Методика поверки «ГСОЕИ. Комплексы радиоизотопные измерений уровня и плотности Gammapilot FMG50» (МП 208-007-2021)
ВСЕРОССИЙСКИЙ НАУЧНО-ИССЛЕДОВАТЕЛЬСКИЙ ИНСТИТУТ МЕТРОЛОГИЧЕСКОЙ СЛУЖБЫ
(ФГУП "ВНИИМС")
СОГЛАСОВАНО
Заместитель директора по производственной метрологии ФГУП "ВНИИМС"

О Z
Со 6- Х
=А=&Келомин
О % 2021 г.
Государственная система обеспечения единства измерений
Комплексы радиоизотопные измерений уровня и плотности Gammapilot FMG50
Методика поверки МП 208-007-2021 с изменением №1 г. Москва
2021
Содержание
п/п |
Наименование |
стр. |
1 |
Общие положения |
3 |
2 |
Перечень операций поверки |
3 |
3 |
Требования к условиям проведения поверки |
3 |
4 |
Требования к специалистам, осуществляющим поверку |
4 |
5 |
Метрологические и технические требования к средствам поверки |
4 |
6 |
Требования по обеспечению безопасности проведения поверки |
5 |
7 |
Внешний осмотр |
6 |
8 |
Подготовка к поверке и опробование |
6 |
9 |
Проверка программного обеспечения |
7 |
10 |
Определение метрологических характеристик |
7 |
11 |
Подтверждение соответствия средства измерения метрологическим требованиям |
10 |
12 |
Оформление результатов поверки |
12 |
ПРИЛОЖЕНИЕ А. Схема стенда для поверки комплекса по уровню |
13 | |
ПРИЛОЖЕНИЕ Б. Схема стенда для поверки по плотности |
17 | |
ПРИЛОЖЕНИЕ В. Методика определения геометрических размеров и массы пластин-имитаторов |
18 | |
ПРИЛОЖЕНИЕ Г. Пример отчета о поверке при работе комплекса в режиме измерений уровня |
22 | |
ПРИЛОЖЕНИЕ Д. Пример отчета о поверке при работе комплекса в режиме измерений плотности |
27 | |
ПРИЛОЖЕНИЕ Е. Протокол поверки Gammapilot FMG50 при измерении уровня |
32 | |
ПРИЛОЖЕНИЕ Ж. Протокол поверки Gammapilot FMG50 при измерении плотности |
33 |
-
1.1 Настоящий документ распространяется на комплексы радиоизотопные измерений уровня и плотности Gammapilot FMG50, изготавливаемые фирмой Endress+Hauser SE+Co. KG, Германия (далее - комплексы), в состав которых входят следующие основные компоненты: источник ионизирующего гамма-излучения (далее источник), держатель источника, контейнер для источника (далее контейнер), модулятор излучения с блоком управления, детектор гамма-излучения с измерительным преобразователем (далее детектор), электронный преобразователь, выносной цифровой индикатор, монтажные комплекты, при использовании их в сферах распространения государственного метрологического контроля и надзора, и устанавливает требования к методам и средствам их первичной и периодической поверки.
-
1.2 Интервал между поверками - 3 года.
-
2.1 При проведении поверки выполняют операции, указанные в таблице 1.
Таблица 1 - Перечень операций первичной и периодической поверок
Наименование операции |
Номер пункта методики поверки |
При первичной поверке |
При периодической поверке с демонтажем и без демонтажа |
Имитационный метод |
Внешний осмотр |
7 |
Да |
Да |
Да |
Подготовка к поверке и опробование |
8 |
Да |
Да |
Нет |
Проверка программного обеспечения |
9 |
Да |
Да |
Да |
Определение метрологических характеристик |
10 |
Да |
Да |
Нет |
Подтверждение соответствия средства измерений метрологическим требованиям |
И |
Да |
Да |
Нет |
Оформление результатов поверки |
12 |
Да |
Да |
Да |
-
3.1 При проведении первичной поверки соблюдают следующие условия:
-
- температура окружающего воздуха +20 ± 5 °C;
-
- относительная влажность воздуха от 15 до 80 %;
-
- атмосферное давление от 86 до 107 кПа;
-
- внешние электрические и магнитные поля, уровень от фоновой радиации и воздействие других мощных источников ионизирующего излучения должны отсутствовать или находиться в пределах, не влияющих на работу комплекса;
-
- напряжение питания, вибрация должны соответствовать требованиям эксплуатационной документации на комплекс.
-
3.2 При проведении периодической поверки по п. 10.2.3, 10.3. соблюдают рабочие условия эксплуатации.
-
3.3 Допускается возможность проведения поверки для меньшего числа измеряемых величин (уровень или плотность) и отдельных выходных сигналов по заявлению владельца комплекса, с обязательным указанием в свидетельстве о поверке и/или паспорте информации об объеме проведенной поверки.
-
3.4 Допускается возможность проведения поверки в рабочем диапазоне измерений уровня или плотности.
-
4.1 К поверке допускаются лица, имеющие квалификационную группу по технике безопасности не ниже II в соответствии с "Правилами техники безопасности при эксплуатации электроустановок потребителей" и изучившие эксплуатационную документацию и настоящий документ.
-
4.2 К поверке с использованием технологии Heartbeat допускают лиц, изучивших инструкцию по применению технологии Heartbeat.
-
5. МЕТРОЛОГИЧЕСКИЕ И ТЕХНИЧЕСКИЕ ТРЕБОВАНИЯ К СРЕДСТВАМ
-
5.1 При проведении поверки применяют следующие средства измерений и вспомогательное оборудование, указанные в таблице 3.
-
5.1.1 При определении метрологических характеристик, соотношение основных погрешностей поверочной установки, эталонов по проверяемому параметру поверяемого детектора не должно превышать 1:3 и применяют следующие эталоны и испытательное оборудование указанные в таблице 2:
-
Таблица 2 - Требования к средствам поверки
Номер пункта методики поверки |
Наименование и типа (условное обозначение) основного или вспомогательного средства поверки; обозначение нормативного документа, регламентирующего технические требования, и (или) метрологические и основные технические характеристики средства поверки |
Пример возможного средства поверки с указанием наименования, заводского обозначения, а при наличии - обозначения типа, модификации |
10.2.3 |
Рабочий эталон 2 разряда согласно приказу Госстандарта от 30.12.2019 г. №3459 |
Рулетка измерительная 2 класса с ценой деления 1 мм по ГОСТ 7502-98 |
10.2.1, 10.2.2 |
Средство измерений расстояний: диапазон из- |
Дальномер ADA Cosmo 50, (регистрационный |
Номер пункта методики поверки |
Наименование и типа (условное обозначение) основного или вспомогательного средства поверки; обозначение нормативного документа, регламентирующего технические требования, и (или) метрологические и основные технические характеристики средства поверки |
Пример возможного средства поверки с указанием наименования, заводского обозначения, а при наличии - обозначения типа, модификации |
мерений до 3 метров, предел допускаемой абсолютной погрешности измерений ±1,5 мм |
№ 69904-17 в Федеральном информационном фонде по обеспечению единства измерений) | |
10.2.1, 10.2.2 |
Средство измерений наружных линейных размеров: диапазон измерений 500 мм, предел допускаемой абсолютной погрешности измерений наружных размеров ±0,05 мм |
Штангенциркуль Micron (регистрационный № 70557-18 в Федеральном информационном фонде по обеспечению единства измерений) |
10.2.1, 10.2.2 |
Стенд для поверки по уровню и плотности |
Согласно приложениям А и Б |
10.2.2 |
Средство статических измерений массы веществ и материалов II класса точности по ГОСТ Р 53228-2008 |
Весы неавтоматического действия GP-61KS (регистрационный № 50583-12 в Федеральном информационном фонде по обеспечению единства измерений) |
10.2.2 |
Средство измерений наружных линейных размеров и толщины пластин: диапазон измерений от 0 до 25 мм, погрешность измерений ±0,004 мм |
Микрометры МК, МК Ц, МЛ, МЛ Ц (регистрационный № 78936-20 в Федеральном информационном фонде по обеспечению единства измерений) |
10.2.1 |
Набор вспомогательных пластин для поверки по уровню |
Согласно Приложению А |
10.2.2 |
Набор пластин-имитаторов для поверки по плотности |
Согласно Приложению В |
10.2.1,10.2.2 |
Средство измерений времени: предел допускаемой абсолютной погрешности измерений в режиме секундомера ±(9,6-10'6 Тх±0,01), с, где Тх - измеренный интервал времени |
Секундомер электронный "ИНТЕГРАЛ С-01" (регистрационный № 44154-20 в Федеральном информационном фонде по обеспечению единства измерений) |
10.1, 10.2.1, 10.2.2, 10.2.3, 10.3 |
Источник постоянного тока напряжением 24 В, переменного тока 220 В частотой 50 Гц |
Источник питания 6812В (регистрационный № 47897-11 в Федеральном информационном фонде по обеспечению единства измерений) |
10.1, 10.2.1, 10.2.2, 10.2.3, 10.3 |
Средство измерений силы постоянного тока: диапазон измерений от 0 до 24 мА, пределы допускаемой относительной погрешности ±0,05 % |
Ампервольтметр Р386, (регистрационный № 3295-72 в Федеральном информационном фонде по обеспечению единства измерений) |
Номер пункта методики поверки |
Наименование и типа (условное обозначение) основного или вспомогательного средства поверки; обозначение нормативного документа, регламентирующего технические требования, и (или) метрологические и основные технические характеристики средства поверки |
Пример возможного средства поверки с указанием наименования, заводского обозначения, а при наличии - обозначения типа, модификации |
10.1, 10.2.1, 10.2.2, 10.2.3, 10.3 |
Средство измерений температуры окружающей среды: диапазон измерений от 15 до 25 °C, пределы допускаемой основной абсолютной погрешности измерений ±0,5 °C |
Термогигрометр ИВА-6Н-Д (регистрационный номер 46434-11 в Федеральном информационном фонде по обеспечению единства измерений) |
Средство измерений относительной влажности окружающей среды: диапазон измерений от 15 до 80 %, пределы допускаемой основной абсолютной погрешности измерений ±5 % | ||
Средство измерений атмосферного давления: диапазон измерений от 84 до 107 кПа, пределы допускаемой абсолютной погрешности измерений атмосферного давления ±0,5 кПа |
-
5.2 При проведении поверки имитационным методом.
