений.
-
4 Предоставленные паспорта-протоколы должны быть согласованы территориальными органами Федерального агентства по техническому регулированию и метрологии. Проверяют средства измерений, применяемые при проведении измерений потерь напряжения в линии ТН-счётчик: средства измерений должны быть утверждённого типа, поверены (проверяют также, что срок действия поверки данных СИ не истек). Предоставленные паспорта-протоколы должны содержать информацию о результатах измерений потерь напряжения в линии ТН-счетчик. Для проверки результатов измерений потерь напряжения в линии ТН-счетчик проводят выборочный контроль путём измерения данных параметров согласно п. 9.8.1.
-
9.8.2 Результаты проверки считаются положительными, если: измеренное значение падения напряжения в линии соединения счетчика с TH не превышает 0,25 % от номинального значения на вторичной обмотке TH;
или подтверждается выполнение указанного выше условия в паспорте-протоколе.
При обнаружении каких-либо несоответствий по п. 9.8.1 дальнейшие операции по поверке ПК, в который входит данный TH, выполняют после устранения несоответствий.
Если указанные выше замечания не были устранены за время поверки, то результаты проверки считаются отрицательными, и выписывается извещение о непригодности в соответствии с разделом 13 данной методики поверки.
9.9 Проверка погрешности системы обеспечения единого времени-
9.9.1 Проверка времени сервера
Подключают радиочасы МИР РЧ-02.00, принимающие сигналы спутниковой навигационной системы ГЛОНАСС/GPS, к переносному компьютеру. С помощью прикладного программного обеспечения сверяют показания радиочасов МИР РЧ-02.00 с показаниями часов сервера АИИС КУЭ, получающего сигналы точного времени от rJIOHACC/GPS-приемника. Для снятия синхронизированных измерений рекомендуется использовать одновременное фотографирование экранов сервера АИИС КУЭ и переносного компьютера.
-
9.9.2 Проверка синхронизации времени
Проверяют правильность синхронизации времени компонентов системы, определяя по журналу событий расхождение времени корректируемого и корректирующего компонентов.
Распечатывают журнал событий счетчика и сервера, выделив события, соответствующие сличению часов счетчика и сервера. Проверяют расхождение времени часов: «счетчик -сервер» в момент, предшествующий коррекции.
-
9.9.3 Результаты проверки считаются положительными, если:
- расхождение показаний радиочасов МИР РЧ-02.00 с часами сервера не превышает предела допускаемой погрешности СОЕВ, указанного в описании типа АИИС КУЭ и составляющей величину ±5 с;
расхождение времени часов: счетчик - сервер, в момент, предшествующий коррекции, не превышает предела допускаемой погрешности СОЕВ, указанной в описании типа АИИС КУЭ и составляющей величину ±5 с;
При обнаружении каких-либо несоответствий по пп. 9.9.1-9.9.2 дальнейшие операции по поверке соответствующего ИК выполняют после устранения несоответствий.
Если указанные выше замечания не были устранены за время поверки, то результаты проверки считаются отрицательными, и выписывается извещение о непригодности в соответствии с разделом 13 данной методики поверки.
9.10 Проверка отсутствия ошибок информационного обменаОперация проверки отсутствия ошибок информационного обмена предусматривает экспериментальное подтверждение идентичности числовой измерительной информации в счетчиках электрической энергии (исходная информация), и памяти центрального сервера.
В момент проверки все технические средства, входящие в проверяемый ИК, должны быть включены.
-
9.10.1 На центральном компьютере (сервере) АИИС КУЭ отображают или распечатывают значения активной и реактивной электрической энергии, зарегистрированные с 30-минутным интервалом за полные предшествующие дню проверки сутки, по всем ИК. Проверяют наличие данных, соответствующих каждому 30-минутному интервалу времени. Пропуск данных не допускается за исключением случаев, когда этот пропуск был обусловлен отключением ИК или устраненным отказом какого-либо компонента АИИС КУЭ.
-
9.10.2 Отображают на экране компьютера или распечатывают журнал событий счетчиков и сервера и отмечают моменты нарушения связи между измерительными компонентами АИИС КУЭ. Проверяют сохранность измерительной информации в памяти центрального сервера АИИС КУЭ на интервалах времени, в течение которых была нарушена связь.
