Методика поверки «ГСИ. Система автоматизированная информационно-измерительная коммерческого учета электроэнергии (АИИС КУЭ) ООО «РУСЭНЕРГОСБЫТ» для энергоснабжения ОАО «РЖД» в границах Республики Башкортостан» (МП-312235-141-2021)
ОБЩЕСТВО С ОГРАНИЧЕННОЙ ОТВЕТСТВЕННОСТЬЮ «ЭНЕРГОКОМПЛЕКС»
СОГЛАСОВАНО:
Государственная система обеспечения единства измерений
Система автоматизированная информационно-измерительная коммерческого учета электроэнергии (АИИС КУЭ) ООО «РУСЭНЕРГОСБЫТ» для энергоснабжения ОАО «РЖД» в границах Республики Башкортостан
Методика поверки
МП-312235-141-2021
Магнитогорск
2021
СодержаниеСтр.
-
5 МЕТРОЛОГИЧЕСКИЕ И ТЕХНИЧЕСКИЕ ТРЕБОВАНИЯ К СРЕДСТВАМ ПОВЕРКИ
-
6 ТРЕБОВАНИЯ (УСЛОВИЯ) ПО ОБЕСПЕЧЕНИЮ БЕЗОПАСНОСТИ ПРОВЕДЕНИЯ
-
9 ОПРЕДЕЛЕНИЕ МЕТРОЛОГИЧЕСКИХ ХАРАКТЕРИСТИК СРЕДСТВА ИЗМЕРЕНИЙ .10 ю подтверждение соответствия средства измерений
Настоящая методика распространяется на измерительные каналы (далее - ИК) системы автоматизированной информационно-измерительной коммерческого учета электроэнергии (АИИС КУЭ) ООО «РУСЭНЕРГОСБЫТ» для энергоснабжения ОАО «РЖД» в границах Республики Башкортостан (далее - АИИС КУЭ), заводской номер 168, предназначенной для измерений активной и реактивной электроэнергии, потребленной за установленные интервалы времени, сбора, хранения, обработки и передачи полученной информации. Выходные данные системы могут использоваться для коммерческих расчетов.
1 ОБЩИЕ ПОЛОЖЕНИЯПоверке подлежит каждый ИК АИИС КУЭ, реализующий косвенный метод измерений электрической энергии. ИК подвергают поверке покомпонентным (поэлементным) способом с учетом положений раздела 8 ГОСТ Р 8.596-2002.
Допускается проведение поверки АИИС КУЭ в части отдельных ИК. с обязательным указанием в приложении к свидетельству о поверке информации об объеме проведенной поверки.
Первичную поверку системы выполняют после проведения испытаний АИИС КУЭ в целях утверждения типа. Допускается совмещение операций первичной поверки и операций, выполняемых при испытаниях типа. Периодическую поверку системы выполняют в процессе эксплуатации АИИС КУЭ.
Интервал между поверками АИИС КУЭ - раз в 4 года.
Измерительные компоненты АИИС КУЭ поверяют с интервалами между поверками, установленными при утверждении их типа. Если очередной срок поверки измерительного компонента наступает до очередного срока поверки АИИС КУЭ. поверяется только этот компонент и поверка АИИС КУЭ не проводится. После поверки измерительного компонента и восстановления ИК выполняется проверка ИК в той его части и в том объеме, который необходим для того, чтобы убедиться, что действия, связанные с поверкой измерительного компонента, не нарушили метрологических свойств ИК (схема соединения, коррекция времени и т.п.).
АИИС КУЭ имеет прослеживаемость к ГЭТ 175-2019 «Государственному первичному специальному эталону единиц коэффициента масштабного преобразования и угла фазового сдвига электрического напряжения переменного тока промышленной частоты в диапазоне от 0,1/^3 до 750/^3 кВ и единиц электрической емкости и тангенса угла потерь на напряжении переменного тока промышленной частоты в диапазоне от 1 до 500 кВ», ГЭТ 152-2018 «Государственному первичному эталону единиц коэффициентов преобразования силы электрического тока», ГЭТ 1-2018 «Государственному первичному эталону единиц времени, частоты и национальной шкалы времени». ГЭТ 153-2019 «Государственному первичному эталону единицы электрической мощности в диапазоне частот от 1 до 2500 Гц».
Внеочередную поверку АИИС КУЭ проводят после ремонта системы, замены её измерительных компонентов, аварий в энергосистеме, если эти события могли повлиять на метрологические характеристики ИК. Допускается подвергать поверке только те ИК. которые подверглись указанным выше воздействиям, при условии, что собственник АИИС КУЭ подтвердит официальном заключением, что остальные ИК этим воздействиям не подвергались. В этом случае оформляется свидетельство о поверке системы с перечнем поверенных ИК.
Перечень ИК АИИС КУЭ приведен в формуляре.
