Методика поверки «ГСИ. Система измерений количества и показателей качества нефти № 244 на ПСП "Кротовка" АО "Оренбургнефть"» (МП 1239-9-2021)
ВСЕРОССИЙСКИЙ НАУЧНО-ИССЛЕДОВАТЕЛЬСКИЙ ИНСТИТУТ РАСХОДОМЕТРИИ -ФИЛИАЛ ФЕДЕРАЛЬНОГО ГОСУДАРСТВЕННОГО УНИТАРНОГО ПРЕДПРИЯТИЯ «ВСЕРОССИЙСКИЙ НАУЧНО-ИССЛЕДОВАТЕЛЬСКИЙ ИНСТИТУТ МЕТРОЛОГИИ им. Д.И. МЕНДЕЛЕЕВА»
ВНИИР - филиал ФГУП «ВНИИМ им. Д.И. Менделеева»
СОГЛАСОВАНО
И.о. директора филиала ВНИИР - филиала ФГУП «ВНИИМ им. Д.И. Мен
делеева»
НЕФТИ № 244 НА
А.С. Тайбинский
Государственная система
СИСТЕМА ИЗМЕРЕНИЙ КОЛИЧЕСТВА И
ПСП «КРОТОВКА» АО «ОРЕНБУРГНЕФТЬ»
Методика поверки
МП 1239-9-2021

Казань
2021
|
РАЗРАБОТАНА |
ВНИИР - филиал ФГУП «ВНИИМ им. Д.И. Менделеева» |
|
ИСПОЛНИТЕЛИ |
В.В. Гетман |
|
УТВЕРЖДЕНА |
ВНИИР - филиал ФГУП «ВНИИМ им. Д.И. Менделеева» |
Настоящая методика поверки распространяется на систему измерений количества и показателей качества нефти № 244 на ПСП «Кротовка» АО «Оренбургнефть» (далее - СИКН) и устанавливает методику первичной поверки при вводе в эксплуатацию, а также после ремонта и периодической поверки при эксплуатации.
Поверка СИКН осуществляется в соответствии с Приказом Федерального агентства по техническому регулированию и метрологии (Госстандарт) от 07.02.2018 г. № 256 «Об утверждении Государственной поверочной схемы для средств измерений массы и объема жидкости в потоке, объема жидкости и вместимости при статических измерениях, массового и объемного расходов жидкости», обеспечивается прослеживаемость к Государственному первичному специальному эталону единиц массы и объема жидкости в потоке, массового и объемного расходов жидкости (ГЭТ 63-2019).
Поверку СИКН проводят в диапазоне измерений, указанном в описании типа, или фактически обеспечивающимся при поверке диапазоне измерений с обязательной передачей сведений об объеме проведенной поверки в Федеральный информационный фонд по обеспечению единства измерений.
Методы поверки средств измерений (далее - СИ), входящих в состав СИКН, приведены в документах на методики поверки СИ.
Интервал между поверками СИКН - 12 месяцев.
Интервал между поверками средств измерений (далее - СИ) из состава СИКН указан в документах на методики поверки СИ.
Если очередной срок поверки СИ из состава СИКН наступает до очередного срока поверки СИКН, поверяется только это средство измерений, при этом поверку СИКН не проводят.
2 Перечень операций поверкиПри проведении поверки выполняют операции, приведенные в таблице 1.
Таблица 1 - Операции поверки
|
Наименование операции |
Номер раз-дела инструкции |
Проведение операции при | |
|
первичной поверке |
периодической поверке | ||
|
Внешний осмотр |
7 |
Да |
Да |
|
Подготовка к поверке и опробование СИКН |
8 |
Да |
Да |
|
Подтверждение соответствия программного обеспечения |
9 |
Да |
Да |
|
Определение метрологических характеристик СИКН |
10 |
Да |
Да |
|
Подтверждение соответствия СИКН метрологическим требованиям |
И |
Да |
Да |
При проведении поверки соблюдают условия в соответствии с требованиями документов на методики поверки СИ, входящих в состав СИКН.
Измеряемая среда - нефть, соответствующая техническому регламенту, национальному стандарту.