-
9.10.3 Отображают на экране компьютера или распечатывают на центральном компьютере (сервере) профиль нагрузки за полные сутки, предшествующие дню поверки. Используя переносной компьютер, считывают через оптический порт профиль нагрузки за те же сутки, хранящийся в памяти счетчика, считывают профиль нагрузки за те же сутки из памяти сервера. Различие значений активной (реактивной) мощности, хранящейся в памяти счетчика (с учетом коэффициентов трансформации измерительных трансформаторов) и базе данных центрального сервера не должно превышать одной единицы младшего разряда учтенного значения.
-
9.10.4 Рекомендуется вместе с проверкой по п. 9.10.3 сличать показания счетчика по активной и реактивной электрической энергии строго в конце получаса (часа) и сравнивать с данными, зарегистрированными в центральном компьютере (сервере) АИИС КУЭ для того же момента времени. Для этого визуально или с помощью переносного компьютера через оптический порт считывают показания счетчика по активной и реактивной электрической энергии и сравнивают эти данные (с учетом коэффициентов трансформации измерительных трансформаторов), с показаниями, зарегистрированными в центральном компьютере (сервере) АИИС КУЭ. Расхождение не должно превышать две единицы младшего разряда.
-
9.11.5 Результаты проверки считаются положительными, если выполнены требования пп. 9.10.1-9.10.4.
При обнаружении каких-либо несоответствий по пп. 9.10.1-9.10.4 дальнейшие операции по поверке соответствующего ИК выполняют после устранения несоответствий.
Если указанные выше замечания не были устранены за время поверки, то результаты проверки считаются отрицательными, и выписывается извещение о непригодности в соответствии с разделом 13 данной методики поверки.
10 ОПРЕДЕЛЕНИЕ МЕТРОЛОГИЧЕСКИХ ХАРАКТЕРИСТИК СРЕДСТВА ИЗМЕРЕНИЙ-
10.1 Расчетными методами проверяют непревышение значений характеристик погрешности измерительных каналов АИИС КУЭ, указанных в описании типа АИИС КУЭ.
-
10.2 Границы интервала основной погрешности измерительного канала (ИК) электроэнергии рассчитывают для вероятности Р=0,95 для нормальных условий.
-
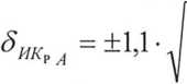
10.3 Границы интервала основной относительной погрешности ИК активной электроэнергии вычисляют по формуле (1):
^ИК 0 /( = ± + ^ТН +^ОА+ + ^ОС (1)
где дИ1<0А - границы интервала основной относительной погрешности ИК активной электроэнергии в % для вероятности 0,95;
дп. - предел допускаемой относительной погрешности по амплитуде трансформатора тока (ТТ) в % (согласно ГОСТ 7746, действующего на момент выпуска испытуемого ТТ);
Зтн - предел допускаемой относительной погрешности по амплитуде трансформатора напряжения (TH) в % (согласно ГОСТ 1983, действующего на момент выпуска испытуемого TH);
50 А - границы интервала относительной погрешности измерения активной электроэнергии, обусловленной угловыми погрешностями измерительных трансформаторов в %;
8Л - предел допускаемой относительной погрешности, обусловленной потерями напряжения в линии связи между TH и счетчиком в %;
Зое - предел допускаемой основной относительной погрешности счетчика электроэнергии в % (согласно ГОСТ, регламентирующего частные требования к испытуемому счетчику по активной электроэнергии).
Границы интервала суммарной абсолютной угловой погрешности # в минутах и границы интервала относительной погрешности 60 (в % определяются по формулам:
0 = А2 + а2.
N ' u (2) 80л = 0,029 ■ 0 ■ tg<p
(3) где 0/ и 0и - пределы допускаемых угловых погрешностей ТТ и TH в минутах, соответственно (согласно ГОСТ 7746 и ГОСТ 1983);
(р- угол сдвига между векторами первичных тока и напряжения в градусах.
-
10.4 Границы интервала погрешности ИК в рабочих условиях эксплуатации рассчитывают для вероятности 0,95. В качестве рабочих условий используют данные, предусмотренные эксплуатационной документацией на систему.
