Методика поверки «ГСИ. Система автоматизированная информационно-измерительная коммерческого учета электрической энергии (АИИС КУЭ) ФГАОУ ВО «Сибирский федеральный университет»» (МП-010-2021)
ОБЩЕСТВО С ОГРАНИЧЕННОЙ ОТВЕТСТВЕННОСТЬЮ «Метрологический сервисный центр» ООО «МетроСервис»

АСОВАНО:
^троСервис»
_____В.В. Веревкин Ш 2021 г.
ГОСУДАРСТВЕННАЯ СИСТЕМА ОБЕСПЕЧЕНИЯ
ЕДИНСТВА ИЗМЕРЕНИЙ .
Система автоматизированная информационно-измерительная коммерческого учета электрической энергии (АИИС КУЭ) ФГАОУ ВО «Сибирский федеральный университет»
Методика поверки
МП-010-2021
Красноярск
2021
СодержаниеСтр.
-
12 ПОДТВЕРЖДЕНИЕ СООТВЕТСТВИЯ СРЕДСТВА ИЗМЕРЕНИЯ
Настоящая методика распространяется на измерительные каналы (далее - ИК) системы автоматизированной информационно-измерительной коммерческого учета электрической энергии (АНИС КУЭ) ФГАОУ ВО «Сибирский федеральный университет», заводской номер 001, предназначенной для измерения активной и реактивной электроэнергии, потребленной за установленные интервалы времени отдельными технологическими объектами ФГАОУ ВО «Сибирский федеральный университет», сбора, хранения, обработки и передачи полученной информации. Выходные данные системы могут использоваться для коммерческих расчетов.
Поверке подлежит каждый ИК АИИС КУЭ, реализующий косвенный метод измерений электрической энергии. ИК подвергают поверке покомпонентным (поэлементным) способом с учетом положений раздела 8 ГОСТ Р 8.596-2002.
Первичную поверку системы выполняют после проведения испытаний АИИС КУЭ с целью утверждения типа. Допускается совмещение операций первичной поверки и операций, выполняемых при испытаниях типа.
Измерительные компоненты АИИС КУЭ поверяют с интервалами между поверками, установленными при утверждении их типа. Если очередной срок поверки измерительного компонента наступает до очередного срока поверки АИИС КУЭ, поверяется только этот компонент и поверка АИИС КУЭ не проводится.
После поверки измерительного компонента и восстановления ИК выполняется проверка ИК в той его части и в том объеме, который необходим для того, чтобы убедиться, что действия, связанные с поверкой измерительного компонента, не нарушили метрологических свойств ИК (схема соединения, коррекция времени и т.п.).
Периодическую поверку системы выполняют в процессе эксплуатации.
При наступлении событий в процессе эксплуатации, которые могли повлиять на метрологические характеристики АИИС КУЭ (ремонт системы, замена её измерительных компонентов, аварии в энергосистеме) проводится первичная поверка АИИС КУЭ. Допускается подвергать поверке только те ИК, которые подверглись указанным воздействиям, при условии, что собственник АИИС КУЭ подтвердит официальным заключением, что остальные ИК этим воздействиям не подвергались. В этом случае оформляется свидетельство о поверке системы с перечнем поверенных ИК.
Допускается проведение поверки отдельных ИИК АИИС КУЭ, с обязательным указанием в приложении к свидетельству о поверке информации об объеме проведенной поверки.