Характеристики СИКН и измеряемой среды при проведении поверки должны соответствовать требованиям, приведенным в таблице 2.
Соответствие характеристик измеряемой среды значениям в таблице 2 проверяют по данным отчетных документов.
Таблица 2 - Метрологические и технические характеристики СИКН и измеряемой среды
|
Наименование характеристики |
Значение | |
|
Диапазон измерений расхода нефти по одной (двум) измерительным линиям*, м3/ч |
от 100 (200) до 500(1000) | |
|
Рабочий диапазон избыточного давления, МПа: |
от 0,25 до 0,8 | |
|
Диапазон температуры нефти, °C |
от +5 до +28 | |
|
Плотность нефти при 20 °C, кг/м3 |
от 760 до 820 | |
|
Кинематическая вязкость нефти при 20 °C, мм2/с (сСт) |
от 2 до 6 | |
|
Массовая доля воды, %, не более |
0,5 | |
|
Массовая концентрация хлористых солей, мг/дм3, не более |
100 | |
|
Массовая доля механических примесей, %, не более |
0,05 | |
|
Содержание свободного газа |
не допускается | |
|
* - указан максимальный диапазон измерений. Фактический диапазон измерений определяется при проведении поверки, фактический диапазон измерений не может превышать максимальный диапазон измерений | ||
К поверке допускаются лица, изучившие руководство по эксплуатации на СИКН и имеющие квалификационную группу по электробезопасности не ниже III в соответствии с ПОТ Р М-016-2001 «Межотраслевые правила по охране труда (правила безопасности) при эксплуатации электроустановок».
5 Метрологические и технические требования к средствам поверки-
5.1 Метрологические и технические требования к средствам поверки, которые применяются для поверки преобразователей расхода жидкости турбинных MVTM Dy 6”, приведены в таблице 3.
5.3 Метрологические и технические требования к средствам поверки, которые применяются для оценки соответствия и подтверждения соответствия метрологических характеристик СИ, входящих в состав СИКН, указаны в утвержденных методиках поверки соответствующего СИ.
6Требования (условия) по обеспечению безопасности проведения поверки
6.1 При проведении поверки соблюдают требования, определяемые:
-
- в области охраны труда - Трудовым кодексом Российской Федерации;
-
- в области промышленной безопасности - Федеральными нормами и правилами в области промышленной безопасности «Правила безопасности в нефтяной и газовой
-
Таблица 3 - Метрологические и технические требования к средствам поверки
|
Наименование средства поверки |
Характеристика точности |
|
Установки трубопоршневые (далее - ТПУ) 1-го разряда в соответствии с Приказом Федерального агентства по техническому регулированию и метрологии (Госстандарт) от 07.02.2018 г. №256 |
Диапазон измерений до 4000 т/ч (м3/ч), доверительные границы суммарной погрешности определения вместимости ТПУ равными 0,05 % |
|
ТПУ 2-го разряда в соответствии с Приказом Федерального агентства по техническому регулированию и метрологии (Госстандарт) от 07.02.2018 г. №256 |
Диапазон измерений до 4000 т/ч (м3/ч), доверительные границы суммарной погрешности определения вместимости ТПУ от 0,090 до 0,10% |
5.2 Допускается применение аналогичных указанным в таблице 3 средств поверки, обеспечивающих определение метрологических характеристик преобразователей расхода жидкости турбинных MVTM Dy 6” с требуемой точностью.