2 ПЕРЕЧЕНЬ ОПЕРАЦИЙ ПОВЕРКИ СРЕДСТВА ИЗМЕРЕНИЙПри проведении поверки выполняют операции, указанные в таблице 1. Таблица 1 - Операции поверки
|
Наименование операции |
Номер пункта НД по поверке |
Обязательность проведения операции при | |
|
первичной поверке |
периодической поверке | ||
|
1 |
2 |
3 |
4 |
|
1. Внешний осмотр средства измерений |
7 |
Да |
Да |
|
2. Подготовка к поверке и опробование средства измерений |
8 |
Да |
Да |
|
3. Определение метрологических характеристик средства измерений |
9 |
Да |
Да |
|
4. Поверка измерительных компонентов АИИС КУЭ |
10.1 |
Да |
Да |
|
5. Проверка счетчиков электрической энергии |
10.2 |
Да |
Да |
|
6. Проверка УСПД |
10.3 |
Да |
Да |
|
7. Проверка функционирования центральных компьютеров (серверов) АИИС КУЭ |
10.4 |
Да |
Да |
|
8. Проверка функционирования вспомогательных устройств |
10.5 |
Да |
Да |
|
9. Проверка нагрузки вторичных цепей измерительных трансформаторов тока |
10.6 |
Да |
Да |
|
10. Проверка нагрузки вторичных цепей измерительных трансформаторов напряжения |
10.7 |
Да |
Да |
|
11. Проверка падения напряжения в линии связи между вторичной обмоткой TH и счетчиков. |
10.8 |
Да |
Дд |
|
Наименование операции |
Номер пункта НД по поверке |
Обязательность проведения операции при | |
|
первичной поверке |
периодической поверке | ||
|
1 |
2 |
3 |
4 |
|
12. Проверка погрешности часов ИК АИИС КУЭ |
10.9 |
Да |
Да |
|
13. Проверка отсутствия ошибок информационного обмена |
10.10 |
Да |
Ж |
|
14. Проверка программного обеспечения средства измерений |
11 |
Да |
Да |
|
15. Оформление результатов поверки |
12 |
Да |
Да |
Условия проведения поверки должны соответствовать требованиям, установленным ГОСТ 8.395-80 «Государственная система обеспечения единства измерений. Нормальные условия измерений при поверке. Общие требования», а также требованиям общих технических условий, технических условий и эксплуатационной документации поверяемого средства измерений, требованиям правил содержания и применения применяемых для поверки эталонов и требованиям эксплуатационных документов применяемых для поверки средств измерений и вспомогательных технических средств.
4 ТРЕБОВАНИЯ К СПЕЦИАЛИСТАМ, ОСУЩЕСТВЛЯЮЩИМ ПОВЕРКУ-
4.1 К проведению поверки АИИС КУЭ допускают поверителей, аттестованных в соответствии с ПР 50.2.012. изучивших настоящую методику поверки и руководство пользователя на АИИС КУЭ. имеющих стаж работы по данному виду измерений не менее 1 года.
-
4.2 Определение погрешности системного времени и отсутствия ошибок информационного обмена осуществляется персоналом, имеющим стаж работы по данному виду измерений не менее 1 года, изучивших вышеуказанные документы и прошедшим обучение работы с радиочасами «МИР РЧ-02.00». принимающих сигналы спутниковых навигационных систем ГЛОНАСС/GPS.
-
4.3 Поверка трансформаторов тока, входящих в состав АИИС КУЭ, осуществляется персоналом, имеющим стаж работы по данному виду измерений не менее 1 года, изучившим документ ГОСТ 8.217-2003 «ГСИ. Трансформаторы тока. Методика поверки» и прошедшим обучение по проведению поверки в соответствии с указанным документом. Поверку проводят не менее двух специалистов, один из которых должен иметь удостоверение, подтверждающее право работы на установках до и свыше 1 000 В с группой по электробезопасности не ниже IV. второй - удостоверение, подтверждающее право работы на установках свыше 1000 В с группой по электробезопасности не ниже III.
-
4.4 Поверка трансформаторов напряжения, входящих в состав АИИС КУЭ. осуществляется персоналом, имеющим стаж работы по данному виду измерений не менее 1 года, изучившим документ ГОСТ 8.216-2011 «ГСИ. Трансформаторы напряжения. Методика поверки» и прошедшим обучение по проведению поверки в соответствии с указанным документом. Поверку проводят не менее двух специалистов, один из которых должен иметь удостоверение, подтверждающее право работы на установках до и свыше 1000 В с группой по электробезопасности не ниже IV, второй - удостоверение, подтверждающее право работы на установках свыше 1000 В с группой по электробезопасности не ниже III.