-
5.2.1 Смартфон, планшетный компьютер с установленным ПО SmartBlue и/или персональный компьютер с программным обеспечением FieldCare, DeviceCare, AMS Device Manager, SIMATIC PDM или др. с возможностью подключения к комплексу (для поверки с использованием технологии Heartbeat). Для подключения через ПО SmartBlue необходимо наличие Bluetooth подключения на смартфоне или планшетном компьютере. Для подключения компьютера с ПО FieldCare, DeviceCare, AMS Device Manager, SIMATIC PDM и др. через USB порт необходимо наличие устройства периферийного (HART модема), например, Commubox FXA195; через сервисный интерфейс CDI - устройства периферийного Commubox FXA291;
-
-
5.3 Допускается использование аналогичных средств измерений, обеспечивающих определение метрологических характеристик с требуемой точностью.
-
5.4 Все средства измерений должны быть поверены и иметь действующие свидетельства о поверке.
-
6.1 При проведении поверки соблюдают требования безопасности, определяемые:
-
- правилами безопасности труда, пожарной безопасности, нормами радиационной безопасности, действующими на предприятии, поверочной установке;
-
- правилами безопасности при эксплуатации используемых эталонных средств измерений, испытательного оборудования и поверяемого комплекса, приведенными в эксплуатационной документации.
-
6.2 Монтаж электрических соединений проводят в соответствии с ГОСТ 12.3.032-84 и "Правилами устройства электроустановок" (раздел VII).
-
6.3 При проведении поверки необходимо соблюдать действующие нормы и требования по работе с источниками ионизирующего излучения, используемыми при поверке.
-
7.1. При внешнем осмотре проверяют:
-
- отсутствие механических повреждений на компонентах комплекса, препятствующих его применению;
-
- соответствие маркировочных табличек компонентов комплекса требованиям эксплуатационной документации;
-
- соответствие комплектности, указанной в документации.
-
- проверка срока службы источника в соответствии с паспортом. Фактический срок службы источника не должен превышать паспортный.
Комплекс, не прошедший внешний осмотр, к поверке не допускают.
8. ПОДГОТОВКА К ПОВЕРКЕ И ОПРОБОВАНИЕ-
8.1. Перед проведением поверки выполняют следующие подготовительные работы: при первичной или периодической поверке поверяемый комплекс подготавливают к работе согласно инструкции по эксплуатации;
комплекс выдерживают в нормальных условиях не менее одного часа во включенном состоянии;
проводят настройку комплекса согласно инструкции по эксплуатации.
-
8.2. Методы задания значения параметров комплекса путем ввода их в рабочее меню детектора указаны в разделе "Ввод в эксплуатацию" инструкции по эксплуатации.
-
8.3. При поверке с демонтажом:
подготавливают стенд для поверки по уровню и плотности согласно Приложению А и Б;
определяют характеристики вспомогательных пластин по Приложению А при поверке по уровню;
определяют характеристики пластин-имитаторов согласно Приложению В при поверке по плотности;
выдерживают средства поверки в нормальных условиях не менее трех часов.
-
8.4. Опробование.
Опробуют комплекс:
-
- при первичной поверке, а также при периодической поверке на месте эксплуатации с демонтажем - на стенде для поверки по уровню и плотности согласно Приложениям А и Б;
-
- при первичной или периодической поверке без демонтажа, на месте эксплуатации, при имеющейся возможности увеличения/уменыпения уровня/плотности продукта в резер-вуаре/трубопроводе.
Комплекс подготавливают к поверке и настраивают, согласно руководству по эксплуатации в соответствии с выбранными характеристиками (плотность, уровень).
Результат опробования считают положительным, если при увеличении/уменьшении уровня/плотности соответствующим образом изменялись показания на дисплее детектора, экране смартфона, планшетного компьютера с установленным ПО SmartBlue, мониторе компьютера с программным обеспечением (например, DeviceCare, FieldCare, AMS Device Manager, SIMATIC PDM и др.), контроллера, индикаторе сигналов RIA15, преобразователе измерительном RMA42 и регистраторе безбумажном Memograph М RSG45.
Допускается совмещать проверку функционирования (опробование) с процедурой определения метрологических характеристик комплекса.
9. ПРОВЕРКА ПРОГРАММНОГО ОБЕСПЕЧЕНИЯ-
9.1. Проверка идентификационных данных программного обеспечения (ПО).
При подаче питания на детектор, номер версии ПО можно посмотреть через ПО SmartBlue, DeviceCare, FieldCare, AMS Device Manager, SIMATIC PDM и др., выбрав в меню Система —* Информация. Также версия ПО указана на маркировочной табличке детектора FMG50. Защита ПО осуществляется с помощью переключателя на модуле электроники, находящемся под дисплеем детектора FMG50, а также с помощью пароля для предотвращения несанкционированного доступа к настройкам через ПО DeviceCare, FieldCare, AMS Device Manager, SIMATIC PDM, SmartBlue и др. Настройка и модификация параметров детектора через дисплей не возможна.
Доступ к цифровому идентификатору программного обеспечения (контрольной сумме исполняемого кода) невозможен.
Результаты проверки считаются положительными, если отображаются идентификационные данные, приведенные в таблице 3.
Таблица 3 - Идентификационные данные ПО
Идентификационные данные (признаки) |
Значение |
Идентификационное наименование ПО |
FMG50 |
Номер версии (идентификационный номер) ПО |
не ниже 01.yy.zz |
Цифровой идентификатор ПО |
не отображается |
10. ОПРЕДЕЛЕНИЕ МЕТРОЛОГИЧЕСКИХ ХАРАКТЕРИСТИК
Минимальное время выдержки перед фиксацией показаний детектора при изменении уровня, плотности, имитируемого значения уровня или плотности составляет 5 минут.
Для проведения поверки необходим планшетный компьютер или персональный компьютер с установленным ПО FieldCare, DeviceCare, AMS Device Manager, SIMATIC PDM или др., для подключения к детектору и конфигурации настроек согласно руководству по эксплуатации. Детектор подключен к источнику питания.
-
10.1. Проверка токового выхода (при его наличии).
-
10.1.1. Для детекторов, имеющих цифровой выход, а также имеющих токовый выход, но работающих в одно- или многоадресном режиме HART проверка токового выхода не требуется.
-
10.1.2. Проводят проверку токового выхода. Для этого задают в ячейке "проверка токового выхода" ("simulation") не менее трёх из имеющихся токовых значений в произвольном порядке.
Для проверки токовых выходов, для каждого токового выхода, имеющегося у детектора, последовательно задают в рабочем меню "моделирование" ("simulation") не менее трёх токовых значений (например, 4, 12 и 20 мА) в произвольном порядке.
-
10.2. Поверка комплекса с демонтажем
Для проведения поверки комплекса с демонтажем допускается использование источника (источников) и/или контейнера (контейнеров), не входящих в состав комплекса, в том числе, источника меньшей активности, например, натрий-22 (Na-22).
Допускается использовать набор вспомогательных пластин для поверки по уровню (Приложение А), набор пластин-имитаторов для поверки по плотности (Приложение В), прошедших предварительную аттестацию. В этом случае значения геометрических размеров пластин и плотности принимаются равными установленным при проведении аттестации, при проведении поверки определять значения геометрических размеров пластин и плотности дополнительно не требуется.
-
10.2.1. Поверка комплекса с демонтажем при измерении уровня
Используют: дальномер с диапазоном измерений не менее 3 метров, с погрешностью измерений не более ±1,5 мм, штангенциркуль с диапазоном измерения не менее 500 мм с погрешностью измерений не более ±0,05 мм; набор вспомогательных пластин для поверки по уровню (Приложение А).
Для установки начальных параметров и проведения поверки применяют планшетный или персональный компьютер с установленным ПО FieldCare, De viceCare, AMS Device Manager, SIMATIC PDM или др. для подключения к детектору и конфигурации настроек согласно руководству по эксплуатации.
Выполняют монтаж комплекса и средств поверки на стенд согласно Приложения А. Источник монтируется на стенд в соответствии с приложением А. Фиксируется уровень фоновой радиации.
Далее, используя пластины (см. Приложение А), проводится настройка прибора и составляется таблица линеаризации. Точность перекрытия сцинтиллятора контролируется дальномером или штангенциркулем, в зависимости от значения имитируемого уровня.
После задания начальных параметров и составления таблицы линеаризации выбирают минимум 3 точки диапазона измерений. Точки соответствуют 30, 50 и 70 % диапазона измерений уровня, с точностью позиционирования ±5 %.
Измеренное штангенциркулем/дальномером значение сравнивают с показанием прибора.
-
10.2.2. Поверка комплекса с демонтажем при измерении плотности
Для установки начальных параметров и проведения поверки применяют планшетный или персональный компьютер с установленным ПО FieldCare, DeviceCare, AMS Device Manager, SIMATIC PDM или др. для подключения к детектору и конфигурации настроек согласно руководству по эксплуатации.
При поверке комплекса с демонтажем для измерений плотности используют стенд согласно Приложения Б и пластины-имитаторы согласно приложения В. Процедура определения толщины пластин-имитаторов приведена в Приложении В.
Измерение проводят для 3 значений плотности (3 разные суммарные толщины пластин-имитаторов): 15,50и85%от рабочего диапазона измерений плотности. Точность задания плотности ± 5 %.
Допускается проводить измерение с использованием большего количества точек, равномерно распределенных по рабочему диапазону измерений плотности. В каждой точке проводят 1 измерение.