промышленности» (Приказ Федеральной службы по экологическому, технологическому и атомному надзору от 15.12.2020 № 534 «Об утверждении федеральных норм и правил в области промышленной безопасности «Правила безопасности в нефтяной и газовой промышленности»), Руководством по безопасности «Рекомендации по устройству и безопасной эксплуатации технологических трубопроводов» (приказ № 784 от 27 декабря 2012 г. «Об утверждении Руководства по безопасности «Рекомендации по устройству и безопасной эксплуатации технологических трубопроводов»), а также другими действующими отраслевыми документами;
-
- в области пожарной безопасности - Федеральным законом Российской Федерации от 22 июля 2008 г. № 123-ФЗ «Технический регламент о требованиях пожарной безопасности», Постановление Правительства Российской Федерации от 25 апреля 2012 г. № 390 «О противопожарном режиме» (вместе с «Правилами противопожарного режима в Российской Федерации»), СНиП 21.01-97 (с изм. № 1, 2) «Пожарная безопасность зданий и сооружений»;
-
- в области соблюдения правильной и безопасной эксплуатации электроустановок -Правилами технической эксплуатации электроустановок потребителей;
-
- в области охраны окружающей среды - Федеральным законом Российской Федерации от 10 января 2002 г. № 7-ФЗ (ред. 12 марта 2014 г.) «Об охране окружающей среды» и другими действующими законодательными актами на территории РФ.
-
6.2 Площадка СИКН должна содержаться в чистоте без следов нефти и должна быть оборудована первичными средствами пожаротушения согласно Правил противопожарного режима в Российской Федерации.
-
6.3 СИ и вспомогательные устройства, применяемые при выполнении измерений, должны иметь взрывозащищенное исполнение в соответствии с требованиями ГОСТ 31610.0-2019 «Взрывоопасные среды. Часть 0. Оборудование. Общие требования».
-
6.4 Вторичную аппаратуру и щиты управления относят к действующим электроустановкам с напряжением до 1000 В, на которые распространяются Правила технической эксплуатации электроустановок потребителей, Правила устройства электроустановок.
При внешнем осмотре проверяют комплектность и внешний вид СИКН.
-
7.1 Комплектность СИКН должна соответствовать ее описанию типа и эксплуатационной документации.
-
7.2 При проверке внешнего вида СИКН должны выполняться следующие требования:
-
- на компонентах СИКН не должно быть механических повреждений, препятствующих ее применению и проведению поверки;
-
- надписи и обозначения на компонентах СИКН должны быть четкими и читаемыми без применения технических средств, соответствовать технической документации;
-
- СИ, входящие в состав СИКН, должны быть снабжены средствами защиты (пломбировки) в соответствии с описанием типа на средства измерений, эксплуатационной документацией или МИ 3002-2006 «Рекомендация. ГСИ. Правила пломбирования и клеймения средств измерений и оборудования, применяемых в составе систем измерений количества и показателей качества нефти и поверочных установок».
СИКН, не прошедшая внешний осмотр, к поверке не допускается.
8 Подготовка к поверке и опробование СИКНПодготовку средств поверки и СИКН осуществляют в соответствии с их эксплуатационной документацией.
-
8.1 Опробование
Опробуют СИКН путем увеличения или уменьшения расхода измеряемой среды в пределах рабочего диапазона измерений.
Результаты опробования считаются удовлетворительными, если при увеличении или уменьшении расхода измеряемой среды соответствующим образом изменялись показания на соответствующих средствах отображения информации.
-
8.2 Проверяют герметичность СИКН.
Проверку герметичности СИКН проводят согласно эксплуатационной документации на СИКН.
СИКН считается выдержавшей проверку, если на элементах и компонентах СИКН нет следов протечек нефти или снижения давления.
9 Проверка программного обеспечения-
9.1 При проверке идентификационных данных ПО должно быть установлено соответствие идентификационных данных ПО СИКН сведениям, приведенным в описание типа СИКН.
-
9.2 Определение идентификационных данных ПО комплексов измерительновычислительных сбора и обработки информации систем учета нефти и нефтепродуктов «OCTOPUS» («ОКТОПУС») (далее - ИВК) проводят в соответствии с руководством по эксплуатации.
-
9.3 Определение идентификационных данных ПО автоматизированного рабочего места (АРМ) оператора Rate проводят в соответствии с руководством оператора.
-
10.1 Определение метрологических характеристик СИ, входящих в состав СИКН
Определение метрологических характеристик СИ, входящих в состав СИКН, проводят в соответствии с документами на методики поверки, указанными в описании типа соответствующего СИ.