-
4.5 Поверка счетчиков, входящих в состав АИИС КУЭ. осуществляется персоналом, имеющим стаж работы по данному виду измерений не менее 1 года, изучившим документы по поверке счетчиков и прошедшим обучение по проведению поверки в соответствии с указанными документами. Поверку проводят не менее двух специалистов, один из которых должен иметь удостоверение, подтверждающее право работы на установках до и свыше 1000 В с группой по электробезопасности не ниже IV, второй - удостоверение, подтверждающее право работы на установках свыше 1000 В с группой по электробезопасности не ниже III.
-
4.6 Измерение вторичной нагрузки измерительных трансформаторов тока, входящих в состав АИИС КУЭ, осуществляется персоналом, имеющим стаж работы по данному виду измерений не менее 1 года, изучившим документ МИ 3196-2018 «ГСИ. Методика измерений мощности нагрузки измерительных трансформаторов тока в условиях эксплуатации» и прошедшим обучение по проведению измерений в соответствии с указанным документом. Измерение проводят не менее двух специалистов, один из которых должен иметь удостоверение, подтверждающее право работы на установках до и свыше 1000 В с группой по электробезопасности не ниже IV, второй - удостоверение, подтверждающее право работы на установках свыше 1000 В с группой по электробезопасности не ниже III.
-
4.7 Измерение вторичной нагрузки измерительных трансформаторов напряжения, входящих в состав АИИС КУЭ. осуществляется персоналом, имеющим стаж работы по данному виду измерений не менее 1 года, изучившим документ МИ 3195-2018 «ГСИ. Методика измерений мощности нагрузки измерительных трансформаторов напряжения в условиях эксплуатации» и прошедшим обучение по проведению измерений в соответствии с указанным документом. Измерение проводят не менее двух специалистов, один из которых должен иметь удостоверение, подтверждающее право работы на установках до и свыше 1000 В с группой по электробезопасности не ниже IV. второй - удостоверение, подтверждающее право работы на установках свыше 1000 В с группой по электробезопасности не ниже III.
-
4.8 Измерение потерь напряжения в линии соединения счетчика с измерительным трансформатором напряжения, входящими в состав АИИС КУЭ, осуществляется персоналом, имеющим стаж работы по данному виду измерений не менее 1 года, изучившим документ МИ 3598-2018 «ГСИ. Методика измерения потерь напряжения в линиях соединения счетчика с трансформатором напряжения в условиях эксплуатации» и прошедшим обучение по проведению измерений в соответствии с указанным документом. Измерение проводят не менее двух специалистов, один из которых должен иметь удостоверение, подтверждающее право работы на установках до и свыше 1000 В с группой по электробезопасности не ниже IV, второй -удостоверение, подтверждающее право работы на установках свыше 1000 В с группой по электробезопасности не ниже III.
При проведении поверочных и измерительных работ должны присутствовать работники объекта, на котором размещены компоненты АИИС КУЭ, имеющие опыт работы и право на подключение и отключение эталонных и поверяемых средств измерений в соответствии со схемой поверки или с методикой выполнения измерений.
5 МЕТРОЛОГИЧЕСКИЕ И ТЕХНИЧЕСКИЕ ТРЕБОВАНИЯ К СРЕДСТВАМ ПОВЕРКИОбязательные метрологические и технические требования к средствам поверки АИИС КУЭ отсутствуют.
При проведении поверки применяют основные средства измерений и вспомогательные устройства, в соответствии с методиками поверки, указанными в описаниях типа на измерительные компоненты АИИС КУЭ. а также средства поверки приведенные в таблице 2.
Таблица 2 - Основные метрологические характеристики эталонов и испытательного оборудован ия
|
Наименование эталонов и испытательного оборудования |
Основные метрологические характеристики эталонов и испытательного оборудования | |
|
Диапазон измерений |
Предел допускаемой погрешности измерений | |
|
1 |
2 |
3 |
|
Энергомонитор-3.ЗТ1. (per. № 39952-08) |
Действующее значение напряжения от 0.01-UH до 1,5-Uh |
относительная погрешность ±[0.1+0.01((и„Ш)- 1)]% |
|
Действующее значение тока от 0.005-1н до 1,5-1н Действующее значение тока от 0.054н до 1,54н |
относительная погрешность ±[0,1+0.01((1н/1)- 1)]% относительная погрешность ±[0.5+0,05((1„/1) - 1)]% | |
|
частота переменного тока от 45 до 75 Гц |
абсолютная погрешность ±0.01 Гц | |
Продолжение таблицы 2
|
1 |
2 |
3 |
|
Вольтамперфазометр ПАРМА ВАФ-А. (per. № 22029-10) |
Действующее значение напряжения от 0 до 460 В |
относительная погрешность ±[1+0,1((Uh/U)-1)]% |
|
действующее значение силы переменного тока от 0 до 10 А |
относительная погрешность ±[1+0,1((1н/1)- 1)]% | |
|
частота переменного тока от 45 до 65 Гц |
относительная погрешность ±0.1 % | |
|
угол сдвига фаз от -180 до +180 градусов |
абсолютная приведенная погрешность ±3.6 % | |
|
Измеритель влажности и температуры ИВТМ-7 (per. № 71394-18) |
температуры от -45 °C до -20 °C температуры от -20 °C до +60 °C |
±0,5 °C ±0,2 °C |
|
относительной влажности от 0 % до 99 % |
±2 %, | |
|
атмосферного давления от 840 до 1060 гПа |
±3 гПа; | |
|
Радиочасы «МИР РЧ-02-00» (per. № 46656-11) |
Абсолютная погрешность привязки к шкале UTC ±35 мкс | |
|
Переносной компьютер с ПО и оптический преобразователь для работы с счетчиками |
- | |
Примечания:
-
1. Допускается применение других основных и вспомогательных средств поверки с метрологическими характеристиками, обеспечивающими требуемые точности измерений.
