Методика поверки «ИНСТРУКЦИЯ 234—57 ПО ПОВЕРКЕ МАЯТНИКОВЫХ КОПРОВ ДЛЯ ОПРЕДЕЛЕНИЯ УДАРНОЙ ВЯЗКОСТИ МАТЕРИАЛОВ» (Код не указан!)
И 234-57 По поверке маятников копров для определения ударной вязкости материалов
Инструкция Госстандарта СССР от 08.05.1957 N 234-57
Заменен с 01.01.1979 на ГОСТ 8.264-7
Страница 1
ГОСУДАРСТВЕННЫЙ КОМИТЕТ СТАНДАРТОВ СОВЕТА МИНИСТРОВ СССР
ИНСТРУКЦИЯ 234—57ПО ПОВЕРКЕ МАЯТНИКОВЫХ КОПРОВ ДЛЯ ОПРЕДЕЛЕНИЯ УДАРНОЙ ВЯЗКОСТИ МАТЕРИАЛОВ
Издание официальное


государственный комитет стандартов
СОВЕТА МИНИСТРОВ СССР
ИНСТРУКЦИЯ 234—57ПО ПОВЕРКЕ МАЯТНИКОВЫХ КОПРОВ ДЛЯ ОПРЕДЕЛЕНИЯ УДАРНОЙ ВЯЗКОСТИ МАТЕРИАЛОВ
Издание официальное
ИЗДАТЕЛЬСТВО СТАНДАРТОВ
* Москва —1971
УДК 620.178.152.5.05.089.6
Инструкция разработана Новосибирским государственным институтом мер и измерительных приборов взамен инструкции 64—49; утверждена приказом Комитета стандартов, мер и измерительных приборов № 194 от 8 мая 1957 г. и введена в действие 1 октября 1957 г.
ИНСТРУКЦИЯ 234—57
ПО ПОВЕРКЕ МАЯТНИКОВЫХ КОПРОВ
ДЛЯ ОПРЕДЕЛЕНИЯ УДАРНОЙ ВЯЗКОСТИ МАТЕРИАЛОВ
Настоящая инструкция устанавливает средства и методы поверки маятниковых копров всех типов, служащих для определения ударной вязкости металла и неметаллических материалов.
Инструкция распространяется на маятниковые копры, выпускаемые из производства или ремонта, а также находящиеся в применении.
Технические характеристики маятниковых копров даны в приложении 2.
Соблюдение инструкции обязательно для всех организаций и предприятий, производящих поверку маятниковых копров.
I. УСТРОЙСТВО маятниковых КОПРОВ
А. Маятниковый копер типа МК-5 с переменным запасом энергии
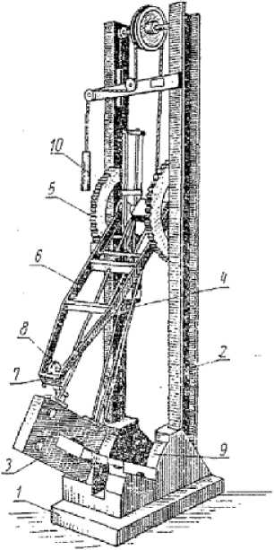
На чугунном основании 1 (рис. I) смонтированы две стойки 2, к которым крепятся шарикоподшипники. В шарикоподшипниках помещена ось с насаженным на нее диском 3, к которому на штанге 4 жестко подвешен маятник 5. Диск имеет зубцы, благодаря которым он и маятник могут фиксироваться в нужном положении собачкой 6. Для установки образца испытываемого материала на клиньях имеются выступы, на которые можно устанавливать образцы следующих сечений:
5.0X 5,0 лл; 10.0X10.0 л л; 15,0X15,0 л л, .
Переиздание. Ноябрь 1970 г.
□
ГТ
Расстояние между клиньями (которые служат опорой для образца) может изменяться в пределах от 130 мм до 30 мм, Для определения энергии, затраченной на разрушение образца испытываемого материала, в верхней части корпуса имеется отсчетное приспособление, которое состоит из следующих основных деталей: шкалы 7 (цена деления шкалы—Г); указательной стрелки 8, упорного штыря, предназначенного для установки указательной стрелки в нулевое положение шкалы, прижимного устройства указательной стрелки, состоящего из пружины и нажимной гайки, которое не даст возможности указательной стрелке свободно (от собственного веса) проворачиваться относительно оси маятника.
У маятниковых копров, опоры которых для испытуемого образца расположены на одной вертикальной оси копра, запас энергии выражается формулой:
Е — РН, (I)
треугольника оат
запас энергии; вес маятника; высота подъема.
Если из . _
(рис. 2) высоту подъема Я выразить через длину маятника I, то запас энергии выразится:

