Методика поверки «ГСИ. Система измерений количества и параметров газа (СИКГ), поступающего на факел низкого давления совмещенной факельной установки ЦПС Куюмбинского месторождения» (НА.ГНМЦ.0561-20 МП)
Согласовано

а»
/1.С. Немиров
2020 г.
ИНСТРУКЦИЯ
Государственная система обеспечения единства измерений
Система измерений количества и параметров газа (СИКГ), поступающего на факел низкого давления совмещенной факельной установки ЦПС Куюмбинского месторождения
Методика поверки
НА.ГНМЦ.0561-20 МП
Казань 2020
РАЗРАБОТАНА
ИСПОЛНИТЕЛИ:
Обособленным подразделением Головной научный метрологический центр АО «Нефтеавтоматика» в г. Казань
(ОП ГНМЦ АО «Нефтеавтоматика»)
Березовский Е.В., к.т.н,
Хусаинов Р.Р.
1 Общие положенияНастоящая инструкция распространяется на систему измерений количества и параметров газа (СИКГ), поступающего на факел низкого давления совмещенной факельной установки ЦПС Куюмбинского месторождения и устанавливает методику ее периодической поверки.
Поверка СИКГ в соответствии с настоящей методикой поверки обеспечивает передачу единиц объемного расхода газа от рабочего эталона 1-ого разряда в соответствии с Государственной поверочной схемой для средств измерений объемного и массового расходов газа, утвержденной приказом Росстандарта от 29.12.2018 г. № 2825 «Об утверждении Государственной поверочной схемы для средств измерений объемного и массового расходов газа», что обеспечивает прослеживаемость к ГЭТ 118-2017 «Государственный первичный эталон единиц объемного и массового расходов газа». Поверка СИКГ осуществляется косвенным методом.
Методика поверки не предусматривает проведение поверки для меньшего числа измеряемых величин или на меньшем числе поддиапазонов измерений.
Интервал между поверками СИКГ: 4 года.
2 Перечень операций поверки СИКГ-
2.1 При проведении поверки выполняют следующие операции, указанные в таблице 1.
Таблица 1
Наименование операции
Номер пункта методики поверки
Проведение операции при
первичной поверке
периодической поверке
1. Внешний осмотр
6.1
Да
Да
2. Опробование
7.2
Да
Да
3. Проверка программного обеспечения (далее - ПО) СИКГ
8
Да
Да
4. Определение метрологических характеристик СИКГ
9
Да
Да
5. Подтверждение соответствия СИКГ метрологическим требованиям
10
Да
Да
2.2 При получении отрицательных результатов при выполнении любой из операций поверка прекращается.
-
3.1 Поверочная расходомерная установка, пределы допускаемой относительной погрешности ±0,3 %.
-
3.2 Калибратор многофункциональный MC5-R, диапазон воспроизведения силы постоянного тока от 0 до 25 мА, пределы допускаемой погрешности воспроизведения ±(0,02 % показания + 1,5 мкА); диапазон измерения силы постоянного тока ±100 мА, пределы допускаемой погрешности измерений ±(0,02 % показания + 1,5 мкА); диапазон измерения частотного сигнала от 0,0025 Гц до 50 кГц, пределы допускаемой относительной погрешности ±0,01%; счет импульсов до 9999999 имп., погрешность подсчета импульсов отсутствует.
-
3.3 Рабочий эталон 1-го разряда в соответствии с Приказом Росстандарта №1339 от 29.07.2018 г. «Об утверждении Государственной Поверочной схемы для средств измерений избыточного давления до 4000 МПа».
-
3.4 Другие эталонные и вспомогательные СИ - в соответствии с нормативными документами (НД) на поверку СИ, входящих в состав СИКГ.
-
3.5 Допускается применение аналогичных средств поверки, обеспечивающих определение метрологических характеристик, поверяемых СИ с требуемой точностью.