Обеспечение прослеживаемости эталонов и средств измерений:
Блок коррекции времени ЭНКС-2 обеспечивает прослеживаемость к гэт 1 -2018 «ГПЭ единиц времени, частоты и национальной шкалы времени» по Приказу
Федерального агентства по техническому регулированию и метрологии 1621 от 31.07.2018; прибор для измерения электроэнергетических величин и показателей качества электрической энергии Энергомонитор З.ЗТ1 обеспечивает прослеживаемость к гэт-1-2018 «ГПЭ единиц времени, частоты и национальной шкалы времени» по Приказу Федерального агентства по техническому регулированию и метрологии 1621 от 31.07.2018, к тэт 188-2010 ГПЭ единицы коэффициента гармоник в диапазоне (0,001 ... 100%) для сигналов с основной гармоникой в диапазоне частот (10 ... 200000 Гц) по ГОСТ Р 8.762-2011, к гэт61-88 «Г'ПСЭ единицы угла фазового сдвига между двумя электрическими напряжениями в диапазоне частот Г10-2^- 2-107 Гц» по Приказу 2882 от 06.12.2019, к гэт88-2014 «ГПСЭ единицы силы электрического тока в диапазоне частот 20 - Г106 Гц» по Приказу Госстандарта N 575 от 14.05.2015, по Приказу 2863 от 05.12.2019, к гэт89-2008 «ГПСЭ единицы электрического напряжения (вольта) в диапазоне частот 10 3 х 107 Гц» по Приказу 1053 от 29.05.2018, к гэт 14-2014 «ГПЭ единицы электрического сопротивления» по Приказу 3456 от 30.12.2019, к гэт4-91 «ГПЭ единицы силы постоянного электрического тока» по Приказу 2091 от 01.10.2018, к гэт 13-01 «ГПЭ единицы электрического напряжения» по Приказу 3457 от 30.12.2019; Барометр-анероид обеспечивает прослеживаемость к гэт101-2011 «ГПЭ единицы давления для области абсолютного давления в диапазоне 1x10-1 + 7x105 Па» по Приказу 2900 от 06.12.2019, Термогигрометр ИВА обеспечивает прослеживаемость к гэт34-2020 «ГПЭ единицы температуры в диапазоне от 0 до 3200 °C» по ГОСТ 8.558-2009. к гэт35-2021 «ГПЭ единицы температуры- кельвина в диапазоне от 0,3 К до 273,16 К» по ГОСТ 8.558 - 2009 ( Часть 1), к гэт151-2020 «ГПЭ единиц
относительной влажности газов, молярной (объемной) доли влаги, температуры точки росы/инея, температуры конденсации углеводородов» по ГОСТ 8.547; Миллитесламетр Ш1 -15У обеспечивает прослеживаемость к гэт 12-2021 «ГПЭ
единиц магнитной индукции, магнитного потока, магнитного момента и градиента магнитной индукции» по ГОСТ 8.030-2013.
Перечень ПК АПИС КУЭ приведен в формуляре (паспорте-формуляре) и в описании типа на АПИС КУЭ.
Интервал между поверками АПИС КУЭ-4 года.
2 НОРМАТИВНЫЕ ССЫЛКИВ настоящей методике использовались ссылки на следующие нормативные
документы:
Приказ Минпромторга России от 31.07.2020 № 2510 «Об утверждении Порядка проведения поверки средств измерений, требования к знаку поверки и содержанию свидетельства о поверке».
Приказ Минпромторга России от 28 августа 2020 г. № 2907 «Об утверждении порядка установления и изменения интервала между поверками средств измерений, порядка установления, отмены методик поверки и внесения изменений в них, требований к методикам поверки средств измерений».
ГОСТ Р 8.596-2002 «ГСП. Метрологическое обеспечение измерительных систем. Общие положения».
ГОСТ Р 4.199-85 «СПКП. Системы информационные электроизмерительные. Комплексы измерительно-вычислительные. Номенклатура показателей».
ГОСТ Р 51321.1-2007 «Устройства комплектные низковольтные распределения и управления. Часть 1. Устройства, испытанные полностью или частично. Общие технические требования и методы испытаний».
ГОСТ 8.216-2011 «ГСП. Трансформаторы напряжения. Методика поверки».
ГОСТ 8.217-2003 «ГСП. Трансформаторы тока. Методика поверки».
ГОСТ 7746-2015 «Трансформаторы тока. Общие технические условия».
ГОСТ 1983-2015 «Трансформаторы напряжения. Общие технические условия».
ГОСТ 31819.22-2012 (IEC 62053-22:2003) Аппаратура для измерения электрической энергии переменного тока. Частные требования. Часть 22. Статические счетчики активной энергии классов точности 0,2S и 0,5S.
ГОСТ 31819.23-2012 (IEC 62053-23:2003) Аппаратура для измерения электрической энергии переменного тока. Частные требования. Часть 23. Статические счетчики реактивной энергии.
ГОСТ 32144-2013 «Электрическая энергия. Совместимость технических средств электромагнитная. Нормы качества электрической энергии в системах электроснабжения общего назначения».
ГОСТ 12.2.003-91 «Система стандартов безопасности труда. Оборудование производственное. Общие требования безопасности».
ГОСТ 12.2.007.0-75 «Система стандартов безопасности труда. Изделия электротехнические. Общие требования безопасности».
ГОСТ 12.2.007.3-75 «Система стандартов безопасности труда. Электротехнические устройства на напряжение свыше 1000 В. Требования безопасности».
МИ 2845-2003 «ГСИ. Измерительные трансформаторы напряжения 6^3...35 кВ. Методика проверки на месте эксплуатации».
МИ 2845-2003 «ГСИ. Измерительные трансформаторы напряжения 6л/3...35 кВ. Методика проверки на месте эксплуатации».
МИ 3195-2018 «ГСИ. Методика измерения мощности нагрузки измерительных трансформаторов напряжения в условиях эксплуатации».
МИ 3196-2018 «ГСИ. Методика измерения мощности нагрузки измерительных трансформаторов тока в условиях эксплуатации».
«Правила по охране труда при эксплуатации электроустановок» (утвержден приказом Минтруда России № 903н от 15.12.2020).