ударе, ост ат -
Остаток запаса энергии после
зится:
Pi = PZ
Работа, затрачеиная на излом образца очевидно, будет равна разности между запасом энергии и ком ее, т. е.
Л =£ —
Ei = Pl(\~-cosa) — РЦ1—cos₽) = P/(cosp—cosa). (4)
Б. Маятниковый копер типа МК-30 с переменным запасом энергии
На станине 1 (рис. 3) имеются две колонны 2, на которых подвешен на оси тяжелый маятник 3. Ось маятника укреплена в шарикоподшипниках. Маятник подвешен к осн на подвеске 4, представляющей собой жесткую систему растяжек. На той же оси имеется подъемная рама 6, которую можно устанавливать на различной высоте под разными углами к горизонту. Установка рамы на желаемой высоте производится опусканием собачек на храповики 5, -смонтированные у колонн. В верхней части этой рамы имеется защелка 8, при помощи которой маятник удерживается во взведенном положении. Для предотвращения самопроизвольного спуска маятника служит поворотный диск 7 на раме. Копер имеет фрикционный веревочный тормоз 10, который служит для остановки маятника. $'•£.;» Д •
Подъемная рама, опирающаяся на храповики, позволяет менять запас энергии в пределах от 1 до 30 кгс-м. Для.установки образцов у копра имеются две стальные закаленные ойоры 9, смонтированные у станины. Отпуская установочные болты ; гаечным ключом и передвигая эти опоры, можно настроить;прдлет на требуемое расстояние в пределах от 40 до 160 мм в зависимости от размеров образца. Регулировка установки образца по-высоте производится двумя угольниками, закрепленными над опорами при помощи барашков. У маятниковых копров этого типа опоры для испытуемого образца расположены не на вертикальной оси копра, а вынесены на угол у = 17° (рис. 4).
Запас энергии для копров этого типа выразится:
Е = РНХ. .... (5)
Из рис. 4 видно, что Н\ = Н — 1г2, но Н = I (1 —cosa), a hz из треугольника ОБ [К.
h2 — I — I cosy = I (1 —cosy), тогда H\ = I (cosy—cosa).
Следовательно, запас энергии для копров этого вида выразится:
Остаток энергии после излома выразится:
тогда работа выразится:
А — Е — Е\ = Pl (cosy — cosa) — Pl (cosy — cosp) =
где E — запас энергии, кг;
P— зес маятника, кг;
I — расстояние от оси качания до центра тяжести, Н — высота подъема центра тяжести маятника, л; а — угол подъема маятника в исходное положение; у — угол, на который вынесены опоры относительно вертикальной оси копра.

Рис, 3
Как видно из полученного, работа для копров обоих типов выражается одинаковыми формулами.
Измерение энергия, затраченной на разрушение образца, отсчитывается по шкале, градуированной в килограммометрах при помощи специального измерительного приспособления (рис. 5).
I
1
Е
о о

Рис. 4

Это измерительное приспособление состоит из двух горизонтальных планок: планки 1, соединенной с вертикальной шкалой, и планки 2, соединенной с указателем 3, которые перемещаются по тонкому вертикальному прутку с трением, достаточным для преодоления его веса. На оси маятника на специальном поводке установлен ролик 4. При установке маятника в начальное положение этот ролик поднимает ближайшую к нему планку 1, а вместе с ней я шкалу на величину, пропорциональную высоте подъема центра тяжести маятника. После спуска маятника, когда ом пройдет вертикальное положение, ролик начинает поднимать по вертикали планку 2 и связанный с ней указатель на высоту, пропорциональную оставшейся не израсходованной энергии. Указатель остается в этом положении вследствие сил трения и указывает на шкале некоторую величину, пропорциональную разности высот центра тяжести маятника до и т. е. пропорциональную работе, затраченной на раз-
после удара, рушение образца,
6
Так как градуировка шкалы сделана в килограммометрах, то можно производить сразу отсчет величины затраченной работы.
В. Маятниковый копер с пьезоэлектрическим кварцевым датчиком
Маятниковый копер (рис. 6) позволяет определить не только работу, затраченную на разрушение образца, но дает возможность измерять силу удара и величину деформации образца.