При проведении поверки соблюдают требования, определяемые в области охраны труда и промышленной безопасности:
-
- «Правила безопасности в нефтяной и газовой промышленности» утверждены приказом Федеральной службы по экологическому, технологическому и атомному надзору от 15 декабря 2020 г. №534;
-
- Трудовой кодекс Российской Федерации;
в области пожарной безопасности:
-
- СНиП 21-01-97 «Пожарная безопасность зданий и сооружений»;
-
- Постановление Правительства Российской Федерации «Об утверждении правил противопожарного режима в Российской Федерации» от 16.09.2020г. №1479;
-
- СП 12.13130.2009 «Определение категорий помещений, зданий и наружных установок по взрывопожарной и пожарной опасности»;
-
- СП 5.13130.2009 «Системы противопожарной защиты. Установки пожарной сигнализации и пожаротушения автоматические. Нормы и правила проектирования»;
в области соблюдения правильной и безопасной эксплуатации электроустановок:
-
- ПУЭ «Правила устройства электроустановок»;
в области охраны окружающей среды:
-Федерального закона от 10.01.2002 г. № 7-ФЗ «Об охране окружающей среды» и других законодательных актов по охране окружающей среды, действующих на территории РФ.
5 Требования к условиям проведения поверкиПоверку проводят в условиях эксплуатации:
-
- температура окружающей среды от +5 до +30 °C
-
- относительная влажность, не более 95 %
-
- атмосферное давление от 94 до 106,7 кПа
-
6.1 При внешнем осмотре должно быть установлено соответствие СИКГ следующим требованиям:
-
- комплектность СИКГ должна соответствовать технической документации;
-
- на компонентах СИКГ не должно быть механических повреждений и дефектов покрытия, ухудшающих внешний вид и препятствующих применению;
-
- надписи и обозначения на компонентах СИКГ должны быть четкими.
-
6.2 Для исключения возможности несанкционированного вмешательства, которое может влиять на показания СИ, входящих в состав СИКГ, должна быть обеспечена возможность пломбирования в соответствии с описаниями типа СИ.
-
7.1 При подготовке к поверке СИКГ проверяют наличие актуальных сведений о поверке в Федеральном информационном фонде по обеспечению единства измерений СИ, входящих в состав СИКГ.
-
7.2 Опробование
Проверяют отсутствие сообщений об ошибках и соответствие текущих измеренных СИКГ значений температуры, давления, объемного расхода данным, отраженным в описании типа СИКГ.
Результаты опробования считают положительными, если текущие измеренные СИКГ значения температуры, давления, объемного расхода соответствуют данным, отраженным в описании типа СИКГ, а также отсутствуют сообщения об ошибках.
8 Проверка программного обеспечения СИКГ-
8.1 Проверка идентификационных данных ПО комплекса измерительновычислительного расхода и количества жидкостей и газов «АБАК+» (далее -ИВК).
Чтобы определить идентификационные данные для ПО ИВК необходимо выполнить нижеперечисленные процедуры.
Для проверки текущей контрольной суммы необходимо нажать на клавишу под названием «Информация» на лицевой панели ИВК, прокрутить список, нажав клавишу «Вниз».
Занести информацию в соответствующие разделы протокола.
-
8.2 Если идентификационные данные, указанные в описании типа СИКГ и полученные в ходе выполнения п.8.1, идентичны, то делают вывод о подтверждении соответствия ПО СИКГ программному обеспечению, зафиксированному во время проведения испытаний в целях утверждения типа, в противном случае результаты поверки признают отрицательными.
-
9.1 Определение MX
-
9.1.1 Проверка результатов поверки СИ, входящих в состав СИКГ Проверяют наличие действующих свидетельств о поверке СИ и (или) знаков поверки на СИ, и (или) записей и знаков поверки в паспортах (формулярах) СИ, и (или) сведений в Федеральном информационном фонде по обеспечению единства измерений о поверке СИ, входящих в состав СИКГ.
-
9.1.2 Определение относительной расширенной неопределенности измерений (при коэффициенте охвата 2) объемного расхода свободного нефтяного газа (СНГ), приведенного к стандартным условиям.
-
9.1.2.1 Определение относительной стандартной неопределенности измерений объемного расхода СНГ, приведенного к стандартным условиям.