-
10.2.3. Поверка комплекса без демонтажа при измерении уровня на месте эксплуатации.
При проведении измерений без демонтажа поверхность продукта в резервуаре должна быть ровной/спокойной, перемешивающее устройство в резервуаре (при его наличии) отключено. Заполнение/опорожнение резервуара в процессе измерений не допускается.
Проводят измерение при исходном уровне продукта в резервуаре.
Если имеется возможность заполнения/опорожнения резервуара до определённых уровней, значения которых однозначно определены, например, конструкцией резервуара, подводящих трубопроводов или технологическим процессом (например, по известным значениям "В", т.е. верхнего и "Н", т.е. нижнего уровней, известных из протокола измерений параметров резервуара от соответствующих служб резервуарного парка предприятия, полученных при составлении калибровочных таблиц резервуара), то поверка может проводиться по данным значениям уровня.
Проводят измерения с помощью рулетки или заполняют/опорожняют резервуар до однозначно определенных уровней два раза и записывают в протокол показание значения "уровня" в данной позиции и данные измерений комплекса.
При определении погрешности измерений уровня раздела сред проводят измерение этого уровня рулеткой с использованием водочувствительной пасты (ТУ 264210-005-1643778).
Для проведенных измерений определяют значение приведенной погрешности измерений по формуле
5 = ^^-100%, (1)
где
Ln - значение расстояния, измеренное рулеткой (контрольным уровнемером) или однозначно определенный уровень в позиции "В" и "Н", в мм;
Ly - значение уровня, измеренное комплексом в позиции "В" и "Н", в мм;
D - верхнее значение диапазона измерений уровня, в мм.
Комплекс считают выдержавшим поверку по данному параметру, если полученное значение приведенной погрешности при каждом измерении не превышает ±1 %.
-
10.3. Периодическая имитационная поверка с использованием технологии Heartbeat при измерении уровня или плотности.
Данный вариант проведения поверки доступен при наличии в детекторе опции Heartbeat Verification + Monitoring.
-
10.3.1. С помощью функции Diagnostics —» Heartbeat —> Heartbeat verification (Диагностика —> Heartbeat -* Heartbeat verification), в соответствии с инструкцией по применению технологии Heartbeat, в комплексе инициируется процедура самоповерки, в ходе которой проверяются следующие параметры:
Дрейф характеристик измерительных сигналов электронного преобразователя детектора (раздел «Основной блок электроники»):
-
- проверка соответствия измеренной на выходе силы тока, имитируемой детектором (параметр «Выходной ток»);
-
- проверка соответствия измеренного напряжения на клеммах, имитируемому детектором (параметр «Напряжение на клеммах»);
-
- проверка соблюдения последовательности и полноты исполнения функциональных блоков встроенного ПО (параметр «Целостность программного обеспечения»);
-
- проверка контрольных сумм ОЗУ (параметры «Проверьте RAM», «Проверьте ROM»);
-
- проверка отсутствия критических диагностических сообщений (параметр «Статус системы»);
Дрейф электротехнических характеристик детектора, отвечающих за достижение требуемой точности измерений (параметры разделов «Модуль сенсора», «Параметры процесса», «История процесса»):
-
- проверка измерительных функций, дрейфа собственной частоты и напряжения на встроенном модуле питания кварцевых генераторов (параметр «Часы реального времени»);
-
- проверка достоверности и стабильности измеренного значения напряжения на модуле высокого напряжения фотоумножителя (параметр «Высокое напряжение ФТУ»);
-
- проверка функциональности сенсора и сигнальной цепи в сенсорном модуле (параметр «Техническое состояние сенсора»);
-
- проверка нахождения температуры детектора в допустимом диапазоне (параметр «Датчик температуры»);
-
- проверка нахождения частоты генерируемых импульсов в допустимом диапазоне (параметр «Частота импульса»).
-
11.1. Проверка токового выхода (при его наличии).
11.1.1 Приведенную погрешность 5i по токовому сигналу определяют по формуле
8t = • 100 %,
I р ’
(2)
где
в мА;
1у - значение тока, измеренное на выходе детектора, измеренное ампервольтметром
Is - проверочное значение тока в мА;
D - диапазон изменений выходного сигнала, мА.
Комплекс считают проверенным по токовому выходу, если значение приведенной погрешности не превышает ±0,1 %.
-
11.2. Поверка комплекса с демонтажем при измерении уровня
-
11.2.1. Приведенную погрешность определяют по формуле
(3)
где
LK - значение уровня, измеренное комплексом, мм;
Ly - значение уровня, измеренное дальномером (штангенциркулем), мм;
D - верхнее значение диапазона измерений уровня, мм.
Комплекс считают выдержавшим поверку по данному параметру, если полученное значение приведенной погрешности при каждом измерении не превышает ±1 %.
-
11.3. Поверка комплекса с демонтажем при измерении плотности
-
11.3.1. Приведенную погрешность комплекса при измерении плотности в процентах для каждой точки определяют по формуле
5К = • 100 %,
(4)
где
рк- значение плотности, измеренное комплексом, кг/м3;
рр - расчетная плотность, кг/м3 (см. Приложение В);
рРд - разница между максимальным и минимальным значением плотности, входящих в рабочий диапазон измерений плотности, кг/м3.
Комплекс считают выдержавшим поверку по данному параметру, если полученное значение приведенной погрешности при каждом измерении не превышает ±1 %.
-
11.4. Поверка комплекса без демонтажа при измерении уровня на месте эксплуатации.
-
11.4.1. Для проведенных измерений определяют значение приведенной погрешности измерений по формуле
5 = • 100 % , (5)
где
Ln - значение расстояния, измеренное рулеткой (контрольным уровнемером) или однозначно определенный уровень в позиции "В" и "Н", в мм;
Ly- значение уровня, измеренное комплексом в позиции "В" и "Н", в мм;
D - верхнее значение диапазона измерений уровня, в мм.
Комплекс считают выдержавшим поверку по данному параметру, если полученное значение приведенной погрешности при каждом измерении не превышает ±1 %.
-
11.5. Периодическая имитационная поверка с использованием технологии Heartbeat при измерении уровня или плотности
-
11.5.1. Результаты поверки считаются положительными, если в отчете о поверке (Verification report), формируемом при использовании технологии Heartbeat (см. Приложения Г и Д), результаты проверки параметров комплекса отображаются в виде Passed (Выполнено).
-
11.5.2. При положительных результатах имитационной поверки комплекс признают годным при измерениях уровня и плотности с погрешностью, указанной в таблице 4.
Таблица 4 - Значение характеристик, в том числе после имитационной поверки с использо ванием технологии Heartbeat
Наименование характеристики |
Значение |
Рабочая среда |
Жидкости, пульпы и сыпучие продукты |
Диапазон измерений уровня (для одного детектора)1), м |
от 0 до 3 |
Минимальный диапазон измерений уровня, м |
0,3 |
Пределы основной допускаемой приведенной погрешности измерений уровня после имитационной поверки, от диапазона измерений, %2)’3) |
±1,5 |
Диапазон измерений плотности рабочей среды, кг/м3 |
от 1 до 3000 |
Диапазон показаний плотности рабочей среды, кг/м3 |
от 1 до 5500 |
Минимальный диапазон измерений плотности, кг/м3 |
100 |
Пределы основной допускаемой приведенной погрешности измерений плотности после имитационной поверки, от диапазона измерений, %2)’3) |
±1,5 |
*) - диапазон измерений определяется конструктивным исполнением комплекса и особенностями монтажа; 2) - погрешность измерения зависит от особенностей места установки, монтажа и полноты |
Наименование характеристики |
Значение |
проведения пусконаладочных работ в соответствии с руководством по эксплуатации. 3)-допускаемая основная приведенная погрешность определяется при нормальных условиях:
|
Таблица 4 (Измененная редакция, Изм. № 1)
12. ОФОРМЛЕНИЕ РЕЗУЛЬТАТОВ ПОВЕРКИ-
12.1. Сведения о результатах поверки средств измерений передаются в Федеральный информационный фонд по обеспечению единства измерений в соответствии с порядком создания и ведения Федерального информационного фонда по обеспечению единства измерений. передачи сведений в него и внесения изменений в данные сведения, предоставления содержащихся в нем документов и сведений, предусмотренным частью 3 статьи 20 Федерального закона № 102-ФЗ
-
12.2 По заявлению владельца средств измерений или лица, представившего их на поверку положительные результаты поверки, оформляют записью в Паспорте, удостоверенной подписью поверителя и нанесением в Паспорт знака поверки или выдают свидетельство о поверке по установленной форме в соответствии с приказом Минпромторга России от 31 июля 2020 г. №2510 "Об утверждении Порядка проведения поверки средств измерений. требования к знаку поверки и содержанию свидетельства о поверке".
-
12.3 Форма протоколов поверки приведена в приложениях Е и Ж.
-
12.4 Положительные результаты периодической поверки при поверке с использованием технологии Heartbeat оформляют протоколом по форме, приведенной в Приложениях Г и Д.
Б. А. Иполитов
В. И. Никитин
А.С. Гончаренко
дставившего их на поение о непригодности к
-
12.5 По заявлению владельца средств измерений или лица, п верку в случае отрицательных результатов поверки, выдается из применению средства измерений.
Начальник отдела 208 ФГУП "ВНИИМС"
Начальник сектора ФГУП "ВНИИМС"
Представитель фирмы ООО "Эндресс+Хаузер
Приложение А Схема стенда для поверки комплекса по уровнюА. 1. Схема стенда для поверки комплекса по уровню