Рис. 6
Измерение силы удара производится при помощи пьезоэлектрического датчика /, установленного на молоте, а измерение деформации— при помощи фотоэлектрического датчика, состоящего из диафрагмы, укрепленной на стержне маятника, и фотоэлемента 2, расположенного на стойке 3 копра.
После усиления разности потенциалов, снятых с датчиков, ток поступает в двухлучевой катодный осциллограф, установленный в распределительном шкафу 4 рядом с копром. В момент удара диафрагма, укрепленная на стержне маятника, посылает пучок света на фотоэлемент. Фотоэлемент в свою очередь подает на осциллограф напряжение, пропорциональное световому эффекту в диафрагме, два раза подряд отклоняя оба луча осциллографа в горизонтальном направлении.
При первом проходе лучей, до удара бойка по образцу, первый луч с помощью второго фотоэлемента, имеющегося на стойке, дает на экране осциллографа траекторию пути 1 (рис. 7) и нулевую линию 2. При втором проходе первый луч рисует кривую 3 затраченного усилия, а второй луч — отметку времени 4. Для получения отсчетов времени через 0,001 сек. второй луч получает импульс 1000 гц от камертонного генератора, установленного в распределительном шкафу. В результате получается диаграмма удара и деформации (рис. 7) при одновременном изображении отметок времени. ■
Регистрация диаграммы производится на пластинке фотокамеры, приставленной к экрану осциллографа, или на пленке автоматического самопишущего прибора, помещенного внутри стоики 3 (рис. 6). Кривая деформации записывается на фотопленку с помощью зеркала, отражающего луч света при повороте рычажка 5. Последний повертывается на угол, пропорциональный деформа-

Впизу на основании копра расположено приспособление для градуирования масштабов усилия при статических нагрузках пьезоэлектрического датчика. Оно состоит из рычажной системы с передвижным грузом 6 и стержня (на рис. 6 не показан), устанавливаемого между тыльной стороной молота и малым плечом рычажной системы. Совмещая груз 6 с отметкой 500 кгс на коромысле 7 рычажной системы, создают бойком молота статическое сжатие образна, поставленного на опоры. Сжатие регистрируется пьезокварцевым датчиком на диаграмме удара. Величина этого удара служит масштабной мерой при анализе полученных записей.
При обычных испытаниях для определения ударной вязкости пьезокварцевые датчики снимаются и заменяются стальными вставками одинакового веса, прилагаемыми к копру. Копер снабжается четырьмя сменными маятниками: один маятник для испытаний на изгиб до 10 кгс ‘ м, один на ударный разрыв до 10 кгс-м, один на изгиб до 5 кгс-м и один на ударный разрыв до 5 кгс-м.
Маятники могут устанавливаться в начальном положении на различных высотах, т. е. копер является прибором с переменным запасом потенциальной энергии.
Г. Установка маятниковых копров а . .
ё Маятниковые копры должны устанавливаться на фундаментах
р с последующим креплением анкерньши болтами (рис. 8).
8