-
2. Все средства измерений, применяемые при поверке, должны быть внесены в Федеральный информационный фонд по обеспечению единства измерений и иметь действующие свидетельства о поверке.
-
6.1 При проведении поверки должны быть соблюдены требования безопасности, установленные ГОСТ 12.2.007.0-75, ГОСТ 12.2.007.3-75, Приказом Минтруда РФ от 15.12.2020 г. № 903н «Об утверждении правил по охране труда при эксплуатации электроустановок», а также требования безопасности на средства поверки, поверяемые трансформаторы и счетчики, изложенные в их руководствах по эксплуатации.
-
6.2 Эталонные средства измерений, вспомогательные средства поверки и оборудование должны соответствовать требованиям ГОСТ 12.2.003-91. ГОСТ 12.2.007.3-75, ГОСТ Р 51321.1-2007.
-
6.3 Все оперативные отключения и включения должны проводиться руководителем работ в соответствии с программой проведения работ, утвержденной в установленном порядке.
-
7.1.1 Проверяют целостность корпусов и отсутствие видимых повреждений компонентов АИИС КУЭ. наличие поверительных пломб и клейм на измерительных компонентах.
-
7.1.2 Проверяют размещение измерительных компонентов, наличие шильдиков и маркировку компонентов, правильность схем подключения трансформаторов тока и напряжения к счетчикам электрической энергии: правильность прокладки проводных линий по проектной документации на АИИС КУЭ.
-
7.1.3 Проверяют соответствие типов и заводских номеров фактически использованных измерительных компонентов типам и заводским номерам, указанным в формуляре АИИС КУЭ.
-
7.1.4 Проверяют отсутствие следов коррозии и нагрева в местах подключения проводных линий.
При обнаружении несоответствий по п. 7.1 дальнейшие операции по поверке ИК прекращаются. АИИС КУЭ бракуется и выписывается извещение о непригодности.
8 ПОДГОТОВКА К ПОВЕРКЕ И ОПРОБОВАНИЕ СРЕДСТВА ИЗМЕРЕНИЙ-
8.1 Для проведения поверки представляют следующие копии документов:
-
- руководство пользователя АИИС КУЭ;
-
- проект описание типа АИИС КУЭ;
-
- свидетельств о поверке измерительных компонентов, входящих в ИК. и свидетельство о предыдущей поверке системы (при периодической и внеочередной поверке);
-
- паспорта-протоколы на ИК:
-
- формуляр АИИС КУЭ:
-
- рабочие журналы АИИС КУЭ с данными по климатическим и иным условиям эксплуатации за интервал между поверками (только при периодической поверке);
-
- акты, подтверждающих правильность подключения счетчиков к цепям тока и напряжения;
-
- акты, подтверждающих правильность подключения вторичных обмоток ТТ;
-
- акты, подтверждающих правильность подключения первичных и вторичных обмоток TH.
-
8.2 Перед проведением поверки на месте эксплуатации АИИС КУЭ выполняют следующие подготовительные работы:
-
- проводят организационно-технические мероприятия по обеспечению безопасности поверочных работ в соответствии с действующими правилами и ПУЭ;
-
- проводят организационно-технические мероприятия по доступу поверителей и персонала энергообъектов к местам установки измерительных трансформаторов, счетчиков электроэнергии. УСПД. серверу АИИС КУЭ для проведения работ по п.п. 7. 10,2. 10.3, 10.4, 10.5. 10.6, 10.7. 10.8. 10.9. 10.10;
-
- организуют рабочее место для поверителя, для проведения работ по п.п. 10.1, 10.5, 10.6, 10.7. 10.8. 10.9. 10.10.
-
- средства поверки выдерживают в условиях и в течение времени, установленных в их эксплуатационных документах.