Рисунок А.1. - Схема стенда для поверки комплекса по уровню.
-
1 - контейнер с источником радиоактивного излучения
-
2 - вспомогательные пластины для поверки по уровню
-
3 - детектор
-
4 - направляющие
-
5 - монтажные скобы
-
6 - поверхность стола
Контейнер с источником радиоактивного излучения устанавливается на расстоянии 100 см от детектора с точностью задания 10 %. Используется 1 источник, который располагается напротив середины длины сцинтиллятора.
Для проведения поверки используется источник с активностью не менее 0,83 МБк, при условии регистрации детектором в составе стенда, в соответствии со схемой А1, не менее 1500 импульсов в секунду при открытом положении контейнера и имитируемом уровне равном 0.
Точки начала и конца сцинтиллятора обозначены на корпусе детектора черной маркировкой. Собственная ширина маркировки является частью диапазона измерения детектора.
Вспомогательные пластины располагают параллельно детектору на расстоянии 10 см от него. Пластины устанавливают вплотную друг к другу, без зазоров.
Контейнер с источником устанавливают на стенд, фиксируют уровень фоновой радиации. Далее контейнер открывают и записывают показания прибора при отсутствии вспомогательных пластин.
Проводят настройку прибора. Для этого пошагово имитируют уровень экранированием сцинтиллятора детектора при помощи вспомогательных пластин. Количество точек для настройки выбирают из расчета 1 точка на 10 см длины сцинтиллятора. Положения выбирают равномерно по длине сцинтиллятора с точностью задания ±1 %. Составляют таблицу линеаризации. Каждой суммарной длине пластин соответствует определенное число импульсов, которое в таблице линеаризации пропорционально определенной суммарной длине пластин, измеренной с помощью:
-
- штангенциркуля, в случае длины воспроизводимого уровня менее 400 мм;
-
- дальномера, в случае воспроизводимого уровня равного или более 400 мм. При этом значение воспроизводимого уровня Ну измеряют дальномером от точки начала сцинтиллятора до пластины-отражателя (см. рисунок А.2.).
Рисунок А.2. - Схема измерения имитируемого пластинами уровня
-
1 - вспомогательные пластины
-
2 - пластина-отражатель
-
3 - детектор
-
4 - монтажные скобы
-
5 - дальномер
Для измерений значения воспроизводимого уровня, на дальней гране крайней пластины, имитирующей уровень, перпендикулярно вспомогательной пластине 1 устанавливают пластину-отражатель 2 толщиной 1 мм (см. рисунок А.2). Эта же пластина перпендикулярна детектору.
Общий вид стенда приведен на рисунке А.З.