III. ПОВЕРКА МАЯТНИКОВЫХ КОПРОВ
Перед тем как приступить к поверке прибора необходимо произвести внешний осмотр.
-
1. На приборе должны быть обозначены наименование (марки-роЕка) завода-изготовителя, номер прибора и год его выпуска.
-
2. Маятниковый копер должен иметь паспорт, в котором должны быть следующие сведения: заводской номер, год изготовления, запас энергии, длина маятника до центра удара, вес маятника, данные о ремонте и переделках копра, дата последней поверки.
-
3. Находящийся в эксплуатации маятниковый копер должен ■быть установлен в сухом я хорошо освещенном помещении. Температура помещения должна быть 20°±5°С.
Копер должен быть установлен так, чтобы исключить возможность случайного нахождения людей с задней стороны копра.
Б случае, если это требование не может быть удовлетворено по каким-либо причинам, копер должен быть надежно огражден во избежание несчастных случаев, которые могут произойти от удара маятника или от разлетающихся с большой скоростью обломков образцов.
-
4. Все детали копра, а также принадлежности к нему не должны иметь коррозии и механических повреждений.
-
5. Копер должен быть установлен на фундаменте вертикально •и притянут к нему анкерными болтами. Вертикальность установки маятниковых копров определяется следующим образом: у коп-роь с опорами, расположенными на вертикали, проходящей через ■ось -чачания маятника (тип МК), последний должен едва касаться уложенного на опоры образца с размерами 10X10x55 м.м. У копров с вынесенными вперед опорами (на 17°) вертикальность установки копра проверяется отвесом, нить которого должна проходить по вертикали, совпадающей с осью качания маятника и осью ролика, служащего для подъема отсчетного приспособления. Отклонение от вертикали допускается в пределах 0,3 мм.
-
6. Опоры копра должны быть установлены горизонтально. Горизонтальность установки копра определяется при помощи уровня, устанавливаемого на опоры.
Отклонение от горизонтали не должно превышать ±1,5'.
-
7. Параллельность плоскости диска маятника относительно плоскости его качания проверяется следующим образом: на станину копра устанавливается стойка с индикатором таким образом, чтобы его измерительный стержень касался плоскости диска маятника. Наибольшее отклонение от параллельности допускается до 0,3 мм.
-
8. Прямолинейность штока маятника. Для проверки прямолинейности штока маятника следует приложить ребро выверенной
v металлической линейки к штоку и посмотреть, имеется ли просвет
между приложенным ребром линейки и штоком маятника. Величина просвета, измеренная щупом, укажет степень деформации = « Z 8
штока маятника. У технически исправного копра просвет между приложенным ребром линейки и штоком маятника не должен быть более 0,3 мм.
-
9. Перпендикулярность плоскости опорных клиньев (а у копров, имеющих опорные угольники, — опорных угольников) к боковым поверхностям маятника проверяется следующим образом. Перед поверкой необходимо поднять маятник, а затем с помощью линейки (ребра) проверить, на одной ли горизонтальной плоскости находятся обе опоры, после чего опустить маятник к опорам и произвести угломером замер углов между опорами и боковыми поверхностями маятника. Отклонение от перпендикулярности не должно превышать ±10'.
-
10. Поверка симметричности установочной шкалы опорных
клиньев относительно ударного ножа маятника. По отсчетным рискам, нанесенным на левой и правой стойках, устанавливают опорные клинья (по имеющейся на них установочной шкале) на один и тот же размер, например, 60 мм, после чего штангенциркулем замеряют зазоры между торцами опорных клиньев и торцами ударного ножа. ,
Таким образом установочная шкала поверяется в трех точках (выборочным путем). Допуск на несимметричность — 0,2 мм.
-
11. Проверка перпендикулярности поддерживающих образец угольников относительно опор производится следующим образом. Поднять угольники на произвольную высоту (в пределах прорезей) и закрепить барашками, после чего с помощью угломера произвести замер угла между вертикальной плоскостью опоры и горизонтальной плоскостью поддерживающего угольника. Такие замеры производятся при трех различных по высоте положениях.
Отклонение от прямого угла допускается ±10'.
Примечание. Этот пункт поверки относится к копрам, которые имеют угольники для поддержания образна.
-
12. Симметричность установочных вертикальных шкал поверяется следующим образом:
а) по шкалам, имеющимся на левом и правом поддерживаю
щих угольниках, устанавливают последние на отметку 10 мм, что должно соответствовать сечению образца 10X10 л,и; - ••
б) находят середину (по вертикали) ножа маятника и делают
отметки. Затем с помощью штангенглубиномера замеряют расстояние от плоскости угольника до отметок. Это расстояние должно быть равно половине высоты испытываемого образца, • т. е. 5± ±0,5 мм. ■ ■
Допуск.на несимметричность установочных вертикальных шкал поддерживающих угольников относительно выпуклой части ножа маятника ±0,5 леи.
-
13. Поперечный люфт оси качания маятника. Перед поверкс-й
к необходимо проделать следующие подготовительные операции:
| а) укрепить индикатор на колонке копра так, чтобы измери
тельный стержень индикатора уперся в торец осн маятника;
I 12
г
б) дать предварительное натяжение индикатору 2 мм, затем установить шкалу индикатора на нуль.
После чего легким нажатием произвести два-три перемещения оси маятника в подшипниках, перпендикулярно стойкам копра, при этом необходимо внимательно наблюдать за отклонением стрелки индикатора. Допуск на поперечный люфт оси качания маятника ±0,2 ,нл. •
-
14. Поверка затяжки подшипников, на которых установлена ось маятника, осуществляется следующим образом.
Маятник отклоняют от вертикального положения на 10°, затем отпускают и засекают по секундомеру время:
а) у копров с запасом энергии от 1 кгс-м до 250 кгс-м маятник должен качаться не менее 3,5 мин или должен сделать не менее 125 качаний (до полной остановки);
б) у копров с запасом энергии 0,5 кгс-м и 0,4 кгс-м маятник должен качаться не менее одной минуты или должен сделать не менее 65 колебаний (до полной остановки);
в) у копров с запасом энергии 0,1 кгс-м маятник должен качаться не менее 30 сек или должен сделать не менее 35 колебаний (до полной остановки).
Если количество колебаний маятника поверяемого копра не удовлетворяет данным требованиям, проверяется затяжка подшипников, смазка и прямолинейность осн маятника.
-
15. Определение действительного запаса э и е р г.и и маятника. Для составления таблиц значений ударной вязкости Ак служит формула:
.4» — Pl (cosp—cosa).
Произведение Р1 для каждого копра — величина постоянная.
Так как в этой формуле углы подъема и взлета аир находятся непосредственным отсчетом, задача сводится к отысканию веса Р н длины маятника I, т. е. расстояния от оси качания до центра тяжести его.
Для копров типа МК необходимо в этих целях отклонить маятник в горизонтальное положение и опереть его серединой ударного ножа на призму, установленную на чашку весов (рис. 9)..
Призма устанавливается таким образом, чтобы ребро ее было перпендикулярно плоскости ножа. Уравновесив чашки весов, получим величину реакции опоры G.
Для копров с запасом энергии от 0,5 до 15 кгс-м взьешивание производится с точностью до 2 г.
Для копров с запасом энергии от 30 до 250 кгс-м взвешивание производится с точностью до 10 г.
Уравновешивание и измерение расстояния 1\ производится три
Н