-
8.3 Процедуры по опробованию средства измерений предусмотрены в эксплуатационной документации.
-
9.1 Границы интервала основной погрешности измерительно-информационного комплекса электроэнергии рассчитывают для вероятности Р=0.95 для нормальных условий.
В качестве нормальных условий используют данные, предусмотренные технической документацией на АИИС КУЭ.
-
9.2 Границы интервала основной относительной погрешности ИК активной электроэнергии вычисляют по формуле (1):



(1)
А
где ИК(]А - границы интервала основной относительной погрешности ИК активной электроэнергии в % для вероятности 0.95;
-
- предел допускаемой относительной погрешности по амплитуде трансформатора тока (ТТ) в %;
-
- предел допускаемой относительной погрешности по амплитуде трансформатора напряжения (TH) в %;
А м
А - границы интервала относительной погрешности измерения активной электроэнергии, обусловленной угловыми погрешностями измерительных трансформаторов
в %;
8л - предел допускаемой относительной погрешности, обусловленной потерями напряжения в линии связи между TH и счетчиком в %;
бос - предел допускаемой основной относительной погрешности счетчика электроэнергии в %.
Границы интервала суммарной абсолютной угловой погрешности в минутах и границы с
интервала относительной погрешности вА в % определяются по формулам:

(2)
6вл = 0-029 Otgq> (3)
0 0
где 'и 1 - пределы допускаемых угловых погрешностей ТТ и TH в минутах,
соответственно;
- угол сдвига между векторами первичных тока и напряжения в градусах.
-
9.3 Границы интервала погрешности ИК в рабочих условиях эксплуатации рассчитывают для вероятности 0.95. В качестве рабочих условий используют данные, предусмотренные технической документацией на АНИС КУЭ.
-
9.4 Границы интервала относительной погрешности ИК активной электроэнергии в рабочих условиях вычисляют по формуле (4):
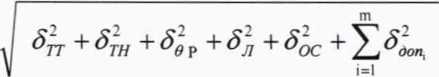
^ИКР А = —1’1 * J ^ТТ + ^ТН + ^0 А + ^Л + ^ос +
V М (4)
где ИКр А - границы интервала относительной погрешности ИК активной электроэнергии в % для вероятности 0.95;
^гг ’ ^тн • .4 ’ "л * $ос _ те же величины, что и в формуле 1;
с
- предел относительной допускаемой дополнительной погрешности счетчика электроэнергии в рабочих условиях от i - ой влияющей величины;
m - общие число влияющих величин.
-
9.5 Границы интервала основной относительной погрешности ИК реактивной электроэнергии вычисляют по формуле (5):
&ико р ~ — 1 ’1 * V $тг + $тн + р + + ос / $ \
Зикгде оР - границы интервала основной относительной погрешности ИК реактивной электроэнергии в % для вероятности 0.95:
&вр -границы интервала относительной погрешности измерения реактивной электроэнергии, обусловленной угловыми погрешностями измерительных трансформаторов в
Здр = 0.029 • 0 • ctgO
(6)
Остальные величины в формулах (5) и (6) те же. что в формулах (1) и (3).
-
9.6 Границы интервала относительной погрешности ИК реактивной электроэнергии в рабочих условиях вычисляют по формуле (7)


Где все величины те же. что в формулах (1). (3), (4) и (6).
Примечание - Формулы (1), (4). (5) и (7) даны для случая, когда отклонение внешних влияющих величин от нормальных значений вызывает дополнительные погрешности только у счетчика электроэнергии, а составляющими погрешности измерения электроэнергии обусловленными погрешностью задания интервала времени интегрирования электрической мощности, погрешностью передачи информации по ГОСТ 4.199-85, погрешностью обработки данных можно пренебречь.
-
10 ПОДТВЕРЖДЕНИЕ СООТВЕТСТВИЯ СРЕДСТВА ИЗМЕРЕНИЙ МЕТРОЛОГИЧЕСКИМ ТРЕБОВАНИЯМ
-
10.1 Поверка измерительных компонентов АИИС КУЭ
-
Проверяют соответствие типов и заводских номеров фактически используемых средств измерений (измерительных компонентов) типам, заводским номерам, указанным в формуляре АИИС КУЭ. Проверяют наличие свидетельств о поверке и срок их действия для всех измерительных компонентов: измерительных трансформаторов тока и напряжения, счетчиков электрической энергии, устройств синхронизации времени.
При наличии несоответствий по п. 10.1 дальнейшие операции по поверке ИК прекращаются. АИИС КУЭ бракуется и выписывается извещение о непригодности.
-
10.2 Проверка счетчиков электрической энергии
-
10.2.1 Проверяют наличие и сохранность пломб поверительных и энергосбытовых организаций на счетчике и испытательной коробке. Проверяют наличие оригиналов актов, подтверждающих правильность подключения счетчиков к цепям тока и напряжения, в частности, правильность чередования фаз.