-
-
Относительную погрешность измерений расхода (5Qc) и объема (5Ис) газа, приведенных к стандартным условиям, определяют по формулам
6Qc= l6q + 8% + др • 8p + ■ 8$ + 6$ ,
(1)
6Vc = |52c + 5? + 5^, (2)
где
6B - относительная погрешность вычислений объемного расхода (объема) газа, приведенного к стандартным условиям вычислителя УВП-280, согласно свидетельству о поверке, %;
5q - относительная погрешность измерений объемного расхода (объема) газа при рабочих условиях расходомера-счетчика газа XGF868i, согласно свидетельству о поверке, %;
6Т - относительная погрешность измерения текущего времени, вычислителя УВП-280, %, согласно свидетельству о поверке, принимают равным нулю если относительная погрешность измерения текущего времени не превышает 0,01%;
i?p - коэффициент влияния температуры на объем газа, приведенный к стандартным условиям, вычисляют по формуле (8);
5Р - относительная погрешность измерений давления газа, вычисляют по формуле (3),%;
i9T - коэффициент влияния температуры на объем газа, приведенный к стандартным условиям, вычисляют по формуле (8);
6Т - относительная погрешность измерений температуры газа вычисляют по формуле (4),%;
SK - относительная погрешность определения коэффициента сжимаемости газа, вычисляют по формуле (5),%;
5 - относительная погрешность измерения параметров газа,
обусловленные дискретизацией аналоговых сигналов СИ во времени вычисляют по ГОСТ 8.611-2013 п.13.4 или принимают равным нулю если интервал дискретизации не более 1 с, %.
Относительную погрешность измерений давления определяют по формуле

(3)
где | ||
п |
- число последовательно соединенных преобразователей, используемых для измерения; |
измерительных |
SPi |
- относительная погрешность /-го измерительного давления с учетом дополнительных погрешностей. |
преобразователя |
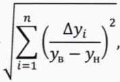
Относительную погрешность измерений температуры газа определяют по формуле

(4)
где
п
число последовательно соединенных измерительных преобразователей, используемых для измерения;
верхнее значение диапазона измерений температуры, °C; нижнее значение диапазона измерений температуры, °C; измеренное значение температуры газа, °C;
Ду{ - абсолютная погрешность /-го измерительного преобразователя
температуры с учетом дополнительных погрешностей;
- верхнее и нижнее значения диапазона измерений или выходного сигнала /-го измерительного преобразователя температуры.
Относительную погрешность определения коэффициента сжимаемости газа вычисляют по формуле

и

1 = 1

(5)
где
6Км - методическая погрешность определения коэффициента сжимаемости газа, определяют в соответствии с ГСССД МР 113, %;
- коэффициент влияния /-го компонента газа на коэффициент сжимаемости, вычисляют по формуле (8);
8yi - относительная погрешность измерений молярной доли /-го
компонента газа, в соответствии с таблицей 2 ГОСТ 31371.7,% ; число компонентов в газе.
Относительную погрешность определения молярной доли /-го компонента газа вычисляют по формуле

(6)
где

относительная погрешность определения молярной доли /-го
компонента газа от принятия молярной доли /-го компонента газа за условно-постоянный параметр, %;
4V. - абсолютная погрешность измерений молярной доли /-го компонента
*изм ____ __. —____ — _ _
газа по ГОСТ 31371.7-2008 «Газ природный. Определение состава методом газовой хроматографии с оценкой неопределенности. Часть 7. Методика выполнения измерений молярной доли компонентов» или ГОСТ Р 53367-2009 «Газ горючий природный. Определение серосодержащих компонентов хроматографическим методом», %.
Относительную погрешность определения молярной доли /-го компонента газа от принятия молярной доли /-го компонента газа за условно-постоянный параметр вычисляют по формуле
xi ) 100
снаим /


(7)
где
аиб “ наибольшее значение молярной доли i-ro компонента газа, в
соответствии с ГОСТ 31371.7, %;
Х(н и1 - наименьшее значение молярной доли i-ro компонента газа, в
соответствии с ГОСТ 31371.7, %.