■откуда
Среднее арифметическое из трех значений произведения принимается равным Р1. так как сумма моментов относительно оси качания равна нулю
Дк я Л’ (cosp—cosa). (9)
Б этой формуле известны: действительный запас энергии маятника К и угол подъема а; подставляя вместо р значения угла взлета от 1 до 160°, можно получить полную таблицу для определения работы, затраченной на излом образца.
Таким же образом определяют действительный запас энергии маятника копров типа МК-30 и МК-250.
Для этих копров удобнее уравновешивание производить при помощи специального приспособления, прилагаемого к копру (рис. 10). .
СЧ;1 - Pl = К.
Значение действительного запаса энергии маятника К позволяет составить таблицу значений работы удара Дк для копров типа МК гю формуле:
Рис. 9
Оно состоит из стержня 1 с резьбой на конце, вставленного в фигурную планку 2, изготовленную из алюминия и стальной проволоки-Л закрепленной одним концом к стержню; на другом конце ее закреплен крючок 4.
Для определения действительного запаса энергии маятника копра при помощи этого приспособления необходимо маятник копра (рис. 11) привести в горизонтальное положение. Для этого стержень 1 приспособления ввинчивается в маятник, проволока перекидывается через ролик 2, укрепленный в раме 3, поддерживающей маятник в поднятом состоянии.
Чтобы при подвешивании груза, уравновешивающего маятник, стержень не изгибался, фигурная планка приспособления устанавливается между двумя нижними стержнями 4 маятника, К перекинутой через ролик проволоке (проволока от стержня к ролику должна иметь вертикальное положение) подвешивается груз 5, обычно
Л 7 л? ' £ 1 | ||
_ | ||
т- —г | ||
Рис. 10
в виде поддона с гирями, уравновешивающий маятник в горизонтальном положении; тормозная веревка при уравновешивании отцепляется. Найденная таким образом величина G, умноженная на расстояние до точки подвеса проволоки /ь дает произведение
GZ1 = Pl = К.
Горизонтальное положение маятника проверяется приложением уровня к нижней грани молота маятника.
Примечание. Скорость маятника в момент удара должна быть 4—7 Mice* (для копров с запасом энергии маятника от 1,5—250 кге-м). Скорость маятника в момент удара должна быть 2,1—3,5 м1сек (для копров с запасом энергии маятника от 10—5С кге см).
-
16. Местоположение центра удара. Точка встречи ножа маятника с образцом должна совпадать или быть несколько ниже так называемого центра удара.
При этом условии сила удара не передается на наиболее ответственную часть маятника—ось его качания.
Расстояние от оси качания маятника до его центра удара является вместе с тем длиной математического ма

ятника, определяемой при Рис. 11
условии отклонения маятника в пределах до 10° по формуле для периода колебания: откуда