3 ОПЕРАЦИИ ПОВЕРКИПри проведении поверки выполняют операции, указанные в таблице 1. Таблица 1 - Операции поверки
|
Наименование операции |
Номер пункта НД по поверке |
Обязательность проведения операции при | |
|
первичной поверке |
периодической поверке | ||
|
1 |
2 |
3 |
4 |
|
1. Подготовка к проведению поверки |
9 |
Да |
Да |
|
2. Внешний осмотр |
8 |
Да |
Да |
|
3. Поверка измерительных компонентов АНИС КУЭ |
12.1 |
Да |
Да |
|
4. Проверка счетчиков электрической энергии |
12.2 |
Да |
Да |
|
5. Проверка функционирования центральных компьютеров (серверов) АНИС КУЭ и УСПД |
12.3 |
Да |
Да |
|
6. Проверка функционирования вспомогательных устройств |
12.4 |
Да |
Да |
|
7. Проверка нагрузки на вторичные цепи измерительных трансформаторов тока |
12.5 |
Да |
Да |
|
8. Проверка нагрузки на вторичные цепи измерительных трансформаторов напряжения |
12.6 |
Да |
Да |
|
9. Проверка падения напряжения в линии связи между вторичной обмоткой TH и счетчиков. |
12.7 |
Да |
Да |
|
10. Проверка пределов допускаемой погрешности СОЕВ |
12.8 |
Да |
Да |
|
11. Проверка отсутствия ошибок информационного обмена |
12.9 |
Да |
Да |
|
12. Идентификация программного обеспечения |
10 |
Да |
Да |
|
13. Оформление результатов поверки |
13 |
Да |
Да |
Условия поверки АПИС КУЭ должны находиться в пределах, указанных в описании типа и формуляре АПИС КУЭ, описаниях типа и технической документации ее измерительных компонентов и средств поверки.
5 ТРЕБОВАНИЯ К СПЕЦИАЛИСТАМ, ОСУЩЕСТВЛЯЮЩИМ ПОВЕРКУ-
5.1 К проведению поверки АИИС КУЭ допускают работников организаций, аккредитованных в области обеспечения единства измерений на право поверки СИ в порядке, установленном законодательством РФ об аккредитации в национальной системе аккредитации, изучивших настоящую методику поверки и формуляр АИИС КУЭ, имеющих опыт работы по поверке измерительных систем. Для выполнения отдельных операций поверки допускаются работники, удовлетворяющие требованиям, приведенным в п.п. 5.2 - 5.8.
-
5.2 Определение погрешности часов компонентов АИИС КУЭ и отсутствия ошибок информационного обмена осуществляется работниками, имеющими опыт работы в области измерений электрических величин, изучившими вышеуказанные документы, а также руководство пользователя по работе с Блоком коррекции времени ЭНКС-2, принимающим сигналы спутниковой навигационной системы Global Positioning System (GPS)/TJIOHACC.
-
5.3 Измерение вторичной нагрузки измерительных трансформаторов тока, входящих в состав АИИС КУЭ, осуществляется работниками, допущенными к производству указанных работ в соответствии с правилами по охране труда при эксплуатации электроустановок и изучившими применяемый при поверке документ, содержащий методику измерений вторичной нагрузки измерительных трансформаторов тока.
-
5.4 Измерение вторичной нагрузки измерительных трансформаторов напряжения, входящих в состав АИИС КУЭ, осуществляется работниками, допущенными к производству указанных работ в соответствии с правилами по охране труда при эксплуатации электроустановок и изучившими применяемый при поверке документ, содержащий методику измерений вторичной нагрузки измерительных трансформаторов напряжения.
-
5.5 Измерение потерь напряжения в линии соединения счетчика с измерительным трансформатором напряжения, входящими в состав АИИС КУЭ, осуществляется работниками, допущенными к производству указанных работ в соответствии с правилами по охране труда при эксплуатации электроустановок и изучившими применяемый при поверке документ, содержащий методику выполнения измерений параметров нагрузки и вторичных цепей трансформаторов тока и напряжения.
При проведении поверочных и измерительных работ должны присутствовать работники объекта, на котором размещены компоненты АИИС КУЭ, имеющие опыт работы и право на подключение и отключение эталонных и поверяемых средств измерений в соответствии со схемой поверки или с методикой измерений.
6 ТРЕБОВАНИЯ К СРЕДСТВАМ ПОВЕРКИПри проведении поверки применяют основные средства измерений, эталоны и вспомогательные устройства, в соответствии с методиками поверки, указанными в описаниях типа на измерительные компоненты АИИС КУЭ, а также приведенные в таблице 2.
Все средства измерений, применяемые при поверке, должны быть утвержденного типа, иметь действующее свидетельство о поверке.