-
10.2 Определение относительной погрешности измерений массы брутто и массы нетто нефти
Поверку СИКН проводят в диапазоне измерений, указанном в описании типа, или фактически обеспечивающимся при поверке диапазоне измерений с обязательным указанием в свидетельстве о поверке информации об объеме проведенной поверки.
-
10.2.1 Относительную погрешность измерений массы брутто нефти при косвенном методе динамических измерений, 8Мб, %, определяют в соответствии с ГОСТ 8.587-2019 «ГСИ. Масса нефти и нефтепродуктов. Методики (методы) измерений (с поправкой)» с применением средств поверки, указанных в таблице 3 настоящей методики поверки, а также средств поверки, указанных в методиках поверки СИ, входящих в состав СИКН.
-
10.2.2 Относительную погрешность измерений массы нетто нефти при косвенном методе динамических измерений, ЗМн, %, определяют в соответствии с ГОСТ 8.587 расчетным методом.
11.1 Относительную погрешность измерений массы брутто нефти при косвенном методе динамических измерений, 3Мб, %, в соответствии с ГОСТ 8.587-2019 «ГСИ. Масса нефти и нефтепродуктов. Методики (методы) измерений (с поправкой)» определяют по формуле
8Ме = ±1.1 dSV2 + G2 -(Зр2 +Р2 -104 ■ ДТ2)+02 -104 -ДТ2 +8J, , (1)
где - относительная погрешность измерений объема нефти, %, за SV принимают относительную погрешность преобразователя расхода жидкости турбинного MVTM Dy 6'’;
8р- относительная погрешность измерений плотности нефти, %, определяется по фор
муле:

(2)
где Др - абсолютная погрешность измерений плотности нефти, кг/м3;
pmjn - минимальное значение плотности нефти из диапазона измерений плотности СИКН, кг/м3;
- абсолютные погрешности измерений температуры нефти при измерениях ее
плотности и объема соответственно, °C;
р - коэффициент объемного расширения нефти, 1/°С, определяют по ГОСТ Р 8.587;
SN - относительная погрешность ИВК, %;
G - коэффициент, вычисляемый по формуле:
\ + 2-P-Tv
(3)
\ + 2'РТр ’
где Гг,Г. - температура нефти при измерениях ее соответственно, °C.
объема и плотности
Относительная погрешность измерений массы брутто нефти с применением СИКН не должна превышать ± 0,25 %.
-
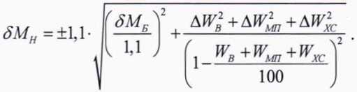
11.2 Относительную погрешность измерений массы нефти в соответствии с ГОСТ 8.587, 6Мн, %, вычисляют по формуле:

(4)
где Д Wb - абсолютная погрешность измерений массовой доли воды, %, вычисляемая а) при применении поточных СИ объемной доли воды в нефти по формуле
[ А ФоСН + f А Флоп • рв
= к---------к-----------, (5)
Ри
где Д^бХ7/- основная абсолютная погрешность поточных СИ объемной доли воды в нефти, %;
Ьхр 1ОП- дополнительная абсолютная погрешность поточных СИ объемной доли воды в нефти, связанная с отклонением температуры нефти на каждые п °C, %.
При отсутствии в описании типа дополнительной погрешности, приравниваем ее нулю.
t - температура нефти в месте измерений объемной доли воды в нефти, °C;
tHOM - номинальная температура, приведенная в описании типа СИ объемной доли воды в нефти;
п - значение температуры, для которого нормируется дополнительная погрешность поточных СИ объемной доли воды в нефти;
б) по формуле (8).
Л Ммп - абсолютная погрешность измерений массовой доли механических примесей, %, вычисляют по формуле (8);
J Wxc - абсолютная погрешность измерений массовой доли хлористых солей, %, вычисляют по формуле:
ДЖж=0,1-^-, (6)
Рн
где Д^ЛС - абсолютная погрешность измерений массовой концентрации хлористых солей в нефти, мг/дм3, вычисляют по формуле (8);
р*с - плотность нефти при условиях измерений (рхс, кг/м3;
Wb - массовая доля воды в нефти, %;
Wyn - массовая доля механических примесей в нефти, %;
Wxc- массовая доля хлористых солей в нефти, %, вычисляют по
формуле:
(7)
pf =0 1. ^хс гг хс и, 1 хс
Рн
(рхс - массовая концентрация хлористых солей в нефти, мг/дм3, определенная в лаборатории.