Рисунок А.З. - Общий вид стенда для поверки
А.2. Технические характеристики вспомогательных пластин при поверке по уровню
Возможно применение пластин из 2 материалов: стали или свинца. Пластины должны иметь одинаковую толщину и плотность. Не допускается использование в одном наборе пластин, изготовленных из разных материалов и/или марок (партий) материалов.
Материал: сталь.
Габаритные размеры 1:
-
- Длина 200 мм;
-
- Высота 140 мм;
-
- Толщина 80 мм.
Предельное отклонение от перпендикулярности кромок - не более 0.5 мм.
Предельное отклонение от параллельности поверхностей пластины - не более 0.1 мм. Шероховатость поверхностей пластины - не более Ra 2.5 мкм.
Материал: свинец.
Габаритные размеры 1:
-
- Длина 200 мм;
-
- Высота 140 мм;
-
- Толщина 40 мм.
Предельное отклонение от перпендикулярности кромок - не более 0.5 мм.
Предельное отклонение от параллельности поверхностей пластины - не более 0.1 мм. Шероховатость поверхностей пластины - не более Ra 2,5 мкм.
А.З. Методика измерений параметров вспомогательных пластин при поверке по уровню
Применяют средства измерений: штангенциркуль Micron ШЦЦ-2-500 0.01 губ. 150 мм МИК 34231, диапазон измерений 500 мм, погрешность измерений не более ±0,05 мм;
С помощью штангенциркуля выполняют 5 измерений толщины пластины в 5 равноудаленных точках длинных граней пластин. Воображаемые прямые, соединяющие 2 точки на разных гранях перпендикулярны этим граням. На гранях длиной равной 200 мм 5 точек для измерения толщины должны быть расположены на расстоянии 20,60,100,140 и 180 мм соответственно от выбранной грани длиной 80 мм.
Вычисляют среднее арифметическое значение толщины пластины по формуле
Т = ^, (А.1.)
где
Т - среднее арифметическое из измеренных значений толщины пластины, мм;
-
i - номер измерения;
ti - измеренное значение толщины пластины, мм.
Приложение Б Схема стенда для поверки по плотности