где I— расстояние от оси качания до центра удара, см-, g— ускорение силы тяжести для данного места, см/сек2-, Т— период полного колебания маятника в секунду.
Таким образом, экспериментальное определение положения центра удара сводится к измерению при помощи секундомера периода полного колебания маятника и вычислению расстояния по приведенной выше формуле.
15
Для вычисления необходимо знать ускорение силы тяжести g для данной широты и полный период одного колебания маятника.
Для определения периода полного колебания маятника необходимо отклонить маятник на угол 10° от вертикали, отпустить и, пустив секундомер, определить время, потребное для:
а) 80—100 полных колебаний (у копров с запасом энергии маятника от 1,5 до 250 кгс-м)',
б) 50—60 полных колебаний (у копров с запасом энергии маятника 40 и 50 кас-CAt);
в) 20—30 полных колебаний (у копров с запасом энергии маятника 10 кгс-см).
Вычислив среднюю продолжительность одного колебания (Г) и. подставив его значение в формулу настоящего пункта, получим расстояние до центра удара.
Определив таким образом расстояние до центра удара, выясняют, насколько середина ножа отклоняется от середины испытываемого образца. '
Разность между расстоянием от оси качания маятника до середины образца и приведенной длиной маятника (расстояние до центра удара) у маятниковых копров с запасом энергии маятника от 5 до 250 кгс • м не должна превосходить 20 мм.
Для маятниковых копров с запасом энергии маятника от 10 кгс-см до 1,5 кгс-м эта разница не должна превосходить 3 мм.
-
17. Потери энергии при свободном качании маятника. Поверка потерь энергии, вызванных вредными сопротивлениями, трением в подшипниках, сопротивлением воздуха и трением в отсчетных механизмах производится совместно.
Для этой цели копер приводится в действие обычным способом, но без образца.
Разность между величиной запаса энергии и энергией после взлета при холостом ходе равна величине энергии, израсходованной на вредные сопротивления.
Работа, затраченная на вредные сопротивления, выразится, формулой:
.4к = К (cosp—cosa),
где К— действительный запас энергии маятника, равный произведению Р1 или Glr,
а— угол подъема маятника;
р — угол взлета после холостого качания.
Потери для копров с запасом энергии маятника от 10 до 50 кг/см допускаются не более 4% от наибольшего запаса энергии: маятника, ■
Потери для копров с запасом энергии маятника от 1,5 до к 250 кгс-м, допускаются не более 0,1 кгс-м. л
-
18. Горизонтальность планок отсчетного устройства (для коп~
г ров типа Амслер). Перед поверкой копра специальным уровнем;
Е -16
проверяют горизонтальность планок отсчетного устройства. При отсутствии горизонтальности ослабляют крепежные винты планок и последние устанавливают по уровню.
IV. ОФОРМЛЕНИЕ РЕЗУЛЬТАТОВ ПОВЕРКИ
На маятниковые копры, удовлетворяющие требованиям настоящей инструкции, при выпуске их из производства в удостоверение обязательной поверки в органах ОТК выдается выпускной аттестат
На маятниковые копры, находящиеся в применении и выходящие из ремонта в удостоверение поверки в органах Государственного комитета стандартов Совета Министров СССР при положительных результатах поверки выдается свидетельство установленной формы.
В удостоверение поверки в органах ведомственного надзора делается отметка в паспорте.
Маятниковые копры, не удовлетворяющие требованиям настоящей инструкции, в обращение не допускаются.
Рекомендуемая форма записи результатов поверки приведена в приложении 1.
Замена
ГОСТ 162—64 введен взамен
ГОСТ 166—63 введен взамен
ГОСТ 577—68 введен взамен
ГОСТ 5072—67 введен взамен
ГОСТ 5378—66 введен взамен
ГОСТ 9392—60 введен взамен
ГОСТ 162—41.
ГОСТ 166—51.
ГОСТ 577—53.
ГОСТ 5072—54.
ГОСТ 5378—50.
ГОСТ 3056—45 и ГОСТ 3308—46.


ПРИЛОЖЕНИЕ 1
ПРОТОКОЛ №_______
поверки маятникового копра
представленного_____________________.___________________________________________
Заводской №___________Год изготовления________________________(.___
Т ил________________
Наименование предприятия, изготовившего прибор____________________________
Поверен __;_____.197___г. на месте установки
Результаты поверки;
-
1) Вертикальность установки копра__
-
2) Горизонтальность установки копра______________________________________
-
3) Параллельность плоскости дисков маятника относительно плоскости его
качания __________________________________________________________________
-
4) Прямолинейность штока маятника_____________________________________
-
5) Перпендикулярность плоскости опорных клиньев (предназначенных для установки образцов испытываемого материала) к плоскости качания маятника
-
6) Симметричность установочной шкалы опорных клиньев относительно
ударного ножа маятника_____________________________________________________
-
7) Перпендикулярность поддерживающих угольников относительно опор
(для копров, имеющих поддерживающие угольники)..............................
-
8) Симметричность установочных вертикальных шкал поддерживающих
угольников относительно выпуклой части ножа маятника (для копров, имеющих поддерживающие угольники)______________________________________;_________
I