-
10.2.2 Проверяют работу всех сегментов индикаторов, отсутствие кодов ошибок или предупреждений, прокрутку параметров в заданной последовательности.
-
10.2.3 Проверяют работоспособность оптического порта счетчика с помощью переносного компьютера. Преобразователь подключают к любому последовательному порту переносного компьютера. Опрашивают счетчик по установленному соединению. Опрос счетчика считается успешным, если получен отчет, содержащий данные, зарегистрированные счетчиком.
-
10.2.4 Проверяют соответствие индикации даты в счетчике календарной дате (число, месяц, год). Проверку осуществляют визуально или с помощью переносного компьютера через оптопорт.
-
При обнаружении несоответствий по п. 10.2 дальнейшие операции по поверке ИК прекращаются. АИИС КУЭ бракуется и выписывается извещение о непригодности.
10.3 Проверка УСПД-
10.3.1 Проверяют наличие и сохранность пломб поверительных и энергосбытовых организаций на УСПД. Проверяют правильность подсоединения УСПД.
-
10.3.2 Проверяют правильность функционирования УСПД в соответствии с его эксплуатационной документацией с помощью тестового программного обеспечения. Проверка считается успешной, если все подсоединенные к УСПД счетчики опрошены и нет сообщений об ошибках.
-
10.3.3 Проверяют программную защиту УСПД от несанкционированного доступа.
При наличии несоответствий по п. 10.3 дальнейшие операции по поверке ИК прекращаются. АИИС КУЭ бракуется и выписывается извещение о непригодности.
10.4 Проверка функционирования центральных компьютеров (серверов) АИИС КУЭ-
10.4.1 Проверяют защиту программного обеспечения на центральных компьютерах (серверах) АИИС КУЭ от несанкционированного доступа. Для этого запускают на выполнение программу сбора данных и в поле “пароль” вводят неправильный код. Проверку считают успешной, если при вводе неправильного пароля программа не разрешает продолжать работу.
-
10.4.2 Проверяют работу аппаратных ключей. Выключают компьютер и снимают аппаратную защиту (отсоединяют ключ от порта компьютера). Включают компьютер, загружают операционную систему и запускают программу. Проверку считают успешной, если получено сообщение об отсутствии «ключа защиты».
-
10.4.3 Проводят опрос текущих показаний всех счетчиков электроэнергии.
-
10.4.4 Проверяют глубину хранения измерительной информации в центральных компьютерах (серверах) АИИС КУЭ.
-
10.4.5 Проверяют правильность функционирования ИВК в соответствии с его эксплуатационной документацией с помощью тестового программного обеспечения. Проверка считается успешной, если все подсоединенные к ИВК счетчики опрошены и нет сообщений об ошибках.
-
10.4.6 Проверяют программную защиту ИВК от несанкционированного доступа.
-
10.4.7 Проверяют правильность значений коэффициентов трансформации измерительных трансформаторов, хранящихся в памяти ИВК.
При обнаружении несоответствий по п. 10.4 дальнейшие операции по поверке ИК прекращаются. АИИС КУЭ бракуется и выписывается извещение о непригодности.
10.5 Проверка функционирования вспомогательных устройств-
10.5.1 Проверка функционирования модемов
Проверяют функционирование модемов, используя коммуникационные возможности специальных программ. Модемы считаются исправными в составе комплекса, если были установлены коммутируемые соединения и по установленным соединениям успешно прошел опрос счетчиков или ИВК.
Допускается автономная проверка модемов с использованием тестового программного обеспечения.
-
10.5.2 Проверка функционирования адаптеров интерфейса
Используя кабель R.S232 подключают к адаптерам переносной компьютер с ПО. Проверка считается успешной, если удалось опросить все счетчики, подключенные к данному адаптеру.
При обнаружении несоответствий по п. 10.5 дальнейшие операции по поверке ИК прекращаются. АИИС КУЭ бракуется и выписывается извещение о непригодности.
10.6 Проверка нагрузки вторичных цепей измерительных трансформаторов тока-
10.6.1 Проверяют наличие и сохранность пломб поверительных и энергосбытовых организаций на клеммных соединениях, имеющихся на линии связи ТТ со счетчиком. Проверяют наличие оригиналов актов, подтверждающих правильность подключения вторичных обмоток ТТ.
-
10.6.2 Проверяют наличие данных измерений мощности нагрузки вторичных цепей ТТ по МИ 3196-2018 «ГСИ. Методика измерений мощности нагрузки измерительных трансформаторов тока в условиях эксплуатации» с оформлением паспортов-протоколов по форме Приложения 11.3 к Положению о порядке получения статуса субъекта оптового рынка и ведения реестра субъектов оптового рынка. Срок проведения ревизии ИК. а также утверждения паспортов-протоколов должен быть проведены в течении истекающего межповерочного интервала (для первичной поверки - не более 1 года до момента ее проведения).