Рисунок Б. 1. - Схема стенда для поверки по плотности
-
1 - контейнер с источником излучения
-
2 - пластины-имитаторы
-
3 - детектор
-
4 - монтажные скобы
-
5 - внешняя поверхность контейнера
Расстояние между источником излучения и детектором, равное расстоянию от внешней поверхности открытого контейнера с источником излучения или от внешней поверхности задвижки контейнера до поверхности корпуса детектора выбирают равным 100 мм.
Контейнер с источником располагают напротив середины длины сцинтиллятора детектора. Пластины-имитаторы устанавливаются между детектором и источником, центр длины пластины - на воображаемой линии, соединяющей центр сцинтиллятора и центр источника излучения.
Обеспечивают параллельность внешней поверхности открытого контейнера с источником излучения или внешней поверхности задвижки контейнера, оси сцинтиллятора детектора и поверхности пластин-имитаторов.
Общий вид стенда представлен на рис. А.З.
Приложение В Методика определения геометрических размеров и массы пластин-имитаторовВ.1. Технические характеристики пластин-имитаторов
Материал используемых пластин: сталь или свинец.
Не допускается использование в одном наборе пластин, изготовленных из разных материалов и/или марок (партий) материалов.
Габаритные размеры и параметры*:
-
- Длина 450 мм;
-
- Ширина 100 мм;
-
- Толщина подбирается в зависимости от имитируемого диапазона плотности. Минимальная толщина пластины 2 мм.
Предельное отклонение от перпендикулярности кромок, не более 0,5 мм/м.
Предельное отклонение от параллельности поверхностей пластины не более 0,1 мм/м.
Шероховатость поверхностей пластины Ra - не более 2,5 мкм.
* - Указаны рекомендуемые значения, параметры пластин могут быть выбраны индивидуально, согласно геометрии стенда, собранного согласно рисунку А. 1.
Каждой пластине-имитатору в наборе присваивают порядковый номер, который заносят в таблицу В.1, а также наносят маркировку с присвоенным номером на поверхность пластины-имитатора.
В.2. Расчет плотности пластин-имитаторов
Значение плотности пластин-имитаторов определяют расчетным методом. Применяют средства измерений:
штангенциркуль Micron ШЦЦ-2-500 0.01 губ. 150 мм МИК 34231, диапазон измерений 500 мм, погрешность измерений не более ±0,05 мм;
весы ВЛТЭ-2100/5100, диапазон измерений 5100 г, погрешность измерений ±0,5 г; микрометр КАЛИБРОН МК-25 0,01 КЛБ, диапазон измерений 25 мм, погрешность измерений ±0,004 мм.
Допускается использование аналогичных средств измерений, обеспечивающих определение метрологических характеристик с требуемой точностью.
С помощью штангенциркуля выполняют 5 измерений длины и высоты пластины в 5 равноудаленных точках коротких и длинных граней пластин соответственно. Воображаемые прямые, соединяющие 2 точки на разных гранях перпендикулярны этим граням. На гранях длиной 100 мм 5 точек для измерения должны быть расположены на расстоянии 10, 30, 50, 70 и 90 мм соответственно от выбранной грани длиной 450 мм. На гранях длиной 450 мм 5 точек для измерения должны быть расположены на расстоянии 60,140,220, 300 и 380 мм соответственно от выбранной грани длиной 100 мм. Вычисляют среднее арифметическое значение длины пластины по формуле
г _£t=i h
(B.l.)
где
L - среднее арифметическое измеренных значений длины пластины, мм;
i - номер измерения;
li - измеренное значение длины пластины, мм.
Полученное значение вносят в таблицу В.1.
Вычисляют среднее арифметическое значение высоты пластины по формуле