Ё
и о
-
9) Поперечный люфт оси качания маятника________________________
-
10) Затяжка подшипников, на которых установлена ось маятника___________
-
11) Определение действительного запаса энергии маятника___
18
-
12) Расстояние от оси качания маятника до центра удара (см)______________
-
13) Пернсд полного колебания маятника_________________________________
-
14) Максимальная величина потери энергии при свободном качании маятника
Заключение
На основании результатов поверки копер №___________отвечает требования»
нгструкции № __________
______•_________________ Подпись поверявшего___

1 2 |
Наибольший запас энергии маятника в кгс ■ -и Расстояние от оси ка-чання маятника до цен- |
0,5 |
1,5 |
3 |
5 |
15 |
30 |
100 | |
тра удара, в кк |
328 |
440 |
— |
535 |
От 500 |
От 750 |
— | ||
до 510 |
до 775 | ||||||||
3 |
Бес маятника в кг |
2,242 |
. 2,142 |
_ |
От 5,05 |
От 19,0 |
От 24,25 |
50 | |
до 5,75 |
до 10,5 |
до 24,55 | |||||||
4 |
Высота копра в мм |
705 |
800 |
— |
1000 |
1540 |
2000 |
3000 | |
5 |
Площадь основания | ||||||||
В ММ |
210X360 |
270—500 |
— |
120X700 |
340x550 |
340x745 |
— | ||
6 |
Необходимое место для вылета маятника в обе стороны в мм |
755 |
НОО |
1310 |
1560 |
2100 |
3000 | ||
7 |
Вес копра в кг |
52 |
50 |
— |
140 |
220 |
400 |
1800 | |
6 |
Погрешность показа- | ||||||||
ний по шкале в кгс ■ м или | |||||||||
в %, не более |
±4% |
±0,1 |
±0,1 |
±0,1 |
±0,1 |
± 0,1 |
±0,1 | ||
9 |
Потеря энергии за | ||||||||
один полупериод свободных качаний маятин- | |||||||||
ка от предельного запаса энергии копра в кгс ■ м или в % %, не более |
4% |
0,1 |
од |
0,1 |
0,1 |
0,1 |
0,1 | ||
10 |
Маятник после перво- | ||||||||
начального отклонения | |||||||||
на 10° должен сделать до затухания, качаний | |||||||||
не менее |
60 |
125 |
125 |
125 |
125 |
125 |
.425 | ||
11 |
Конструкция копра, обеспечивающая скорость | ||||||||
ножа маятника в момент | |||||||||
удара по образцу в м/сек, в пределах |
2,1—3,5 |
4-7 |
4—7 |
4-7 |
<1—7 |
4—7 |
4—7 | ||
12 |
Разность.между расстоянием от оси качания ма- | ||||||||
к ■v |
ятнпка до середины образца (при соответствующей установке опор) и приведенной длиной мант- | ||||||||
ника (расстоянием до | |||||||||
1 |
центра удара) в мм, не |
20 |
20 | ||||||
й р £ |
более |
3 |
20 |
20 |
20 |
20 |
20
и n
ПРИЛОЖЕНИЕ 2
ТРЕБОВАНИЯ К МАЯТНИКОВЫМ КОПРАМ, ПОДЛЕЖАЩИМ ПОВЕРКЕ
копров
сч £ |
О «6 |
8 6 w |
с "г* |
•гэ с |
1ГЗ SJ § Я < |
и . о в |
О с. £ S S |
СО £■ “ ш л = & к |
С 8? п а. U <9 Я 4-<3 |
ёх с 5 я < |
ч‘ а J8 ш 2. 25 Ч я |
О ГО 1 s з ₽ £ |
5? -■е я а Й | |
250 |
5+30 |
10 |
15 |
30 |
15 |
0,4 |
10 |
10 |
30 |
30 |
30 |
30 |
30 | |
— |
650 |
— |
— |
225 |
— |
— |
— |
— |
— |
— |
— | |||
70 |
6,5 |
— |
— |
— |
1,010 |
— |
— |
— |
— |
— |
— |
— | ||
4500 |
1415 |
— |
— |
500 |
— |
— |
— |
— |
-— | |||||
— |
700Х1000 |
— |
— |
■— |
200X250 |
— |
— |
— |
— |
— |
— | |||
1500 |
1700 |
____ |
520 | |||||||||||
1925 |
— ' |
561 |
—* |
— |
— |
19 |
— |
— |
— |
— |
— |
— |
— | |
±0,1 |
±0,1 |
±0,1 |
±0,1 |
±0,1 |
±0,1 |
±4% |
±0,1 |
±0,1 |
±0,1 |
±0,1 |
±0,1 |
±0,1 |
±0.1 | |
0,1 |
0,1 |
0,1 |
од |
0,1 |
0,1 |
4% |
0,1 |
0.1 |
0,1 |
0,1 |
0,1 |
0,1 |
0,1 | |
125 |
125 |
125 |
125 |
125 |
125 |
60 |
125 |
125 |
125 |
125 |
125 |
125 |
125 | |
4—7 |
4-7 |
4-7 |
4—7 |
■1 - " |
4—7 |
2,1—3,5 |
4—7 |
4-7 |
4—7 |
4—7 |
4-7 |
4—7 | ||
20 |
20 |
20 |
20 |
20 |
20 |
1 |
20 |
20 |
20 |
20 |
20 |
20 |
2J
_Е сг О. Ь> 3 а |
Характеристика копра к технические требования |
о |
Тапы | ||||||
aS |
ч-ми I |
1 * * |
X |
o о | |||||
13 |
Отклонение от параллельности между боковыми поверхностями молота и плоскостью качания маятника в мм, не более |
0,3 |
0,3 |
0Л |
0,3 |
o,3 |
03 |
0,3 | |
14 |
Отклонение от перпендикулярности между боковыми поверхностями молота и поверхностью опор образца а мм, не бо- | ||||||||
лее |
0,5 . |
0,5 |
0,5 |
0,5 |
0,5 |
0,5 |
0,5 | ||
15 |
Отклонение от неснм- | ||||||||
16 |
метричности опор относительно ножа маятника при установке опор по установочным шкалам в мм, не более |
0,2 |
0,2 |
0,2 |
0,2 |
0,2 |
0,2 |
0,2 | |
Горизонтальная и вертикальная опоры для образца, образующие между собой угол с допуском | |||||||||
в мин |
±10 |
±10 |
±10 |
±10 |
±10 |
±10 | |||
17 |
Осевой зазор маятника в лм, не более |
0,2 |
0,2 |
0,2 |
0,2 |
0,2 |
0,2 |
02 | |
18 |
Деление шкалы в мм, | ||||||||
не менее |
1 |
1 |
1 |
1 |
1 |
1 |
1 | ||
19 |
Ширина штрихов в мм, не более |
0,2 |
0,2 |
0,2 |
0,2 |
0,2 |
0,2 |
0.2 |
Продолжение