Таблица 2 - Средства поверки и вспомогательные устройства
|
№ п/п |
Измеряемая величина/метрологические характеристики |
Наименование, тип, регистрационный номер в ФИФ средства измерений/эталона |
Номер пункта методики поверки |
|
1 |
Температура окружающего воздуха: Диапазон измерений: пределы допускаемой абсолютной погрешности: ±1°С Относительная влажность воздуха: диапазон измерений: от 10 до 95% пределы допускаемой абсолютной погрешности: ±5% |
Измеритель влажности и температуры ИВТМ- 7М6-Д, per. №15500-12 |
9 |
|
2 |
Действующее значение напряжения переменного тока Диапазон измерений: от 0,01 Uhom до 1,5Uhom пределы допускаемой абсолютной погрешности: ±[0,1+0,01 *(( Uhom /Ц)-1)]% Действующее значение силы переменного тока Диапазон измерений: от 0,0051ном до 1,51ном пределы допускаемой абсолютной погрешности: ±[0,1+0,01 *(( 1ном /I)-1)]% Фазовый угол между фазными напряжениями Диапазон измерений: от 0 до 360 град пределы допускаемой абсолютной погрешности: ±0,1 Частота переменного тока Диапазон измерений: от 45 до 75 Гц пределы допускаемой абсолютной погрешности: ±0,01 |
Прибор для измерения электроэнергетических величин и показателей качества электроэнергии Энергомонитор 3.3 Т.1, per. №39952-08 |
12.5, 12.6, 12.7 |
|
3 |
Действующее значение напряжения переменного тока |
Измеритель показателей качества электроэнергии |
12.5, 12.6, 12.7 |
|
Диапазон измерений: от 0,01 Uhom до 1,5Uhom пределы допускаемой абсолютной погрешности: ±0,1 Действующее значение силы переменного тока Диапазон измерений: от 0,0Ином до 1,21ном пределы допускаемой абсолютной погрешности: ±0,01% Фазовый угол между фазными напряжениями Диапазон измерений: от -180 до 180 град пределы допускаемой абсолютной погрешности: ±0,1 Частота переменного тока Диапазон измерений: от 42,5 до 57,5 Гц пределы допускаемой абсолютной погрешности: ±0,01 |
Pecypc-UF2M, per. №21621-12 | ||
|
4 |
Магнитная индукция Диапазон измерения: от 0,1 до 1999 мТл пределы допускаемой абсолютной погрешности: ±[5,0+0,5*(Вп/Ви-1)]% |
Милитесламетр Ш1 -15У, per. №37751-08 |
9 |
|
5 |
Сигналы точного времени пределы допускаемой абсолютной погрешности относительно шкалы UTC(SU): ±0,5 мкс |
Блок коррекции времени ЭНКС-2, per. №37328-15 |
12.8 |
|
6 |
Атмосферное давление: Диапазон измерения: от 80 до 106 кПа пределы допускаемой абсолютной погрешности: ±1 кПа |
Барометр-анероид М-67, per. №3744-73 |
9 |
|
7 |
переносной компьютер с ПО и равноприоритетными интерфейсами связи, оптический преобразователь (далее -оптопорт) или кабель RS485 для работы со счетчиками системы, и с ПО для работы с Блоком коррекции времени ЭНКС-2. |
12.8 |
Примечания.
-
1. Допускается применение других средств поверки с метрологическими характеристиками, обеспечивающими требуемые точности измерений.
-
2. Все средства измерений, применяемые при поверке, должны быть утвержденного типа и иметь действующие свидетельства о поверке/ результаты поверки. Эталоны должны быть аттестованы и иметь действующие свидетельства об аттестации.
-
7.1 При проведении поверки должны быть соблюдены требования безопасности, установленные ГОСТ 12.2.007.0-75, ГОСТ 12.2.007.3-75, «Правилами по охране труда при эксплуатации электроустановок», а также требования безопасности на средства поверки, поверяемые трансформаторы и счетчики, изложенные в их руководствах по эксплуатации.
-
7.2 Эталонные средства измерений, вспомогательные средства поверки и оборудование должны соответствовать требованиям ГОСТ 12.2.003-91, ГОСТ 12.2.007.3-75, ГОСТ 12.2.007.7-75.
-
7.3 Все оперативные отключения и включения должны проводиться руководителем работ в соответствии с программой проведения работ, утвержденной в установленном порядке.
-
8.1 Проверяют целостность корпусов и отсутствие видимых повреждений компонентов АИИС КУЭ, наличие пломб и клейм на измерительных компонентах.
-
8.2 Проверяют размещение измерительных компонентов, наличие шильдиков и маркировку компонентов, правильность схем подключения трансформаторов тока и напряжения к счетчикам электрической энергии; правильность прокладки проводных линий по проектной документации на АИИС КУЭ.