где
Н— среднее арифметическое измеренных значений высоты пластины, мм;
z - номер измерения;
hi - измеренное значение высоты пластины, мм.
Полученное значение внести в таблицу В.1.
С помощью микрометра выполняют 5 измерений толщины пластины в 5 точках. Воображаемые прямые, соединяющие 2 точки на разных гранях перпендикулярны этим граням. На гранях длиной 450 мм 5 точек для измерения должны быть расположены на расстоянии 60,140,220, 300 и 380 мм соответственно от выбранной грани длиной 100 мм. Вычисляют среднее арифметическое значение толщины пластины по формуле
(В.З.)
где
Т- среднее арифметическое из измеренных значений толщины пластины, мм;
i - номер измерения;
ti - измеренное значение толщины пластины, мм.
Полученное значение внести в таблицу В.1.
При взвешивании пластины на весах выполняют 5 измерений массы пластины. Вы числяют среднее арифметическое значение массы пластины по формуле:

5
(В.4.)
где
М— среднее арифметическое из измеренных значений массы пластины, кг; i - номер измерения;
т, - измеренное значение массы пластины, кг.
Полученное значение внести в таблицу В.1.
Рассчитывают плотность пластины-имитатора по формуле
(В.5.)
где
р - плотность пластины-имитатора, кг/м3;
М— средняя арифметическая масса пластины, кг; L - средняя арифметическая длина пластины, м;
Н— средняя арифметическая высота пластины, м; Т - средняя арифметическая толщина пластины, м. Полученное значение вносят в таблицу В.1.
Таблица В.1 - Параметры пластин-имитаторов.
Номер пластины-имитатора |
Материал |
Средняя арифметическая длина L, м |
Средняя арифметическая высота Н, м |
Средняя арифметическая толщина Т, м |
Средняя арифметическая масса М, кг |
Расчетная плотность, р, кг/м3 |
В.З. Вычисление расчетной плотности набора пластин-имитаторов
Рассчитывают среднюю плотность материала пластин-имитаторов, входящих в набор, по формуле:
Риат = 2ух1^. (В-6)
где
Рмат ~ средняя плотность материала пластин в наборе, кг/м3; j - номер пластины в наборе.
Tj - толщина j-ой пластины-имитатора, м (значение из таблицы В.1);
Т - суммарная толщина набора пластин, м, вычисленная по формуле (В.6); z - количество используемых при имитации пластин-имитаторов;
Pj — плотность каждой пластины, кг/м3 (значение из таблицы В.1);
Расчетную плотность при использовании пластин определяют по формуле
Рр = Ю-РматЕл17} (В-?.)
где
рр- расчетная плотность, кг/м3;
10 - коэффициент, обратно пропорциональный расстоянию от внешней поверхности открытого контейнера с источником излучения, например, FQG61, FQG62, FQG63, FQG66, КС-ХХХХ или от внешней поверхности задвижки контейнера, например, FQG60 до поверхности корпуса сцинтиллятора детектора, м'1;
j - порядковый номер используемой для имитации пластины-имитатора;
z - количество пластин-имитаторов, шт.
Tj - толщина j-ой используемой пластины-имитатора, м (значение из таблицы В.1); Рмат - средняя плотность материала пластин в наборе, кг/м3.
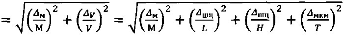
Определяют относительную погрешность вычисления толщины пластин Т по фор. муле
Ар
Рр

(В.8.)
где
М— среднее арифметическое из измеренных значений массы пластины, кг; Дм - абсолютная погрешность весов, кг;
L - среднее арифметическое из измеренных значений длины пластины, мм;
Н — среднее арифметическое из измеренных значений высоты пластины, мм; Т— среднее арифметическое из измеренных значений толщины пластины, мм; Ашц - абсолютная погрешность штангенциркуля, мм;
4МКМ - абсолютная погрешность микрометра, мм;
Полученное значение относительной погрешности вычисления расчетной плотности ррне должно превышать ±0,3 % для каждой пластины, используемой при имитации.
Приложение Г Пример отчета о поверке при работе комплекса в режиме измерений уровняEndress+Hauser GJ
Pecpie for Pnxess Ajtatiation

eartbeat
Информация о приборе и поверке
С ерийный номер (22) |
P900050119F |
Обозначение прибора |
FMG50_l |
Время работы |
5di3hO6m48s |
Информация о приборе
Место | |
Название прибора |
FMG50 |
Заказной код прибора (14) |
FMG5O-11A5 0 |
Версия программного обеспечения |
01.00.00 |
Версия аппаратного обеспечения 0100.00
Калибровка
Режим измерения |
Уровень |
Изотоп |
Цезий-137 |
Тип туча |
не модулированный |
Фоновая радиация |
SO cats |
Выход демпоиповзния |
60s |
Дата калибровки пустой емкости |
2020-09-11 |
Дата калибровки полной емкости |
2020-09-11 |
Нижнее выходное знзчение диапазона (44) |
0 mm |
Верхнее выходное значение диапазона (39) |
2000 mm |
Endress+Hauser
People for Pnxess Алэта юп

eartteat
Информация о приборе и поверке
С ерниньш номер (22)
P900050119F
Обозначение прибора
FMG50_l
Время работы
5dl3h06m48s
Информация о проверке
Время работы
5dl3hO6m48s
Дата время
11.09.2020 10.09.40
Результаты проверки
Итоговый результат
0 Выполнено
Подтверждение
Комментарии
Дата
Подпись пользователя
Подпись инспектора -
Endress+Hauser
Pecpie for Рпхе» ^jtonalion
Пользователь: |
-^^^^-Heartbeat |
Информация о приборе и поверке
С еринный номер (22) |
P900050119F |
Обо значение прибора |
FMG50_l |
Время работы |
5dl3hO6m48s |
Результаты проверки
Предварительное условие проверки |
И Выполнено |
Статус системы |
М Выполнено |
Основной блок электроники |
ЕЙ Выполнено |
Напряжение на клеммах |
ЬД Выполнено |
Выходной ток |
Ьй Выполнено |
Целостность программного обеспечения |
ЬЗ Выполнено |
Проверьте RAM |
ЬЗ Выполнено |
Проверьте ROM |
Ьй Выполнено |
Модуль сенсора |
И Выполнено |
Часы реального времени |
М Выполнено |
Высокое напряжение ФТУ |
БЗ Выполнено |
Техническое состояние сенсора |
БА Выполнено |
Endress+Hauser
Pwpiefor Protess *jwnaiton

eartbeat
Информация о приборе и поверке | ||||
С ериинын номер (22) |
P900050119F | |||
Обозначение прибора |
FMG50.1 | |||
Время работы |
5dl3hO6m48s | |||
Результаты поверки - значения |
Unit |
Actual |
Min |
Max Visualization |
Основной блок электроники | ||||
Отклонение выходного тока |
mA |
0.0062 |
-0.5000 |
0.5000 ■ |
Модуль сенсора | ||||
Выходное значение высокого напряжения |
V |
603 |
0 |
1300 ■ |
Endress+Hauser EJ
Peopte far Process Ajtomarion

Информация о приборе и поверке
Серийный номер (22) |
P900050119F | |||
Обозначение прибора |
FMG50.1 | |||
Время работы |
5dl3hO6m48s | |||
Параметры процесса |
Unit |
Actual |
Min |
Max |
Датчик температуры |
’С |
18 |
-40.00 |
80.00 |
История прибора |
Unit |
Actual |
Min |
Max |
Температура электроники |
’С |
23,7 |
21.6 |
28.1 |
Датчик температуры |
’С |
18.0 |
14.0 |
25,0 |
Частота импульса |
cats |
84 |
0 |
320 |
Напряжение на клеммах |
V |
17.6 |
16,7 |
23.4 |
История датчика |
Unit |
Value | ||
С четчнк гаммаграфии |
0 | |||
Продолжительность гаммаграфии |
s |
0 | ||
Ожидаемое время работы источника |
У |
476153» | ||
Срок службы фотоэлектронного умножителя |
У |
20 |
Endress+Hauser
People for Process Алота'ооя
heartbeat
Информация о приборе и поверке
С ериинын номер (22) |
P900050119F |
Обозначение прибора |
FMG50.1 |
Время работы |
5dl3hl5ml7s |
Информация о приборе
Место
Название прибора |
FMG50 |
Заказной коп прибора (14) |
FMG50-11A5 0 |
Версия программного обеспечения |
01.00.00 |
Версия аппаратного обеспечения 01.00.00
Калибровка
?ехим |
Плотность |
Изотоп |
Цезий-137 |
Тип луча |
не модулированный |
Фоновая радиация |
80 cnts |
Выход демпфирования |
6.0 s |
Дата калибровки плотности по 1 точке |
2020-09-11 |
Дата калибровки плотности по точке 2 |
2020-09-11 |
Нижнее выходное значение диапазона (44) |
0.000 kgm-’ |
Верхнее выходное значение диапазона (39) |
1500.000 kg nf |
Endress+Hauser
People for Process Aiitomarioir