КОЛБОВ
1 |
§ bk E |
О ; аз co ' |
6 co Q. ■ |
i S s co L- |
s X к i |
У1 a Ф s |
9 a Ci Й 1 о i a ъ—* : |
о s 3 |
nl r® < =t |
s s * а) -й 5s- Л |
? c. s s < |
ej = 2 48 |
S 1 1 f |
ё c e* = 1 a a 5* < e | ||
0,3 |
оз |
03 |
0,3 |
0,3 |
0,3 |
оз |
03 |
0,3 |
0,3 |
0,3 |
0,3 |
0,3 |
0,3 | |||
0,5 |
0,5 |
0,5 |
0,5 |
0,5 |
0,5 |
0,5 |
0,5 |
0,5 |
0,5 |
0,5 |
03 |
0,5 |
0.5 | |||
0,2 |
оз |
03 |
03 |
03 |
03 |
03 |
03 |
03 |
03 |
03 |
03 |
оз |
03 | |||
±10 |
±10 |
±10 |
±10 |
±10 |
±10 |
±10 |
±10 |
±10 |
±10 |
±10 |
±10 |
± 10 |
±I( | |||
03 |
03 |
03 |
03 |
03 |
03 |
03 |
03 |
оз |
03 |
03 |
0,2 |
0,2 |
03 | |||
1 ’ |
1 |
1 |
1 |
1 |
1 |
I |
I |
I |
1 |
1 |
I |
1 |
I | |||
03 |
оз |
03 |
03 |
03 i |
03 |
03 |
оз |
оз |
0,2 |
оз |
0,2 |
03 |
03 |


Редактор Н. А. Куликова
Корректоры: Э. А. Шмелева, М. Г. Бурдо

Сдано в наб. 4/XII 1970 г Подл, в печ. 4/III 1971 г. 1,5 л л Тир. 300G
Издательство стандартов. Москва. К-1, ул. Щусева, д. 4. вильнюсская типография Издательства стандартов, ул, Миндауго, 12/14. Зах, 418
5
8
Внимание! Документ недействующий. См. ярлык "Примечания
ИС «Техэксперт: 6 поколение» Интранет