-
8.3 Проверяют соответствие типов и заводских номеров фактически использованных измерительных компонентов типам и заводским номерам, указанным в паспорте-формуляре АИИС КУЭ.
-
8.4 Проверяют отсутствие следов коррозии и нагрева в местах подключения проводных линий.
При обнаружении несоответствий по п. 8 дальнейшие операции по поверке ИК прекращаются, АИИС КУЭ бракуется и выписывается извещение о непригодности.
9 ПОДГОТОВКА К ПОВЕРКЕПеред проведением поверки выполняют следующие подготовительные мероприятия:
-
- проводят технические и организационные мероприятия по обеспечению безопасности поверочных работ в соответствии с действующими правилами и руководствами по эксплуатации применяемого оборудования;
-
- средства поверки выдерживают в условиях и в течение времени, установленных в их эксплуатационных документах;
- все средства измерений, которые подлежат заземлению, должны быть надежно заземлены, подсоединение зажимов защитного контура к контуру заземления должно производиться ранее других соединений, а отсоединение -после всех отсоединений.
-
9.1 Для проведения поверки представляют копии следующих документов:
-
- паспорт-формуляр;
-
- описание типа АИИС КУЭ;
-
- свидетельств о поверке измерительных компонентов, входящих в ИК, и свидетельство о предыдущей поверке системы (при периодической и первичной поверке);
-
- паспорта-протоколы на ИК;
-
- рабочие журналы АИИС КУЭ с данными по климатическим и иным условиям эксплуатации за интервал между поверками (только при периодической поверке);
-
- акты, подтверждающих правильность подключения счетчиков к цепям тока и напряжения;
-
- акты, подтверждающих правильность подключения вторичных обмоток ТТ;
-
- акты, подтверждающих правильность подключения первичных и вторичных обмоток TH.
-
9.2 Перед проведением поверки на месте эксплуатации АИИС КУЭ выполняют следующие подготовительные работы:
-
- проводят организационно-технические мероприятия по обеспечению безопасности поверочных работ в соответствии с действующими правилами и ПУЭ;
-
- проводят организационно-технические мероприятия по доступу поверителей и персонала энергообъектов к местам установки измерительных трансформаторов, счетчиков электроэнергии, серверу АИИС КУЭ для проведения работ по п.п. 12.1 - 12.9;
-
- организуют рабочее место для поверителя, для проведения работ по п.п. 12.1-12.9.
-
10.1 Проводится проверка соответствия заявленных идентификационных данных программного обеспечения указанных в описании типа:
-
- наименование программного обеспечения;
-
- идентификационное наименование программного обеспечения;
-
- номер версии (идентификационный номер) программного обеспечения;
-
- цифровой идентификатор программного обеспечения (контрольная сумма исполняемого кода);
-
- алгоритм вычисления цифрового идентификатора программного обеспечения.
-
10.2 Идентификация ПО СИ реализуется следующими методами:
-
- с помощью ПО СИ или аппаратно-программных средств, разработанных организацией - разработчиком СИ (ПО СИ);
-
- с использованием специальных протестированных (аттестованных, сертифицированных) аппаратно-программных средств и/или протестированного (аттестованного, сертифицированного) ПО.
-
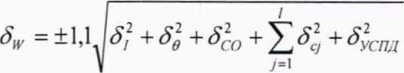
11.1 Суммарная погрешность результата измерений электрической энергии в измерительном канале АИИС КУЗ в составе: счетчик совместно с ТТ, TH, линией присоединения счетчика к TH, УСПД вычисляется по формуле:
= ±1,1 Й + #2Л + 32СО + + 51успд
V » (11-1)
где:
6i - токовая погрешность ТТ, %
би - погрешность напряжения ТН,%;
8о - погрешность трансформаторной схемы подключения счетчика за счет угловых погрешностей ТТ и TH, %
8л - погрешность из-за потери напряжения в линии присоединения счетчика к TH, %
8со - основная относительная погрешность счетчика, %;
8Cj - дополнительная погрешность счетчика от j -й влияющей величины, %; буспд " суммарная погрешность, вносимая устройством сбора и передачи данных;
/ - число влияющих величин
-
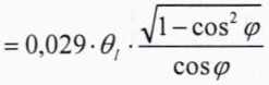
11.2 Погрешность трансформаторной схемы подключения счетчика 8е для состава ИК указанного в п.1 вычисляют по формуле:
-
- для активной электроэнергии:
8вр = 0,029 ■ ^,2+^, ■ ^~C0S
, (11-2)
- для реактивной энергии:
= 0,029 • 7#+^ • C0S<3
Vl-cos’^, (Ц-3)
где:
#/ - угловая погрешность ТТ по ГОСТ 7746-2015, мин;
Ос - угловая погрешность TH по ГОСТ 1983-2015, мин;
cos</> коэффициент мощности по активной электроэнергии контролируемого
присоединения, усредненный за 30 мин
При учете соотношения 0,029-^.имн= всрад и введении обозначения

(И-4)
выражения 11-2 и 11-3 существенно упрощаются:
(11-2а)
(11-За)
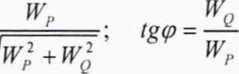
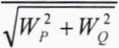
Среднее значение коэффициента мощности cos^9 определяют по результатам измерения 30-минутных приращений активной Wp и реактивной Wq электроэнергии:


(11-4а)
В магистральных линиях электропередачи cos^ должен быть в пределах от 1,0 до 0,8 (коэффициент реактивной мощности tg^ - от 0 до 0,75). При выполнении этого условия погрешности могут принимать значения (в %):
: от 0 до 0,75- ;
(П-5)
(11-5а)
^:от 10 до 1,33-^
При оценке угловых погрешностей трансформаторной схемы включения в реальном ПК последовательно используют формулы расчета 11-2, 11-3 и И-4а, учитывая характеристики реальных трансформаторов, средние значения токов нагрузки и измеряемой энергии.