Информация о приборе и поверке
С ерийныи Еомер (22) |
P900050119F |
Обозначение прибора |
FMG50_l |
Время работы |
5dl»15ml7s |
Информация о проверке
Время работы |
5dl3hl5ml7s |
Дата время |
11 092020 10.1921 |
Ретультаты проверки

Итоговый результат
Подтверждение
Heartbeat проверка позволяет проверить работоспособность прибора Gannnapilot в пределах заданного лопх’скз на измерение в течение всего срока службы с общим охватом теста 93° о.
Комментарии
Дата
Подпись пользователя
Подпись инспектора -
Endress+Hauser GU
People for Process Ajtowion

Информация о приборе и поверке | |
Серийный номер (22) |
P900050119F |
Обо значение прибора |
FMG50_l |
Время работы |
5dl3hl5ml7s |
Результаты проверки
Предварительное условие проверки |
И Выполнено |
Статус системы |
ЬйЙ Выполнено |
Основной блок электроники |
И Выполнено |
Напряжение на клеммах |
И Выполнено |
Выходной ток |
Выполнено |
Пелостностъ программного обеспечения |
Выполнено |
Проверьте RAM |
ЬЗ Выполнено |
Проверьте ROM |
ЬЙ Выполнено |
Модуль сенсора |
Й Выполнено |
Часы реального времени |
ЕЗ Выполнено |
Высокое напряжение ФТУ |
М Выполнено |
Техническое состояние сенсора |
НН Выполнено |
Endress+Hauser
Peep е for Рпкея Autonation

eartbeat
Информация о приборе и поверке
Серийный номер (22) |
P900050119F | |||
Обозначение прибора |
FMG50_l | |||
Время работы |
5dl3hl5ml7s | |||
Результаты поверки - значения |
Unit |
Actual |
Min |
Mas Visualization |
Основной блок электроники | ||||
Отклонение выходного тока |
mA |
0.0053 |
-0.5000 |
0.3000 ■ |
Модуль сенсора | ||||
Выходное значение высокого напряжения |
V |
598 |
0 |
1300 ■ |
Endress+Hauser
Recpe for Рпхеи Ллотвгюп

eart beat
Информация о приборе и поверке
Серийный номер (22) |
P900050119F | |||
Обозначение прибора |
FMG50_l | |||
Время работы |
5dl3hl5ml7s | |||
Параметры процесса |
Unit |
Actual |
Min |
Max |
Датчик температуры |
"С |
18 |
-40.00 |
80.00 |
История прибора |
Unit |
Actual |
Min |
Max |
Темпер зтура электроники |
“С |
24.2 |
21.6 |
28.1 |
Датчик температуры |
•с |
18.0 |
14.0 |
25,0 |
Частота импульса |
cuts |
86 |
0 |
312 |
Напряжение на клеммах |
V |
183 |
16,7 |
23.4 |
История датчика |
Unit |
Value | ||
С четник гаммаграфии |
0 | |||
Продолжительность гаммаграфии |
s |
0 | ||
Достигнутая стабильность измерения |
H |
0.0501 | ||
С тандзртное отклонение |
H |
0.3934 | ||
Срок службы фотоэлектронного умно жителя |
У |
20 |
(рекомендуемое)
ПРОТОКОЛповерки Gammapilot FMG50 при измерении уровня
Код заказа ________________________
Серийный номер _____________________
Применяемый диапазон измерений уровня, мм _______________________
Настройка диапазона уровня:
Lmin, ММ __________________________
Lmax, ММ _________________________
Средства поверки:__________________________________________________________
Подготовка к поверке ________________________
Внешний осмотр _____________________
Проверка идентификационных данных ПО _____________________
Заключение по опробованию ______________________
Проверка токового выхода _______________________
(при его наличии/использовании)
Определение метрологических характеристик:
№ изм. |
Значение уровня, определенное рулеткой/штанген-циркулем/дальномером, Ly, мм |
Измеренное комплексом значение уровня LK, мм |
Приведенная погрешность комплекса, % Ljv Ly 8К = —-—■ 100% Lmax ^min |
Заключение о пригодности комплекса в режиме измерений уровня:
Поверитель:______________________(
_________20—г.
Приложение Ж(рекомендуемое)
ПРОТОКОЛповерки Gammapilot FMG50 при измерении плотности
Код заказа _______________________
Серийный номер _____________________
Применяемый диапазон измерений плотности, кг/м3 ________________________
Настройка диапазона плотности:
Pmin, КГ/М3 ______________________________
Ртах, КГ/М3 ______________________________
Средства поверки:_______________________________________________________________
Подготовка к поверке ________________________
Внешний осмотр _____________________
Проверка идентификационных данных ПО _____________________
Заключение по опробованию ______________________
Проверка токового выхода _______________________
(при его наличии/использовании)
Определение метрологических характеристик:
№ изм. |
Значение плотности, определенное с помощью пластин-имитаторов рр, кг/м3 |
Измеренное значение плотности комплексом рк, кг/м3 |
Приведенная погрешность комплекса, % 8К = Рк—Рр— ■ 100% Ртах Pmin |
Заключение о пригодности комплекса в режиме измерений плотности:
Поверитель:_______________________( )
" " 20 г.
- Указаны рекомендуемые значения, геометрические размеры пластин могут быть выбраны индивидуально, согласно геометрии стенда, собранного согласно рисунку А.1.
Количество пластин набора определяется таким образом, чтобы их суммарная длина при установке их вплотную друг к другу была не менее длины сцинтиллятора поверяемого детектора. Например, при длине пластин 200 мм и длине сцинтиллятора 3000 мм, необходимое число пластин равно 3000/200 = 15. При необходимости округляют в большую сторону до ближайшего целого числа. Таким образом может быть осуществлен подбор числа пластин при любой длине сцинтиллятора и самих пластин.