Абсолютные погрешности измерений массовой доли воды, массовой доли механических примесей, массовой концентрации хлористых солей в нефти по лабораторному методу определяют в соответствии с ГОСТ 33701-2015 «Определение и применение показателей точности методов испытаний нефтепродуктов».
Для доверительной вероятности Р = 0,95 и двух измерений соответствующего показателя качества нефти абсолютную погрешность его измерений А, %, вычисляют по формуле

(8)
где R и г - воспроизводимость и сходимость метода определения соответствующего показателя качества нефти.
Значения воспроизводимости и сходимости определяют:
-
- для массовой доли воды по ГОСТ 2477-2014 «Нефть и нефтепродукты. Метод определения содержания воды (с Изменением № 1, с Поправками)»;
-
- для массовой доли механических примесей по ГОСТ 6370-2018 «Нефть, нефтепродукты и присадки. Метод определения механических примесей»;
-
- для массовой доли хлористых солей по ГОСТ 21534-76 «Нефть. Методы определения содержания хлористых солей».
Относительная погрешность измерений массы нетто нефти с применением СИКН не должна превышать ±0,35 %.
12 Оформление результатов поверкиРезультаты поверки СИКН передаются в Федеральный информационный фонд по обеспечению единства измерений в соответствии с Приказом Минпромторга России от 31 июля 2020 г. № 2510 «Об утверждении порядка проведения поверки средств измерений, требований к знаку поверки и содержанию свидетельства о поверке».
При проведении поверки СИКН в сокращенном объеме информация об объеме проведенной поверки передается в Федеральный информационный фонд по обеспечению единства измерений.
По заявлению владельца СИКН или лица, представившего СИКН на поверку, при положительных результатах поверки выдается свидетельство о поверке в соответствии с Приказом Минпромторга России от 31 июля 2020 г. № 2510, или в случае отрицательных результатов поверки выдается извещение о непригодности применения СИКН.
Результаты поверки оформляют протоколом согласно приложению А.
Знак поверки наносится на свидетельство о поверке СИКН.
При отрицательных результатах поверки СИКН к эксплуатации не допускают.
Приложение А (рекомендуемое)
Форма протокола поверки системы
ПРОТОКОЛ ПОВЕРКИ №___________
Наименование средства измерений:__
Тип, модель, изготовитель: __________________________________________________________________________________________________
Заводской номер:
Наименование и адрес заказчика:____
Методика поверки:_________________________________________________________________
Место проведения поверки:__
Поверка выполнена с применением:
Условия проведения поверки:__
Температура окружающей среды__
Атмосферное давление ______________________________
Относительная влажность
РЕЗУЛЬТАТЫ ПОВЕРКИ
-
1. Внешний осмотр_________________________________________________________________________________________________________
-
2. Опробование_____________________________________________________
-
3. Подтверждение соответствия программного обеспечения_____________
-
4. Определение метрологических характеристик
Подпись лица, проводившего поверку________________________
Дата поверки______________________________________________
Приложение А (рекомендуемое)
Форма протокола поверки системы
ПРОТОКОЛ ПОВЕРКИ №___________
Наименование средства измерений:
Тип, модель, изготовитель:
Заводской номер:
Наименование и адрес заказчика: ____________________________________________________________________________________________
Методика поверки:
Место проведения поверки:
Поверка выполнена с применением:
Условия проведения поверки: ________________
Температура окружающей среды
Атмосферное давление__
Относительная влажность_________________________________________________________________________________________
РЕЗУЛЬТАТЫ ПОВЕРКИ
-
1. Внешний осмотр___
-
2. Опробование____________________________________________________________________________________________________
-
3. Подтверждение соответствия программного обеспечения ________________________________________________________________
-
4. Определение метрологических характеристик
Подпись лица, проводившего поверку________________________
Дата поверки__
9