Коэффициенты влияния вычисляют по следующей общей формуле
ДГ yf
(8)
=-—
У1 Y ’
где
Y - значение измеряемой величины, зависящее от параметров «хр>, то
есть Y = Y(y1,y2, ...yi). В качестве измеряемой величины могут выступать давление СНГ, температура СНГ, значение силы тока токового сигнала и т.п.;
у, - измеряемый параметр (усредненный за отчетный период), от
которого зависит измеряемая величина;
Ду{ - абсолютная погрешность z-ого измеряемого параметра;
ДУ - изменение измеряемой величины Y при изменении измеряемого
параметра на величину Дун
Дополнительные относительные погрешности величин «у», связанные с отклонением температуры окружающей среды от нормальных условий, вычисляют по формуле
. _ Ув“Ун Л7р
(9)
где
уУл - приведенная дополнительная погрешность на каждые ДТ °C, %;
ДТр - отклонение температуры окружающей среды от нормальных
условий, °C;
ДТ - диапазон температур, для которого нормирована погрешность, °C;
ув - верхний предел измерений СИ величины «у»;
ун - нижний предел измерений СИ величины «у»;
у - значение измеряемой величины. В качестве измеряемой величины
могут выступать давление газа, температура газа, значение силы тока токового сигнала и т.п.
Примечание. Если погрешность нормирована на диапазон изменений выходного сигнала, то вместо верхнего и нижнего пределов измерений СИ и измеренного значения величины «у» следует использовать соответствующие значения выходного сигнала.
Связи между абсолютной, относительной и приведенной погрешностями измерений
Ду

5V = —-100%,
У
где
6у - относительная погрешность измерений величины «у»; Ду - абсолютная погрешность измерений величины «у».
Ду
(11)
Yv =--— -100%.
У Ув-Ун
где
Уу
приведенная погрешность измерений величины «у».
10 Подтверждение соответствия СИКГ метрологическим требованиямРасчет относительной расширенной неопределенности (при коэффициенте охвата 2) объемного расхода СНГ, приведенного к стандартным условиям, может быть выполнен ручным способом в соответствии с ГОСТ 8.611-2013 или при помощи модуля «ГОСТ 8.611-2013» программного комплекса «Расходомер ИСО». Пример определения относительной стандартной неопределенности СИ и пример расчета, выполненный в программном комплексе «Расходомер ИСО» на модуле «ГОСТ 8.611-2013», приведены в приложениях Б и В.
Примечание. «Расходомер ИСО» на модуле «ГОСТ 8.611-2013» рассчитывает коэффициент сжимаемости как отношение между фактором сжимаемости при рабочих условиях и фактором сжимаемости при стандартных условиях.
Критерием принятия решения по подтверждению соответствия СИКГ метрологическим требованиям является выполнение условия не превышения относительной погрешности измерений объема СНГ, приведенного к стандартным условиям, вычисленной в соответствии с пунктом 9 настоящей методики поверки, ±5,0 %.
В случае если относительная погрешность измерения объема СНГ, приведенного к стандартным условиям, превышает ±5,0 %, не подтверждается соответствие СИКГ метрологическим требованиям.
11 Оформление результатов поверки-
11.1 Результаты идентификации программного обеспечения оформляют протоколом по форме, приведенной в приложении А.
-
11.2 Результат расчета относительной погрешности объема СНГ, приведенного к стандартным условиям, СИКГ оформляют протоколом в свободной форме.
-
11.3 При положительных результатах поверки оформляют свидетельство о поверке СИКГ в соответствии с требованиями документа «Порядок проведения поверки средств измерений, требования к знаку поверки и содержанию свидетельства о поверке», утвержденного приказом Минпромторга России №2510 от 31.07.2020 г. «Об утверждении Порядка проведения поверки средств измерений, требования к знаку поверки и содержанию свидетельства о поверке». На оборотной стороне свидетельства о поверке системы указывают:
-
- наименование измеряемой среды;
-
- значения относительной погрешности измерений объема СНГ, приведенного к стандартным условиям, и соответствующий им диапазон измерений объема СНГ при стандартных условиях;
- идентификационные признаки программного обеспечения СИКГ.
Знак поверки наносится на свидетельство о поверке СИКГ.