-
11.3 Суммарная погрешность результата измерений электрической энергии в измерительном канале АИИС КУЭ в составе: счетчик совместно с ТТ и УСПД вычисляется по формуле: где:

(И-6)
- токовая погрешность ТТ,%
5о - погрешность трансформаторной схемы подключения счетчика за счет угловых погрешностей ТТ, %
5со - основная относительная погрешность счетчика, %;
6cj - дополнительная погрешность счетчика от j -й влияющей величины, %;
буспд ■ суммарная погрешность, вносимая устройством сбора и передачи
данных;
- число влияющих величин
-
11.4 Погрешность трансформаторной схемы подключения счетчика до для состава ИК указанного в п.11.3 вычисляют по формуле:
- для активной электроэнергии:

- для реактивной энергии:


(Н-7)
(И-8)
-
11.5 Результаты поверки считаются положительными, если результаты расчетов по формулам, указанным в п.11 совпадают с соответствующими значениями погрешностей ИК АИИС КУЭ, указанными в описании типа. В противном случае результаты поверки считаются отрицательными.
-
12 ПОДТВЕРЖДЕНИЕ СООТВЕТСТВИЯ СРЕДСТВА ИЗМЕРЕНИЯ МЕТРОЛОГИЧЕСКИМ ТРЕБОВАНИЯМ
-
12.1.1 Проверяют наличие свидетельств о поверке и срок их действия для всех измерительных компонентов АИИС КУЭ. При обнаружении просроченных свидетельств о поверке измерительных компонентов или свидетельств, срок действия которых близок к окончанию, дальнейшие операции по поверке ИК, в который они входят, выполняют после поверки этих измерительных компонентов.
При обнаружении несоответствий по п. 9.2.1 дальнейшие операции по поверке ИК прекращаются и выписывается извещение о непригодности АИИС КУЭ.
12.2 Проверка счетчиков электрической энергии-
12.2.1 Проверяют наличие и сохранность пломб поверительных и энергосбытовых организаций на счетчике и испытательной коробке. Проверяют наличие оригиналов актов, подтверждающих правильность подключения счетчиков к цепям тока и напряжения, в частности, правильность чередования фаз.
-
12.2.2 Проверяют работу всех сегментов индикаторов, отсутствие кодов ошибок или предупреждений, прокрутку параметров в заданной последовательности.
-
12.2.3 Проверяют работоспособность оптического порта счетчика с помощью переносного компьютера. Преобразователь подключают к любому последовательному порту переносного компьютера. Опрашивают счетчик по установленному соединению. Опрос счетчика считается успешным, если получен отчет, содержащий данные, зарегистрированные счетчиком.
-
12.2.4 Проверяют соответствие индикации даты в счетчике календарной дате (число, месяц, год). Проверку осуществляют визуально или с помощью переносного компьютера через равноприоритетные и независимые интерфейсы связи, оптопорт или кабель RS485.
При обнаружении несоответствий по п.9.3 дальнейшие операции по поверке ИК прекращаются, и выписывается извещение о непригодности АПИС КУЭ.
12.3 Проверка функционирования центральных компьютеров (серверов) АИИС КУЭ и УСПД.-
12.3.1 Проверяют защиту программного обеспечения на центральных компьютерах (серверах) АИИС КУЭ от несанкционированного доступа. Для этого запускают на выполнение программу сбора данных и в поле “пароль” вводят неправильный код. Проверку считают успешной, если при вводе неправильного пароля программа не разрешает продолжать работу.