При обнаружении несоответствий по п. 10.6 дальнейшие операции по поверке ИК прекращаются. АИИС КУЭ бракуется и выписывается извещение о непригодности.
10.7 Проверка нагрузки вторичных цепей измерительных трансформаторов напряжения-
10.7.1 Проверяют наличие и сохранность пломб поверительных и энергосбытовых организаций на клеммных соединениях, имеющихся на линии связи TH со счетчиком. Проверяют наличие оригиналов актов, подтверждающих правильность подключения первичных и вторичных обмоток TH.
-
10.7.2 Проверяют наличие данных измерений мощности нагрузки вторичных цепей TH по МИ 3195-2018 «ГСИ. Методика измерений мощности нагрузки измерительных трансформаторов напряжения в условиях эксплуатации» с оформлением паспортов-протоколов по форме Приложения 11.3 к Положению о порядке получения статуса субъекта оптового рынка и ведения реестра субъектов оптового рынка. Срок проведения ревизии ИК. а также утверждения паспортов-протоколов должен быть проведены в течении истекающего межповерочного интервала (для первичной поверки - не более 1 года до момента ее проведения).
При обнаружении несоответствий по п. 10.7 дальнейшие операции по поверке ИК прекращаются. АИИС КУЭ бракуется и выписывается извещение о непригодности.
10.8 Проверка падения напряжения в линии связи между вторичной обмоткой TH и счетчиковПроверяют наличие данных измерений падения напряжения ил в проводной линии связи для каждой фазы по документу МИ 3598-2018 «ГСИ. Методика измерения потерь напряжения в линиях соединения счетчика с трансформатором напряжения в условиях эксплуатации» с оформлением паспортов-протоколов по форме Приложения 11.3 к Положению о порядке получения статуса субъекта оптового рынка и ведения реестра субъектов оптового рынка. Срок проведения ревизии ИК. а также утверждения паспортов-протоколов должны быть проведены в течении истекающего межповерочного интервала (для первичной поверки - не более 1 года до момента ее проведения). Падение напряжения не должно превышать 0,25 % от номинального значения на вторичной обмотке TH.
При обнаружении несоответствий по п. 10.8 дальнейшие операции по поверке ИК прекращаются. АИИС КУЭ бракуется и выписывается извещение о непригодности.
10.9 Проверка погрешности часов ИК АИИС КУЭ-
10.9.1 Проверка СОЕВ
Подключают радиочасы «МИР РЧ-02.00» к переносному компьютеру с ПО. Сверяют показания радиочасов с показаниями часов сервера, получающего сигналы точного времени от устройства синхронизации системного времени, путём сравнения времени переносного компьютера с ПО и сервера. Расхождение показаний радиочасов с часами сервера не должно превышать ±1 с.
-
10.9.2 Распечатывают журнал событий УСПД, выделив события, соответствующие сличению часов УСПД и часов сервера. Расхождение времени часов УСПД и часов сервера в момент, предшествующий коррекции не должно превышать ±2 с.
-
10.9.3 Распечатывают журнал событий счетчиков, выделив события, соответствующие сличению часов счетчиков и часов УСПД. Расхождение времени часов счетчика и часов УСПД в момент, предшествующий коррекции не должно превышать ±2 с.
-
10.9.4 В случае опроса счётчиков по резервному каналу связи стандарта GSM распечатывают журнал событий счетчиков, выделив события, соответствующие сличению часов счетчиков и часов сервера. Расхождение времени часов счетчика и часов сервера в момент, предшествующий коррекции не должно превышать ±3 с.
-
10.9.5 Допускаемая погрешность СОЕВ не превышает ±5 с.
При обнаружении несоответствий по п. 10.9 дальнейшие операции по поверке ИК прекращаются. АИИС КУЭ бракуется и выписывается извещение о непригодности.
10.10 Проверка отсутствия ошибок информационного обменаОперация проверки отсутствия ошибок информационного обмена предусматривает экспериментальное подтверждение идентичности числовой измерительной информации в счетчиках электрической энергии (исходная информация), и памяти центрального компьютера (сервера БД).
В момент проверки все технические средства, входящие в проверяемый ИК. должны быть включены.
-
10.10.1 На центральном компьютере (сервере БД) системы распечатывают значения активной и реактивной электрической энергии, зарегистрированные с 30-ти минутным интервалом и профиль нагрузки за полные предшествующие дню проверки сутки по всем ИК. Проверяют наличие данных, соответствующих каждому 30-ти минутному интервалу времени. Пропуск данных не допускается за исключением случаев, когда этот пропуск был обусловлен отключением ИК или устраненным отказом какого-либо компонента системы.