-
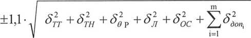
10.5 Границы интервала относительной погрешности ИК активной электроэнергии в рабочих условиях вычисляют по формуле (4):
m
$тт + $тн + 8ОС (4)
где ( - границы интервала относительной погрешности ИК активной электроэнергии в % для вероятности 0,95;
<57Т > $тн $ос ~ те же величины, что и в формуле (1);
Здоп. — предел относительной допускаемой дополнительной погрешности счетчика электроэнергии в рабочих условиях от i-ой влияющей величины (согласно ГОСТ, регламентирующего частные требования к испытуемому счетчику по активной электроэнергии);
m - общее число влияющих величин.
-
10.6 Границы интервала основной относительной погрешности ИК реактивной электроэнергии вычисляют по формуле (5):
^тт + °тн + дОр + дл + с>ос (5)
где Зик } — границы интервала основной относительной погрешности ИК реактивной электроэнергии в % для вероятности 0,95;
бос - предел допускаемой основной относительной погрешности счетчика электроэнергии в % (согласно ГОСТ, регламентирующего частные требования к испытуемому счетчику по реактивной электроэнергии);
о
энергии, обусловленной угловыми погрешностями измерительных трансформаторов в %;
0 р - границы интервала относительной погрешности измерения реактивной электро5вр = 0,029-3-ctg3
(6)
Остальные величины в формулах (5) и (6) те же, что в формулах (1) и (3).
-
10.7 Границы интервала относительной погрешности ИК реактивной электроэнергии в рабочих условиях вычисляют по формуле (7)
где Здоп - предел относительной допускаемой дополнительной погрешности счетчика электроэнергии в рабочих условиях от i-ой влияющей величины (согласно ГОСТ, регламентирующего частные требования к испытуемому счетчику по реактивной электроэнергии);
остальные величины те же, что в формулах (1), (3), (4) и (6).
Примечание - Формулы (1), (4), (5) и (7) даны для случая, когда отклонение внешних влияющих величин от нормальных значений вызывает дополнительные погрешности только у счетчика электроэнергии, а составляющими погрешности измерения электроэнергии обусловленными погрешностью задания интервала времени интегрирования электрической мощности, погрешностью передачи информации по ГОСТ 4.199-85, погрешностью обработки данных можно пренебречь.
-
10.8 Результаты проверки считаются положительными, если результаты расчетов по формулам (1), (4), (5), (7) не превышают значений характеристик погрешностей ИК АИИС КУЭ, указанных в описании типа.
В противном случае результаты проверки соответствующих ИК считаются отрицательными, соответствующая запись делается в протоколе поверки.
11 ПРОВЕРКА ПРОГРАММНОГО ОБЕСПЕЧЕНИЯ-
11.1 Проводится проверка соответствия заявленных идентификационных данных программного обеспечения, указанных в описании типа:
-
- наименование программного обеспечения;
-
- идентификационное наименование программного обеспечения;
-
- номер версии (идентификационный номер) программного обеспечения;
-
- цифровой идентификатор программного обеспечения (контрольная сумма исполняемого кода);
-
- алгоритм вычисления цифрового идентификатора программного обеспечения.
-
11.2 Проверку выполняют в соответствии с Р 50.2.077-2014 «ГСП. Испытания средств измерений в целях утверждения типа. Проверка защиты программного обеспечения» и ГОСТ Р 8.654-2015 «ГСИ. Требования к программному обеспечению средств измерений. Основные положения».
-
11.2.1 Проверка документации в части программного обеспечения
-
На проверку представляют документацию на программное обеспечение: Руководство пользователя. Представленная документация должна соответствовать ГОСТ Р 8.654-2015.
-
11.2.2 Проверка идентификации программного обеспечения АПИС КУЭ
Идентификация ПО СИ реализуется следующими методами:
-
- с помощью ПО СИ или аппаратно-программных средств, разработанных организацией - разработчиком СИ (ПО СИ);
-
- с использованием специальных протестированных (аттестованных, сертифицированных) аппаратно-программных средств и/или протестированного (аттестованного, сертифицированного) ПО.
Загружают ПО и в разделе «Справка» проверяют идентификационное наименование и номер версии программного обеспечения.