-
11.4 При отрицательных результатах поверки СИКГ к эксплуатации не допускают, свидетельство о поверке аннулируют и выдают извещение о непригодности к применению в соответствии с документом «Порядок проведения поверки средств измерений, требования к знаку поверки и содержанию свидетельства о поверке», утвержденным приказом Минпромторга России № 2510 от 31.07.2020 г.
Форма протокола подтверждения соответствия программного обеспечения СИКГ Протокол №1 подтверждения соответствия программного обеспечения СИКГ
Приложение А
Место проведения поверки:__
НаименованиеСИ:__________________________________________________________________________________
Заводской номер СИ: №__
Таблица 1 - Идентификационные данные ПО
Идентификационные данные (признаки) |
Значение,указанное в описании типа СИКГ |
Значение, полученное во время проведения поверки СИКГ |
Идентификационное наименование ПО | ||
Номер версии (идентификационный номер) ПО | ||
Цифровой идентификатор ПО (контрольная сумма исполняемого кода) |
Заключение: ПО СИКГ соответствует / не соответствует ПО, зафиксированному во время испытаний в целях утверждения типа СИКГ.
Должность лица проводившего поверку:
(подпись) (инициалы, фамилия)
Дата поверки: «______» _____________ 20___г.
Приложение Б
Пример расчета неопределенностей (погрешностей) средств измерений ч.1
Исходные данные
Таблица Б1
Наименование характеристики |
Значение |
Рабочая среда |
свободный нефтяной газ |
Температуры газа, °C |
-5 |
Давление газа, МПа (абс.) |
0,1025 |
Пределы допускаемой относительной погрешности измерений объема газа, приведенного к стандартным условиям, % |
±5,0 |
Условия эксплуатации средств измерений, °C |
от +5 до +30 |

Б1. Относительная погрешность измерений объемного расхода (объема) газа
6Ч =2% (Б1)
<$по
относительная погрешность измерений объемного расхода (объема) газа при рабочих условиях расходомера-счетчика газа XGF868i, согласно свидетельству о поверке, %;
Б2. Определение относительной погрешности вычислителя УВП280А.01.
Предел допускаемой относительной погрешности преобразования частотных сигналов при частоте следования импульсов до 10кГц в цифровое значение измеряемого параметра, согласно свидетельству о поверке, %
5ПЧ = 0,05%
(Б2)
Предел допускаемой относительной погрешности вычислений объемного расхода (объема газа), приведенного к стандартным условиям при применении алгоритма ГСССД МР 113-2003, согласно свидетельству о поверке, %
6В = 0,02%
(БЗ)
БЗ. Определение относительной погрешности датчика давления Метран-150ТА1.
Предел допускаемой основной и дополнительной относительной погрешности
;ро2 + 8Рдт2 + V + а„д0„2 = Vo,312 + 0,192 + 0,252 + 0.2152 = 0,49%
Рв - Рн 0,16 - 0
5р° “ Уро ’ Р ~ 0,2 ' 0,1025 _ 0,31% Рв-Рн ДТРр 2 0,16-0 (21-5) 2
5Рд»„ - Урдоп — °’07 '“одо25 10 V3 _ °'19%
(Б4)
(Б5)
5ро ^Рдоп
Уро
Урдоп
р
гтах
Р*
АТр
<5по
^по
дтр
нп
АТП
давления,
датчика
согласно
погрешность (погрешность
(Б7)
Урдоп = 0,02 4- 0,05 • = 0,02 4- 0,05 • — = 0,07%
(Б8)
• 100% = 0,25%
5по=-р-Ю0% = —
Рп
(Б9)
5пдоп = ^.100%-^ —= -
——• — •100% = 0,215% ю 7з
-
- предел основной относительной погрешности датчика давления;
-
- предел дополнительной относительной погрешности датчика давления,%;
-
- предел основной приведенной погрешности датчика согласно паспорту или свидетельству о поверке, %;
-
- предел дополнительной приведенной погрешности давления, согласно руководству по эксплуатации,%;
-
- максимальный верхний предел измерений давления, руководству по эксплуатации, МПа;
-
- верхний предел измерений давления, согласно паспорту или свидетельству о поверке, МПа;
-
- нижний предел измерений давления, согласно паспорту или свидетельству о поверке, МПа;
-
- значение измеряемого давления, МПа;
-
- отклонение температуры окружающей среды от нормальных условий датчика давления, согласно описанию типа (за нормальные условия принимаются значения от 21 до 25 °C, в расчете необходимо использовать наибольшее отклонение температуры от нормальных условий, в соответствии с таблицей Б1), °C;
-
- диапазон температур, для которого нормирована датчика давления, согласно описанию типа нормирована на изменение температуры на 10 °C), °C.