-
12.3.2 Проверяют работу аппаратных ключей. Выключают компьютер и снимают аппаратную защиту (отсоединяют ключ от порта компьютера). Включают компьютер, загружают операционную систему и запускают программу. Проверку считают успешной, если получено сообщение об отсутствии «ключа защиты».
-
12.3.3 Проводят опрос текущих показаний всех счетчиков электроэнергии.
-
12.3.4 Проверяют глубину хранения измерительной информации в центральных компьютерах (серверах) АИИС КУЭ.
-
12.3.5 Проверяют наличие и сохранность пломб поверительных и энергосбытовых организаций на УСПД. При отсутствии или нарушении пломб проверяют правильность присоединения УСПД.
-
12.3.6 Проверяют правильность функционирования УСПД в соответствии с его эксплуатационной документацией с помощью тестового программного обеспечения. Проверка считается успешной, если все подсоединенные к УСПД счетчики опрошены и нет сообщений об ошибках.
-
12.3.7 Проверяют программную защиту УСПД от несанкционированного доступа.
-
12.3.8 Проверяют правильность значений коэффициентов трансформации измерительных трансформаторов, хранящихся в памяти сервера БД.
При обнаружении несоответствий по п. 9.4 дальнейшие операции по поверке ИК прекращаются, АИИС КУЭ бракуется и выписывается извещение о непригодности.
12.4 Проверка функционирования вспомогательных устройств-
12.4.1 Проверка функционирования модемов
Проверяют функционирование модемов, используя коммуникационные возможности специальных программ. Модемы считаются исправными в составе комплекса, если были установлены коммутируемые соединения и по установленным соединениям успешно прошел опрос счетчиков.
Допускается автономная проверка модемов с использованием тестового программного обеспечения.
-
12.4.2 Проверка функционирования адаптеров интерфейса
Используя кабель RS232 подключают к адаптерам переносной компьютер с
ПО. Проверка считается успешной, если удалось опросить все счетчики, подключенные к данному адаптеру.
При обнаружении несоответствий по п. 9.5 дальнейшие операции по поверке ИК прекращаются, АИИС КУЭ бракуется и выписывается извещение о непригодности.
-
12.5 Проверка нагрузки вторичных цепей измерительных
трансформаторов тока
-
12.5.1 Проверяют наличие и сохранность пломб поверительных и энергосбытовых организаций на клеммных соединениях, имеющихся на линии связи ТТ со счетчиком. Проверяют наличие оригиналов актов, подтверждающих правильность подключения вторичных обмоток ТТ.
-
12.5.2 Проверяют наличие данных измерений мощности нагрузки вторичных цепей ТТ по МИ 3196-2018 «ГСП. Методика измерения мощности нагрузки измерительных трансформаторов тока в условиях эксплуатации» с оформлением паспортов-протоколов по форме Приложения 11.3 к Положению о порядке получения статуса субъекта оптового рынка ведения реестра субъектов оптового рынка (далее - Приложение 11.3) АО «АТС». Срок проведения ревизии ИК, а также утверждения паспортов-протоколов должен быть не более 1 года до момента проведения поверки.
При обнаружении несоответствий по п. 9.6 дальнейшие операции по поверке ИК прекращаются, АИИС КУЭ бракуется и выписывается извещение о непригодности.
-
12.6 Проверка нагрузки вторичных цепей измерительных
трансформаторов напряжения
-
12.6.1 Проверяют наличие и сохранность пломб поверительных и энергосбытовых организаций на клеммных соединениях, имеющихся на линии связи TH со счетчиком. Проверяют наличие оригиналов актов, подтверждающих правильность подключения первичных и вторичных обмоток TH.
-
12.6.2 Проверяют наличие данных измерений мощности нагрузки вторичных цепей TH по МИ 3195-2018 «ГСИ. Методика измерения мощности нагрузки измерительных трансформаторов напряжения в условиях эксплуатации» с оформлением паспортов-протоколов по форме Приложения 11.3 АО «АТС». Срок проведения ревизии ИК, а также утверждения паспортов-протоколов должен быть не более 1 года до момента проведения поверки.
При обнаружении несоответствий по п. 9.7 дальнейшие операции по поверке ИК прекращаются, АИИС КУЭ бракуется и выписывается извещение о непригодности.
12.7 Проверка падения напряжения в линии связи между вторичной обмоткой TH и счетчиковПроверяют наличие данных измерений падения напряжения ил в проводной линии связи для каждой фазы по утвержденному документу «Методика выполнения измерений параметров нагрузки и вторичных цепей трансформаторов тока и напряжения прибором «Энергомонитор З.ЗТ1» в условиях эксплуатации» с оформлением паспортов-протоколов по форме Приложения 11.3 АО «АТС». Паспорта-протоколы должны быть оформлены не ранее, чем за 1 год до проведения поверки ИК. Падение напряжения не должно превышать 0,25 % от номинального значения на вторичной обмотке TH.