-
11.2.3 Проверка цифрового идентификатора программного обеспечения
На выделенных модулях ПО проверяют цифровые идентификаторы и алгоритм вычисления цифрового идентификатора.
Проверка цифрового идентификатора программного обеспечения производится на ИВК (сервере), где установлено ПО. Запускают менеджер файлов, позволяющий производить хеширование файлов или специализированное ПО, предоставляемое разработчиком. В менеджере файлов открывают каталог и выделяют файлы, указанные в описании типа АПИС КУЭ. Далее, запустив соответствующую программу, из состава ПО АПИС КУЭ, просчитывают хеш. По результатам формируются файлы, содержащие коды алгоритмов вычисления цифровых идентификаторов в текстовом формате. Наименование файлов алгоритмов вычисления цифровых идентификаторов должно соответствовать наименованию файлов, для которых проводилось хеширование.
-
11.3 Результаты проверки считаются положительными, если:
-
- идентификационное наименование и номер версии программного обеспечения соответствуют заявленным;
-
- цифровые идентификаторы ПО соответствуют указанным в описании типа АНИС КУЭ.
В противном случае результаты проверки считаются отрицательными, и выписывается извещение о непригодности в соответствии с разделом 13 данной методики поверки.
12 ПОДТВЕРЖДЕНИЕ СООТВЕТСТВИЯ СРЕДСТВА ИЗМЕРЕНИЙ МЕТРОЛОГИЧЕСКИМ ТРЕБОВАНИЯМ-
12.1 На основании положительных результатов подтверждения соответствия по пунктам раздела 8-11 АПИС КУЭ в составе ПК, прошедших поверку, признается пригодной к применению (подтверждено соответствие АПИС КУЭ метрологическим требованиям).
-
12.2 На основании отрицательных результатов подтверждения соответствия по пунктам раздела 8-11 АНИС КУЭ в составе ИК, не прошедших поверку, признается непригодной к применению (не подтверждено соответствие АНИС КУЭ метрологическим требованиям).
-
13.1 На основании положительных результатов подтверждения соответствия по пунктам раздела 8-12 выписывают свидетельство о поверке АНИС КУЭ, по форме и содержанию удовлетворяющее требованиям Приказа Минпромторга от 31.07.2020 г. № 2510. В приложении к свидетельству указывают перечень и состав ИК с указанием их наименований, типов (в соответствии со свидетельствами об утверждении типа СИ), заводских номеров средств измерений (измерительных компонентов) (для счетчиков электрической энергии также указывается условное обозначение модификации и варианта исполнения в соответствии со свидетельством об утверждении типа СИ), прошедших поверку и пригодных к применению. Знак поверки наносится на свидетельство о поверке.
-
13.2 При отрицательных результатах поверки АИИС КУЭ в части каналов, не прошедших поверку (подтверждение соответствия по пунктам раздела 8-12), признается непригодной к дальнейшей эксплуатации и на нее выдают извещение о непригодности, по форме и содержанию удовлетворяющее требованиям Приказа Минпромторга от 31.07.2020 г. № 2510, с указанием причин непригодности. В приложении к извещению о непригодности указывают перечень и состав ИК с указанием их наименований, типов (в соответствии со свидетельствами об утверждении типа СИ), заводских номеров средств измерений (измерительных компонентов) (для счетчиков электрической энергии также указывается условное обозначение модификации и варианта исполнения в соответствии со свидетельством об утверждении типа СИ), не соответствующих метрологическим требованиям, установленным в описании типа АИИС КУЭ.
-
13.3 Результаты первичной поверки АИИС КУЭ оформляются только после утверждения типа АИИС КУЭ. Допускается при проведении испытаний в целях утверждения типа и опробования методики поверки одновременно оформлять результаты калибровки ИК и использовать их в дальнейшем при поверке АИИС КУЭ при условии выполнения требований Постановления Правительства Российской Федерации от 02.04.2015 г. № 311.
-
13.4 В ходе поверки оформляется протокол поверки, отражающий выполнение процедур по пунктам раздела 8-12 и их результаты. Протокол поверки оформляют в произвольной форме.
А.В. Голубев
Разработал:
Инженер по метрологии
18