-
- предел допускаемой основной относительной преобразования токовых сигналов в цифровое измеряемого параметра,%;
^пдоп
-
- предел допускаемой дополнительной погрешности преобразования токовых сигналов в цифровое значение измеряемого параметра,%;
-
- предел допускаемой основной абсолютной погрешности преобразования токовых сигналов в цифровое значение измеряемого параметра вычислителем «УВП-280», согласно свидетельству о поверке, мА;
Апдоп
-
- предел допускаемой дополнительной абсолютной погрешности преобразования токовых измеряемого параметра описанию типа , мА;
-
- значение измеряемой силы 280», мА;
-
- отклонение температуры окружающей среды от нормальных условий вычислителя «УВП-280», (за нормальные условия принимается значение 20 °C, в расчете необходимо использовать наибольшее отклонение температуры от нормальных условий, согласно таблице В1), °C;
-
- диапазон температур, для которого нормирована погрешность, согласно описанию типа вычислителя «УВП-280» (погрешность нормирована на изменение температуры на 10 °C), °C.
погрешности значение
сигналов в цифровое значение вычислителем «УВП-280», согласно
постоянного тока вычислителем «УВП-
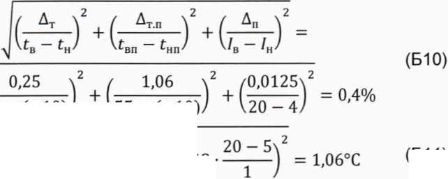
Б4. Определение относительной погрешности измерения температуры
8Т
Ат
Ат.П
('55 - (-10)
100-(55 -(-10))
273,15 + (-5) д
, / ЛГР \ |
/ | |
Ат.П- Л |
д 2 + [ Д • тп 1 = тпо Д^.пдоп ДГтпу |
0,852 + ( |

20 — 5\2
=0,0125%
Ат.ПО
А-Г.П.ДОП
АТР
нт.п
ДТт.п
Ап
_ 100(Гв - Гн) т 273,15 +1

55-(-10)
(Б11)
0,042 •
(Б12)
предел относительной погрешности изменения температуры, %; предел абсолютной погрешности термопреобразователя сопротивления Rosemount 0065, согласно свидетельству о поверке и паспорту °C;
предел абсолютной погрешности преобразователя измерительного преобразователя Rosemount 3144 Р, °C;
предел основной абсолютной погрешности преобразователя измерительного преобразователя Rosemount 3144 Р, согласно паспорту и свидетельству о поверке, °C;
предел дополнительной абсолютной погрешности измерительного преобразователя Rosemount 3144 Р, согласно описанию типа, °C; отклонение температуры окружающей среды от нормальных условий, согласно описанию типа измерительного преобразователя Rosemount 3144 Р (за нормальные условия принимается значение 20 °C, в расчете необходимо использовать наибольшее отклонение температуры от нормальных условий, согласно таблице В1), °C;
диапазон температур, для которого нормирована погрешность, согласно описанию типа измерительного преобразователя Rosemount 3144 Р (погрешность нормирована на изменение температуры на 1 °C), °C.