-
10.10.2 Распечатывают журнал событий счетчика и сервера и отмечают моменты нарушения связи между измерительными компонентами системы. Проверяют сохранность измерительной информации в памяти центральных компьютерах (серверах) системы на тех интервалах времени, в течение которого была нарушена связь.
-
10.10.3 Используя переносной компьютер, считывают через оптопорт профиль нагрузки за полные предшествующие дню проверки сутки, хранящийся в памяти счетчика. Различие значений активной (реактивной) мощности, хранящейся в памяти счетчика (с учетом коэффициентов трансформации измерительных трансформаторов) и базе данных центрального компьютера (сервера БД) полученные по п. 10.10.2 не должно превышать двух единиц младшего разряда учтенного значения.
-
10.10.4 Рекомендуется вместе с проверкой по п. 10.10.3 в реальном режиме времени сличить показания счетчика по активной и реактивной электрической энергии строго в конце получаса (часа) с данными, зарегистрированными в центральном компьютере (сервере БД) системы для того же момента времени. Для этого визуально или с помощью переносного компьютера через оптопорт считывают показания счетчика по активной и реактивной электрической энергии и сравнивают эти данные (с учетом коэффициентов трансформации измерительных трансформаторов), с показаниями, зарегистрированными в центральном компьютере (сервере БД) системы. Расхождение не должно превышать две единицы младшего разряда.
При обнаружении несоответствий по п. 10.10 дальнейшие операции по поверке ИК прекращаются. АИИС КУЭ бракуется и выписывается извещение о непригодности.
11 ПРОВЕРКА ПРОГРАММНОГО ОБЕСПЕЧЕНИЯ СРЕДСТВА ИЗМЕРЕНИЙ-
11.1 Проводится проверка соответствия заявленных идентификационных данных программного обеспечения указанных в описании типа:
-
- наименование программного обеспечения;
-
- идентификационное наименование программного обеспечения;
-
- номер версии (идентификационный номер) программного обеспечения;
-
- цифровой идентификатор программного обеспечения (контрольная сумма исполняемого кода);
-
- алгоритм вычисления цифрового идентификатора программного обеспечения.
-
11.2 Проверка выполняется в соответствии с требованиями ГОСТ Р 8.654-2015 «ГСИ. Требования к программному обеспечению средств измерений. Основные положения» и Р 50.2.077-2014 «ГСИ. Испытания средств измерений в целях утверждения типа. Проверка защиты программного обеспечения».
-
11.3 Идентификация ПО СИ реализуется следующими методами;
-
- с помощью ПО СИ или аппаратно-программных средств, разработанных организацией -разработчиком СИ (ПО СИ);
с использованием специальных протестированных (аттестованных, сертифицированных) аппаратно-программных средств и/или протестированного (аттестованного, сертифицированного) ПО.
-
11.4 ПО считается подтвержденным, если идентификационное наименование ПО. номер версии (идентификационный номер) ПО, цифровой идентификатор ПО соответствуют приведенным в описании типа на АИИС КУЭ.
В противном случае АИИС КУЭ считается не прошедшей поверку и признается непригодной к применению.
12 ОФОРМЛЕНИЕ РЕЗУЛЬТАТОВ ПОВЕРКИ-
12.1 На основании положительных результатов по пунктам разделов 7-11 методики поверки оформляют свидетельство о поверке АИИС КУЭ в соответствии с Приказом Минпромторга России №2510 от 31 июля 2020 г. «Об утверждении Порядка проведения поверки средств измерений, требования к знаку поверки и содержанию свидетельства о поверке». В приложении к свидетельству о поверке указывают перечень и состав ИК. прошедших поверку и пригодных к применению. Протокол поверки оформляется в произвольной форме в соответствии с требованиями аккредитованного на поверку юридического лица или индивидуального предпринимателя, проводившего поверку.
Знак поверки наносится на свидетельство о поверке путем нанесения оттиска поверительного клейма и (или) наклейки со штрих-кодом.
-
12.2 В случае, если отдельные ИК были забракованы хотя бы по одному из пунктов разделов 7-11 методики поверки. АИИС КУЭ признается непригодной в части ИК, не прошедших с положительным результатом поверку, или АИИС КУЭ была забракована хотя бы по одному из пунктов разделов 7-11. на нее оформляют извещение о непригодности в соответствии с Приказом Минпромторга России №2510 от 31 июля 2020 г. «Об утверждении Порядка проведения поверки средств измерений, требования к знаку поверки и содержанию свидетельства о поверке» с указанием причин непригодности. В приложении к извещению о непригодности указывается перечень ИК. непрошедших поверку и непригодных к применению.
Инженер-метролог
Рудаков
М.А. Шошин
ООО «Энергокомплекс»
Инженер-метролог
ООО «Энергокомплекс»
18