При обнаружении несоответствий по п. 9.8 дальнейшие операции по поверке ИК прекращаются, АИИС КУЭ бракуется и выписывается извещение о непригодности.
12.8 Проверка пределов допускаемой погрешности СОЕВ-
12.8.1 Проверка СОЕВ
Включают блок коррекции времени ЭНКС-2, принимающий сигналы спутниковой навигационной системы Global Positioning System (GPS)/TJIOHACC, и сверяют показания блока коррекции времени с показаниями часов сервера, получающего сигналы точного времени от УССВ. Расхождение показаний блока коррекции времени с сервером не должно превышать ±1 с. Для снятия синхронизированных измерений рекомендуется использовать одновременное фотографирование экранов поверяемого и поверительного оборудования.
-
12.8.2 Распечатывают журнал событий счетчика, выделив события, соответствующие сличению часов счетчика и сервера. Расхождение времени часов: счетчик - сервер БД в момент, предшествующий коррекции, не должно превышать предела допускаемого расхождения ±2 с.
При обнаружении несоответствий по п. 9.9 дальнейшие операции по поверке ИК прекращаются, АИИС КУЭ бракуется и выписывается извещение о непригодности.
12.9 Проверка отсутствия ошибок информационного обменаОперация проверки отсутствия ошибок информационного обмена предусматривает экспериментальное подтверждение идентичности числовой измерительной информации в счетчиках электрической энергии (исходная информация), и памяти центрального компьютера (сервера БД).
В момент проверки все технические средства, входящие в проверяемый ИК, должны быть включены.
-
12.9.1 На центральном компьютере (сервере БД) системы распечатывают значения активной и реактивной электрической энергии, зарегистрированные с 30-ти минутным интервалом и профиль нагрузки за полные предшествующие дню проверки сутки по всем ИК. Проверяют наличие данных, соответствующих каждому 30-ти минутному интервалу времени. Пропуск данных не допускается за исключением случаев, когда этот пропуск был обусловлен отключением ИК или устраненным отказом какого-либо компонента системы.
-
12.9.2 Распечатывают журнал событий счетчика и сервера и отмечают моменты нарушения связи между измерительными компонентами системы.
Проверяют сохранность измерительной информации в памяти центральных компьютерах (серверах) системы на тех интервалах времени, в течение которого была нарушена связь.
-
12.9.3 Используя переносной компьютер, считывают через равноприоритетные интерфейсы связи профиль нагрузки за полные предшествующие дню проверки сутки, хранящийся в памяти счетчика. Различие значений активной (реактивной) мощности, хранящейся в памяти счетчика (с учетом коэффициентов трансформации измерительных трансформаторов) и базе данных центрального компьютера (сервера БД) полученные по п. 9.10.2 не должно превышать двух единиц младшего разряда учтенного значения.
-
12.9.4 Рекомендуется вместе с проверкой по п. 9.10.3 в реальном режиме времени сличить показания счетчика по активной и реактивной электрической энергии строго в конце получаса (часа) с данными, зарегистрированными в центральном компьютере (сервере БД) системы для того же момента времени. Для этого визуально или с помощью переносного компьютера через равноприоритетные интерфейсы связи считывают показания счетчика по активной и реактивной электрической энергии и сравнивают эти данные (с учетом коэффициентов трансформации измерительных трансформаторов), с показаниями зарегистрированными в центральном компьютере (сервере БД) системы. Расхождение не должно превышать две единицы младшего разряда.
При обнаружении несоответствий по п. 9.10 дальнейшие операции по поверке ИК прекращаются, АИИС КУЭ бракуется и выписывается извещение о непригодности.
13 ОФОРМЛЕНИЕ РЕЗУЛЬТАТОВ ПОВЕРКИ-
13.1 На основании положительных результатов по пунктам раздела 9 выписывают свидетельство о поверке АИИС КУЭ в соответствии с Приказом Минпромторга России от 31.07.2020 № 2510 «Об утверждении Порядка проведения поверки средств измерений, требования к знаку поверки и содержанию свидетельства о поверке». В приложении к свидетельству указывают перечень ИК.
-
13.2 При отрицательных результатах поверки хотя бы по одному из пунктов методики поверки АИИС КУЭ признается негодной к дальнейшей эксплуатации и на нее выписывают извещение о непригодности в соответствии с Приказом Минпромторга России от 31.07.2020 № 2510 «Об утверждении Порядка проведения поверки средств измерений, требования к знаку поверки и содержанию свидетельства о поверке» с указанием причин.
-
13.3 В ходе поверки оформляется протокол поверки, отражающий выполнение процедур по пунктам раздела 12 и их результаты. Протокол оформляется в произвольной форме.
И.о. начальника отдела МОИС

М.В. Павленко
ООО «МетроСервис»
18