предел допускаемой абсолютной погрешности преобразования токовых сигналов в цифровое значение измеряемого параметра, вычислителем «УВП-280», мА;
св - верхнее значение диапазона измерения температуры термопреобразователя сопротивления Rosemount 0065, согласно свидетельству о поверке °C;
tH - нижнее значение диапазона измерения температуры термопреобразователя сопротивления Rosemount 0065, согласно свидетельству о поверке °C;
свп - верхнее значение диапазона измерения температуры
преобразователя Rosemount 3144 Р, согласно паспорту, °C;
tHn - нижнее значение диапазона измерения температуры
преобразователя Rosemount 3144 Р, согласно паспорту, °C;
t - измеренное значение температуры газа, °C;
/в - верхний предел измерений силы постоянного тока вычислителя
«УВП-280», согласно описанию типа, мА;
IH - нижний предел измерений силы постоянного тока вычислителя
«УВП-280», согласно описанию типа, мА;
Приложение В
Пример расчета неопределенностей (погрешностей) средств измерений ч.2
Программный комплекс "Расходомер ИСО", модуль "ГОСТ 8.611-2013", версии 2.11 от 17.08.2020
Владелец данной копии программы:
АО «Нефтеавтоматика»
Расчёт № 11 от 31.12.2020
ОБЩАЯ ИНФОРМАЦИЯ
Наименование СИКГ / объекта - Система измерений количества и параметров (СИКГ), поступающего на факел низкого давления совмещенной факельной установки ЦПС Куюмбинского месторождения Принадлежит - ООО "Славнефть-Красноярскнефтегаз" Установлен - Куюмбинский лицензионный участок
Метод расчёта расхода при стандартных условиях - pTZ-пересчёт
ИЗМЕРЯЕМАЯ СРЕДА
Наименование измеряемой среды - Влажный нефтяной газ (ГСССД МР 113-03)
Объёмный расход при рабочих условиях..........................2195 мЗ/ч
Абсолютное давление...........................................0, 1025
Температура при стандартных условиях
Абсолютное давление при стандартных условиях..................0, 101325
Содержание компонентов газа
Этан (С2Н6)....................................................11, 961
Пропан (СЗН8)..................................................21,506
н-Бутан (Н-С4Н10)..............................................22,042
Гептан (С7Н16).................................................3, 954
Единицы измерения состава газа - молярные %
♦Коэффициент сжимаемости......................................0,991667
♦Фактор сжимаемости при стандартных условиях..................0, 977121
♦Фактор сжимаемости при рабочих условиях...................... 0, 968978
♦Объёмный расход при стандартных условиях.....................2447, 87 мЗ/ч
ТЕХНОЛОГИЧЕСКИЕ ПАРАМЕТРЫ
Средний внутренний диаметр входного сечения корпуса УЗПР......600 мм
Средний внутренний диаметр ИТ или
его фланца в месте его стыковки с УЗПР........................ 600 мм
Показания УЗПР корректируются путем умножения расхода на поправочный
Система измерений количества и параметров (СИКг), поступающего на Страница № 1 из 4 коэффициент, учитывающий изменение геометрических параметров его корпуса, обусловленные отличием температуры и давления газа при рабочих условиях от условий, при которых устанавливались метрологические характеристики
СВЕДЕНИЯ О СРЕДСТВАХ ИЗМЕРЕНИЯ
Наименование вычислителя - вычислитель УВП-280 (регистрационный номер в
Федеральном информационном фонде 53503-13)
Относительная погрешность
основная......................................................0,02 %
дополнительная................................................0 %
Наименование УЗПР - расходомер-счетчика газа XGF8681 одноканального исполнения (регистрационный номер в Федеральном информационном фонде №59891-15)
Пределы измерения объёмного расхода при рабочих условиях
от............................................................305, 36 мЗ/ч
до............................................................122145,122
мЗ/ч
Относительная погрешность измерения расхода
основная......................................................2 %
дополнительная................................................0 %
Преобразование выходного сигнала УЗПР Относительная погрешность
основная......................................................0,05 %
дополнительная................................................0 %
Наименование СИ температуры - термопреобразователь сопротивления Rosemount 0065 (регистрационный номер в Федеральном информационном фонде №53211-13); Пределы измерения температуры
от............................................................-10 °C
Абсолютная погрешность
основная......................................................0,25 °C
дополнительная................................................0 °C
1-й преобразователь температуры - преобразователь измерительный Rosemount 3144Р (регистрационный номер в Федеральном информационном фонде №56381-14); Пределы измерения температуры
от............................................................-10 °C
Абсолютная погрешность
основная......................................................1,06 °C
2-й преобразователь температуры - вычислитель УВП-280 (регистрационный номер в Федеральном информационном фонде 53503-13)
Пределы измерения температуры
от............................................................-10 °C
Абсолютная погрешность
основная......................................................0,0125 °C
Наименование СИ абсолютного давления - Метран ТА
Верхний предел измерения абсолютного давления.................0,16 МПа
Относительная погрешность
основная......................................................0,31 %
дополнительная................................................0,17 %
1-й преобразователь абсолютного давления - вычислитель УВП-280 (регистрационный номер в Федеральном информационном фонде 53503-13) Относительная погрешность
основная......................................................0,25 %
дополнительная................................................0,187 %
Абсолютная погрешность состава газа
Метан(СН4)............. |
..осн. |
1,716 |
доп. |
0 % |
Этан(С2Н6)............. |
..осн. |
0,478 |
доп. |
0 % |
Пропан(СЗН8)........... |
..осн. |
1,29 . |
доп. 0 |
% |
и-Бутан(И-С4Н10)....... |
..осн. |
0,32 . |
доп. 0 |
% |
н-Бутан(Н-С4Н10)....... |
..осн. |
1,32 . |
доп. 0 |
% |
и-Пентан(И-С5Н12)...... |
..осн. |
0,32 . |
доп. 0 |
% |
н-Пентан(н-С5Н12)...... |
..осн. |
0, 459 |
ДОП. |
0 % |
Гексан(С6Н14).......... |
..осн. |
0,226 |
ДОП. |
0 % |
Гептан(С7Н16).......... |
..осн. |
0,237 |
доп. |
0 % |
Азот(N2)............... |
..осн. |
0,006 |
ДОП. |
0 % |
Диоксид углерода(СО2) . . |
..осн. |
0, 046 |
ДОП. |
0 % |
Водяной пар(Н2О)....... |
..осн. |
0 доп |
. 0 % |
РАССЧИТАННЫЕ НЕОПРЕДЕЛЁННОСТИ
*Относ. расш. неопред-ть вычисления...........................0,02 %
*Относ. расш. неопред-ть измерения расхода при раб. усл.......2 %
*Относ. расш. неопред-ть измерения температуры................0,41 %
*Относ. расш. неопред-ть измерения давления...................0,5 %
*Относ. расш. неопред-ть определения коэффициента сжимаемости.0,66 % * Относ, расш. неопред-ть измерения расхода при станд. усл.....2,3 %
Таблица неопределённостей измерения объёмного расхода, приведённого к стандартным условиям, при заданных отклонениях температуры и давления среды и заданных значениях объёмного расхода при рабочих условиях
Температура, ‘С |
-5 |
-5 |
-5 |
50 |
50 | |
Абсолютное давление, МПа |
0,1025 |
0,105 |
0.1025 |
0,1025 |
0,105 | |
Расход газа |
Расход газа при стандартных условиях, мЗ-Ч Относительная расширенная неопределённость определения расхода. % | |||||
мЗ/ч |
% | |||||
2195 |
1,79704 |
2447,87 2,3 |
2509,57 2.3 |
2447,87 2,3 |
2002,12 2,2 |
2051,81 22 |
3000 |
2.45609 |
3345,61 2,3 |
3429,93 2,3 |
3345,61 2,3 |
2736.38 2,2 |
2804,29 22 |
4000 |
3.27479 |
4460,81 2,3 |
4573,24 2.3 |
4460,81 2.3 |
3648,5 2,2 |
3739,06 22 |
5000 |
4,09349 |
5576,01 2.3 |
5716,55 2.3 |
5576,01 2.3 |
4560 63 2,2 |
4673,82 22 |
6000 |
4,91219 |
6691,21 2,3 |
6859,86 2,3 |
6691,21 2.3 |
5472.76 2,2 |
5608,58 22 |
8768 |
7,17835 |
9778,09 2,3 |
10024,5 2.3 |
9778,09 2.3 |
7997,52 2,2 |
8196,01 22 |
Рассчитанная относительная расширенная неопределённость СООТВЕТСТВУЕТ выбранному уровню точности: 5%

Система измерений количества и параметров (СИКГ), поступающего на
Страница № 4 из 4
19